Using Cooking Schools to Improve the Pleasure of Food and Cooking in Patients Experiencing Smell Loss
Abstract
1. Introduction
2. Materials and Methods
2.1. Participants
2.2. Testing of Olfactory Function and Questionnaires
2.3. Preparation and Modification of Recipes
2.4. Cooking School Contents and Structure
2.5. Statistics
3. Results
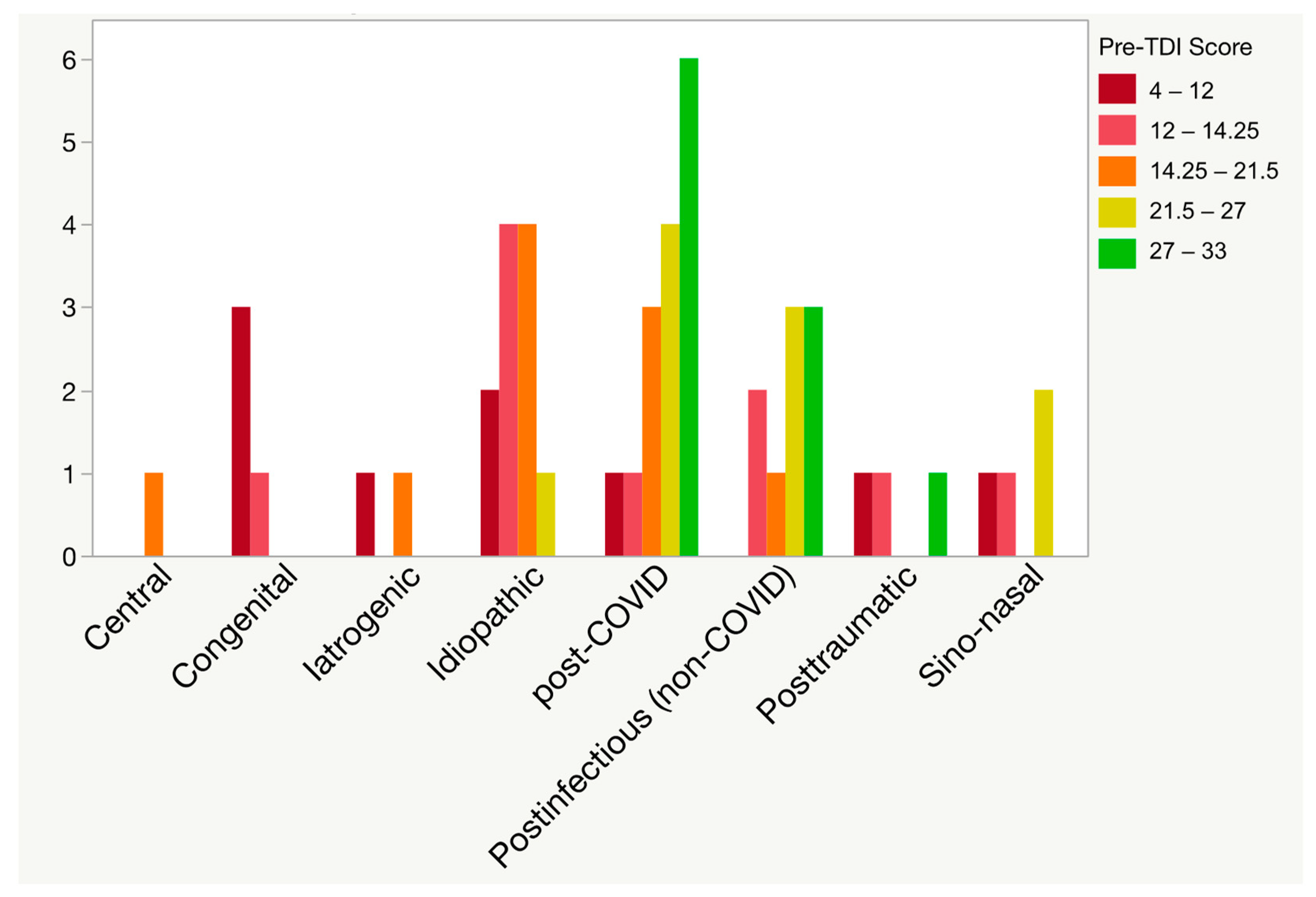
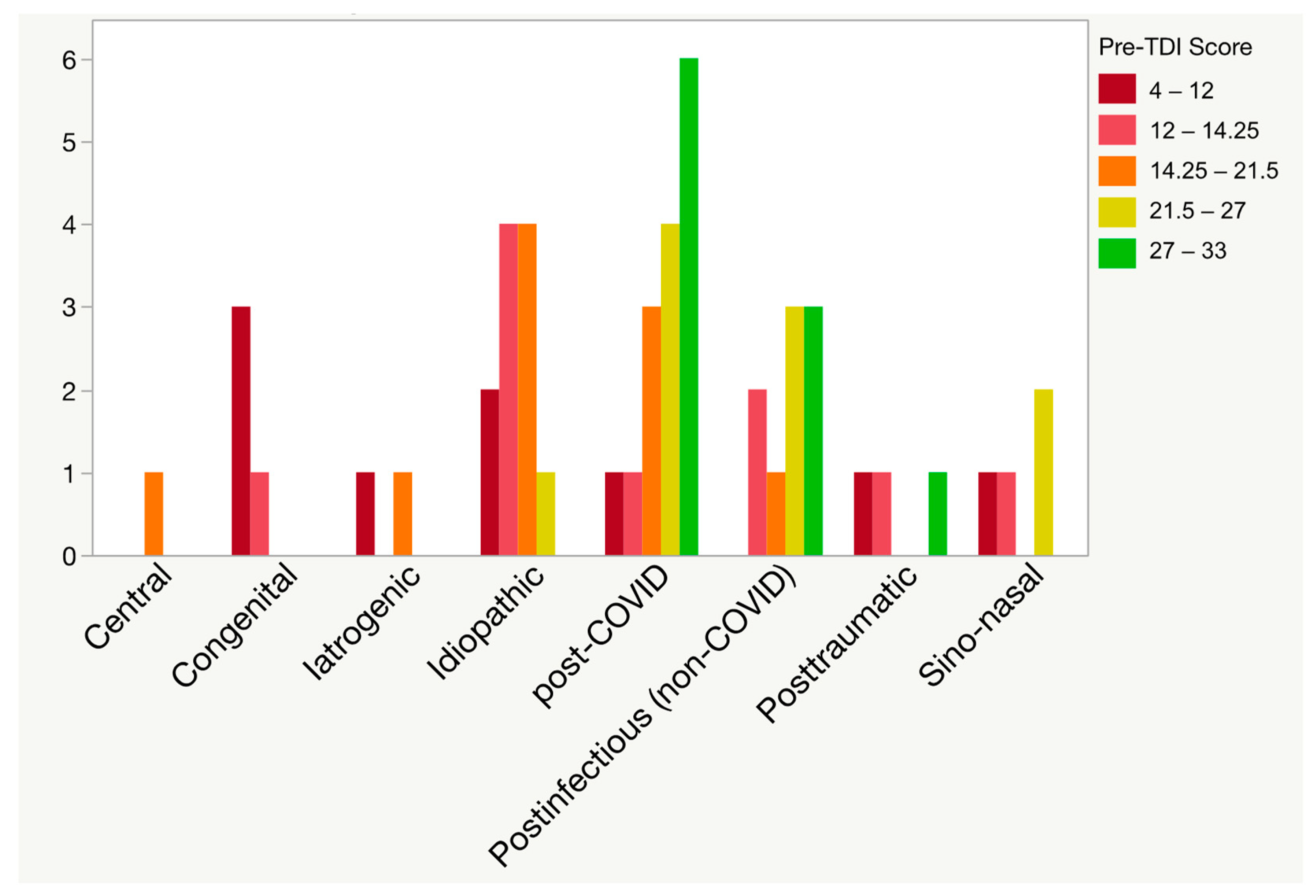
3.1. Demographics
3.2. Recipes
3.3. Cooking Problems and Habits
3.4. Satisfaction with the Cooking School and Parosmia
3.5. Food-Related QoL
4. Discussion
4.1. Impact on Cooking Habits and Food-Related QoL
4.2. Flavour Enhancement of Food in Patients with Olfactory Deficits
4.3. Parosmia
4.4. Gustatory Impairment in Patients with Olfactory Dysfunction
4.5. Future Perspectives
4.6. Limitations
5. Conclusions
Funding
Institutional Review Board Statement
Informed Consent Statement
Data Availability Statement
Acknowledgments
Conflicts of Interest
Appendix A
| Session | Contents |
|---|---|
| Session 1 (−1 day) |
|
| Session 1 |
|
| Session 2–3 |
|
| Session 4 |
|
| Session 5 |
|
| Session 5 (+0 days) |
|
| Session 5 (+90 days) |
|
| Pedagogical Goals | Applied Methods |
|---|---|
|
|
|
|
|
|
|
|
|
|
|
|
Appendix B
| Normosmic Reference (n = 166) | Start of Cooking School (n = 48) | End of Cooking School (n = 47) | Δ | p-Value | |
|---|---|---|---|---|---|
| Want to get through cooking ASAP. (FSE14 (neg)) | 2.58 (2.28; 2.88) | 3.33 (2.82; 3.85) | 3.17 (2.67; 3.67) | −0.16 | 0.3305 |
| Cooking is a fulfilling activity (FSE11) | 5.70 (5.42; 5.98) | 5.02 (4.48; 5.56) | 5.48 (5.06; 5.89) | 0.46 | 0.0245 |
| Comfortable preparing food (ISCO1) | 6.21 (5.95; 6.47) | 5.58 (5.12; 6.05) | 5.69 (5.34; 6.04) | 0.11 | 0.5924 |
| Inspired to cook for other people (STR2) | 5.67 (5.39; 5.96) | 5.34 (4.84; 5.84) | 5.53 (5.11; 5.96) | 0.19 | 0.1725 |
| Easy to accomplish desired results during cooking (FSE7) | 5.67 (5.42; 5.93) | 4.75 (4.29; 5.21) | 4.85 (4.48; 5.22) | 0.10 | 0.4784 |
| Cooking is a waste of effort (ISCU4 (neg)) | 1.89 (1.64; 2.15) | 2.15 (2.54; 3.05) | 1.77 (1.46; 2.01) | −0.38 | 0.0626 |
| Will not make a new dish again after unsuccessful first attempt (FSE16 (neg)) | 3.43 (3.16; 3.71) | 4.08 (3.58; 4.59) | 3.83 (3.25; 4.41) | −0.25 | 0.2784 |
| Cooking brings little enjoyment (FSE15 (neg)) | 3.31 (3.02; 3.61) | 4.60 (4.14; 5.07) | 4.53 (4.10; 4.96) | −0.07 | 0.7644 |
| Confidence in ability to deal with unexpected results during cooking (FSE6) | 5.38 (5.11; 5.64) | 4.73 (4.18; 5.28) | 5.13 (4.73; 5.52) | 0.40 | 0.1896 |
| Ability to decide what to eat (FSE3) | 4.99 (4.70; 5.28) | 4.85 (4.35; 5.36) | 4.63 (4.16; 5.09) | −0.22 | 0.5771 |
| Cooking for others is a burden (STR3 (neg)) | 2.57 (2.28; 2.85) | 2.71 (2.17; 3.24) | 2.52 (2.08; 2.96) | −0.19 | 0.2713 |
| Coping with problems during cooking (FSE8) | 5.67 (5.43; 5.92) | 5.06 (4.58; 5.55) | 5.15 (4.76; 5.54) | 0.09 | 0.6248 |
| Prefer to spend time on more important things than food (HO5 (neg)) | 3.20 (2.92; 3.47) | 3.60 (3.11; 4.09) | 3.15 (2.71; 3.58) | −0.55 | 0.0371 |
| Limited by lack of cooking knowledge (FSE2 (neg)) | 2.36 (2.07; 2.65) | 2.73 (2.22; 3.24) | 3.13 (2.62; 3.63) | 0.40 | 0.1714 |
| Involvement in daily meal preparations (ISMP2) | 6.15 (5.88; 6.42) | 5.94 (5.45; 6.42) | 6.27 (5.90; 6.64) | 0.33 | 0.0250 |
| Prefer to cook rather than having food prepared (ISCO3) | 4.31 (4.01; 4.61) | 3.49 (2.96; 4.02) | 4.23 (3.76; 4.70) | 0.74 | 0.0074 |
| Confidence in creating meals from ingredients on hand (ISMP5) | 6.04 (5.81; 6.28) | 5.64 (5.18; 6.10) | 6.02 (5.75; 6.29) | 0.38 | 0.0867 |
| Confidence in choosing between similar products (ISSH4) | 5.93 (5.71; 6.16) | 5.50 (5.09; 5.91) | 5.96 (5.73; 6.18) | 0.46 | 0.0166 |
| Reflection on what to cook and eat (HO4) | 5.14 (4.88; 5.41) | 4.60 (4.19; 5.00) | 4.96 (4.60; 5.32) | 0.36 | 0.0711 |
| Knowledge of usage of ingredients during purchasing (ISMP3) | 6.17 (5.97; 6.38) | 5.89 (5.50; 6.29) | 5.98 (5.71; 6.24) | 0.11 | 0.5062 |
| Difficult finding time to prepare preferred food (STR4 (neg)) | 3.63 (3.35; 3.90) | 2.94 (2.39; 3.48) | 3.09 (2.56; 3.61) | 0.15 | 0.2196 |
| Knowledge on where to find needed ingredients (ISSH5) | 6.34 (6.15; 6.53) | 6.10 (5.75; 6.46) | 6.23 (5.95; 6.51) | 0.13 | 0.2424 |
| No time to prepare meals due to family responsibilities (STR8 (neg)) | 2.62 (2.36; 2.88) | 2.40 (1.92; 2.87) | 2.33 (1.86; 2.75) | −0.07 | 0.8165 |
| No time to prepare meals due to job responsibilities (STR10 (neg)) | 3.31 (3.00; 3.62) | 2.35 (1.82; 2.89) | 2.23 (1.78; 2.68) | −0.12 | 0.5418 |
| Knowledge of kitchen equipment usage (ISCO5) | 6.37 (6.19; 6.56) | 6.15 (5.76; 6.54) | 6.31 (6.06; 6.56) | 0.16 | 0.3375 |
| Mental plan of steps before cooking (ISMP7) | 5.82 (5.59; 6.05) | 5.71 (5.31; 6.11) | 5.92 (5.58; 6.25) | 0.21 | 0.3021 |
| No time to prepare meals due to social responsibilities (STR9 (neg)) | 2.43 (2.19; 2.66) | 2.17 (1.71; 2.63) | 2.11 (1.73; 2.48) | −0.06 | 0.8167 |
| Wish for more time to plan meals (ISMP1 (neg)) | 3.98 (3.73; 4.24) | 3.48 (2.94; 4.01) | 3.48 (2.94; 4.01 | 0.00 | 0.9070 |
References
- Gerkin, R.C.; Ohla, K.; Veldhuizen, M.G.; Joseph, P.V.; Kelly, C.E.; Bakke, A.J.; Steele, K.E.; Farruggia, M.C.; Pellegrino, R.; Pepino, M.Y.; et al. Recent smell loss is the best predictor of COVID-19 among individuals with recent respiratory symptoms. Chem. Senses 2020, 46, bjaa081. [Google Scholar] [CrossRef] [PubMed]
- Brämerson, A.; Johansson, L.; Ek, L.; Nordin, S.; Bende, M. Prevalence of olfactory dysfunction: The Skövde population-based study. Laryngoscope 2004, 114, 733–737. [Google Scholar] [CrossRef] [PubMed]
- Vennemann, M.M.; Berger, K. The association between smoking and smell and taste impairment in the general population. J. Neurol. 2008, 255, 1121–1126. [Google Scholar] [CrossRef] [PubMed]
- Addison, A.B.; Wong, B.; Ahmed, T.; Macchi, A.; Konstantinidis, I.; Huart, C.; Frasnelli, J.; Fjaeldstad, A.W.; Ramakrishnan, V.R.; Rombaux, P.; et al. Clinical Olfactory Working Group consensus statement on the treatment of postinfectious olfactory dysfunction. J. Allergy Clin. Immunol. 2021, 147, 1704–1719. [Google Scholar] [CrossRef] [PubMed]
- Croy, I.; Nordin, S. Olfactory Disorders and Quality of Life—An Updated Review. Chem. Senses 2014, 39, 185–194. [Google Scholar] [CrossRef] [PubMed]
- Fjaeldstad, A.W.; Ovesen, T.; Stankevice, D.; Ovesen, T. Olfactory training in long COVID-19 patients with lasting symptoms including olfactory dysfunction. Dan. Med. J. 2023, 70, A09220568. [Google Scholar] [PubMed]
- Philpott, C.M.; Boak, D. The Impact of Olfactory Disorders in the United Kingdom. Chem. Senses 2014, 39, 711–718. [Google Scholar] [CrossRef] [PubMed]
- Temmel, A.F.P.; Quint, C.; Schickinger-Fischer, B.; Klimek, L.; Stoller, E.; Hummel, T. Characteristics of Olfactory Disorders in Relation to Major Causes of Olfactory Loss. Arch. Otolaryngol. Head Neck Surg. 2002, 128, 635–641. [Google Scholar] [CrossRef] [PubMed]
- Spence, C. Just how much of what we taste derives from the sense of smell? Flavour 2015, 4, 30. [Google Scholar] [CrossRef]
- Piqueras-Fiszman, B.; Fjaeldstad, A.; Spence, C.; Hartevelt, T.J.V.; Kringelbach, M.L. Pleasure of food in the brain. In Multisensory Flavor Perception; Woodhead Publishing: Sawston, UK, 2016; pp. 211–234. [Google Scholar] [CrossRef]
- Spence, C. Multisensory Flavor Perception. Cell 2015, 161, 24–35. [Google Scholar] [CrossRef] [PubMed]
- Migneault-Bouchard, C.; Hsieh, J.W.; Hugentobler, M.; Frasnelli, J.; Landis, B.N. Chemosensory decrease in different forms of olfactory dysfunction. J. Neurol. 2019, 267, 138–143. [Google Scholar] [CrossRef] [PubMed]
- Fjaeldstad, A.W.; Smith, B. The Effects of Olfactory Loss and Parosmia on Food and Cooking Habits, Sensory Awareness, and Quality of Life—A Possible Avenue for Regaining Enjoyment of Food. Foods 2022, 11, 1686. [Google Scholar] [CrossRef] [PubMed]
- Fjaeldstad, A.W.; Stankovic, J.; Onat, M.; Stankevice, D.; Ovesen, T. Patients and experiences from the first Danish flavour clinic. Dan. Med. J. 2020, 67, A09190495. [Google Scholar] [PubMed]
- Walliczek, U.; Negoias, S.; Hähner, A.; Hummel, T. Assessment of Chemosensory Function Using “Sniffin’ Sticks”, Taste Strips, Taste Sprays, and Retronasal Olfactory Tests. Curr. Pharm. Des. 2016, 22, 2245–2252. [Google Scholar] [CrossRef] [PubMed]
- Fjaeldstad, A.; Niklassen, A.S.; Fernandes, H.M. Re-Test Reliability of Gustatory Testing and Introduction of the Sensitive Taste-Drop-Test. Chem. Senses 2018, 43, 341–346. [Google Scholar] [CrossRef] [PubMed]
- Satoh-Kuriwada, S.; Kawai, M.; Iikubo, M.; Sekine-Hayakawa, Y.; Shoji, N.; Uneyama, H.; Sasano, T. Development of an Umami Taste Sensitivity Test and Its Clinical Use. PLoS ONE 2014, 9, e95177-8. [Google Scholar] [CrossRef] [PubMed]
- Hummel, T.; Sekinger, B.; Wolf, S.R.; Pauli, E.; Kobal, G. ‘Sniffin’ Sticks’: Olfactory performance assessed by the combined testing of odor identification, odor discrimination and olfactory threshold. Chem. Senses 1997, 22, 39–52. [Google Scholar] [CrossRef] [PubMed]
- Fjaeldstad, A.; Kjærgaard, T.; Hartevelt, T.J.V.; Moeller, A.; Kringelbach, M.L.; Ovesen, T. Olfactory screening: Validation of Sniffin’ Sticks in Denmark. Clin. Otolaryngol. 2015, 40, 545–550. [Google Scholar] [CrossRef] [PubMed]
- Niklassen, A.S.; Ovesen, T.; Fernandes, H.; Fjaeldstad, A.W. Danish validation of sniffin’ sticks olfactory test for threshold, discrimination, and identification. Laryngoscope 2018, 128, 1759–1766. [Google Scholar] [CrossRef] [PubMed]
- Lahne, J.; Wolfson, J.A.; Trubek, A. Development of the Cooking and Food Provisioning Action Scale (CAFPAS): A new measurement tool for individual cooking practice. Food Qual. Prefer. 2017, 62, 96–105. [Google Scholar] [CrossRef]
- DR.DK. Michelin-Kok Laver Middag til Rune, der Næsten Ikke Kan Smage. Published online 8 September 2018. Available online: https://www.dr.dk/nyheder/viden/kroppen/video-michelin-kok-laver-middag-til-rune-der-naesten-ikke-kan-smage (accessed on 31 May 2024).
- Bredahl, R.; Buchardt, N. Hemmeligheden Bag det Perfekt e Måltid. Neurogastronomi. FADL. 2016. Available online: www.neurogastronomi.com (accessed on 31 May 2024).
- Fjaeldstad, A.; Bredahl, R.; Bøjlund, C. Cooking with a Smell Loss; Apple Books; Apple Inc.: Cupertino, CA, USA, 2023; Available online: http://books.apple.com/us/book/id6450322002 (accessed on 31 May 2024).
- Chaaban, N.; Høier, A.T.Z.B.; Andersen, B.V. A Detailed Characterisation of Appetite, Sensory Perceptional, and Eating-Behavioural Effects of COVID-19: Self-Reports from the Acute and Post-Acute Phase of Disease. Foods 2021, 10, 892. [Google Scholar] [CrossRef] [PubMed]
- Parma, V.; Ohla, K.; Veldhuizen, M.G.; Niv, M.Y.; Kelly, C.E.; Bakke, A.J.; Cooper, K.W.; Bouysset, C.; Pirastu, N.; Dibattista, M.; et al. More than smell—COVID-19 is associated with severe impairment of smell, taste, and chemesthesis. Chem. Senses 2020, 45, 609–622. [Google Scholar] [CrossRef] [PubMed]
- Stankevice, D.; Fjaeldstad, A.W.; Agergaard, J.; Ovesen, T. Long-Term COVID-19 Smell and Taste Disorders Differ Significantly from Other Post-Infectious Cases. Laryngoscope 2023, 133, 169–174. [Google Scholar] [CrossRef] [PubMed]
- Schwab, J.; Fjaeldstad, A.W. Recovery rates and parosmia in olfactory loss during the COVID-19 era. Dan. Med. J. 2022, 69, A04220271. [Google Scholar] [PubMed]
- Haldrup, M.; Johansen, M.I.; Fjaeldstad, A.W. Anosmia and ageusia as primary symptoms of COVID-19. Ugeskr Laeger 2020, 182, V04200205. [Google Scholar] [PubMed]
- Pellegrino, R.; Fjaeldstad, A.W. The Effect of Olfactory Disorder (and Other Chemosensory Disorders) on Perception, Acceptance, and Consumption of Food. In Smell, Taste, Eat: The Role of the Chemical Senses in Eating Behaviour; Stafford, L.D., Ed.; Palgrave Macmillan: Cham, Switzerland, 2024; Volume 1, pp. 119–137. [Google Scholar] [CrossRef]
- Høier, A.T.Z.B.; Chaaban, N.; Andersen, B.V. Possibilities for Maintaining Appetite in Recovering COVID-19 Patients. Foods 2021, 10, 464. [Google Scholar] [CrossRef] [PubMed]
- Aschenbrenner, K.; Hummel, C.; Teszmer, K.; Krone, F.; Ishimaru, T.; Seo, H.-S.; Hummel, T. The influence of olfactory loss on dietary behaviors. Laryngoscope 2008, 118, 135–144. [Google Scholar] [CrossRef] [PubMed]
- Seo, H.S.; Pramudya, R.C.; Singh, A.; Hummel, T. Recent evidence for the impacts of olfactory disorders on food enjoyment and ingestive behavior. Curr. Opin. Food Sci. 2021, 42, 187–194. [Google Scholar] [CrossRef]
- Keller, A.; Malaspina, D. Hidden consequences of olfactory dysfunction: A patient report series. BMC Ear Nose Throat Disord. 2013, 13, 8–20. [Google Scholar] [CrossRef] [PubMed]
- Parker, J.K.; Kelly, C.E.; Gane, S.B. Molecular Mechanism of Parosmia. medRxiv 2021. [Google Scholar] [CrossRef]
- Parker, J.K.; Methven, L.; Pellegrino, R.; Smith, B.C.; Gane, S.; Kelly, C.E. Emerging Pattern of Post-COVID-19 Parosmia and Its Effect on Food Perception. Foods 2022, 11, 967. [Google Scholar] [CrossRef] [PubMed]
- Nørgaard, H.J.; Fjaeldstad, A.W. Differences in Correlation between Subjective and Measured Olfactory and Gustatory Dysfunctions after Initial Ear, Nose and Throat Evaluation. Int. Arch. Otorhinolaryngol. 2021, 25, e563–e569. [Google Scholar] [CrossRef] [PubMed]
- Rozin, P. “Taste-smell confusions” and the duality of the olfactory sense. Percept. Psychophys. 1982, 31, 397–401. [Google Scholar] [CrossRef] [PubMed]
- Landis, B.N.; Scheibe, M.; Weber, C.; Berger, R.; Brämerson, A.; Bende, M.; Nordin, S.; Hummel, T. Chemosensory interaction: Acquired olfactory impairment is associated with decreased taste function. J. Neurol. 2010, 257, 1303–1308. [Google Scholar] [CrossRef] [PubMed]
- Otsubo, Y.; Miyagi, M.; Sekiya, H.; Kano, O.; Ebihara, S. Improving taste sensitivity in healthy adults using taste recall training: A randomized controlled trial. Sci. Rep. 2022, 12, 13849. [Google Scholar] [CrossRef]
- de Vries, Y.; Winkels, R.; van den Berg, M.; de Graaf, C.; Kelfkens, C.; de Kruif, J.; Göker, E.; Grosfeld, S.; Sommeijer, D.; van Laarhoven, H.; et al. Altered food preferences and chemosensory perception during chemotherapy in breast cancer patients: A longitudinal comparison with healthy controls. Food Qual. Prefer. 2017, 63, 135–143. [Google Scholar] [CrossRef]
- Nolden, A.A.; Hwang, L.D.; Boltong, A.; Reed, D.R. Chemosensory Changes from Cancer Treatment and Their Effects on Patients’ Food Behavior: A Scoping Review. Nutrients 2019, 11, 2285. [Google Scholar] [CrossRef]
- Johnston, C.A.; Keane, T.J.; Prudo, S.M. Weight loss in patients receiving radical radiation therapy for head and neck cancer: A prospective study. JPEN J. Parenter. Enter. Nutr. 1982, 6, 399–402. [Google Scholar] [CrossRef]
- Spotten, L.E.; Corish, C.A.; Lorton, C.M.; Dhuibhir, P.M.U.; O’donoghue, N.; O’connor, B.; Walsh, T.D. Subjective and objective taste and smell changes in cancer. Ann. Oncol. 2017, 28, 969–984. [Google Scholar] [CrossRef] [PubMed]
- Zaghloul, H.; Pallayova, M.; Al-Nuaimi, O.; Hovis, K.R.; Taheri, S. Association between diabetes mellitus and olfactory dysfunction: Current perspectives and future directions. Diabet. Med. 2017, 35, 41–52. [Google Scholar] [CrossRef] [PubMed]
- Papamichou, D.; Panagiotakos, D.B.; Itsiopoulos, C. Dietary patterns and management of type 2 diabetes: A systematic review of randomised clinical trials. Nutr. Metab. Cardiovasc. Dis. 2019, 29, 531–543. [Google Scholar] [CrossRef] [PubMed]
- Falkowski, B.; Duda-Sobczak, A.; Araszkiewicz, A.; Chudzinski, M.; Urbas, M.; Gajewska, E.; Borucki, L.; Zozulinska-Ziolkiewicz, D. Insulin Resistance is Associated with Impaired Olfactory Function in Adult Patients with Type 1 Diabetes—A Cross-sectional Study. Diabetes/Metab. Res. Rev. 2020, 36, e3307. [Google Scholar] [CrossRef] [PubMed]
- Kim, J.; Hur, M.H. The Effects of Dietary Education Interventions on Individuals with Type 2 Diabetes: A Systematic Review and Meta-Analysis. Int. J. Environ. Res. Public Health 2021, 18, 8439. [Google Scholar] [CrossRef]
- Kim, T.H.; Kim, Y.H.; Bae, N.Y.; Kang, S.S.; Lee, J.B.; Kim, S.B. Salty taste thresholds and preference in patients with chronic kidney disease according to disease stage: A cross-sectional study. Nutr. Diet. 2017, 75, 59–64. [Google Scholar] [CrossRef] [PubMed]
- McMahon, E.J.; Campbell, K.L.; Bauer, J.D. Taste perception in kidney disease and relationship to dietary sodium intake. Appetite 2014, 83, 236–241. [Google Scholar] [CrossRef] [PubMed]
- Madsen, A.; Danielsen, L.M.A.; Niklassen, A.S.; Hald, M.; Fjaeldstad, A.W.; Bech, J.N.; Ovesen, T. Chemosensory function and food preferences among haemodialysis patients. Dan. Med. J. 2022, 69, A08210644. [Google Scholar] [PubMed]
- Spence, C.; Youssef, J. Aging and the (Chemical) Senses: Implications for Food Behaviour Amongst Elderly Consumers. Foods 2021, 10, 168. [Google Scholar] [CrossRef] [PubMed]
- Sulmont-Rossé, C.; Maître, I.; Amand, M.; Symoneaux, R.; Van Wymelbeke, V.; Caumon, E.; Tavarès, J.; Issanchou, S. Evidence for Different Patterns of Chemosensory Alterations in the Elderly Population: Impact of Age Versus Dependency. Chem. Senses 2015, 40, 153–164. [Google Scholar] [CrossRef] [PubMed]
- Sergi, G.; Bano, G.; Pizzato, S.; Veronese, N.; Manzato, E. Taste loss in the elderly: Possible implications for dietary habits. Crit. Rev. Food Sci. Nutr. 2017, 57, 3684–3689. [Google Scholar] [CrossRef] [PubMed]
- Manesse, C.; Ferdenzi, C.; Mantel, M.; Sabri, M.; Bessy, M.; Fournel, A.; Faure, F.; Bellil, D.; Landis, B.; Hugentobler, M.; et al. The prevalence of olfactory deficits and their effects on eating behavior from childhood to old age: A large-scale study in the French population. Food Qual. Prefer. 2021, 93, 104273. [Google Scholar] [CrossRef]
- Niklassen, A.S.; Christensen, K.B.; Fjaeldstad, A.W.; Ovesen, T. Development and Psychometric Validation of the Taste And Smell Tool for Evaluation (TASTE) Questionnaire. JAMA Otolaryngol. Neck Surg. 2022, 148, 1164–1172. [Google Scholar] [CrossRef] [PubMed]
- Kolb, D.A. Experiential Learning: Experience as the Source of Learning and Development; FT Press: Upper Saddle River, NJ, USA, 2014; Volume 8. [Google Scholar] [CrossRef]
- Keast, R.S.J.; Breslin, P.A.S. An overview of binary taste–taste interactions. Food Qual. Prefer. 2003, 14, 111–124. [Google Scholar] [CrossRef]
- Fjaeldstad, A.W.; Fernandes, H.M. Chemosensory Sensitivity after Coffee Consumption Is Not Static: Short-Term Effects on Gustatory and Olfactory Sensitivity. Foods 2020, 9, 493. [Google Scholar] [CrossRef] [PubMed]


| Before Cooking School | End of Cooking School | 3 Months after Cooking School | Δ | p-Value | |
|---|---|---|---|---|---|
| Age (Mean, IQR *, range) | 57 (IQR 50–67; range 20–79) | - | - | ||
| Gender (female n (%)) | 37 (75%) | - | - | ||
| Duration of smell loss (Mean, IQR *, range) | 88 months (IQR 22–69; range 9–700) | - | - | ||
| Food-related QoL (n = 48) (range 0–100) | 58.2 | 68.7 | 66.6 | 10.5 8.4 | 0.0120 0.0269 |
| Recipe | Difficulty (High (0)–Low (100)) | Taste Kit Usage (Low (0)–High (100)) | Make at Home (Low (0)–High (100)) | Overall Learning (Low (0)–High (100)) | Group Consensus | Recipe Action |
|---|---|---|---|---|---|---|
| Fried duck with Asian sauce (n = 9) | 41 | 32 | 52 | 62 | Too spicy and overwhelming umami | Discard |
| Beetroot carpaccio (n = 10) | 81 | 78 | 83 | 91 | Off flavour for some with raw beetroot, slight parosmic trigger. Texture not appreciated | Change beetroot to mushroom and re-evaluate |
| Baked pumpkin (n = 9) | 82 | 75 | 66 | 71 | Too soft texture inside if golden crispy crust—replace with another ingredient | Change pumpkin to cauliflower |
| Thai Beef Salad (n = 10) | 72 | 26 | 34 | 59 | Overwhelming umami, few participants would make this at home | Discard |
| Meatballs in Curry (n = 10) | 84 | 82 | 86 | 93 | Well-liked, can be optimised with taste and texture | Modify and reuse in different versions at next class |
| Fried Rice with Eggs (n = 10) | 70 | 48 | 55 | 61 | Okay, but parosmic trigger in three participants (all rarely experience parosmia) | Discard |
| Normosmic Reference (n = 166) | Before Cooking School (n = 48) | End of Cooking School (n = 48) | Δ | p-Value | |
|---|---|---|---|---|---|
| Prefer to cook rather than having food prepared | 4.31 | 3.49 | 4.23 | 0.74 | 0.0074 |
| Cooking is a fulfilling activity | 5.70 | 5.02 | 5.48 | 0.46 | 0.0245 |
| Confidence in choosing between similar products | 5.93 | 5.50 | 5.96 | 0.46 | 0.0166 |
| Confidence in ability to deal with unexpected results during cooking | 5.38 | 4.73 | 5.13 | 0.40 | 0.1896 |
| Involvement in daily meal preparations | 6.15 | 5.94 | 6.27 | 0.33 | 0.0250 |
Disclaimer/Publisher’s Note: The statements, opinions and data contained in all publications are solely those of the individual author(s) and contributor(s) and not of MDPI and/or the editor(s). MDPI and/or the editor(s) disclaim responsibility for any injury to people or property resulting from any ideas, methods, instructions or products referred to in the content. |
© 2024 by the author. Licensee MDPI, Basel, Switzerland. This article is an open access article distributed under the terms and conditions of the Creative Commons Attribution (CC BY) license (https://creativecommons.org/licenses/by/4.0/).
Share and Cite
Fjaeldstad, A.W. Using Cooking Schools to Improve the Pleasure of Food and Cooking in Patients Experiencing Smell Loss. Foods 2024, 13, 1821. https://doi.org/10.3390/foods13121821
Fjaeldstad AW. Using Cooking Schools to Improve the Pleasure of Food and Cooking in Patients Experiencing Smell Loss. Foods. 2024; 13(12):1821. https://doi.org/10.3390/foods13121821
Chicago/Turabian StyleFjaeldstad, Alexander Wieck. 2024. "Using Cooking Schools to Improve the Pleasure of Food and Cooking in Patients Experiencing Smell Loss" Foods 13, no. 12: 1821. https://doi.org/10.3390/foods13121821
APA StyleFjaeldstad, A. W. (2024). Using Cooking Schools to Improve the Pleasure of Food and Cooking in Patients Experiencing Smell Loss. Foods, 13(12), 1821. https://doi.org/10.3390/foods13121821

