Millet Bran Dietary Fibers Modified by Heating and Enzymolysis Combined with Carboxymethylation, Acetylation, or Crosslinking: Influences on Properties of Heat-Induced Egg White Protein Gel
Abstract
1. Introduction
2. Materials and Methods
2.1. Materials
2.2. Extraction of MBDF
2.3. Heating and Dual Enzymes Treatment of MBDF
2.4. Carboxymethylation of MBDF-HDE
2.5. Phosphate Crosslinking of MBDF-HDE
2.6. Acetylation of MBDF-HDE
2.7. Preparation of Egg White Protein Gels with MBDFs
2.8. Chemical Constituents, Surface Area, and Color Determination
2.9. Structure Investigation
2.9.1. Microstructure Microscopy
2.9.2. Fourier-Transformed Infrared Spectroscopy
2.10. Water-Retention and Expansion Abilities and Viscosity
2.11. Characterization of Gel
2.11.1. Water-Retention Ability of Gel
2.11.2. Freeze-Thaw Cycle (FTC) Test
2.11.3. Optical Transparency of Gel
2.11.4. Texture Properties of Gel
2.11.5. In Vitro Gastrointestinal Digestion
2.12. Statistical Analysis
3. Results and Discussion
3.1. Chemical Constituent of MBDFs
3.2. Particle Size and Color Analysis of MBDF
3.3. Structure Analysis of MBDF
3.3.1. Microstructure of MBDF
3.3.2. Fourier-Transform Infrared Spectra
3.4. Hydration Properties of DF
3.5. Structural Characteristics of H-EWGs
3.5.1. Microstructure of Gels
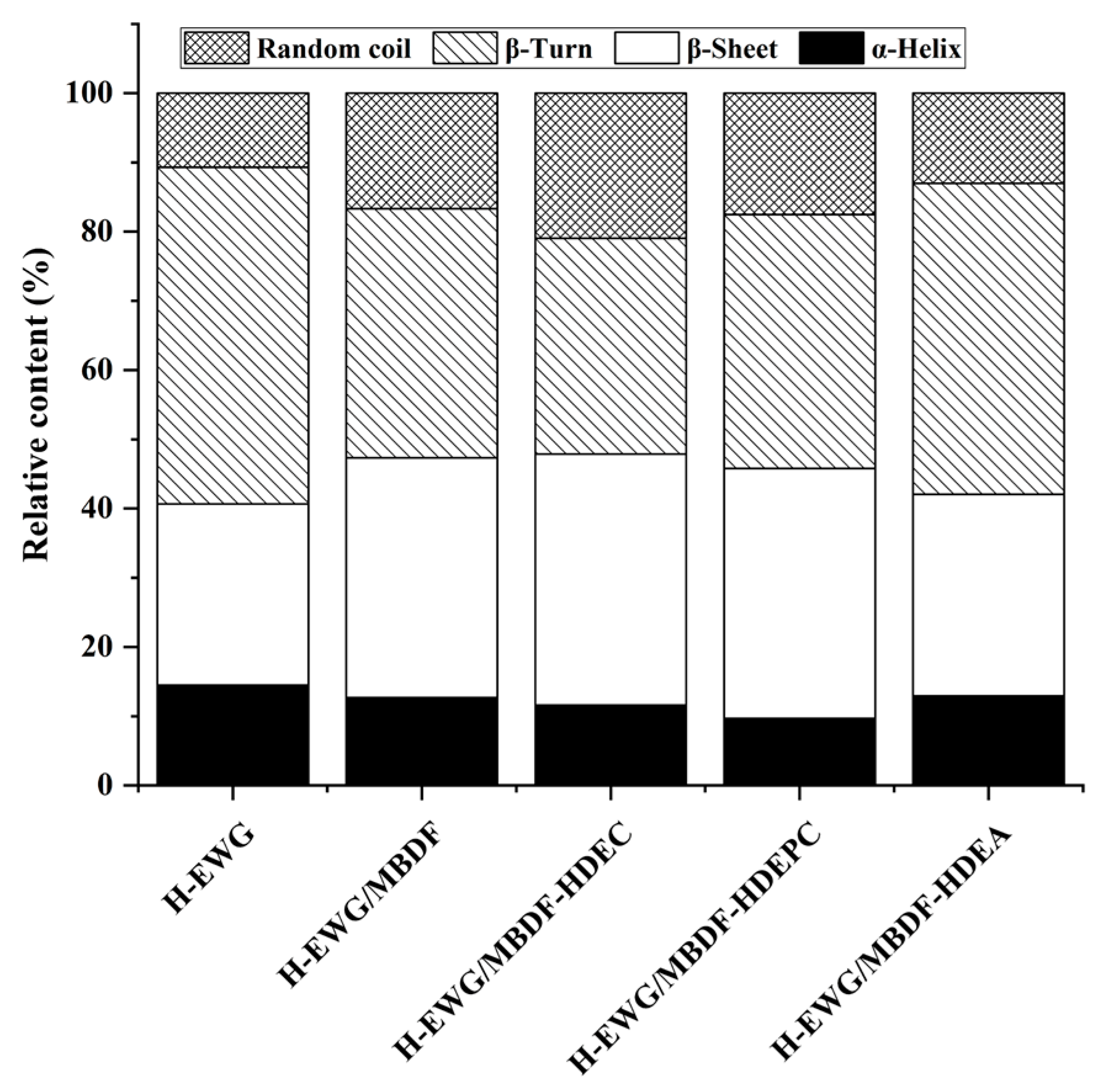
3.5.2. Secondary Structure
3.6. Physicochemical Properties of H-EWGs
3.6.1. WHA of H-EWGs
3.6.2. pH Value
3.6.3. Dehydration Rate in Freeze-Thaw Cycle
3.6.4. Optical Transparency of H-EWGs
3.6.5. Texture Properties of H-EWG
3.7. In Vitro Digestion of H-EWGs
4. Conclusions
Author Contributions
Funding
Institutional Review Board Statement
Informed Consent Statement
Data Availability Statement
Acknowledgments
Conflicts of Interest
References
- Huyst, A.M.R.; Deleu, L.J.; Luyckx, T.; Van der Meeren, L.; Housmans, J.A.J.; Iqbal, S.; Tirpanalan-Staben, Ö.; Franke, K. Modification of Dietary Fibers to Valorize the By-Products of Cereal, Fruit and Vegetable Industry—A Review on Treatment Methods. Plants 2022, 11, 3466. [Google Scholar] [CrossRef] [PubMed]
- Torbica, A.; Radosavljević, M.; Belović, M.; Tamilselvan, T.; Prabhasankar, P. Biotechnological tools for cereal and pseudocereal dietary fibre modification in the bakery products creation–Advantages, disadvantages and challenges. Trends Food Sci. Tech. 2022, 129, 194–209. [Google Scholar] [CrossRef]
- Yang, D.; Shen, J.; Tang, C.; Lu, Z.; Lu, F.; Bie, X.; Meng, F.; Zhao, H. Prevention of high-fat-diet-induced obesity in mice by soluble dietary fiber from fermented and unfermented millet bran. Food Res. Int. 2024, 179, 113974. [Google Scholar] [CrossRef] [PubMed]
- Dong, R.; Liao, W.; Xie, J.; Chen, Y.; Peng, G.; Xie, J.; Sun, N.; Liu, S.; Yu, C.; Yu, Q. Enrichment of yogurt with carrot soluble dietary fiber prepared by three physical modified treatments: Microstructure, rheology and storage stability. Innov. Food Sci. Emerg. 2022, 75, 102901. [Google Scholar] [CrossRef]
- Zheng, Y.J.; Tian, H.L.; Li, Y.; Wang, X.; Shi, P.Q. Effects of carboxymethylation, hydroxypropylation and dual enzyme hydrolysis combination with heating on physicochemical and functional properties and antioxidant activity of coconut cake dietary fibre. Food Chem. 2021, 336, 127688. [Google Scholar] [CrossRef]
- Zheng, Y.J.; Li, J.R.; Wang, X.Y.; Guo, M.; Cheng, C.X.; Zhang, Y. Effects of three biological combined with chemical methods on the microstructure, physicochemical properties and antioxidant activity of millet bran dietary fibre. Food Chem. 2023, 411, 135503. [Google Scholar] [CrossRef]
- Zhu, Y.; He, C.; Fan, H.; Lu, Z.; Lu, F.; Zhao, H. Modification of foxtail millet (Setaria italica) bran dietary fiber by xylanase-catalyzed hydrolysis improves its cholesterol-binding capacity. LWT Food Sci. Tech. 2019, 101, 463–468. [Google Scholar] [CrossRef]
- Jiang, Y.; Yin, H.; Zheng, Y.; Wang, D.; Liu, Z.; Deng, Y.; Zhao, Y. Structure, physicochemical and bioactive properties of dietary fibers from Akebia trifoliata (Thunb.) Koidz. seeds using ultrasonication/shear emulsifying/microwave assisted enzymatic extraction. Food Res. Int. 2020, 136, 109348. [Google Scholar] [CrossRef]
- Saini, P.; Sinha, A.S.K.; Prasad, K. Wet refining: A novel approach for modification of wheat bran fiber. Innov. Food Sci. Emerg. 2023, 90, 103508. [Google Scholar] [CrossRef]
- Huang, Q.; Hong, T.; Zheng, M.; Yang, Y.; Zhu, Y.; Jiang, Z.; Ni, H.; Li, Q. High pressure homogenization treatment of red seaweed Bangia fusco-purpurea affects the physicochemical, functional properties and enhances in vitro anti glycation activity of its dietary fibers. Innov. Food Sci. Emerg. 2023, 86, 103369. [Google Scholar] [CrossRef]
- Tian, Y.; Sheng, Y.; Wu, T.; Quan, Z.; Wang, C. Effects of cavitation jet combined with ultrasound, alkaline hydrogen peroxide and Bacillus subtilis treatment on the properties of dietary fiber. Food Biosci. 2024, 59, 103895. [Google Scholar] [CrossRef]
- Zhao, X.; Chen, B.; Liu, T.; Cai, Y.; Huang, L.; Zhao, M.; Zhao, Q. The formation, structural and rheological properties of emulsion gels stabilized by egg white protein-insoluble soybean fiber complex. Food Hydrocolloid. 2023, 134, 108035. [Google Scholar] [CrossRef]
- Grootaert, C.; Monge-Morera, M.; Delcour, J.A.; Skirtach, A.G.; Rousseau, F.; Schymkowitz, J.; Dewettinck, K.; Van der Meeren, P. Impact of heat and enzymatic treatment on ovalbumin amyloid-like fibril formation and enzymeinduced gelation. Food Hydrocolloid. 2022, 131, 107784. [Google Scholar]
- Liu, J.B.; Chai, J.J.; Yuan, Y.X.; Zhang, T.; Saini, R.K.; Yang, M.; Shang, X.M. Dextran sulfate facilitates egg white protein to form transparent hydrogel at neutral pH: Structural, functional, and degradation properties. Food Hydrocolloid. 2022, 122, 107094. [Google Scholar] [CrossRef]
- Zhang, T.; Yuan, Y.Y.; Wu, X.L.; Yu, P.X.; Ji, J.H.; Chai, J.L.; Sainic, R.K.; Liu, J.B.; Shang, X.M. The level of sulfate substitution of polysaccharide regulates thermal-induced egg white protein gel properties: The characterization of gel structure and intermolecular forces. Food Res. Int. 2023, 173, 113349. [Google Scholar] [CrossRef]
- Xiao, Y.; Li, J.; Liu, Y.; Peng, F.; Wang, X.; Wang, C.; Li, M.; Xv, D. Gel properties and formation mechanism of soy protein isolate gels improved by wheat bran cellulose. Food Chem. 2020, 324, 126876. [Google Scholar] [CrossRef]
- Zheng, Y.J.; Li, Y. Physicochemical and functional properties of coconut (Cocos nucifera L) cake dietary fibres: Effects of cellulase hydrolysis, acid treatment and particle size distribution. Food Chem. 2018, 257, 135–142. [Google Scholar] [CrossRef]
- Ma, Z.; Yao, J.; Wang, Y.; Jia, J.; Liu, F.; Liu, X. Polysaccharide-based delivery system for curcumin: Fabrication and characterization of carboxymethylated corn fiber gum/chitosan biopolymer particles. Food Hydrocolloid. 2022, 125, 107367. [Google Scholar] [CrossRef]
- Zhang, M.Y.; Liao, A.M.; Thakur, K.; Huang, J.H.; Zhang, J.G.; Wei, Z.J. Modification of wheat branin soluble dietary fiber with carboxymethylation, complex enzymatic hydrolysis and ultrafine comminution. Food Chem. 2019, 297, 124983. [Google Scholar] [CrossRef]
- Hazarika, B.J.; Sit, N. Effect of dual modification with hydroxypropylation and cross-linking on physicochemical properties of taro starch. Carbohyd. Polym. 2016, 140, 269–278. [Google Scholar] [CrossRef]
- Nasseri, R.; Ngunjiri, R.; Moresoli, C.; Yu, A.; Yuan, Z.; Xu, C. Poly(lactic acid)/acetylated starch blends: Effect of starch acetylation on the material properties. Carbohyd Polym. 2020, 229, 115453. [Google Scholar] [CrossRef] [PubMed]
- AOAC Official Methods of Analysis. Washington, DC: Association of Official Analytical Chemists. Caracter. Propagação E Melhor. Genético De Pitaya Comer. E Nativ. Do Cerrado 2000, 26, 62. [Google Scholar]
- Bashash, M.; Varidi, M.; Varshosaz, J. Ultrasound-triggered transglutaminase-catalyzed egg white-bovine gelatin composite hydrogel: Physicochemical and rheological studies. Innov. Food Sci. Emerg. 2022, 76, 102936. [Google Scholar] [CrossRef]
- Khemakhem, M.; Attia, H.; Ayadi, M.A. The effect of pH, sucrose, salt and hydrocolloid gums on the gelling properties and water holding ability of egg white gel. Food Hydrocolloid. 2019, 87, 11–19. [Google Scholar] [CrossRef]
- Lee, S.; Jeong, S.K.C.; Jeon, H.; Kim, Y.J.; Choi, Y.S.; Jung, S. Heat-induced gelation of egg white proteins depending on heating temperature: Insights into protein structure and digestive behaviors in the elderly in vitro digestion model. Int. J. Biol. Macromol. 2024, 262, 130053. [Google Scholar] [CrossRef]
- Church, F.C.; Swaisgood, H.E.; Porter, D.H.; Catignani, G.L. Spectrophotometric assay using o-phthaldialdehyde for determination of proteolysis in milk and isolated milk Proteins1. J. Dairy Sci. 1983, 66, 1219–1227. [Google Scholar] [CrossRef]
- Garzón, A.G.; Veras, F.F.; Brandelli, A.; Drago, S.R. Purification, identification and in silico studies of antioxidant, antidiabetogenic and antibacterial peptides obtained from sorghum spent grain hydrolysate. LWT-Food Sci. Technol. 2022, 153, 112414. [Google Scholar] [CrossRef]
- Chu, J.; Zhao, H.; Lu, Z.; Lu, F.; Bie, X.; Zhang, C. Improved physicochemical and functional properties of dietary fiber from millet bran fermented by Bacillus natto. Food Chem. 2019, 294, 79–86. [Google Scholar] [CrossRef]
- Kanwar, P.; Yadav, R.B.; Yadav, B.S. Influence of chemical modification approaches on physicochemical and structural properties of dietary fiber from oat. J. Cereal Sci. 2023, 111, 103688. [Google Scholar] [CrossRef]
- Xu, Y.; Qi, J.; Yu, M.; Zhang, R.; Lin, H.; Yan, H.; Li, C.; Jia, J.M.; Hu, Y. Insight into the mechanism of water-insoluble dietary fiber from star anise (Illicium verum Hook. f.) on water-holding capacity of myofibrillar protein gels. Food Chem. 2023, 423, 136348. [Google Scholar] [CrossRef]
- Ullah, I.; Hu, Y.; You, J.; Yin, T.; Xiong, S.; Din, Z.U.; Huang, Q.L.; Liu, R. Influence of okara dietary fiber with varying particle sizes on gelling properties, water state and microstructure of tofu gel. Food Hydrocolloid. 2019, 89, 512–522. [Google Scholar] [CrossRef]
- Zang, J.; Zhang, Y.; Pan, X.; Peng, D.; Tu, Y.; Chen, J.; Zhang, Q.F.; Tang, D.B.; Yin, Z. Advances in the formation mechanism, influencing factors and applications of egg white gels: A review. Trends Food Sci. Tech. 2023, 138, 417–432. [Google Scholar] [CrossRef]
- Li, Y.; Liu, J.; Ma, S.; Yang, M.; Zhang, H.; Zhang, T.; Yu, Y.; Du, Z. Co-assembly of egg white-derived peptides and protein-polysaccharide complexes for curcumin encapsulation: The enhancement of stability, redispersibility, and bioactivity. Food Chem. 2022, 394, 133496. [Google Scholar] [CrossRef]
- Renzetti, S.; van den Hoek, I.A.F.; van der Sman, R.G.M. Amino acids, polyols and soluble fibres as sugar replacers in bakery applications: Egg white proteins denaturation controlled by hydrogen bond density of solutions. Food Hydrocolloid. 2020, 108, 106034. [Google Scholar] [CrossRef]
- Manzoor, A.; Dar, A.H.; Pandey, V.K.; Shams, R.; Khan, S.; Panesar, P.S.; Kennedy, J.F.; Fayaz, U.; Khan, S.A. Recent insights into polysaccharide-based hydrogels and their potential applications in food sector: A review. Int. J. Biol. Macromol. 2020, 213, 987–1006. [Google Scholar] [CrossRef]
- Wang, Y.; Xie, Z.; Wu, Q.; Song, W.; Liu, L.; Wu, Y.; Gong, Z. Preparation and characterization of carboxymethyl starch from cadmium-contaminated rice. Food Chem. 2020, 308, 125674. [Google Scholar] [CrossRef] [PubMed]
- Ma, Y.Q.; Shan, A.S.; Wang, R.H.; Zhao, Y.; Chi, Y.J. Characterization of egg white powder gel structure and its relationship with gel properties influenced by pretreatment with dry heat. Food Hydrocolloid. 2021, 110, 106149. [Google Scholar] [CrossRef]
- Lv, Y.Q.; Wang, J.; Xu, L.L.; Tang, T.T.; Su, Y.J.; Gu, L.P.; Chang, C.H.; Zhang, M.; Yang, Y.J.; Li, J.H. Gel properties of okara dietary fiber-fortified soy protein isolate gel with/without NaCl. J. Sci. Food Agric. 2022, 103, 411–419. [Google Scholar] [CrossRef]






| Chemical Composition | MBDF | MBDF-HDEC | MBDF-HDEPC | MBDF-HDEA |
|---|---|---|---|---|
| Moisture (g/100 g) | 2.86 ± 0.21 c (10.84%) | 2.54 ± 0.16 c (6.30%) | 2.41 ± 0.07 c (2.90%) | 2.94 ± 0.17 c (5.78%) |
| Fat (g/100 g) | 2.47 ± 0.27 c (10.93%) | 1.73 ± 0.07 c (4.05%) | 1.24 ± 0.08 c (6.45%) | 2.08 ± 0.10 c (4.81%) |
| Protein (g/100 g) | 2.21 ± 0.08 c (3.62%) | 2.07 ± 0.05 c (2.42%) | 1.35 ± 0.11 c (8.15%) | 1.48 ± 0.01 c (0.68%) |
| Ash (g/100 g) | 3.07 ± 0.15 d (4.89%) | 4.92 ± 0.47 c (9.55%) | 3.40 ± 0.12 cd (3.53%) | 4.36 ± 0.11 c (2.52%) |
| TDF (g/100 g) | 88.95 ± 2.06 c (2.32%) | 88.74 ± 1.76 c (1.98%) | 88.60 ± 0.90 c (1.02%) | 88.14 ± 2.08 c (2.36%) |
| SDF (g/100 g) | 0.95 ± 0.09 e (9.47%) | 5.28 ± 0.41 c (7.77%) | 2.59 ± 0.11 d (4.25%) | 2.07 ± 0.27 d (13.04%) |
| IDF (g/100 g) | 88.09 ± 2.09 c (2.37%) | 83.46 ± 1.46 e (1.75%) | 86.01 ± 0.85 d (0.99%) | 86.07 ± 1.84 d (2.14%) |
| Hemicellulose (g/100 g) | 57.00 ± 6.23 c (10.93%) | 44.34 ± 2.85 d (6.43%) | 40.19 ± 3.13 d (7.79%) | 45.44 ± 3.37 d (7.42%) |
| Cellulose (g/100 g) | 19.56 ± 1.44 c (7.36%) | 15.46 ± 1.84 d (11.90%) | 14.26 ± 0.55 d (3.86%) | 13.48 ± 0.76 d (5.64%) |
| Lignin (g/100 g) | 11.53 ± 0.38 c (3.30%) | 10.09 ± 0.52 c (5.15%) | 9.75 ± 0.48 c (4.92%) | 9.74 ± 0.82 c (0.84%) |
| L | 75.22 ± 1.19 c (1.58%) | 70.82 ± 2.42 d (3.42%) | 66.69 ± 0.82 e (1.23%) | 67.18 ± 1.01 e (1.50%) |
| a | 8.34 ± 0.30 d (3.60%) | 9.84 ± 1.06 c (10.77%) | 9.50 ± 0.27 c (2.84%) | 8.73 ± 0.42 cd (4.81%) |
| b | 16.00 ± 0.63 d (3.94%) | 19.20 ± 1.99 c (10.36%) | 16.67 ± 1.13 d (6.78%) | 14.91 ± 0.86 d (5.77%) |
| ∆E | Control | 6.56 ± 0.33 d (5.03%) | 8.89 ± 0.62 c (6.97%) | 8.13 ± 0.40 c (4.92%) |
| D(3,2) (μm) | 21.58 ± 2.36 c (10.94%) | 19.27 ± 0.45 d (2.34%) | 19.11 ± 1.01 d (5.29%) | 18.59 ± 0.44 d (2.37%) |
| Polydispersity index | 2.17 ± 0.06 c (2.76%) | 1.81 ± 0.11 c (6.08%) | 1.94 ± 0.06 c (3.09%) | 0.84 ± 0.07 d (8.33%) |
| Surface area (cm2/cm3) | 2768.63 ± 7.59 c (0.27%) | 3112.79 ± 63.3 d (2.03%) | 3138.17 ± 37.6 d (1.20%) | 3226.70 ± 9.63 e (0.30%) |
| Water-holding ability (g/g) | 1.79 ± 0.02 e (1.12%) | 3.07 ± 0.12 c (3.91%) | 2.35 ± 0.21 d (8.94%) | 2.38 ± 0.10 d (4.20%) |
| Water-swelling ability (mL/g) | 0.325 ± 0.010 e (3.08%) | 1.03 ± 0.08 c (7.77%) | 0.61 ± 0.07 d (11.48%) | 0.82 ± 0.08 cd (9.76%) |
| Viscosity (cP) | 12.33 ± 0.38 d (3.74%) | 20.00 ± 3.00 c (15.00%) | 18.33 ± 1.53 c (8.35%) | 12.33 ± 1.52 d (12.33%) |
| Gels | Amount (g/100 g) | Hardness (g) | Springiness | Cohesiveness | Gumminess | Chewiness (g) | Resilience |
|---|---|---|---|---|---|---|---|
| H-EWG | 134.03 ± 3.52 f | 0.90 ± 0.01 a | 0.48 ± 0.04 a | 63.92 ± 3.86 g | 57.97 ± 2.89 f | 0.04 ± 0.00 a | |
| H-EWG/MBDF | 1 | 139.93 ± 13.85 f | 0.90 ± 0.02 a | 0.49 ± 0.04 a | 68.03 ±1.75 fg | 61.33 ± 0.91 ef | 0.05 ± 0.00 a |
| 2 | 166.80 ± 15.60 ef | 0.88 ± 0.01 a | 0.44 ± 0.01 ab | 73.33 ± 5.03 f | 64.69 ± 3.66 e | 0.04 ± 0.00 a | |
| 3 | 216.68 ± 19.16 cd | 0.88 ± 0.01 a | 0.44 ± 0.01 ab | 95.28 ± 6.03 cd | 84.70 ± 4.38 bc | 0.04 ± 0.00 a | |
| 4 | 245.49 ± 17.67 c | 0.81 ± 0.03 b | 0.41 ± 0.03 b | 101.43 ± 6.12 c | 82.36 ± 6.71 bc | 0.04 ± 0.00 a | |
| 5 | 258.50 ± 21.90 bc | 0.86 ± 0.01 a | 0.43 ± 0.03 b | 111.88 ± 10.47 b | 97.48 ± 16.61 a | 0.04 ± 0.00 a | |
| H-EWG/MBDF-HDEC | 1 | 171.19 ± 12.82 e | 0.88 ± 0.02 a | 0.45 ± 0.06 ab | 76.80 ± 4.04 f | 67.69± 5.47 de | 0.04 ± 0.00 a |
| 2 | 238.80 ± 19.07 c | 0.82 ± 0.03 b | 0.41 ± 0.02 b | 97.13 ± 4.00 c | 80.09 ± 2.96 c | 0.04 ± 0.00 a | |
| 3 | 203.43 ± 11.86 d | 0.71 ± 0.16 c | 0.44 ± 0.04 ab | 89.60 ± 7.15 d | 64.84± 19.25 e | 0.05 ± 0.02 a | |
| 4 | 263.90 ± 19.86 bc | 0.81 ± 0.04 b | 0.42 ± 0.02 b | 111.55 ± 7.04 b | 90.64 ± 1.69 b | 0.04 ± 0.00 a | |
| 5 | 323.69 ± 49.88 a | 0.78 ± 0.02 b | 0.39 ± 0.01 b | 125.79 ± 15.71 a | 98.87 ± 15.63 a | 0.05 ± 0.01 a | |
| H-EWG/MBDF-HDEPC | 1 | 143.89 ± 5.88 f | 0.87 ± 0.00 a | 0.50 ± 0.03 a | 71.34 ± 3.57 fg | 62.66 ± 2.82 e | 0.04 ± 0.00 a |
| 2 | 147.68 ± 12.67 f | 0.87 ± 0.02 a | 0.48 ± 0.04 a | 70.49 ± 2.61 fg | 61.98 ± 3.02 ef | 0.04 ± 0.00 a | |
| 3 | 184.43 ± 13.81 e | 0.87 ± 0.04 a | 0.49 ± 0.01 a | 74.63 ± 6.21 f | 79.59 ± 4.61 c | 0.05 ± 0.00 a | |
| 4 | 164.05 ± 22.50 ef | 0.87 ± 0.03 a | 0.46 ± 0.02 ab | 90.75 ± 4.64 d | 65.23 ± 2.55 e | 0.04 ± 0.00 a | |
| 5 | 272.20 ± 27.59 b | 0.74 ± 0.15 bc | 0.35 ± 0.06 b | 97.11 ± 25.91 c | 74.36 ± 4.92 cd | 0.04 ± 0.00 a | |
| H-EWG/MBDF-HDEA | 1 | 181.79 ± 5.24 e | 0.85 ± 0.04 a | 0.41 ± 0.04 b | 74.77 ± 8.52 f | 63.81 ± 10.04 e | 0.04 ± 0.00 a |
| 2 | 223.71 ± 8.97 cd | 0.89 ± 0.04 a | 0.44 ± 0.04 ab | 83.23 ± 6.70 e | 84.56 ± 9.67 bc | 0.04 ± 0.00 a | |
| 3 | 181.84 ± 11.92 e | 0.86 ± 0.01 a | 0.46 ± 0.03 ab | 84.31 ± 3.85 de | 71.62 ± 7.09 d | 0.04 ± 0.00 a | |
| 4 | 184.18 ± 12.30 e | 0.87 ± 0.00 a | 0.46 ± 0.01 ab | 84.87 ± 7.69 de | 73.89 ± 4.03 d | 0.04 ± 0.00 a | |
| 5 | 187.71 ± 13.18 e | 0.88 ± 0.02 a | 0.45 ± 0.02 ab | 95.69 ± 27.33 c | 75.39 ± 5.38 cd | 0.04 ± 0.00 a |
Disclaimer/Publisher’s Note: The statements, opinions and data contained in all publications are solely those of the individual author(s) and contributor(s) and not of MDPI and/or the editor(s). MDPI and/or the editor(s) disclaim responsibility for any injury to people or property resulting from any ideas, methods, instructions or products referred to in the content. |
© 2024 by the authors. Licensee MDPI, Basel, Switzerland. This article is an open access article distributed under the terms and conditions of the Creative Commons Attribution (CC BY) license (https://creativecommons.org/licenses/by/4.0/).
Share and Cite
Li, Y.; Feng, C.; Wang, X.; Zheng, Y.; Song, X.; Wang, N.; Liu, D. Millet Bran Dietary Fibers Modified by Heating and Enzymolysis Combined with Carboxymethylation, Acetylation, or Crosslinking: Influences on Properties of Heat-Induced Egg White Protein Gel. Foods 2024, 13, 2827. https://doi.org/10.3390/foods13172827
Li Y, Feng C, Wang X, Zheng Y, Song X, Wang N, Liu D. Millet Bran Dietary Fibers Modified by Heating and Enzymolysis Combined with Carboxymethylation, Acetylation, or Crosslinking: Influences on Properties of Heat-Induced Egg White Protein Gel. Foods. 2024; 13(17):2827. https://doi.org/10.3390/foods13172827
Chicago/Turabian StyleLi, Yan, Chen Feng, Xueying Wang, Yajun Zheng, Xinling Song, Nan Wang, and Danhong Liu. 2024. "Millet Bran Dietary Fibers Modified by Heating and Enzymolysis Combined with Carboxymethylation, Acetylation, or Crosslinking: Influences on Properties of Heat-Induced Egg White Protein Gel" Foods 13, no. 17: 2827. https://doi.org/10.3390/foods13172827
APA StyleLi, Y., Feng, C., Wang, X., Zheng, Y., Song, X., Wang, N., & Liu, D. (2024). Millet Bran Dietary Fibers Modified by Heating and Enzymolysis Combined with Carboxymethylation, Acetylation, or Crosslinking: Influences on Properties of Heat-Induced Egg White Protein Gel. Foods, 13(17), 2827. https://doi.org/10.3390/foods13172827
