Impact of Drying Methods on Phenolic Composition and Bioactivity of Celery, Parsley, and Turmeric—Chemometric Approach
Abstract
1. Introduction
2. Materials and Methods
2.1. Chemicals and Reagents
2.2. Plant Material
2.3. Extraction Procedure
2.4. Methods
2.4.1. Total Phenolics Content (TPh)
2.4.2. Total Flavonoids Content (TFl)
2.4.3. Total Flavonols Content (Tflol)
2.4.4. Total Flavan-3-Ols Content (Tfl3ol)
2.4.5. HPLC Analysis of Individual Phenolic Compounds
2.4.6. DPPH Test
2.4.7. ABTS Test
2.4.8. FRAP Test
2.4.9. Antihyperglycemic Activity
2.4.10. Antibacterial Activity
2.4.11. Color Measurements
2.4.12. Artificial Neural Network (ANN) Model
2.4.13. Standardized Scores
2.4.14. Statistical Analysis
3. Results and Discussion
3.1. Phenolic Compounds
3.2. Antioxidant Activities
3.3. Color Analysis
3.4. Correlation Analysis
3.5. Cluster Analysis
3.6. Principal Component Analysis (PCA)
3.7. Standardized Scores
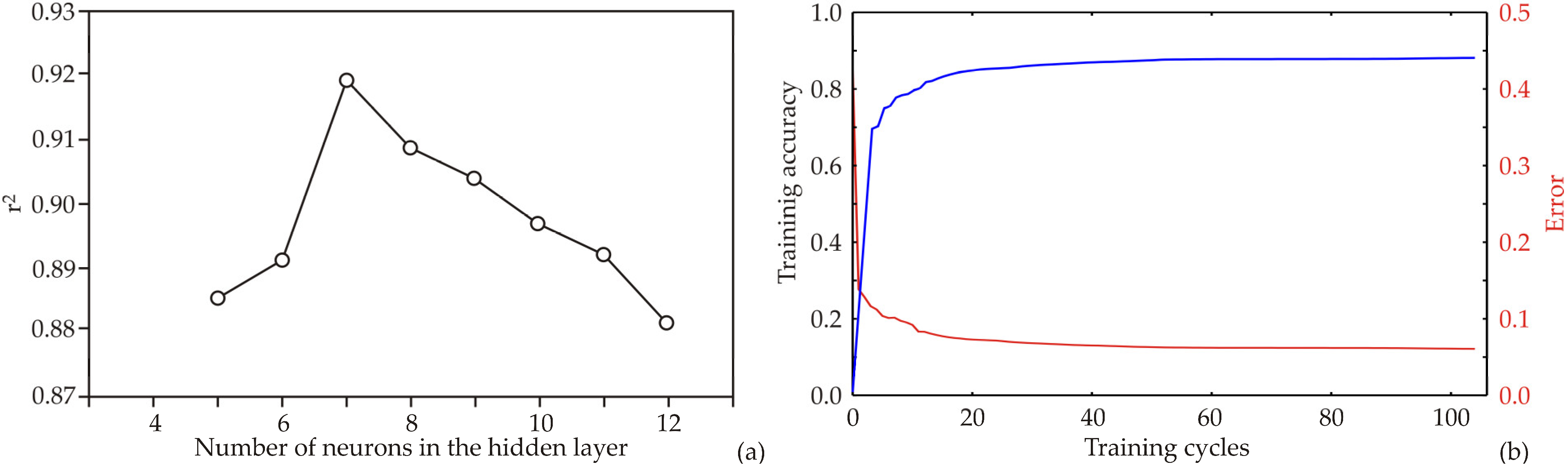
3.8. Artificial Neural Network (ANN) Model
3.9. HPLC Analysis of Phenolic Compounds and the Antihyperglycemic and Antimicrobial Activity of Selected Samples
4. Conclusions
Author Contributions
Funding
Institutional Review Board Statement
Informed Consent Statement
Data Availability Statement
Conflicts of Interest
References
- Basu, S.; Banik, B.K. Natural Spices in Medicinal Chemistry: Properties and Benefits. In Green Approaches in Medicinal Chemistry for Sustainable Drug Design; Banik, B.K., Ed.; Advances in Green and Sustainable Chemistry; Elsevier: Amsterdam, The Netherlands, 2020; pp. 739–758. ISBN 978-0-12-817592-7. [Google Scholar]
- Embuscado, M.E. Spices and Herbs: Natural Sources of Antioxidants—A Mini Review. J. Funct. Foods 2015, 18, 811–819. [Google Scholar] [CrossRef]
- Sanlier, N.; Gencer, F. Role of Spices in the Treatment of Diabetes Mellitus: A Minireview. Trends Food Sci. Technol. 2020, 99, 441–449. [Google Scholar] [CrossRef]
- Sulieman, A.M.E.; Abdallah, E.M.; Alanazi, N.A.; Ed-Dra, A.; Jamal, A.; Idriss, H.; Alshammari, A.S.; Shommo, S.A.M. Spices as Sustainable Food Preservatives: A Comprehensive Review of Their Antimicrobial Potential. Pharmaceuticals 2023, 16, 1451. [Google Scholar] [CrossRef] [PubMed]
- Kian-Pour, N.; Akdeniz, E.; Toker, O.S. Influence of Coating-Blanching in Starch Solutions, on the Drying Kinetics, Transport Properties, Quality Parameters, and Microstructure of Celery Root Chips. LWT 2022, 160, 113262. [Google Scholar] [CrossRef]
- Agyare, C.; Appiah, T.; Boakye, Y.D.; Apenteng, J.A. Petroselinum crispum: A Review. In Medicinal Spices and Vegetables from Africa; Kuete, V., Ed.; Academic Press: New York, NY, USA, 2017; pp. 527–547. ISBN 978-0-12-809286-6. [Google Scholar]
- Hay, E.; Lucariello, A.; Contieri, M.; Esposito, T.; De Luca, A.; Guerra, G.; Perna, A. Therapeutic Effects of Turmeric in Several Diseases: An Overview. Chem. Biol. Interact. 2019, 310, 108729. [Google Scholar] [CrossRef]
- Nisar, T.; Iqbal, M.; Raza, A.; Safdar, M.; Iftikhar, F.; Waheed, M. Turmeric: A Promising Spice for Phytochemical and Antimicrobial Activities. Am.-Eurasian J. Agric. Environ. Sci. 2015, 15, 1278–1288. [Google Scholar] [CrossRef]
- Das, M.; Devi, K.P. Potential Role of Curcumin and Its Derivatives Against Alzheimer Disease. In Curcumin for Neurological and Psychiatric Disorders; Farooqui, T., Farooqui, A.A., Eds.; Academic Press: New York, NY, USA, 2019; pp. 211–230. ISBN 978-0-12-815461-8. [Google Scholar]
- Munekata, P.E.S.; Pateiro, M.; Zhang, W.; Dominguez, R.; Xing, L.; Fierro, E.M.; Lorenzo, J.M. Health Benefits, Extraction and Development of Functional Foods with Curcuminoids. J. Funct. Foods 2021, 79, 104392. [Google Scholar] [CrossRef]
- Obulesu, M. Chapter Five—Turmeric Products in Parkinson’s Disease Treatment. In Turmeric and Curcumin for Neurodegenerative Diseases; Obulesu, M., Ed.; Academic Press: New York, NY, USA, 2021; pp. 73–87. ISBN 978-0-12-822448-9. [Google Scholar]
- Pourbagher-Shahri, A.M.; Farkhondeh, T.; Ashrafizadeh, M.; Talebi, M.; Samargahndian, S. Curcumin and Cardiovascular Diseases: Focus on Cellular Targets and Cascades. Biomed. Pharmacother. 2021, 136, 111214. [Google Scholar] [CrossRef]
- Zhao, J.; Liang, G.; Zhou, G.; Hong, K.; Yang, W.; Liu, J.; Zeng, L. Efficacy and Safety of Curcumin Therapy for Knee Osteoarthritis: A Bayesian Network Meta-Analysis. J. Ethnopharmacol. 2024, 321, 117493. [Google Scholar] [CrossRef]
- Majumder, P.; Sinha, A.; Gupta, R.; Sablani, S.S. Drying of Selected Major Spices: Characteristics and Influencing Parameters, Drying Technologies, Quality Retention and Energy Saving, and Mathematical Models. Food Bioprocess Technol. 2021, 14, 1028–1054. [Google Scholar] [CrossRef]
- Karabacak, A.Ö.; Suna, S.; Tamer, C.E.; Çopur, Ö.U. Effects of Oven, Microwave and Vacuum Drying on Drying Characteristics, Colour, Total Phenolic Content and Antioxidant Capacity of Celery Slices. Qual. Assur. Saf. Crops Foods 2018, 10, 193–205. [Google Scholar] [CrossRef]
- Kręcisz, M.; Kolniak-Ostek, J.; Łyczko, J.; Stępień, B. Evaluation of Bioactive Compounds, Volatile Compounds, Drying Process Kinetics and Selected Physical Properties of Vacuum Impregnation Celery Dried by Different Methods. Food Chem. 2023, 413, 135490. [Google Scholar] [CrossRef] [PubMed]
- Marić, L.; Malešić, E.; Jurinjak Tušek, A.; Benković, M.; Valinger, D.; Jurina, T.; Gajdoš Kljusurić, J. Effects of Drying on Physical and Chemical Properties of Root Vegetables: Artificial Neural Network Modelling. Food Bioprod. Process. 2020, 119, 148–160. [Google Scholar] [CrossRef]
- Llano, S.M.; Gómez, A.M.; Duarte-Correa, Y. Effect of Drying Methods and Processing Conditions on the Quality of Curcuma longa Powder. Processes 2022, 10, 702. [Google Scholar] [CrossRef]
- Wolfe, K.; Wu, X.; Liu, R.H. Antioxidant Activity of Apple Peels. J. Agric. Food Chem. 2003, 51, 609–614. [Google Scholar] [CrossRef]
- Zombe, K.; Nyirenda, J.; Lumai, A.; Phiri, H. Impact of Solvent Type on Total Phenol and Flavonoid Content and Sun Protection Factor of Crude Cashew Nutshell Liquid. Sustain. Chem. 2022, 3, 334–344. [Google Scholar] [CrossRef]
- Formagio, A.S.N.; Volobuff, C.R.F.; Santiago, M.; Cardoso, C.A.L.; Vieira, M.D.; Pereira, Z.V. Evaluation of Antioxidant Activity, Total Flavonoids, Tannins and Phenolic Compounds in Psychotria Leaf Extracts. Antioxidants 2014, 3, 745–757. [Google Scholar] [CrossRef]
- Toro-Uribe, S.; Ibañez, E.; Decker, E.A.; Villamizar-Jaimes, A.R.; López-Giraldo, L.J. Food-Safe Process for High Recovery of Flavonoids from Cocoa Beans: Antioxidant and HPLC-DAD-ESI-MS/MS Analysis. Antioxidants 2020, 9, 364. [Google Scholar] [CrossRef]
- Liyana-Pathirana, C.M.; Shahidi, F. Antioxidant Activity of Commercial Soft and Hard Wheat (Triticum aestivum L.) as Affected by Gastric pH Conditions. J. Agric. Food Chem. 2005, 53, 2433–2440. [Google Scholar] [CrossRef]
- Re, R.; Pellegrini, N.; Proteggente, A.; Pannala, A.; Yang, M.; Rice-Evans, C. Antioxidant Activity Applying an Improved ABTS Radical Cation Decolorization Assay. Free Radic. Biol. Med. 1999, 26, 1231–1237. [Google Scholar] [CrossRef]
- Benzie, I.F.; Strain, J.J. Ferric Reducing/Antioxidant Power Assay: Direct Measure of Total Antioxidant Activity of Biological Fluids and Modified Version for Simultaneous Measurement of Total Antioxidant Power and Ascorbic Acid Concentration. Methods Enzymol. 1999, 299, 15–27. [Google Scholar] [CrossRef] [PubMed]
- Tumbas Šaponjac, V.; Gironés-Vilaplana, A.; Djilas, S.; Mena, P.; Ćetković, G.; Moreno, D.A.; Čanadanović-Brunet, J.; Vulić, J.; Stajčić, S.; Krunić, M. Anthocyanin Profiles and Biological Properties of Caneberry (Rubus spp.) Press Residues. J. Sci. Food Agric. 2014, 94, 2393–2400. [Google Scholar] [CrossRef] [PubMed]
- Bajić, A.; Pezo, L.L.; Stupar, A.; Filipčev, B.; Cvetković, B.R.; Horecki, A.T.; Mastilović, J. Application of Lyophilized Plum Pomace as a Functional Ingredient in a Plum Spread: Optimizing Texture, Colour and Phenol Antioxidants by ANN Modelling. LWT 2020, 130, 109588. [Google Scholar] [CrossRef]
- Pavlic, B.; Pezo, L.; Maric, B.; Peic Tukuljac, L.; Zekovic, Z.; Bodroža-Solarov, M.; Teslić, N. Supercritical Fluid Extraction of Raspberry Seed Oil: Experiments and Modelling. J. Supercrit. Fluids 2019, 157, 104687. [Google Scholar] [CrossRef]
- Erceg, T.; Aćimović, M.; Šovljanski, O.; Lončar, B.; Tomić, A.; Pavlović, M.; Vukić, V.; Hadnađev, M. Preparation and Characterization of Carboxymethylated Pullulan/Butyric Acid-Modified Chitosan Active Sustainable Bi-Layer Coatings Intended for Packaging of Cheese Slices. Int. J. Biol. Macromol. 2024, 277, 134053. [Google Scholar] [CrossRef]
- Brlek, T.; Pezo, L.; Voća, N.; Krička, T.; Vukmirović, Đ.; Čolović, R.; Bodroža-Solarov, M. Chemometric Approach for Assessing the Quality of Olive Cake Pellets. Fuel Process. Technol. 2013, 116, 250–256. [Google Scholar] [CrossRef]
- Salamatullah, A.M.; Özcan, M.M.; Alkaltham, M.S.; Uslu, N.; Hayat, K. Influence of Boiling on Total Phenol, Antioxidant Activity, and Phenolic Compounds of Celery (Apium graveolens L.) Root. J. Food Process. Preserv. 2021, 45, e15171. [Google Scholar] [CrossRef]
- Prieciņa, L.; Kārkliņa, D. Natural Antioxidant Changes in Fresh and Dried Spices and Vegetables. Int. J. Nutr. Food Eng. 2014, 8, 492–496. [Google Scholar]
- Yao, Y.; Sang, W.; Zhou, M.; Ren, G. Phenolic Composition and Antioxidant Activities of 11 Celery Cultivars. J. Food Sci. 2010, 75, C9–C13. [Google Scholar] [CrossRef]
- Godlewska, K.; Pacyga, P.; Michalak, I.; Biesiada, A.; Szumny, A.; Pachura, N.; Piszcz, U. Field-Scale Evaluation of Botanical Extracts Effect on the Yield, Chemical Composition and Antioxidant Activity of Celeriac (Apium graveolens L. Var. rapaceum). Molecules 2020, 25, 4212. [Google Scholar] [CrossRef]
- Liang, W.-H.; Chang, T.-W.; Charng, Y.-C. Effects of Drying Methods on Contents of Bioactive Compounds and Antioxidant Activities of Angelica dahurica. Food Sci. Biotechnol. 2018, 27, 1085–1092. [Google Scholar] [CrossRef] [PubMed]
- Miao, J.; Liu, J.; Gao, X.; Lu, F.; Yang, X. Effects of Different Drying Methods on Chemical Compositions, Antioxidant Activity and Anti-α-Glucosidase Activity of Coreopsis tinctoria Flower Tea. Heliyon 2022, 8, e11784. [Google Scholar] [CrossRef] [PubMed]
- Roshanak, S.; Rahimmalek, M.; Goli, S.A.H. Evaluation of Seven Different Drying Treatments in Respect to Total Flavonoid, Phenolic, Vitamin C Content, Chlorophyll, Antioxidant Activity and Color of Green Tea (Camellia sinensis or C. assamica) Leaves. J. Food Sci. Technol. 2016, 53, 721–729. [Google Scholar] [CrossRef] [PubMed]
- Skendi, A.; Bouloumpasi, E.; Chatzopoulou, P.; Biliaderis, C.G.; Irakli, M. Comparison of Drying Methods for the Retention of Phenolic Antioxidants in Post-Distillation Solid Residues of Aromatic Plants. LWT 2023, 189, 115463. [Google Scholar] [CrossRef]
- Priecina, L.; Karklina, D.; Kince, T. The Impact of Steam-Blanching and Dehydration on Phenolic, Organic Acid Composition, and Total Carotenoids in Celery Roots. Innov. Food Sci. Emerg. Technol. 2018, 49, 192–201. [Google Scholar] [CrossRef]
- Dobričević, N.; Šic Žlabur, J.; Voća, S.; Pliestić, S.; Galić, A.; Delić, A.; Fabek Uher, S. Bioactive Compounds Content and Nutritional Potential of Different Parsley Parts (Petroselinum crispum Mill.). J. Cent. Eur. Agric. 2019, 20, 900–910. [Google Scholar] [CrossRef]
- Lima, M.S.; Resende, O.; Placido, G.R.; Silva, J.A.; Celia, J.A.; Caliari, M.; Oliveira, D.E.; Correia, J.S.; Silva, M.A. Effects of Drying Temperature on the Bioactive and Technological Properties of Turmeric (Curcuma longa L.) Flour. Food Sci. Technol. 2022, 42, e76122. [Google Scholar] [CrossRef]
- Komonsing, N.; Khuwijitjaru, P.; Nagle, M.; Müller, J.; Mahayothee, B. Effect of Drying Temperature Together with Light on Drying Characteristics and Bioactive Compounds in Turmeric Slice. J. Food Eng. 2022, 317, 110695. [Google Scholar] [CrossRef]
- Moulick, S.P.; Jahan, F.; Islam, M.B.; Bashera, M.A.; Hasan, M.S.; Islam, M.J.; Ahmed, S.; Karmakar, D.; Ahmed, F.; Saha, T.; et al. Nutritional Characteristics and Antiradical Activity of Turmeric (Curcuma longa L.), Beetroot (Beta vulgaris L.), and Carrot (Daucus carota L.) Grown in Bangladesh. Heliyon 2023, 9, e21495. [Google Scholar] [CrossRef]
- Deng, B.; Zhao, J.; He, M.; Tian, S. Curcumin Treatment Enhances Bioactive Metabolite Accumulation and Reduces Enzymatic Browning in Soybean Sprouts during Storage. Food Chem. X 2023, 17, 100607. [Google Scholar] [CrossRef]
- Garcìa, L.M.; Ceccanti, C.; Negro, C.; De Bellis, L.; Incrocci, L.; Pardossi, A.; Guidi, L. Effect of Drying Methods on Phenolic Compounds and Antioxidant Activity of Urtica dioica L. Leaves. Horticulturae 2021, 7, 10. [Google Scholar] [CrossRef]
- Meng, Q.; Fan, H.; Li, Y.; Zhang, L. Effect of Drying Methods on Physico-Chemical Properties and Antioxidant Activity of Dendrobium officinale. J. Food Meas. Charact. 2018, 12, 1–10. [Google Scholar] [CrossRef]
- Chumroenphat, T.; Somboonwatthanakul, I.; Saensouk, S.; Siriamornpun, S. Changes in Curcuminoids and Chemical Components of Turmeric (Curcuma longa L.) under Freeze-Drying and Low-Temperature Drying Methods. Food Chem. 2021, 339, 128121. [Google Scholar] [CrossRef] [PubMed]
- Lutz, M.; Hernández, J.; Henríquez, C.; Lutz, M.; Hernandez, J.; Henríquez, C. Phenolic Content and Antioxidant Capacity in Fresh and Dry Fruits and Vegetables Grown in Chile. CyTA-J. Food 2015, 13, 541–547. [Google Scholar] [CrossRef]
- Dorsey, B.M.; Jones, M.A. Healthy Components of Coffee Processing By-Products. In Handbook of Coffee Processing By-Products; Elsevier: Amsterdam, The Netherlands, 2017; pp. 27–62. ISBN 978-0-12-811290-8. [Google Scholar]
- Nora, C.D.; Müller, C.D.-R.; De Bona, G.S.; Rios, A.D.O.; Hertz, P.F.; Jablonski, A.; De Jong, E.V.; Flôres, S.H. Effect of Processing on the Stability of Bioactive Compounds from Red Guava (Psidium cattleyanum Sabine) and Guabiju (Myrcianthes pungens). J. Food Compos. Anal. 2014, 34, 18–25. [Google Scholar] [CrossRef]
- Vidinamo, F.; Fawzia, S.; Karim, M.A. Effect of Drying Methods and Storage with Agro-Ecological Conditions on Phytochemicals and Antioxidant Activity of Fruits: A Review. Crit. Rev. Food Sci. Nutr. 2022, 62, 353–361. [Google Scholar] [CrossRef]
- Madrau, M.A.; Piscopo, A.; Sanguinetti, A.M.; Del Caro, A.; Poiana, M.; Romeo, F.V.; Piga, A. Effect of Drying Temperature on Polyphenolic Content and Antioxidant Activity of Apricots. Eur. Food Res. Technol. 2009, 228, 441–448. [Google Scholar] [CrossRef]
- Tiveron, A.P.; Melo, P.S.; Bergamaschi, K.B.; Vieira, T.M.F.S.; Regitano-d’Arce, M.A.B.; Alencar, S.M. Antioxidant Activity of Brazilian Vegetables and Its Relation with Phenolic Composition. Int. J. Mol. Sci. 2012, 13, 8943–8957. [Google Scholar] [CrossRef] [PubMed]
- Ghasemzadeh, A.; Azarifar, M.; Soroodi, O.; Jaafar, H.Z. Flavonoid Compounds and Their Antioxidant Activity in Extract of Some Tropical Plants. J. Med. Plants Res. 2012, 6, 2639–2643. [Google Scholar] [CrossRef]
- Shams, R.; Singh, J.; Dash, K.K.; Dar, A.H. Comparative Study of Freeze Drying and Cabinet Drying of Button Mushroom. Appl. Food Res. 2022, 2, 100084. [Google Scholar] [CrossRef]
- Otto, M. Chemometrics: Statistics and Computer Application in Analytical Chemistry; Wiley-VCH: Weinheim, Germany, 1999. [Google Scholar]
- Kaiser, H.F.; Rice, J. Little Jiffy, Mark Iv. Educ. Psychol. Meas. 1974, 34, 111–117. [Google Scholar] [CrossRef]
- Arsenov, D.; Župunski, M.; Pajević, S.; Nemeš, I.; Simin, N.; Alnuqaydan, A.M.; Watson, M.; Aloliqi, A.A.; Mimica-Dukić, N. Roots of Apium graveolens and Petroselinum crispum—Insight into Phenolic Status against Toxicity Level of Trace Elements. Plants 2021, 10, 1785. [Google Scholar] [CrossRef]
- Kumar, N.; Goel, N. Phenolic Acids: Natural Versatile Molecules with Promising Therapeutic Applications. Biotechnol. Rep. 2019, 24, e00370. [Google Scholar] [CrossRef]
- Samson, S.L.; Garber, A.J. Prevention of Type 2 Diabetes Mellitus: Potential of Pharmacological Agents. Best Pract. Res. Clin. Endocrinol. Metab. 2016, 30, 357–371. [Google Scholar] [CrossRef] [PubMed]
- Wongsa, P.; Chaiwarit, J.; Zamaludien, A. In Vitro Screening of Phenolic Compounds, Potential Inhibition against α-Amylase and α-Glucosidase of Culinary Herbs in Thailand. Food Chem. 2012, 131, 964–971. [Google Scholar] [CrossRef]
- Nisar, J.; Shah, S.M.A.; Akram, M.; Ayaz, S.; Rashid, A. Phytochemical Screening, Antioxidant, and Inhibition Activity of Picrorhiza kurroa Against α-Amylase and α-Glucosidase. Dose-Response 2022, 20, 15593258221095960. [Google Scholar] [CrossRef]
- Xiong, Y.; Ng, K.; Zhang, P.; Warner, R.D.; Shen, S.; Tang, H.-Y.; Liang, Z.; Fang, Z. In Vitro α-Glucosidase and α-Amylase Inhibitory Activities of Free and Bound Phenolic Extracts from the Bran and Kernel Fractions of Five Sorghum Grain Genotypes. Foods 2020, 9, 1301. [Google Scholar] [CrossRef]
- Takó, M.; Kerekes, E.B.; Zambrano, C.; Kotogán, A.; Papp, T.; Krisch, J.; Vágvölgyi, C. Plant Phenolics and Phenolic-Enriched Extracts as Antimicrobial Agents against Food-Contaminating Microorganisms. Antioxidants 2020, 9, 165. [Google Scholar] [CrossRef]
- Efenberger-Szmechtyk, M.; Nowak, A.; Czyzowska, A. Plant Extracts Rich in Polyphenols: Antibacterial Agents and Natural Preservatives for Meat and Meat Products. Crit. Rev. Food Sci. Nutr. 2021, 61, 149–178. [Google Scholar] [CrossRef]
- Singh, N.; Gupta, S.; Rathore, V.; Rathore, V. Comparative Antimicrobial Study of Ethanolic Extract of Leaf and Rhizome of Curcuma longa Linn. Pharmacogn. J. 2017, 9, 208–212. [Google Scholar] [CrossRef]
- Wada, N.M.; Ambi, A.A.; Ibrahim, A.A.; Bello, S.K.; Umar, A.; James, D.T. Antimicrobial Activity of Extracts of Turmeric (Curcuma longa) and Garlic (Aliium sativum) Against Selected Bacterial Clinical Isolates. Mediterr. J. Infect. Microbes Antimicrob. 2021, 10, 6. [Google Scholar] [CrossRef]
- Ebbensgaard, A.; Mordhorst, H.; Aarestrup, F.M.; Hansen, E.B. The Role of Outer Membrane Proteins and Lipopolysaccharides for the Sensitivity of Escherichia coli to Antimicrobial Peptides. Front. Microbiol. 2018, 9, 2153. [Google Scholar] [CrossRef] [PubMed]
- Safian, S.; Majid, H.; Swift, S.; Silva, F.V.M. Antimicrobial Properties against Human Pathogens of Medicinal Plants from New Zealand. Appl. Microbiol. 2022, 2, 357–366. [Google Scholar] [CrossRef]





| Sample | Total Phenolics (mg GAE/gdm) | Total Flavonoids (mg QE/gdm) | Total Flavonols (mg QE/gdm) | Total Flavan-3-Ols (mg CE/gdm) |
|---|---|---|---|---|
| CF | 1.68 ± 0.05 d | 0.15 ± 0.007 d | 1.40 ± 0.06 e | 0.24 ± 0.00 e |
| CRT | 1.31 ± 0.05 b | 0.14 ± 0.01 c | 0.73 ± 0.04 c | 0.11 ± 0.00 d |
| C60 | 1.44 ± 0.04 c | 0.10 ± 0.00 b | 0.82 ± 0.02 d | 0.08 ± 0.00 c |
| C90 | 1.40 ± 0.04 bc | 0.10 ± 0.00 b | 0.49 ± 0.01 a | 0.06 ± 0.00 b |
| CFD | 1.13 ± 0.03 a | 0.06 ± 0.00 a | 0.60 ± 0.01 b | 0.05 ± 0.00 a |
| PF | 1.50 ± 0.04 b | 0.75 ± 0.01 d | 1.46 ± 0.02 b | 0.08 ± 0.00 e |
| PRT | 1.58 ± 0.03 c | 0.53 ± 0.01 a | 1.51 ± 0.03 b | 0.05 ± 0.00 d |
| P60 | 1.48 ± 0.01 b | 0.60 ± 0.00 c | 1.56 ± 0.06 b | 0.03 ± 0.00 c |
| P90 | 1.38 ± 0.01 a | 0.56 ± 0.00 b | 1.77 ± 0.05 c | 0.01 ± 0.00 a |
| PFD | 1.32 ± 0.02 a | 0.52 ± 0.01 a | 0.80 ± 0.01 a | 0.02 ± 0.00 b |
| TF | 32.18 ± 1.05 a | 106.55 ± 0.76 a | 103.00 ± 6.55 a | 23.73 ± 0.42 d |
| TRT | 35.43 ± 0.36 b | 114.86 ± 3.77 a | 169.22 ± 5.69 c | 19.74 ± 0.65 c |
| T60 | 34.91 ± 0.51 b | 102.58 ± 4.25 a | 124.21 ± 6.55 b | 15.29 ± 0.79 a |
| T90 | 32.94 ± 0.05 a | 104.14 ± 6.75 a | 119.86 ± 0.35 b | 17.67 ± 0.36 b |
| TFD | 44.92 ± 1.27 c | 171.26 ± 6.43 b | 208.72 ± 1.02 d | 27.04 ± 1.06 e |
| Sample | DPPH | ABTS | FRAP |
|---|---|---|---|
| IC50 (mg/mL or µg/mL) | µmolFe2+/gdm | ||
| CF | 46.45 ± 1.82 c | 0.82 ± 0.05 a | 5.01 ± 0.14 a |
| CRT | 13.88 ± 0.50 a | 1.02 ± 0.03 b | 14.21 ± 0.88 c |
| C60 | 17.81 ± 0.94 b | 1.38 ± 0.06 c | 11.28 ± 0.04 b |
| C90 | 20.16 ± 0.60 b | 1.33 ± 0.03 c | 10.84 ± 0.01 b |
| CFD | 45.90 ± 1.68 c | 1.56 ± 0.07 d | 5.52 ± 0.12 a |
| PF | 26.98 ± 1.70 c | 1.21 ± 0.05 b | 12.47 ± 0.25 b |
| PRT | 13.25 ± 0.12 a | 0.92 ± 0.04 a | 16.05 ± 0.27 c |
| P60 | 19.66 ± 0.27 b | 1.80 ± 0.02 d | 10.37 ± 0.11 a |
| P90 | 19.97 ± 0.31 b | 1.72 ± 0.02 cd | 10.26 ± 0.30 a |
| PFD | 18.33 ± 0.16 b | 1.59 ± 0.08 c | 12.10 ± 0.20 b |
| TF | 339.33 ± 3.89 d | 27.84 ± 0.28 b | 409.67 ± 13.33 a |
| TRT | 197.97 ± 10.40 b | 18.62 ± 0.76 a | 493.41 ± 7.28 c |
| T60 | 274.00 ± 15.22 c | 19.87 ± 0.65 a | 442.59 ± 4.67 b |
| T90 | 263.66 ± 2.22 c | 25.72 ± 1.14 b | 428.90 ± 2.64 ab |
| TFD | 163.99 ± 4.73 a | 18.16 ± 0.64 a | 619.72 ± 6.40 d |
| Sample | L* | a* | b* |
|---|---|---|---|
| CF | 57.47 ± 3.70 a | −0.41 ± 0.02 b | 15.08 ± 0.35 a |
| CRT | 59.04 ± 1.50 a | 7.37 ± 0.25 d | 28.80 ± 1.54 d |
| C60 | 67.93 ± 3.06 b | 1.06 ± 0.04 c | 21.75 ± 0.92 c |
| C90 | 76.66 ± 7.09 c | −0.40 ± 0.04 b | 18.12 ± 1.39 b |
| CFD | 89.77 ± 1.76 d | −2.41 ± 0.14 a | 22.03 ± 1.32 c |
| PF | 63.08 ± 2.96 b | −1.34 ± 0.12 b | 15.54 ± 1.30 a |
| PRT | 56.28 ± 2.32 a | 7.22 ± 0.21 e | 29.56 ± 2.05 c |
| P60 | 63.90 ± 3.67 b | 0.29 ± 0.03 c | 21.32 ± 1.60 b |
| P90 | 63.78 ± 1.61 b | 0.73 ± 0.06 d | 22.07 ± 0.75 b |
| PFD | 89.22 ± 1.64 c | −2.02 ± 0.46 a | 20.33 ± 3.76 b |
| TF | 58.41 ± 2.92 b | 25.60 ± 2.23 b | 60.82 ± 4.33 c |
| TRT | 53.14 ± 2.20 a | 20.58 ± 1.60 a | 47.79 ± 3.42 a |
| T60 | 53.25 ± 3.43 a | 21.81 ± 1.04 a | 56.77 ± 3.79 b |
| T90 | 53.25 ± 2.89 a | 21.82 ± 1.73 a | 54.48 ± 1.30 b |
| TFD | 62.75 ± 1.88 c | 27.49 ± 1.33 c | 65.69 ± 2.14 d |
| Sample | Tfl | Tflol | Tfl3ol | IC50ABTS | IC50DPPH | FRAP |
|---|---|---|---|---|---|---|
| TPh | 0.994 ** | 0.984 ** | 0.982 ** | −0.910 ** | −0.759 ** | 0.999 ** |
| Tfl | 0.989 ** | 0.987 ** | −0.889 ** | −0.744 ** | 0.996 ** | |
| Tflol | 0.963 ** | −0.875 ** | −0.731 * | 0.991 ** | ||
| Tfl3ol | −0.894 ** | −0.744 ** | 0.982 ** | |||
| IC50ABTS | 0.676* | −0.904 ** | ||||
| IC50DPPH | −0.761 ** |
| χ2 | RMSE | MBE | MPE | SSE | AARD | r2 | Skew | Kurt | Mean | StDev | Var | |
|---|---|---|---|---|---|---|---|---|---|---|---|---|
| TPh | 0.702 | 0.810 | 0.227 | 13.937 | 9.834 | 26.132 | 0.998 | −0.399 | 6.248 | 0.227 | 0.804 | 0.647 |
| Tfl | 21.001 | 4.427 | −1.548 | 43.590 | 294.019 | 81.732 | 0.997 | −2.746 | 7.906 | −1.548 | 4.293 | 18.433 |
| Tflol | 92.861 | 9.310 | 4.381 | 34.256 | 1300.053 | 64.231 | 0.991 | 2.135 | 3.848 | 4.381 | 8.503 | 72.298 |
| Tfl3ol | 10.182 | 3.083 | −1.322 | 47.921 | 142.546 | 89.852 | 0.958 | −1.867 | 2.124 | −1.322 | 2.883 | 8.310 |
| IC50ABTS | 0.045 | 0.205 | 0.074 | 11.251 | 0.632 | 21.095 | 0.920 | 3.365 | 11.862 | 0.074 | 0.198 | 0.039 |
| IC50DPPH | 447.391 | 20.434 | −14.779 | 94.546 | 6263.477 | 177.273 | 0.591 | 0.017 | −2.142 | −14.779 | 14.607 | 213.364 |
| FRAP | 57.298 | 7.313 | 2.717 | 9.474 | 802.167 | 17.763 | 0.999 | 2.608 | 7.236 | 2.717 | 7.027 | 49.385 |
| Phenolic Compound | C90 | PFD | TFD |
|---|---|---|---|
| µg/100 gdm | |||
| p-hydroxybenzoic acid | 35.50 ± 0.08 | 8.92 ± 0.04 | 3.16 ± 0.02 |
| Gallic acid | 36.43 ± 0.04 | 4.19 ± 0.07 | 2.42 ± 0.02 |
| Protocatechuic acid | 1.67 ± 0.06 | 22.17 ± 0.07 | 4.32 ± 0.07 |
| Catechin | n.d. | 5.09 ± 0.06 | 4.92 ± 0.04 |
| Epicatechin | n.d. | 6.06 ± 0.12 | 4.12 ± 0.03 |
| Caffeic acid | n.d. | 2.87 ± 0.01 | n.d. |
| Cinnamic acid | 2.43 ± 0.01 | 4.47 ± 0.02 | 1.58 ± 0.02 |
| Ferulic acid | 2.12 ± 0.01 | 34.37 ± 0.03 | 1.45 ± 0.04 |
| Apigenin | 0.42 ± 0.02 | 4.19 ± 0.03 | 0.79 ± 0.01 |
| Coumaric acid | 4.15 ± 0.02 | n.d. | 2.94 ± 0.02 |
| Chlorogenic acid | n.d. | n.d. | 0.50 ± 0.01 |
| Vanillic acid | n.d. | n.d. | 2.26 ± 0.02 |
| Quercetin | n.d. | n.d. | 2.05 ± 0.10 |
| Total amount | 82.72 | 92.33 | 30.52 |
| Sample (Concentration) | Antihyperglycemic Activity (%) |
|---|---|
| C90 (100 mg/mL) | 84.44 ± 0.62 |
| PFD (40 mg/mL) | 12.13 ± 0.00 |
| TFD (40 mg/mL) | 57.03 ± 0.15 |
| Sample | Zone of Inhibition (mm) | |
|---|---|---|
| Escherichia coli ATCC 25922 | Staphylococcus aureus ATCC 25923 | |
| C90 | n.d. | n.d. |
| PFD | n.d. | n.d. |
| TFD | n.d. | 8.67 ± 0.58 |
| Positive control | 34.87 ± 0.35 | 37.30 ± 0.75 |
| Negative control (water) | n.d. | n.d. |
| Negative control (40% ethanol) | n.d. | n.d. |
Disclaimer/Publisher’s Note: The statements, opinions and data contained in all publications are solely those of the individual author(s) and contributor(s) and not of MDPI and/or the editor(s). MDPI and/or the editor(s) disclaim responsibility for any injury to people or property resulting from any ideas, methods, instructions or products referred to in the content. |
© 2024 by the authors. Licensee MDPI, Basel, Switzerland. This article is an open access article distributed under the terms and conditions of the Creative Commons Attribution (CC BY) license (https://creativecommons.org/licenses/by/4.0/).
Share and Cite
Latinović, S.; Vasilišin, L.; Pezo, L.; Lakić-Karalić, N.; Cvetković, D.; Ranitović, A.; Brunet, S.; Cvanić, T.; Vulić, J. Impact of Drying Methods on Phenolic Composition and Bioactivity of Celery, Parsley, and Turmeric—Chemometric Approach. Foods 2024, 13, 3355. https://doi.org/10.3390/foods13213355
Latinović S, Vasilišin L, Pezo L, Lakić-Karalić N, Cvetković D, Ranitović A, Brunet S, Cvanić T, Vulić J. Impact of Drying Methods on Phenolic Composition and Bioactivity of Celery, Parsley, and Turmeric—Chemometric Approach. Foods. 2024; 13(21):3355. https://doi.org/10.3390/foods13213355
Chicago/Turabian StyleLatinović, Staniša, Ladislav Vasilišin, Lato Pezo, Nataša Lakić-Karalić, Dragoljub Cvetković, Aleksandra Ranitović, Sara Brunet, Teodora Cvanić, and Jelena Vulić. 2024. "Impact of Drying Methods on Phenolic Composition and Bioactivity of Celery, Parsley, and Turmeric—Chemometric Approach" Foods 13, no. 21: 3355. https://doi.org/10.3390/foods13213355
APA StyleLatinović, S., Vasilišin, L., Pezo, L., Lakić-Karalić, N., Cvetković, D., Ranitović, A., Brunet, S., Cvanić, T., & Vulić, J. (2024). Impact of Drying Methods on Phenolic Composition and Bioactivity of Celery, Parsley, and Turmeric—Chemometric Approach. Foods, 13(21), 3355. https://doi.org/10.3390/foods13213355

