From Epimedium to Neuroprotection: Exploring the Potential of Wushanicaritin
Abstract
1. Introduction
2. Materials and Methods
2.1. Chemical Regents
2.2. Cell Culture
2.3. Preparation of Solutions
2.4. Cellular Antioxidant Activity Assay
2.5. Cell Viability Determination
2.6. Cell Neurotoxicity Induction Assay
2.7. LDH and ATP Release Analyses
2.8. Determination of Reactive Oxygen Species (ROS)
2.9. Hoechst 33342 Staining
2.10. Mitochondrial Membrane Potential (Δψm) Assay
2.11. Cellular Antioxidant Enzymes Activity Determination
2.12. Quantitative Real-Time PCR Assay
2.13. Caspase-3 Activity Determination
2.14. Flow Cytometry Assay
2.15. Statistical Analysis
3. Results
3.1. The Intercellular Antioxidant Activity of Wushanicaritin
3.2. The Neuroprotective Activity of Wushanicaritin
3.3. The Effects of Wushanicaritin on Oxidative Stress
3.3.1. ROS Production and Activities of Antioxidant Enzymes
3.3.2. Transcriptional Expression Levels of Antioxidant Defense-Related Genes
3.4. The Effects of Wushanicaritin on Mitochondrial Dysfunction
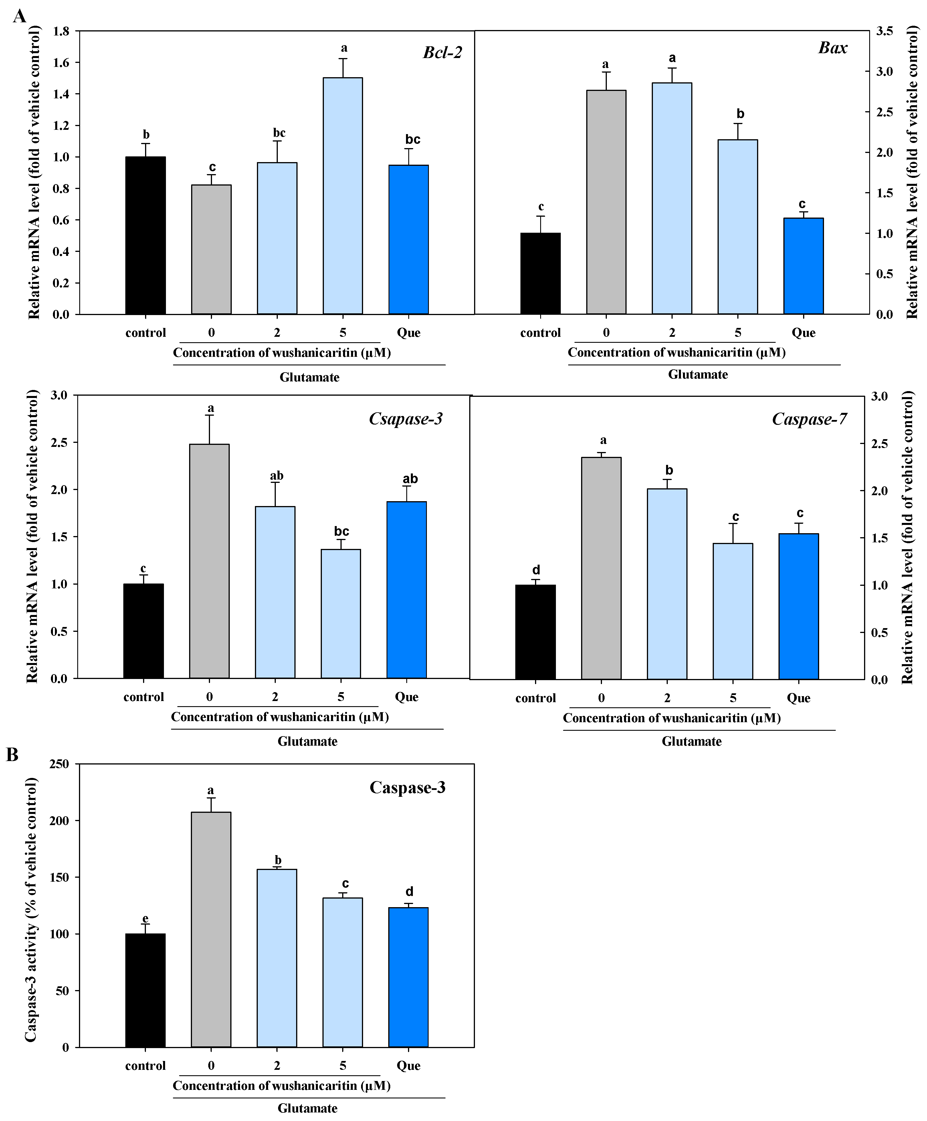
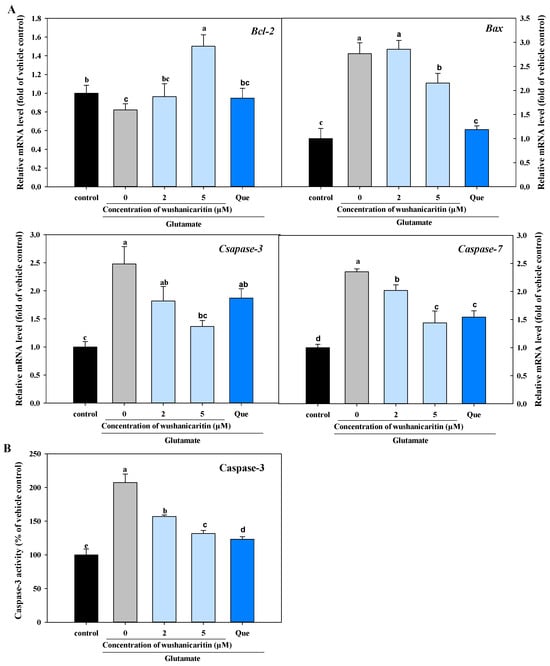
3.5. The Effects of Wushanicaritin on Cell Apoptosis
4. Conclusions
Supplementary Materials
Author Contributions
Funding
Institutional Review Board Statement
Informed Consent Statement
Data Availability Statement
Conflicts of Interest
References
- Ross, C.A.; Truant, R. A unifying mechanism in neurodegeneration. Nature 2017, 541, 34–35. [Google Scholar] [CrossRef]
- Tahami Monfared, A.A.; Byrnes, M.J.; White, L.A.; Zhang, Q. The humanistic and economic burden of Alzheimer’s disease. Neurol. Ther. 2022, 11, 525–551. [Google Scholar] [CrossRef]
- Wyss-Coray, T. Ageing, neurodegeneration and brain rejuvenation. Nature 2016, 539, 180–186. [Google Scholar] [CrossRef]
- Angelova, P.R.; Abramov, A.Y. Role of mitochondrial ROS in the brain: From physiology to neurodegeneration. FEBS Lett. 2018, 592, 692–702. [Google Scholar] [CrossRef]
- Madreiter-Sokolowski, C.T.; Thomas, C.; Ristow, M. Interrelation between ROS and Ca2+ in aging and age-related diseases. Redox Biol. 2020, 36, 101678. [Google Scholar] [CrossRef]
- Stefanatos, R.; Sanz, A. The role of mitochondrial ROS in the aging brain. FEBS Lett. 2018, 592, 743–758. [Google Scholar] [CrossRef]
- Cassidy, L.; Fernandez, F.; Johnson, J.B.; Naiker, M.; Owoola, A.G.; Broszczak, D.A. Oxidative stress in alzheimer’s disease: A review on emergent natural polyphenolic therapeutics. Complement. Ther. Med. 2020, 49, 102294. [Google Scholar] [CrossRef]
- Dumont, M.; Beal, M.F. Neuroprotective strategies involving ROS in Alzheimer disease. Free Radic. Biol. Med. 2011, 51, 1014–1026. [Google Scholar] [CrossRef]
- Dilnashin, H.; Birla, H.; Keswani, C.; Singh, S.S.; Zahra, W.; Rathore, A.S.; Singh, R.; Keshri, P.K.; Singh, S.P. Neuroprotective effects of Tinospora cordifolia via reducing the oxidative stress and mitochondrial dysfunction against rotenone-induced PD mice. ACS Chem. Neurosci. 2023, 14, 3077–3087. [Google Scholar] [CrossRef]
- Yang, X.; Chen, J.; Huang, W.; Zhang, Y.; Yan, X.; Zhou, Z.; Wang, Y. Synthesis of icariin in tobacco leaf by overexpression of a glucosyltransferase gene from Epimedium sagittatum. Ind. Crops Prod. 2020, 156, 112841. [Google Scholar] [CrossRef]
- Zhou, M.; Zheng, W.; Sun, X.; Yuan, M.; Zhang, J.; Chen, X.; Yu, K.; Guo, B.; Ma, B. Comparative analysis of chemical components in different parts of Epimedium Herb. J. Pharm. Biomed. Anal. 2021, 198, 113984. [Google Scholar] [CrossRef] [PubMed]
- Zhang, H.-F.; Yang, X.-H.; Zhao, L.-D.; Wang, Y. Ultrasonic-assisted extraction of epimedin C from fresh leaves of Epimedium and extraction mechanism. Innov. Food Sci. Emerg. Technol. 2009, 10, 54–60. [Google Scholar] [CrossRef]
- Gani, I.; Jameel, S.; Bhat, S.A.; Amin, H.; Bhat, K.A. Prenylated flavonoids of genus Epimedium: Phytochemistry, estimation and synthesis. ChemistrySelect 2023, 8, e202204263. [Google Scholar] [CrossRef]
- Li, H.-F.; Guan, X.-Y.; Yang, W.-Z.; Liu, K.-D.; Ye, M.; Sun, C.; Lu, S.; Guo, D.-A. Antioxidant flavonoids from Epimedium wushanense. Fitoterapia 2012, 83, 44–48. [Google Scholar] [CrossRef] [PubMed]
- Wu, J.; Zhou, J.; Chen, X.; Fortenbery, N.; Eksioglu, E.A.; Wei, S.; Dong, J. Attenuation of LPS-induced inflammation by ICT, a derivate of icariin, via inhibition of the CD14/TLR4 signaling pathway in human monocytes. Int. Immunopharmacol. 2012, 12, 74–79. [Google Scholar] [CrossRef] [PubMed]
- Tao, Z.; Liu, J.; Jiang, Y.; Gong, L.; Yang, B. Synthesis of prenylated flavonols and their potents as estrogen receptor modulator. Sci. Rep. 2017, 7, 12445. [Google Scholar] [CrossRef] [PubMed]
- Wen, L.; Zhao, Y.; Jiang, Y.; Yu, L.; Zeng, X.; Yang, J.; Tian, M.; Liu, H.; Yang, B. Identification of a flavonoid C-glycoside as potent antioxidant. Free Radic. Biol. Med. 2017, 110, 92–101. [Google Scholar] [CrossRef]
- Wen, L.; You, L.; Yang, X.; Yang, J.; Chen, F.; Jiang, Y.; Yang, B. Identification of phenolics in litchi and evaluation of anticancer cell proliferation activity and intracellular antioxidant activity. Free Radic. Biol. Med. 2015, 84, 171–184. [Google Scholar] [CrossRef] [PubMed]
- Shi, D.; Yang, J.; Jiang, Y.; Wen, L.; Wang, Z.; Yang, B. The antioxidant activity and neuroprotective mechanism of isoliquiritigenin. Free Radic. Biol. Med. 2020, 152, 207–215. [Google Scholar] [CrossRef]
- Wen, L.; Yuan, Y.; Jiang, Y.; Xiong, B.; Yang, B. The estrogen receptor modulatory activity and neuroprotective activity of novel prenylated flavonoids and their structure–activity relationship. Food Saf. Health 2023, 1, 184–201. [Google Scholar] [CrossRef]
- Xu, D.; Liu, L.; Zhao, Y.; Yang, L.; Cheng, J.; Hua, R.; Zhang, Z.; Li, Q. Melatonin protects mouse testes from palmitic acid-induced lipotoxicity by attenuating oxidative stress and DNA damage in a SIRT1-dependent manner. J. Pineal Res. 2020, 69, e12690. [Google Scholar] [CrossRef]
- Santos, C.M.M.; Silva, A.M.S. The antioxidant activity of prenylflavonoids. Molecules 2020, 25, 696. [Google Scholar] [CrossRef] [PubMed]
- Shen, N.; Wang, T.; Gan, Q.; Liu, S.; Wang, L.; Jin, B. Plant flavonoids: Classification, distribution, biosynthesis, and antioxidant activity. Food Chem. 2022, 383, 132531. [Google Scholar] [CrossRef] [PubMed]
- Wen, L.; Shi, D.; Zhou, T.; Tu, J.; He, M.; Jiang, Y.; Yang, B. Identification of two novel prenylated flavonoids in mulberry leaf and their bioactivities. Food Chem. 2020, 315, 126236. [Google Scholar] [CrossRef] [PubMed]
- Wolfe, K.L.; Liu, R.H. Structure−activity relationships of flavonoids in the cellular antioxidant activity assay. J. Agric. Food Chem. 2008, 56, 8404–8411. [Google Scholar] [CrossRef] [PubMed]
- Wen, L.R.; Zhou, T.; Jiang, Y.M.; Chang, S.K.; Yang, B. Prenylated flavonoids in foods and their applications on cancer prevention. Crit. Rev. Food Sci. Nutr. 2022, 62, 5067–5080. [Google Scholar] [CrossRef] [PubMed]
- Mukai, R. Prenylation enhances the biological activity of dietary flavonoids by altering their bioavailability. Biosci. Biotechnol. Biochem. 2018, 82, 207–215. [Google Scholar] [CrossRef] [PubMed]
- Fotakis, G.; Timbrell, J.A. In vitro cytotoxicity assays: Comparison of LDH, neutral red, MTT and protein assay in hepatoma cell lines following exposure to cadmium chloride. Toxicol. Lett. 2006, 160, 171–177. [Google Scholar] [CrossRef]
- Osama, A.; Zhang, J.; Yao, J.; Yao, X.; Fang, J. Nrf2: A dark horse in Alzheimer’s disease treatment. Ageing Res. Rev. 2020, 64, 101206. [Google Scholar] [CrossRef] [PubMed]
- Khan, H.; Tundis, R.; Ullah, H.; Aschner, M.; Belwal, T.; Mirzaei, H.; Akkol, E.K. Flavonoids targeting NRF2 in neurodegenerative disorders. Food Chem. Toxicol. 2020, 146, 111817. [Google Scholar] [CrossRef]
- Cui, Q.; Wang, C.; Zhou, L.; Wei, Y.; Liu, Z.; Wu, X. Simple and novel icariin-loaded pro-glycymicelles as a functional food: Physicochemical characteristics, in vitro biological activities, and in vivo experimental hyperlipidemia prevention evaluations. Food Funct. 2023, 14, 9907–9919. [Google Scholar] [CrossRef] [PubMed]
- Yen, T.-L.; Hsu, C.-K.; Lu, W.-J.; Hsieh, C.-Y.; Hsiao, G.; Chou, D.-S.; Wu, G.-J.; Sheu, J.-R. Neuroprotective effects of xanthohumol, a prenylated flavonoid from hops (Humulus lupulus), in ischemic stroke of rats. J. Agric. Food Chem. 2012, 60, 1937–1944. [Google Scholar] [CrossRef] [PubMed]
- Santi, M.D.; Arredondo, F.; Carvalho, D.; Echeverry, C.; Prunell, G.; Peralta, M.A.; Cabrera, J.L.; Ortega, M.G.; Savio, E.; Abin-Carriquiry, J.A. Neuroprotective effects of prenylated flavanones isolated from Dalea species, in vitro and in silico studies. Eur. J. Med. Chem. 2020, 206, 112718. [Google Scholar] [CrossRef] [PubMed]
- Alim, I.; Caulfield, J.T.; Chen, Y.; Swarup, V.; Geschwind, D.H.; Ivanova, E.; Seravalli, J.; Ai, Y.; Sensing, L.H.; Ste Marie, E.J.; et al. Selenium drives a transcriptional adaptive program to block ferroptosis and treat stroke. Cell 2019, 177, 1262–1279. [Google Scholar] [CrossRef] [PubMed]
- Fukui, M.; Zhu, B.T. Mitochondrial superoxide dismutase SOD2, but not cytosolic SOD1, plays a critical role in protection against glutamate-induced oxidative stress and cell death in HT22 neuronal cells. Free Radic. Biol. Med. 2010, 48, 821–830. [Google Scholar] [CrossRef]
- Papa, L.; Hahn, M.; Marsh, E.L.; Evans, B.S.; Germain, D. SOD2 to SOD1 switch in breast cancer. J. Biol. Chem. 2014, 289, 5412–5416. [Google Scholar] [CrossRef] [PubMed]
- Shi, C.; Chen, X.R.; Liu, Z.J.; Meng, R.Z.; Zhao, X.C.; Liu, Z.H.; Guo, N. Oleuropein protects L-02 cells against H2O2-induced oxidative stress by increasing SOD1, GPx1 and CAT expression. Biomed. Pharmacother. 2017, 85, 740–748. [Google Scholar] [CrossRef]
- Zhang, L.; Dong, L.; Yang, L.; Luo, Y.; Chen, F. MiR-27a-5p regulates acrylamide-induced mitochondrial dysfunction and intrinsic apoptosis via targeting Btf3 in rats. Food Chem. 2022, 368, 130816. [Google Scholar] [CrossRef]
- Patro, S.; Ratna, S.; Yamamoto, H.A.; Ebenezer, A.T.; Ferguson, D.S.; Kaur, A.; McIntyre, B.C.; Snow, R.; Solesio, M.E. ATP synthase and mitochondrial bioenergetics dysfunction in Alzheimer’s Disease. Int. J. Mol. Sci. 2021, 22, 11185. [Google Scholar] [CrossRef]
- Green, D.R.; Reed, J.C. Mitochondria and apoptosis. Science 1998, 281, 1309–1312. [Google Scholar] [CrossRef]
- Czabotar, P.E.; Garcia-Saez, A.J. Mechanisms of BCL-2 family proteins in mitochondrial apoptosis. Nat. Rev. Mol. Cell Biol. 2023, 24, 732–748. [Google Scholar] [CrossRef] [PubMed]






Disclaimer/Publisher’s Note: The statements, opinions and data contained in all publications are solely those of the individual author(s) and contributor(s) and not of MDPI and/or the editor(s). MDPI and/or the editor(s) disclaim responsibility for any injury to people or property resulting from any ideas, methods, instructions or products referred to in the content. |
© 2024 by the authors. Licensee MDPI, Basel, Switzerland. This article is an open access article distributed under the terms and conditions of the Creative Commons Attribution (CC BY) license (https://creativecommons.org/licenses/by/4.0/).
Share and Cite
Luo, D.; Shi, D.; Wen, L. From Epimedium to Neuroprotection: Exploring the Potential of Wushanicaritin. Foods 2024, 13, 1493. https://doi.org/10.3390/foods13101493
Luo D, Shi D, Wen L. From Epimedium to Neuroprotection: Exploring the Potential of Wushanicaritin. Foods. 2024; 13(10):1493. https://doi.org/10.3390/foods13101493
Chicago/Turabian StyleLuo, Donghui, Dingding Shi, and Lingrong Wen. 2024. "From Epimedium to Neuroprotection: Exploring the Potential of Wushanicaritin" Foods 13, no. 10: 1493. https://doi.org/10.3390/foods13101493
APA StyleLuo, D., Shi, D., & Wen, L. (2024). From Epimedium to Neuroprotection: Exploring the Potential of Wushanicaritin. Foods, 13(10), 1493. https://doi.org/10.3390/foods13101493
