Effects of Drying Methods on Morphological Characteristics, Metabolite Content, and Antioxidant Capacity of Cordyceps sinensis
Abstract
1. Introduction
2. Materials and Methods
2.1. Sample Collection
2.2. Appearance and Flavor Evaluation Analysis
2.3. Antioxidant Activities Assays
2.3.1. Measurement of Free Radical Scavenging Capacity
2.3.2. Determination of Total Antioxidant Capacity
2.4. Metabolite Identification and LC-MS Data Analysis
2.4.1. Sample Preparation
2.4.2. LC-MS Detection
2.4.3. Data and Statistical Analysis
3. Results
3.1. Effect of Different Drying Methods on the Morphological Characteristics of C. sinensis
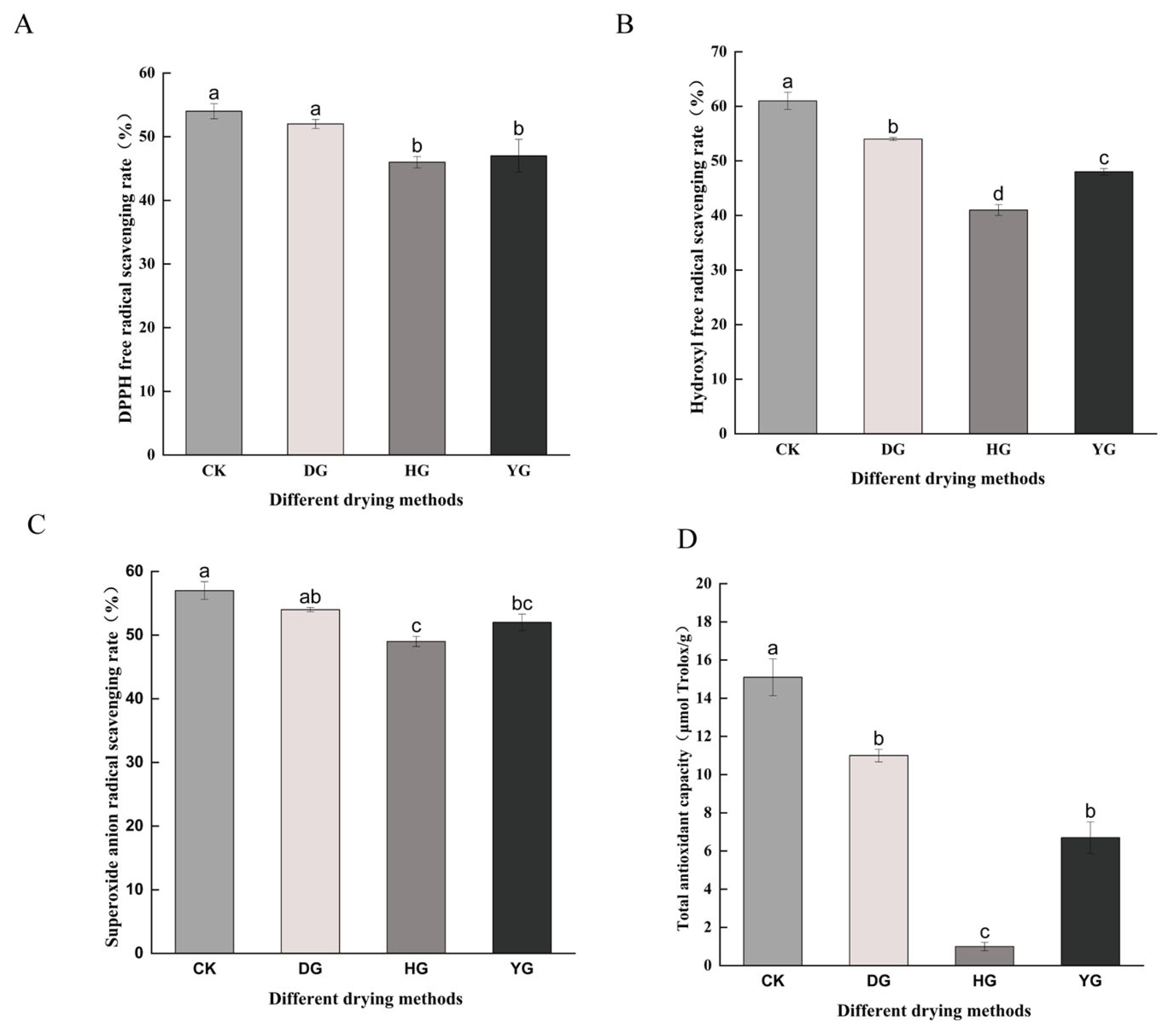
3.2. Effect of Different Drying Methods on the Antioxidant Activity of C. sinensis
3.3. Metabolite Profiles
3.4. Antioxidant Capacity and Correlation Analysis
3.5. Screening of Differentially Accumulated Metabolites (DAMs) and Hierarchical Cluster Analysis (HCA)
3.6. KEGG Pathway Enrichment Analysis
4. Discussion
5. Conclusions
Supplementary Materials
Author Contributions
Funding
Data Availability Statement
Acknowledgments
Conflicts of Interest
References
- Liu, X.; Zhong, F.; Tang, X.l.; Lian, F.l.; Zhou, Q.; Guo, S.m.; Liu, J.f.; Sun, P.; Hao, X.; Lu, Y. Cordyceps sinensis protects against liver and heart injuries in a rat model of chronic kidney disease: A metabolomic analysis. Acta Pharmacol. Sin. 2014, 35, 697–706. [Google Scholar] [CrossRef] [PubMed]
- Li, Y.; Wang, X.L.; Jiao, L.; Jiang, Y.; Li, H.; Jiang, S.P.; Lhosumtseiring, N.; Fu, S.Z.; Dong, C.H.; Zhan, Y. A survey of the geographic distribution of Ophiocordyceps sinensis. J. Microbiol. 2011, 49, 913–919. [Google Scholar] [CrossRef]
- Raghu, S.V.; Kudva, A.K.; Rao, S.; Prasad, K.; Mudgal, J.; Baliga, M.S. Dietary agents in mitigating chemotherapy-related cognitive impairment (chemobrain or chemofog): First review addressing the benefits, gaps, challenges and ways forward. Food Funct. 2021, 12, 11132–11153. [Google Scholar] [CrossRef]
- Tang, C.; Li, X.; Wang, T.; Wang, J.; Xiao, M.; He, M.; Chang, X.; Fan, Y.; Li, Y. Characterization of Metabolite Landscape Distinguishes Medicinal Fungus Cordyceps sinensis and other Cordyceps by UHPLC-Q Exactive HF-X Untargeted Metabolomics. Molecules 2023, 28, 7745. [Google Scholar] [CrossRef]
- Liu, Y.; Guo, Z.J.; Zhou, X.W. Chinese Cordyceps: Bioactive components, antitumor effects and underlying mechanism—A review. Molecules 2022, 27, 6576. [Google Scholar] [CrossRef]
- Chen, P.X.; Wang, S.; Nie, S.; Marcone, M. Properties of Cordyceps sinensis: A review. J. Funct. Foods 2013, 5, 5550–5569. [Google Scholar] [CrossRef] [PubMed]
- Tan, L.; Song, X.; Ren, Y.; Wang, M.; Guo, C.; Guo, D.; Gu, Y.; Li, Y.; Cao, Z.; Deng, Y. Anti-inflammatory effects of cordycepin: A review. Phytother. Res. 2021, 35, 1284–1297. [Google Scholar] [CrossRef]
- Jin, Y.; Meng, X.; Qiu, Z.; Su, Y.; Yu, P.; Qu, P. Anti-tumor and anti-metastatic roles of cordycepin, one bioactive compound of Cordyceps militaris. Saudi J. Biol. Sci. 2018, 25, 991–995. [Google Scholar] [CrossRef] [PubMed]
- Ai, Z.; Xiao, H.; Zhang, Y.; Lei, D.; Peng, Z.; Li, M.; Liu, Y. Effect of hot air impingement drying on drying behavior, volatile components profile, shell burst ratio, flavonoid contents, microstructure of Amomum villosum fruits. Dry. Technol. 2023, 41, 107–121. [Google Scholar] [CrossRef]
- Kamal, G.M.; Nazi, N.; Sabir, A.; Saqib, M.; Zhang, X.; Jiang, B.; Khan, J.; Noreen, A.; Uddin, J.; Murtaza, S. Yield and chemical composition of ginger essential oils as affected by inter-varietal variation and drying treatments of rhizome. Separations 2023, 10, 186. [Google Scholar] [CrossRef]
- Zheng, Z.; Wang, S.; Zhang, C.; Wu, M.; Cui, D.; Fu, X.; Gao, L.; Li, A.; Wei, Q.; Liu, Z. Hot air impingement drying enhanced drying characteristics and quality attributes of ophiopogonis radix. Foods 2023, 12, 1441. [Google Scholar] [CrossRef] [PubMed]
- Liang, W.; Zhang, W.; Chen, Y.; Guo, F.; Sun, J.; Zhang, X.; Li, X.; Gao, W. Accumulation of functional metabolites and transcriptomics in postharvest fume-drying and air-drying process in rhubarb. J. Sci. Food Agric. 2022, 102, 5628–5641. [Google Scholar] [CrossRef] [PubMed]
- Hu, S.; Zhao, G.; Zheng, Y.; Qu, M.; Jin, Q.; Tong, C.; Li, W. Effect of drying procedures on the physicochemical properties and antioxidant activities of polysaccharides from Crassostrea gigas. PLoS ONE 2017, 12, e0188536. [Google Scholar] [CrossRef]
- Tiencheu, B.; Claudia Egbe, A.; Achidi, A.U.; Ngongang, E.F.T.; Tenyang, N.; Tonfack Djikeng, F.; Tatsinkou Fossi, B. Effect of oven and sun drying on the chemical properties, lipid profile of soursop (Annona muricata) seed oil, and the functional properties of the defatted flour. Food Sci. Nutr. 2021, 9, 4156–4168. [Google Scholar] [CrossRef]
- Troisi, J.; Symes, S.; Adair, D.; Colucci, A.; Prisco, S.E.; Aquino, C.I.; Vivone, I.; Guida, M.; Richards, S. Placental tissue metabolome analysis by GC-MS: Oven-drying is a viable sample preparation method. Prep. Biochem. Biotechnol. 2018, 48, 474–482. [Google Scholar] [CrossRef]
- Wu, Q.; Yan, Q.; Jiang, L.; Chen, C.; Huang, X.; Zhu, X.; Zhou, T.; Chen, J.; Yan, J.; Wen, F. Metabolomics analysis reveals metabolite changes during freeze-drying and oven-drying of Angelica dahurica. Sci. Rep. 2023, 13, 6022. [Google Scholar] [CrossRef] [PubMed]
- Acar, B.; Sadikoglu, H.; Ozkaymak, M. Freeze drying of saffron (Crocus sativus L.). Dry. Technol. 2011, 29, 1622–1627. [Google Scholar] [CrossRef]
- Zhang, X.; Zhang, G.; Miao, Y.; Sun, X.; Huang, L. Effects of different drying methods on physico-chemical properties, bioactive and taste substances of Cynomorium songaricum. LWT 2023, 185, 115159. [Google Scholar] [CrossRef]
- Ashraf, S.A.; Elkhalifa, A.E.O.; Siddiqui, A.J.; Patel, M.; Awadelkareem, A.M.; Snoussi, M.; Ashraf, M.S.; Adnan, M.; Hadi, S. Cordycepin for health and wellbeing: A potent bioactive metabolite of an entomopathogenic medicinal fungus Cordyceps with its nutraceutical and therapeutic potential. Molecules 2020, 25, 2735. [Google Scholar] [CrossRef]
- Li, X.; Liu, Q.; Li, W.; Li, Q.; Qian, Z.; Liu, X.; Dong, C. A breakthrough in the artificial cultivation of Chinese cordyceps on a large-scale and its impact on science, the economy, and industry. Crit. Rev. Biotechnol. 2019, 39, 181–191. [Google Scholar] [CrossRef]
- Liang, Y.; Wang, F.; Song, Y.; Tang, C.; Wu, R.; Feng, Q.; Han, M.; Li, Y.; Chen, W.; Zhang, J. LC-MS based metabonomics study on protective mechanism of ESWW in cerebral ischemia via CYTC/Apaf-1/NDRG4 pathway. Phytomedicine 2024, 128, 155543. [Google Scholar] [CrossRef] [PubMed]
- Stincone, P.; Pakkir Shah, A.K.; Schmid, R.; Graves, L.G.; Lambidis, S.P.; Torres, R.R.; Xia, S.N.; Minda, V.; Aron, A.T.; Wang, M. Evaluation of data-dependent MS/MS acquisition parameters for non-targeted metabolomics and molecular networking of environmental samples: Focus on the Q exactive platform. Anal. Chem. 2023, 95, 12673–12682. [Google Scholar] [CrossRef] [PubMed]
- Wang, Q.; Qin, D.; Jiang, X.; Fang, K.; Li, B.; Wang, Q.; Pan, C.; Ni, E.; Li, H.; Chen, D. Characterization of the aroma profiles of Guangdong black teas using non-targeted metabolomics. Foods 2023, 12, 1560. [Google Scholar] [CrossRef]
- Qiu, S.; Tu, Y.; Huang, D.; Dong, Z.; Huang, M.; Cheng, J.; Tan, J.; Chen, W.; Sun, L.; Chen, W. Selection of appropriate post-harvest processing methods based on the metabolomics analysis of Salvia miltiorrhiza Bunge. Food Res. Int. 2021, 144, 110366. [Google Scholar] [CrossRef] [PubMed]
- Li, X.B.; Hu, C.M.; Li, C.H.; Ji, G.Y.; Luo, S.Z.; Cao, Y.; Ji, K.P.; Tan, Q.; Bao, D.P.; Shang, J.J. LC/MS-and GC/MS-based metabolomic profiling to determine changes in flavor quality and bioactive components of Phlebopus portentosus under low-temperature storage. Front. Nutr. 2023, 10, 1168025. [Google Scholar] [CrossRef] [PubMed]
- Debjani, C.; Das, S.; Das, H. Aggregation of sensory data using fuzzy logic for sensory quality evaluation of food. J. Food Sci. Technol. 2013, 50, 1088–1096. [Google Scholar] [CrossRef] [PubMed]
- Maqbool, Z.; Khalid, W.; Mahum; Khan, A.; Azmat, M.; Sehrish, A.; Zia, S.; Koraqi, H.; Al Farga, A.; Aqlan, F. Cereal sprout-based food products: Industrial application, novel extraction, consumer acceptance, antioxidant potential, sensory evaluation, and health perspective. Food Sci. Nutr. 2024, 12, 707–721. [Google Scholar] [CrossRef] [PubMed]
- Platzer, M.; Kiese, S.; Herfellner, T.; Schweiggert-Weisz, U.; Miesbauer, O.; Eisner, P. Common trends and differences in antioxidant activity analysis of phenolic substances using single electron transfer based assays. Molecules 2021, 26, 1244. [Google Scholar] [CrossRef]
- Wołosiak, R.; Drużyńska, B.; Derewiaka, D.; Piecyk, M.; Majewska, E.; Ciecierska, M.; Worobiej, E.; Pakosz, P. Verification of the conditions for determination of antioxidant activity by ABTS and DPPH assays—A practical approach. Molecules 2021, 27, 50. [Google Scholar] [CrossRef]
- Athanasakis, G.; Aligiannis, N.; Gonou-Zagou, Z.; Skaltsounis, A.L.; Fokialakis, N. Antioxidant properties of the wild edible mushroom Lactarius salmonicolor. J. Med. Food 2013, 16, 760–764. [Google Scholar] [CrossRef]
- Kong, B.H.; Yap, C.S.A.; Razif, M.F.M.; Ng, S.T.; Tan, C.S.; Fung, S.Y. Antioxidant and cytotoxic effects and identification of Ophiocordyceps sinensis bioactive proteins using shotgun proteomic analysis. Food Technol. Biotechnol. 2021, 59, 201–208. [Google Scholar] [CrossRef]
- Rathor, R.; Mishra, K.P.; Pal, M.; Vats, P.; Kirar, V.; Negi, P.S.; Misra, K. Scientific validation of the Chinese caterpillar medicinal mushroom, Ophiocordyceps sinensis (Ascomycetes) from India: Immunomodulatory and antioxidant activity. Int. J. Med. Mushrooms 2014, 16, 541–553. [Google Scholar] [CrossRef]
- Benzie, I.F.; Strain, J.J. The ferric reducing ability of plasma (FRAP) as a measure of “antioxidant power”: The FRAP assay. Anal. Biochem. 1996, 239, 70–76. [Google Scholar] [CrossRef]
- Davies, T.E.; Li, H.; Bessette, S.; Gauvin, R.; Patience, G.S.; Dummer, N.F. Experimental methods in chemical engineering: Scanning electron microscopy and X-ray ultra-microscopy—SEM and XuM. Can. J. Chem. Eng. 2022, 100, 3145–3159. [Google Scholar] [CrossRef]
- Wang, J.; Nie, S.; Kan, L.; Chen, H.; Cui, S.W.; Phillips, A.O.; Phillips, G.O.; Xie, M. Comparison of structural features and antioxidant activity of polysaccharides from natural and cultured Cordyceps sinensis. Food Sci. Biotechnol. 2017, 26, 55–62. [Google Scholar] [CrossRef]
- Wang, Y.; Wang, M.; Ling, Y.; Fan, W.; Wang, Y.; Yin, H. Structural determination and antioxidant activity of a polysaccharide from the fruiting bodies of cultured Cordyceps sinensis. Am. J. Chin. Med. 2009, 37, 977–989. [Google Scholar] [CrossRef] [PubMed]
- Wang, T.; Tang, C.; Xiao, M.; Cao, Z.; He, M.; Qi, J.; Li, Y.; Li, X. Effect of Air Drying on the Metabolic Profile of Fresh Wild and Artificial Cordyceps sinensis. Foods 2023, 13, 48. [Google Scholar] [CrossRef] [PubMed]
- Zhang, M.; Xing, S.; Fu, C.; Fang, F.; Liu, J.; Kan, J.; Qian, C.; Chai, Q.; Jin, C. Effects of Drying Methods on Taste Components and Flavor Characterization of Cordyceps militaris. Foods 2022, 11, 3933. [Google Scholar] [CrossRef]
- Gao, M.; Wan, K.; Miao, Z.; He, Q.; Xue, S.; Dong, X. Hot-air drying shrinkage process of lignite and its cracking mechanism. Fuel 2022, 316, 123187. [Google Scholar] [CrossRef]
- Rambhatla, S.; Obert, J.P.; Luthra, S.; Bhugra, C.; Pikal, M.J. Cake shrinkage during freeze drying: A combined experimental and theoretical study. Pharm. Dev. Technol. 2005, 10, 33–40. [Google Scholar] [CrossRef]
- Liu, J.; Wan, P.; Zhao, W.; Xie, C.; Wang, Q.; Chen, D.W. Investigation on taste-active compounds profile of brown sugar and changes during lime water and heating processing by NMR and e-tongue. LWT 2022, 165, 113702. [Google Scholar] [CrossRef]
- Bassey, E.J.; Cheng, J.H.; Sun, D.W. Thermoultrasound and microwave-assisted freeze-thaw pretreatments for improving infrared drying and quality characteristics of red dragon fruit slices. Ultrason. Sonochemistry 2022, 91, 106225. [Google Scholar] [CrossRef]
- Nguyen, Q.V.; Vu, T.T.; Tran, M.T.; Ho Thi, P.T.; Thu, H.; Le Thi, T.H.; Chuyen, H.V.; Dinh, M.H. Antioxidant activity and hepatoprotective effect of exopolysaccharides from cultivated ophiocordyceps sinensis against CCl4-induced liver damages. Nat. Prod. Commun. 2021, 16, 1934578X21997670. [Google Scholar] [CrossRef]
- Sadowska-Bartosz, I.; Bartosz, G. Evaluation of the antioxidant capacity of food products: Methods, applications and limitations. Processes 2022, 10, 2031. [Google Scholar] [CrossRef]
- Kandil, S.; El Soda, M. Influence of freezing and freeze drying on intracellular enzymatic activity and autolytic properties of some lactic acid bacterial strains. Adv. Microbiol. 2015, 5, 371–382. [Google Scholar] [CrossRef]
- Shao, L.; Jiang, S.; Li, Y.; Yu, L.; Liu, H.; Ma, L.; Yang, S. Aqueous extract of Cordyceps cicadae (Miq.) promotes hyaluronan synthesis in human skin fibroblasts: A potential moisturizing and anti-aging ingredient. PLoS ONE 2023, 18, e0274479. [Google Scholar] [CrossRef]
- Li, X.; Li, C.; Zhu, Y.; Shi, Y.; Zhang, X.; Zhang, S.; Wang, L.; Lin, H.; Hou, H.; Hsiao, C.D. Lipid fingerprinting of different material sources by UPLC-Q-exactive orbitrap/MS approach and their zebrafish-based activities comparison. J. Agric. Food Chem. 2020, 68, 2007–2015. [Google Scholar] [CrossRef]
- Xie, H.; Chen, F.; Yin, H.; Peng, G.; You, C.; Qin, P.; Jiang, S.; Guo, X. Characterization and comparison of lipids in Camellia oleifera kernels of XL210 and XL1 based on LC-MS/MS. Reprod. Breed. 2021, 1, 193–203. [Google Scholar] [CrossRef]
- Garcia-Vello, P.; Di Lorenzo, F.; Zucchetta, D.; Zamyatina, A.; De Castro, C.; Molinaro, A. Lipopolysaccharide lipid A: A promising molecule for new immunity-based therapies and antibiotics. Pharmacol. Ther. 2022, 230, 107970. [Google Scholar] [CrossRef]
- Vetrano, I.G.; Dei Cas, M.; Nazzi, V.; Eoli, M.; Innocenti, N.; Saletti, V.; Potenza, A.; Carrozzini, T.; Pollaci, G.; Gorla, G. The Lipid Asset is Unbalanced in Peripheral Nerve Sheath Tumors. Int. J. Mol. Sci. 2021, 23, 61. [Google Scholar] [CrossRef]






Disclaimer/Publisher’s Note: The statements, opinions and data contained in all publications are solely those of the individual author(s) and contributor(s) and not of MDPI and/or the editor(s). MDPI and/or the editor(s) disclaim responsibility for any injury to people or property resulting from any ideas, methods, instructions or products referred to in the content. |
© 2024 by the authors. Licensee MDPI, Basel, Switzerland. This article is an open access article distributed under the terms and conditions of the Creative Commons Attribution (CC BY) license (https://creativecommons.org/licenses/by/4.0/).
Share and Cite
Xiao, M.; Wang, T.; Tang, C.; He, M.; Li, Y.; Li, X. Effects of Drying Methods on Morphological Characteristics, Metabolite Content, and Antioxidant Capacity of Cordyceps sinensis. Foods 2024, 13, 1639. https://doi.org/10.3390/foods13111639
Xiao M, Wang T, Tang C, He M, Li Y, Li X. Effects of Drying Methods on Morphological Characteristics, Metabolite Content, and Antioxidant Capacity of Cordyceps sinensis. Foods. 2024; 13(11):1639. https://doi.org/10.3390/foods13111639
Chicago/Turabian StyleXiao, Mengjun, Tao Wang, Chuyu Tang, Min He, Yuling Li, and Xiuzhang Li. 2024. "Effects of Drying Methods on Morphological Characteristics, Metabolite Content, and Antioxidant Capacity of Cordyceps sinensis" Foods 13, no. 11: 1639. https://doi.org/10.3390/foods13111639
APA StyleXiao, M., Wang, T., Tang, C., He, M., Li, Y., & Li, X. (2024). Effects of Drying Methods on Morphological Characteristics, Metabolite Content, and Antioxidant Capacity of Cordyceps sinensis. Foods, 13(11), 1639. https://doi.org/10.3390/foods13111639

