Relation between Strawberry Fruit Redness and Bioactivity: Deciphering the Role of Anthocyanins as Health Promoting Compounds
Abstract
:1. Introduction
2. Materials and Methods
2.1. Plant Material and Experimental Design
2.2. Determination of Antioxidant Groups
2.3. Individual Phenolic Compounds
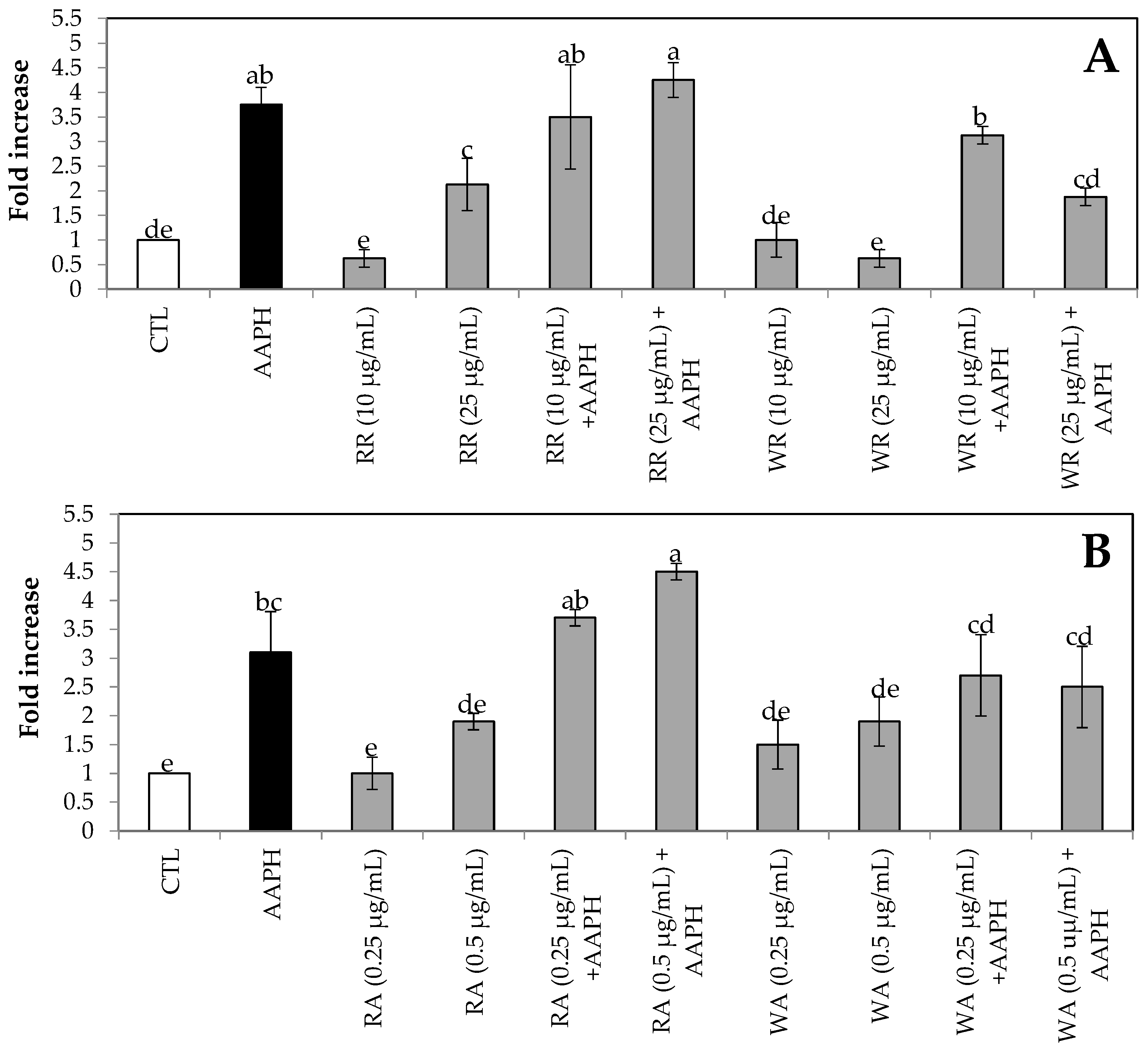
2.4. Bioactivity Assay of Strawberry Extracts
2.5. Determination of Antioxidant Enzyme Activities and Markers of Oxidation
2.6. Statistical Analysis
3. Results and Discussion
3.1. Polyphenolic Composition
3.1.1. Main Polyphenol Groups and Antioxidant Capacity
3.1.2. Individual Phenolic Compounds
3.2. Bioactivity Assay
3.3. Antioxidant Enzymes Activity
3.4. Oxidation Markers
4. Conclusions
Author Contributions
Funding
Institutional Review Board Statement
Informed Consent Statement
Data Availability Statement
Acknowledgments
Conflicts of Interest
Abbreviations
| ROS | Reactive oxygen species |
| HCl | Chlorhydric acid |
| HPLC | High-pressure liquid chromatography |
| UV–Vis | Ultraviolet-visible |
| TPC | Total phenolic content |
| TFC | Total flavonoid content |
| TAC | Total anthocyanin content |
| TTC | Total tannin content |
| AC | Antioxidant capacity |
| TEAC | Trolox Equivalent Antioxidant Capacity assay |
| GAE | Gallic acid equivalents |
| CAE | Catechin equivalents |
| PE | Pelargonidin-3-glucoside equivalents |
| TAE | Tannic acid equivalents |
| TE | Trolox equivalents |
| FW | Fresh weight |
| DAD | Diode array detector |
| HepG2 | Human hepatocellular carcinoma cells |
| MTT | 3-(4,5-Dimethylthiazol-2-Yl)-2,5-Diphenyltetrazolium Bromide |
| AAPH | 2,2’-Azobis (2-amidinopropane) dihydrochloride |
| SOD | Superoxide dismutase |
| CAT | Catalase |
| GR | Glutathione reductase |
| GT | Glutathione-S-transferase |
| GSH | Reduced glutathione |
| T-BARS | Thiobarbituric acid-reactive substance |
| NBT | NADH-phenazine-methosulfate-nitroblue tetrazolium |
| GSSG | Oxidized glutathione |
| CDNB | 1-chloro-2,4-dinitrobenzene |
| DTNB | 5,5′-dithiobis-(2-nitrobenzoic acid) |
| TBA | 2-thiobarbituric acid |
| PCA | Principal Component Analysis |
References
- Szajdek, A.; Borowska, E.J. Bioactive compounds and health-promoting properties of berry fruits: A review. Plant Foods Hum. Nutr. 2008, 63, 147. [Google Scholar] [CrossRef]
- Romandini, S.; Mazzoni, L.; Giampieri, F.; Tulipani, S.; Gasparrini, M.; Forbes-Hernandez, T.Y.; Locorotondo, N.; D’Alessandro, M.; Mezzetti, B.; Bompadre, S.; et al. Effects of an acute strawberry (Fragaria × ananassa) consumption on the plasma antioxidant status of healthy subjects. J. Berry Res. 2013, 3, 169–179. [Google Scholar] [CrossRef]
- Banaszewski, K.; Park, E.; Edirisinghe, I.; Cappozzo, J.C.; Burton-Freeman, B.M. A pilot study to investigate bioavailability of strawberry anthocyanins and characterize postprandial plasma polyphenols absorption patterns by Q-TOF LC/MS in humans. J. Berry Res. 2013, 3, 113–126. [Google Scholar] [CrossRef]
- Giampieri, F.; Cianciosi, D.; Alvarez-Suarez, J.M.; Quiles, J.L.; Forbes-Hernández, T.Y.; Navarro-Hortal, M.D.; Machí, M.; Palí Casanova, R.; Martínez Espinosa, J.C.; Chen, X.; et al. Anthocyanins: What do we know until now? J. Berry Res. 2023, 13, 1–6. [Google Scholar] [CrossRef]
- Grosso, G.; Godos, J.; Currenti, W.; Micek, A.; Falzone, L.; Libra, M.; Giampieri, F.; Forbes-Hernández, T.Y.; Quiles, J.L.; Battino, M.; et al. The Effect of Dietary Polyphenols on Vascular Health and Hypertension: Current Evidence and Mechanisms of Action. Nutrients 2022, 14, 545. [Google Scholar] [CrossRef]
- Stoner, G.D.; Seeram, N.P. Berries and Cancer Prevention; Springer: New York, NY, USA, 2011. [Google Scholar] [CrossRef]
- Ariza, M.T.; Reboredo-Rodríguez, P.; Mazzoni, L.; Forbes-Hernández, T.Y.; Giampieri, F.; Afrin, S.; Gasparrini, M.; Soria, C.; Martínez-Ferri, E.; Battino, M.; et al. Strawberry achenes are an important source of bioactive compounds for human health. Int. J. Mol. Sci. 2016, 17, 1103. [Google Scholar] [CrossRef]
- Hannum, S.M. Potential Impact of Strawberries on Human Health: A Review of the Science. Crit. Rev. Food Sci. Nutr. 2004, 44, 1–17. [Google Scholar] [CrossRef]
- Giampieri, F.; Alvarez-Suarez, J.M.; Mazzoni, L.; Romandini, S.; Bompadre, S.; Diamanti, J.; Capocasa, F.; Mezzetti, B.; Quiles, J.L.; Ferreiro, M.S.; et al. The potential impact of strawberry on human health. Nat. Prod. Res. 2013, 27, 448–455. [Google Scholar] [CrossRef]
- Ariza, M.T.; Reboredo-Rodríguez, P.; Cervantes, L.; Soria, C.; Martínez-Ferri, E.; González-Barreiro, C.; Cancho-Grande, B.; Battino, M.; Simal-Gándara, J. Bioaccessibility and potential bioavailability of phenolic compounds from achenes as a new target for strawberry breeding programs. Food Chem. 2018, 248, 155–165. [Google Scholar] [CrossRef]
- Arribas, S.M.; Martín-Cabrejas, M.A. Antioxidant Foods and Cardiometabolic Health. Antioxidants 2022, 11, 746. [Google Scholar] [CrossRef]
- Saqib, S.A.; Ahsan, H.; Khalid Zia, M.; Siddiqui, T.; Khan, F.H. Understanding oxidants and antioxidants: Classical team with new players. J. Food Biochem. 2020, 44, e13145. [Google Scholar] [CrossRef]
- Wang, H.; Cao, G.; Prior, R.L. Oxygen radical absorbing capacity of anthocyanins. J. Agric. Food Chem. 1997, 45, 304–309. [Google Scholar] [CrossRef]
- Forbes-Hernandez, T.Y.; Gasparrini, M.; Afrin, S.; Bompadre, S.; Mezzetti, B.; Quiles, J.L.; Giampieri, F.; Battino, M. The Healthy Effects of Strawberry Polyphenols: Which Strategy behind Antioxidant Capacity? Crit. Rev. Food Sci. Nutr. 2016, 56, S46–S59. [Google Scholar] [CrossRef] [PubMed]
- Fraige, K.; Pereira-Filho, E.R.; Carrilho, E. Fingerprinting of anthocyanins from grapes produced in Brazil using HPLC–DAD–MS and exploratory analysis by principal component analysis. Food Chem. 2014, 145, 395–403. [Google Scholar] [CrossRef] [PubMed]
- Perez-Gregorio, R.; Regueiro, J.; Simal-Gandara, J.; Rodrigues, A.; Almeida, D. Increasing the Added-Value of Onions as a Source of Antioxidant Flavonoids: A Critical Review. Crit. Rev. Food Sci. Nutr. 2013, 54, 1050–1062. [Google Scholar] [CrossRef] [PubMed]
- Crecente-Campo, J.; Nunes-Damaceno, M.; Romero-Rodríguez, M.A.; Vázquez-Odériz, M.L. Color, anthocyanin pigment, ascorbic acid and total phenolic compound determination in organic versus conventional strawberries (Fragaria × ananassa Duch, cv. Selva). J. Food Compos. Anal. 2012, 28, 23–30. [Google Scholar] [CrossRef]
- Giampieri, F.; Alvarez-Suarez, J.M.; Mazzoni, L.; Forbes-Hernandez, T.Y.; Gasparrini, M.; Gonzàlez-Paramàs, A.M.; Santos-Buelga, C.; Quiles, J.L.; Bompadre, S.; Mezzetti, B.; et al. An anthocyanin-rich strawberry extract protects against oxidative stress damage and improves mitochondrial functionality in human dermal fibroblasts exposed to an oxidizing agent. Food Funct. 2014, 5, 1939–1948. [Google Scholar] [CrossRef]
- Ichikawa, H.; Ichiyanagi, T.; Xu, B.; Yoshi, Y.; Naakajima, M.; Konishi, T. Antioxidant activity of anthocyanin extract from purple black rice. J. Med. Food 2001, 4, 211–218. [Google Scholar] [CrossRef]
- Kahkonen, M.P.; Heinonen, M. Antioxidant activity of anthocyanins and their aglycones. J. Agric. Food Chem. 2003, 51, 628–633. [Google Scholar] [CrossRef]
- Wu, Q.K.; Koponen, J.M.; Mykkänen, H.M.; Törrönen, A.R. Berry phenolics extracts modulate the expression of p21WAF1 and Bax but not Bcl-2 in HT-29 colon cancer cells. J. Agric. Food Chem. 2007, 55, 1156–1163. [Google Scholar] [CrossRef]
- Lala, G.; Malik, M.; Zhao, C.; He, J.; Kwon, Y.; Giusti, M.M.; Magnuson, B.A. Anthocyanin-rich extracts inhibit multiple biomarkers of colon cancer in rats. Nutr. Cancer 2006, 54, 84–93. [Google Scholar] [CrossRef] [PubMed]
- Xu, J.W.; Ikeda, K.; Yamori, Y. Cyanidin-3-glucoside regulates phosphorylation of endothelial nitric oxide synthase. FEBS Lett. 2005, 574, 176–180. [Google Scholar] [CrossRef]
- Seeram, N.P.; Bourquin, L.D.; Nair, M.G. Degradation products of cyanidin glycosides from tart cherries and their bioactivities. J. Agric. Food Chem. 2001, 49, 4924–4929. [Google Scholar] [CrossRef] [PubMed]
- Mercier, A.; Perdriel, G.; Rozier, J.; Cheraleraud, J. Note concerning the action of anthocyanin glycosides on the human electroretinogram. Bull. Soc. Ophtalmol. Fr. 1965, 65, 1049–1053. [Google Scholar] [PubMed]
- Joseph, J.A.; Denisova, N.A.; Arendash, G.; Gordon, M.; Diamond, D.; Shukitt-Hale, B.; Morgan, D. Blueberry supplementation enhances signalling and prevents behavioural deficits in an Alzheimer disease model. Nutr. Neurosci. 2003, 6, 153–162. [Google Scholar] [CrossRef] [PubMed]
- Tsuda, T.; Horio, F.; Uchida, K.; Aoki, T.; Osawa, T. Dietary cyanidin-3-O--D-glucoside-rich purple corn color prevents obesity and ameliorates hyperglycemia in mice. J. Nutr. 2003, 133, 2125–2130. [Google Scholar] [CrossRef] [PubMed]
- Heo, J.H.; Lee, C.Y. Strawberry and Its Anthocyanins Reduce Oxidative Stress-Induced Apoptosis in PC12 Cells. J. Agric. Food Chem. 2005, 5, 1984–1989. [Google Scholar] [CrossRef]
- Bunea, A.; Rugină, D.; Sconţa, Z.; Pop, R.; Pintea, A.; Socaciu, C.; Tăbăran, F.; Grootaert, C.; Struijs, K.; Van Camp, J. Anthocyanin determination in blueberry extracts from various cultivars and their antiproliferative and apoptotic properties in B16-F10 metastatic murine melanoma cells. Phytochemistry 2013, 95, 436–444. [Google Scholar] [CrossRef]
- Cervantes, L.; Martínez-Ferri, E.; Soria, C.; Ariza, M.T. Bioavailability of phenolic compounds in strawberry, raspberry and blueberry: Insights for breeding programs. Food Biosci. 2020, 37, 100680. [Google Scholar] [CrossRef]
- Ariza, M.T.; Martínez-Ferri, E.; Domínguez, P.; Medina, J.J.; Miranda, L.; Soria, C. Effect of harvest time on functional compounds and fruit antioxidant capacity in ten strawberry cultivars. J. Berry Res. 2015, 5, 71–80. [Google Scholar] [CrossRef]
- Lila, M.A. Anthocyanins and Human Health: An In Vitro Investigative Approach. J. Biomed. Biotechnol. 2004, 5, 306–313. [Google Scholar] [CrossRef] [PubMed]
- Ariza, M.T.; Forbes-Hernández, T.Y.; Reboredo-Rodríguez, P.; Afrin, S.; Gasparrini, M.; Cervantes, L.; Soria, C.; Martínez-Ferri, E.; Battino, M.; Giampieri, F. Strawberry and achenes hydroalcoholic extracts and their digested fractions efficiently counteract the AAPH-induced oxidative damage in HepG2 cells. Int. J. Mol. Sci. 2018, 19, 2180. [Google Scholar] [CrossRef] [PubMed]
- Giampieri, F.; Alvarez-Suarez, J.M.; Gasparrini, M.; Forbes-Hernandez, T.Y.; Afrin, S.; Bompadre, S.; Rubini, C.; Zizzi, A.; Astolfi, P.; Santos-Buelga, C.; et al. Strawberry consumption alleviates doxorubicin-induced toxicity by suppressing oxidative stress. Food Chem. Toxicol. 2016, 94, 128–137. [Google Scholar] [CrossRef] [PubMed]
- R, Version 4.1.3; R Core Team: Vienna, Austria, 2022; Available online: https://www.r-project.org/ (accessed on 12 September 2023).
- Nowicka, A.; Kucharska, A.Z.; Sokół-Łętowska, A.; Fecka, I. Comparison of polyphenol content and antioxidant capacity of strawberry fruit from 90 cultivars of Fragaria× ananassa, Duch. Food Chem. 2019, 270, 32–46. [Google Scholar] [CrossRef] [PubMed]
- Gündüz, K.; Ozdemir, E. The effects of genotype and growing conditions on antioxidant capacity, phenolic compounds, organic acid and individual sugars of strawberry. Food Chem. 2014, 155, 298–303. [Google Scholar] [CrossRef] [PubMed]
- Tulipani, S.; Mezzetti, B.; Capocasa, F.; Bompadre, S.; Beekwilder, J.; De Vos, C.R.; Capanoglu, E.; Bovy, A.; Battino, M. Antioxidants, phenolic compounds, and nutritional quality of different strawberry genotypes. J. Agric. Food Chem. 2008, 56, 696–704. [Google Scholar] [CrossRef] [PubMed]
- Micek, A.; Godos, J.; Del Rio, D.; Galvano, F.; Grosso, G. Dietary Flavonoids and Cardiovascular Disease: A Comprehensive Dose-Response Meta-Analysis. Mol. Nutr. Food Res. 2021, 65, e2001019. [Google Scholar] [CrossRef]
- Godos, J.; Vitale, M.; Micek, A.; Ray, S.; Martini, D.; Del Rio, D.; Riccardi, G.; Galvano, F.; Grosso, G. Dietary Polyphenol Intake, Blood Pressure, and Hypertension: A Systematic Review and MetaAnalysis of Observational Studies. Antioxidants 2019, 8, 152. [Google Scholar] [CrossRef]
- Rienks, J.; Barbaresko, J.; Oluwagbemigun, K.; Schmid, M.; Nöthlings, U. Polyphenol exposure and risk of type 2 diabetes: Dose-response meta-analyses and systematic review of prospective cohort studies. Am. J. Clin. Nutr. 2018, 108, 49–61. [Google Scholar] [CrossRef]
- Grosso, G.; Godos, J.; Lamuela-Raventos, R.; Ray, S.; Micek, A.; Pajak, A.; Sciacca, S.; D’Orazio, N.; Del Rio, D.; Galvano, F. A comprehensive meta-analysis on dietary flavonoid and lignan intake and cancer risk: Level of evidence and limitations. Mol. Nutr. Food Res. 2017, 61, 1600930. [Google Scholar] [CrossRef]
- Panchal, S.K.; John, O.D.; Mathai, M.L.; Brown, L. Anthocyanins in Chronic Diseases: The Power of Purple. Nutrients 2022, 14, 2161. [Google Scholar] [CrossRef] [PubMed]
- Caruso, G.; Torrisi, S.A.; Mogavero, M.P.; Currenti, W.; Castellano, S.; Godos, J.; Ferri, R.; Galvano, F.; Leggio, G.M.; Grosso, G.; et al. Polyphenols and neuroprotection: Therapeutic implications for cognitive decline. Pharmacol. Ther. 2022, 232, 108013. [Google Scholar] [CrossRef] [PubMed]
- Casadesús, A.; Arabia, A.; Pujolriu, R.; Munné-Boscha, S. Differential accumulation of tocochromanols in photosynthetic and non-photosynthetic tissues of strawberry plants subjected to reiterated water deficit. Plant Physiol. Biochem. 2020, 155, 868–876. [Google Scholar] [CrossRef] [PubMed]
- Tsakiroglou, P.; Weber, J.; Ashworth, S.; Del Bo’, C.; Klimis-Zacas, D. Angiogenesis is Differentially Modulated by Anthocyanin and Phenolic Acid Extracts from Wild Blueberry (V. angustifolium) Through PI3K Pathway. J. Med. Food 2021, 24, 226–235. [Google Scholar] [CrossRef] [PubMed]
- Ho, M.L.; Chen, P.N.; Chu, S.C.; Kuo, D.Y.; Kuo, W.H.; Chen, J.Y.; Hsieh, Y.S. Peonidin 3-glucoside inhibits lung cancer metastasis by downregulation of proteinases activities and MAPK pathway. Nutr. Cancer 2010, 62, 505–556. [Google Scholar] [CrossRef] [PubMed]
- Shin, D.Y.; Lee, W.S.; Lu, J.N.; Kang, M.H.; Ryu, C.H.; Kim, G.Y.; Kang, H.S.; Shin, S.C.; Choi, Y.H. Induction of apoptosis in human colon cancer HCT-116 cells by anthocyanins through suppression of Akt and activation of p38-MAPK. Int. J. Oncol. 2009, 35, 1499–1504. [Google Scholar] [PubMed]
- Afaq, F.; Malik, A.; Syed, D.; Maes, D.; Matsui, M.S.; Mukhtar, H. Pomegranate fruit extract modulates UV-B-mediated phosphorylation of mitogen-activated protein kinases and activation of nuclear factor kappa B in normal human epidermal keratinocytes paragraph sign. Photochem. Photobiol. 2005, 81, 38–47. [Google Scholar]
- Isemura, M. Catechin in Human Health and Disease. Molecules 2019, 24, 528. [Google Scholar] [CrossRef]
- Zanwar, A.A.; Badole, S.L.; Shende, P.S.; Hegde, M.V.; Bodhankar, S.L. Antioxidant Role of Catechin in Health and Disease. In Polyphenols in Human Health and Disease; Academic Press: Cambridge, MA, USA, 2014; pp. 267–271. [Google Scholar] [CrossRef]
- Milosavljevííc, D.M.; Maksimovííc, V.M.; Milivojevííc, J.M.; Nakarada, D.J.; Mojovííc, M.D.; Dragišííc Maksimovííc, J.J. Rich in Phenolics—Strong Antioxidant Fruit? Comparative Study of 25 Strawberry Cultivars. Plants 2022, 11, 3566. [Google Scholar] [CrossRef]
- Vattem, D.A.; Shetty, K. Biological functionality of ellagic acid: A review. J. Food Biochem. 2005, 29, 234–266. [Google Scholar] [CrossRef]
- Imran, M.; Saeed, F.; Hussain, G.; Imran, A.; Mehmood, Z.; Gondal, T.A.; El-Ghorab, A.; Ahmad, I.; Pezzani, R.; Arshad, M.U.; et al. Myricetin: A comprehensive review on its biological potentials. Food Sci. Nutr. 2021, 10, 5854–5868. [Google Scholar] [CrossRef] [PubMed]
- Ziemlewska, A.; Zagórska-Dziok, M.; Nizioł-Łukaszewska, Z. Assessment of cytotoxicity and antioxidant properties of berry leaves as by-products with potential application in cosmetic and pharmaceutical products. Sci. Rep. 2021, 11, 3240. [Google Scholar] [CrossRef]
- Alvarez-Suarez, J.M.; Giampieri, F.; Cordero, M.; Gasparrini, M.; Forbes-Hernandez, T.Y.; Mazzoni, L.; Afrin, S.; Beltran-Ayala, P.; Gonzalez-Paramas, A.M.; Santos-Buelga, C.; et al. Activation of AMPK/Nrf2 signalling by Manuka honey protects human dermal fibroblasts against oxidative damage by improving antioxidant response and mitochondrial function promoting wound healing. J. Funct. Foods 2016, 25, 38–49. [Google Scholar] [CrossRef]
- Wang, R.; Ghahary, A.; Shen, Y.J.; Scott, P.G.; Tredget, E.E. Human dermal fibroblasts produce nitric oxide and express both constitutive and inducible nitric oxide synthase isoforms. J. Investig. Dermatol. 1996, 106, 419–427. [Google Scholar] [CrossRef] [PubMed]
- Nowak, M.; Tryniszewski, W.; Sarniak, A.; Wlodarczyk, A.; Nowak, P.J.; Nowak, D. Concentration Dependence of Anti- and Pro-Oxidant Activity of Polyphenols as Evaluated with a Light-Emitting Fe2+-Egta-H2O2 System. Molecules 2022, 27, 3453. [Google Scholar] [CrossRef]
- Poljsak, B.; Šuput, D.; Milisav, I. Achieving the balance between ROS and antioxidants: When to use the synthetic antioxidants. Oxid. Med. Cell Longev. 2013, 2013, 956792. [Google Scholar] [CrossRef]
- Pigeolet, E.; Corbisier, P.; Houbion, A.; Lambert, D.; Michiels, C.; Raes, M.; Zachary, M.D.; Remacle, J. Glutathione peroxidase, superoxide dismutase, and catalase inactivation by peroxides and oxygen derived free radicals. Mech. Ageing Dev. 1990, 51, 283–297. [Google Scholar] [CrossRef]
- Zhang, H.C.; Ma, K.X.; Yang, Y.J.; Shi, C.Y.; Chen, G.W.; Liu, D.Z. Molecular cloning, characterization, expression and enzyme activity of catalase from planarian Dugesia japonica in response to environmental pollutants. Ecotoxicol. Environ. Saf. 2018, 165, 88–95. [Google Scholar] [CrossRef]
- Angelucci, F.; Baiocco, P.; Brunori, M.; Gourlay, L.; Morea, V.; Bellelli, A. Insights into the catalytic mechanism of glutathione S-transferase: The lesson from Schistosoma haematobium. Structure 2005, 13, 1241–1246. [Google Scholar] [CrossRef]
- Trivedi, D.K.; Gill, S.S.; Yadav, S.; Tuteja, N. Genome-wide analysis of glutathione reductase (GR) genes from rice and Arabidopsis. Plant Signal. Behav. 2013, 8, e23021. [Google Scholar] [CrossRef]
- Galambos, A.R. The Effects of Blueberry Anthocyanidins on Antioxidant Enzyme Activity in Human Hepg2 Cells. Master’s Thesis, The University of Georgia, Athens, GA, USA, 2012. [Google Scholar]
- Khan, M.A.; Chen, H.C.; Wan, X.X.; Tania, M.; Xu, A.H.; Chen, F.Z.; Zhang, D.Z. Regulatory effects of resveratrol on antioxidant enzymes: A mechanism of growth inhibition and apoptosis induction in cancer cells. Mol. Cell 2013, 35, 219–225. [Google Scholar] [CrossRef] [PubMed]
- Nguyen, T.; Sherratt, P.J.; Pickett, C.B. Regulatory mechanisms controlling gene expression mediated by the antioxidant response element. Annu. Rev. Pharmacol. Toxicol. 2003, 43, 233–260. [Google Scholar] [CrossRef] [PubMed]
- Harvey, C.J.; Thimmulappa, R.K.; Sing, A.; Blake, D.J.; Ling, G.; Wakabayashi, N.; Lee, K.-W. Protective effects of maillard reaction products of whey protein concentrate against oxidative stress through an Nrf2-dependent pathway in HepG2 cells. Biol. Pharm. Bull. 2016, 39, 1437–1447. [Google Scholar]
- Harvey, C.J.; Thimmulappa, R.K.; Singh, A.; Blake, D.J.; Ling, G.; Wakabayashi, N.; Fujii, J.; Myers, A.; Biswal, S. Nrf2-regulated glutathione recycling independent of biosynthesis is critical for cell survival during oxidative stress. Free Radic. Biol. Med. 2009, 46, 443–453. [Google Scholar] [CrossRef] [PubMed]
- Babujanarthanam, R.; Kavitha, P.; Mahadeva Rao, U.S.; Pandian, M.R. Quercitrin a bioflavonoid improves the antioxidant status in streptozotocin: Induced diabetic rat tissues. Mol. Cell Biochem. 2011, 358, 121–129. [Google Scholar] [CrossRef] [PubMed]
- DeLeve, L.D.; Kaplowitz, N. Importance and regulation of hepatic glutathione. Sem. Liver Dis. 1990, 10, 251–266. [Google Scholar] [CrossRef] [PubMed]
- Gasparrini, M.; Giampieri, F.; Forbes-Hernandez, T.Y.; Afrin, S.; Cianciosi, D.; Reboredo-Rodriguez, P.; Varela-Lopez, A.; Zhang, J.; Quiles, J.L.; Mezzetti, B.; et al. Strawberry extracts efficiently counteract inflammatory stress induced by the endotoxin lipopolysaccharide in Human Dermal Fibroblast. Food Chem. Toxicol. 2018, 114, 128–140. [Google Scholar] [CrossRef]
- Gasparrini, M.; Forbes-Hernandez, T.Y.; Giampieri, F.; Afrin, S.; Mezzetti, B.; Quiles, J.L.; Bompadre, S.; Battino, M. Protective Effect of Strawberry Extract against Inflammatory Stress Induced in Human Dermal Fibroblasts. Molecules 2017, 22, 164. [Google Scholar] [CrossRef]
- Griffith, O.W. Determination of glutathione and glutathione disulfide using glutathione reductase and 2-vinylpyridine. Anal. Biochem. 1980, 106, 207–212. [Google Scholar] [CrossRef]






| Total Phenolic Content | Total Flavonoids Content | Total Anthocyanin Content | Total Tannin Content | Antioxidant Capacity | ||||||||||||||||
|---|---|---|---|---|---|---|---|---|---|---|---|---|---|---|---|---|---|---|---|---|
| (mg GAE/100 g FW) | (mg CAE/100 g FW) | (mg PE/100 g FW) | (mg TAE/100 g FW) | (µmol TE/100 g FW) | ||||||||||||||||
| Red receptacle | 166.82 | ± | 5.16 | A | 41.65 | ± | 1.57 | B | 21.87 | ± | 0.89 | A | 77.02 | ± | 2.00 | A | 907.95 | ± | 39.10 | B |
| Red Achenes | 5110.47 | ± | 174.66 | a | 748.67 | ± | 30.26 | a | 13.65 | ± | 0.66 | a | 2952.30 | ± | 126.25 | b | 18886.28 | ± | 770.14 | a |
| (35.77; 17.66%) | (5.24; 11.18%) | (0.10; 0.44%) | (20.67; 21.16%) | (132.20; 12.71%) | ||||||||||||||||
| White receptacle | 154.80 | ± | 5.48 | B | 49.60 | ± | 1.03 | A | <LOQ | B | 75.09 | ± | 2.06 | A | 1190.17 | ± | 47.46 | A | ||
| White achenes | 5416.38 | ± | 80.23 | a | 544.61 | ± | 10.84 | b | <LOQ | b | 3212.79 | ± | 90.16 | a | 18969.09 | ± | 584.56 | a | ||
| (37.91; 19.67%) | (3.81; 7.14%) | (22.49; 23.05%) | (132.78; 10.04%) | |||||||||||||||||
| Red Receptacle | Red Achene | White Receptacle | White Achene | ||||||||||||||
|---|---|---|---|---|---|---|---|---|---|---|---|---|---|---|---|---|---|
| (mg/100 g FW) | (mg/100 g FW) | (mg/100 g FW) | (mg/100 g FW) | ||||||||||||||
| Phenolic acids and hydrolisable tannins | Gallic acid | 1.49 | ± | 0.25 | A | <LOQ | 0.68 | ± | 0.07 | B | <LOQ | ||||||
| Chlorogenic acid | 17.45 | ± | 2.80 | A | <LOQ | <LOQ | B | <LOQ | |||||||||
| Caffeic acid | 0.81 | ± | 0.05 | A | <LOQ | <LOQ | B | <LOQ | |||||||||
| p-Coumaric acid | 0.50 | ± | 0.02 | A | <LOQ | <LOQ | B | <LOQ | |||||||||
| Ellagic acid | 229.72 | ± | 11.49 | A | 1293.25 | ± | 92.74 | a | 77.43 | ± | 7.57 | B | 601.27 | ± | 23.88 | b | |
| trans-Cinamic acid | 0.42 | ± | 0.02 | A | <LOQ | <LOQ | B | <LOQ | |||||||||
| Total | 250.39 | 1293.25 | 78.11 | 601.27 | |||||||||||||
| Flavanols | Procyanindin B1 | 32.20 | ± | 4.30 | A | <LOQ | 7.99 | ± | 1.14 | B | <LOQ | ||||||
| Catechin | 5.58 | ± | 0.31 | B | <LOQ | 12.77 | ± | 0.59 | A | <LOQ | |||||||
| Procyanidin B2 | 9.49 | ± | 0.43 | A | <LOQ | <LOQ | B | <LOQ | |||||||||
| Total | 47.27 | <LOQ | 20.77 | <LOQ | |||||||||||||
| Flavonols | Chlorogenic acid | 17.45 | ± | 2.80 | A | <LOQ | <LOQ | B | <LOQ | ||||||||
| Rutin | 1.59 | ± | 0.36 | A | 11.47 | ± | 1.22 | a | <LOQ | B | 1.27 | ± | 0.36 | b | |||
| Myricetin | 0.79 | ± | 0.07 | A | 3.75 | ± | 0.07 | b | 0.56 | ± | 0.02 | A | 48.34 | ± | 2.74 | a | |
| Quercetin | <LOQ | <LOQ | <LOQ | <LOQ | |||||||||||||
| Kaempferol | <LOQ | <LOQ | <LOQ | <LOQ | |||||||||||||
| Total | 2.37 | 15.22 | 0.56 | 49.62 | |||||||||||||
| Anthocyanins | Cya-3-glc | <LOQ | 2.43 | ± | 0.93 | a | <LOQ | <LOQ | b | ||||||||
| Pel-3-glc | 19.29 | ± | 1.47 | A | 4.42 | ± | 1.08 | a | <LOQ | B | <LOQ | b | |||||
| Pel-3-rut | 0.46 | ± | 0.03 | A | <LOQ | <LOQ | B | <LOQ | |||||||||
| Peo-3-glc | <LOQ | <LOQ | <LOQ | <LOQ | |||||||||||||
| Total | 19.75 | 6.84 | <LOQ | <LOQ | |||||||||||||
Disclaimer/Publisher’s Note: The statements, opinions and data contained in all publications are solely those of the individual author(s) and contributor(s) and not of MDPI and/or the editor(s). MDPI and/or the editor(s) disclaim responsibility for any injury to people or property resulting from any ideas, methods, instructions or products referred to in the content. |
© 2023 by the authors. Licensee MDPI, Basel, Switzerland. This article is an open access article distributed under the terms and conditions of the Creative Commons Attribution (CC BY) license (https://creativecommons.org/licenses/by/4.0/).
Share and Cite
Martínez-Ferri, E.; Forbes-Hernandez, T.Y.; Cervantes, L.; Soria, C.; Battino, M.; Ariza, M.T. Relation between Strawberry Fruit Redness and Bioactivity: Deciphering the Role of Anthocyanins as Health Promoting Compounds. Foods 2024, 13, 110. https://doi.org/10.3390/foods13010110
Martínez-Ferri E, Forbes-Hernandez TY, Cervantes L, Soria C, Battino M, Ariza MT. Relation between Strawberry Fruit Redness and Bioactivity: Deciphering the Role of Anthocyanins as Health Promoting Compounds. Foods. 2024; 13(1):110. https://doi.org/10.3390/foods13010110
Chicago/Turabian StyleMartínez-Ferri, Elsa, Tamara Yuliet Forbes-Hernandez, Lucía Cervantes, Carmen Soria, Maurizio Battino, and María Teresa Ariza. 2024. "Relation between Strawberry Fruit Redness and Bioactivity: Deciphering the Role of Anthocyanins as Health Promoting Compounds" Foods 13, no. 1: 110. https://doi.org/10.3390/foods13010110
APA StyleMartínez-Ferri, E., Forbes-Hernandez, T. Y., Cervantes, L., Soria, C., Battino, M., & Ariza, M. T. (2024). Relation between Strawberry Fruit Redness and Bioactivity: Deciphering the Role of Anthocyanins as Health Promoting Compounds. Foods, 13(1), 110. https://doi.org/10.3390/foods13010110

