The Relationships between Waxes and Storage Quality Indexes of Fruits of Three Plum Cultivars
Abstract
1. Introduction
2. Materials and Methods
2.1. Plant Materials
2.2. Scanning Electron Microscopy of Plum Cuticular Wax
2.3. Cuticular Wax Extraction
2.4. Cuticular Wax GC-MS Analysis
2.5. Weight Loss
2.6. Fruit Firmness
2.7. Total Soluble Solids (TSS) and Titratable Acid (TA) Content
2.8. Soluble Sugar and Soluble Protein Content
2.9. Statistical Analysis
3. Results
3.1. Changes in Appearance and Cuticular Wax Morphology of Three Plum Cultivars during Storage
3.2. Changes in Cuticular Wax Proportion and Content of Three Plum Cultivars during Storage
3.2.1. Total Wax Amounts
3.2.2. Alkanes
3.2.3. Alcohols
3.2.4. Fatty Acids
3.2.5. Ketones
3.2.6. Aldehydes
3.2.7. Esters
3.2.8. Triterpenes
3.2.9. Olefins
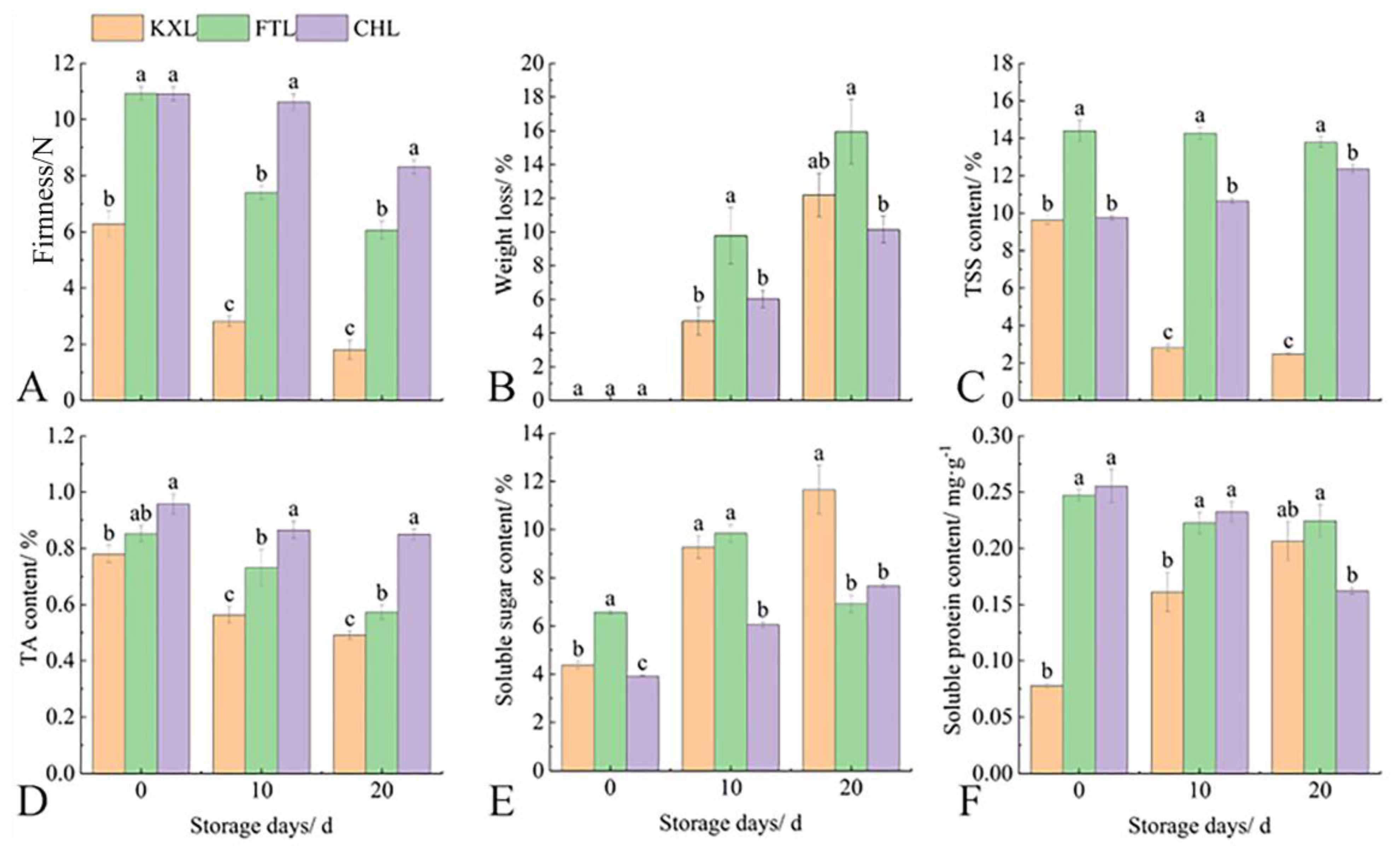
3.3. Changes in Quality of Three Plum Cultivars during Storage at Room Temperature
3.4. Cluster Analysis of Fruit Quality and Cuticular Wax of Three Plum Cultivars during Storage
3.5. Correlation Analysis between Fruit Quality and Cuticular Wax of Three Plum Cultivars during Storage
4. Discussion
4.1. Cuticular Wax of Three Plum Cultivars
4.1.1. Structure of Cuticular Wax of Three Plum Cultivars
4.1.2. Composition of Cuticular Wax of Three Plum Cultivars
4.2. Fruit Quality of Three Plum Cultivars
4.3. Relationship between Cuticular Wax and Quality Parameters
4.3.1. Cuticular Wax Structure and Quality Parameters
4.3.2. Cuticular Wax Composition and Quality Parameters
Cuticular Wax Composition and Weight Loss
Cuticular Wax Composition and Fruit Softening
Cuticular Wax Composition and Fruit Quality
5. Conclusions
Author Contributions
Funding
Data Availability Statement
Conflicts of Interest
References
- Curry, E. Effects of 1-MCP applied postharvest on epicuticular wax of apples (Malus domestica Borkh.) during storage. J. Sci. Food Agric. 2008, 88, 996–1006. [Google Scholar] [CrossRef]
- Lara, I.; Belge, B.; Goulao, L.F. A focus on the biosynthesis and composition of cuticle in fruits. J. Agric. Food Chem. 2015, 63, 4005–4019. [Google Scholar] [CrossRef] [PubMed]
- Romero, P.; Lafuente, M.T. Relative humidity regimes modify epicuticular wax metabolism and fruit properties during Navelate orange conservation in an ABA-dependent manner. Food Chem. 2022, 369, 130946. [Google Scholar] [CrossRef] [PubMed]
- Mukhtar, A.; Damerow, L.; Blanke, M. Non-invasive assessment of glossiness and polishing of the wax bloom of European plum. Postharvest Biol. Technol. 2014, 87, 144–151. [Google Scholar] [CrossRef]
- Yang, M.Y.; Luo, Z.S.; Gao, S.N.; Belwal, T.; Wang, L.; Qi, M.; Ban, Z.J.; Wu, B.; Wang, F.Z.; Li, L. The chemical composition and potential role of epicuticular and intracuticular wax in four cultivars of table grapes. Postharvest Biol. Technol. 2021, 173, 111430. [Google Scholar] [CrossRef]
- Petit, J.; Bres, C.; Mauxion, J.P.; Bakan, B.; Rothan, C. Breeding for cuticle-associated traits in crop species: Traits, targets, and strategies. J. Exp. Bot. 2017, 68, 5369–5387. [Google Scholar] [CrossRef]
- Kosma, D.K.; Bourdenx, B.; Bernard, A.L.; Parsons, E.P.; Lu, S.Y.; Joube, J.M.; Jenks, M.A. The impact of water deficiency on leaf cuticle lipids of Arabidopsis. Plant Physiol. 2009, 151, 1918–1929. [Google Scholar] [CrossRef]
- Verardo, G.; Pagani, E.; Geatti, P.; Martinuzzi, P. A thorough study of the surface wax of apple fruits. Anal. Bioanal. Chem. 2003, 376, 659–667. [Google Scholar] [CrossRef]
- Li, N.; Fu, L.J.; Song, Y.Q.; Li, J.; Xue, X.F.; Li, S.R.; Li, L.L. Wax composition and concentration in jujube (Ziziphus jujuba Mill.) cultivars with differential resistance to fruit cracking. J. Plant Physiol. 2020, 255, 153294. [Google Scholar] [CrossRef]
- Chu, W.J.; Gao, H.Y.; Chen, H.J.; Fang, X.J.; Zheng, Y.H. Effects of cuticular wax on the postharvest quality of blueberry fruit. Food Chem. 2018, 239, 68–74. [Google Scholar] [CrossRef]
- Wang, Y.; Mao, H.; Lv, Y.; Chen, G.; Jiang, Y. Comparative analysis of total wax content, chemical composition and crystal morphology of cuticular wax in korla pear under different relative humidity of storage. J. Plant Growth Regul. 2021, 40, 1152–1165. [Google Scholar] [CrossRef]
- Chai, Y.; Li, A.; Su, C.W.; Song, C.; Lin, Q. Cuticular wax composition changes of 10 apple cultivars during postharvest storage. Food Chem. 2020, 324, 126903. [Google Scholar] [CrossRef]
- Zhang, W.; Wang, Y.; Guo, H.J.; Yang, W.T.; Guo, M.R.; Chen, G.G. Cuticular wax removal on reactive oxygen species-related mechanisms and on the quality of Hami melon cultivars. Postharvest Biol. Technol. 2022, 193, 112060. [Google Scholar] [CrossRef]
- Vercher, R.; Tadeo, F.R.; Almela, V.; Zaragoza, S.; Agustí, M.; Primo-Millo, E. Rind structure, epicuticular wax morphology and water permeability of ‘Fortune’ mandarin fruits affected by peel pitting. Ann. Bot. 1994, 74, 619–625. [Google Scholar] [CrossRef]
- Trivedi, P.; Nguyen, N.; Hykkerud, A.L.; Hggman, H.; Karppinen, K. Mini review developmental and environmental regulation of cuticular wax biosynthesis in fleshy fruits. Front. Plant Sci. 2019, 10, 431. [Google Scholar] [CrossRef]
- Chu, W.J.; Gao, H.Y.; Cao, S.F.; Fang, X.J.; Chen, H.J.; Xiao, S.Y. Composition and morphology of cuticular wax in blueberry (Vaccinium spp.) fruits. Food Chem. 2017, 219, 436–442. [Google Scholar] [CrossRef]
- Tafolla-Arellano, J.C.; Báez-Sañudo, R.; Tiznado-Hernández, M.E. The cuticle as a key factor in the quality of horticultural crops. Sci. Hortic. 2018, 232, 145–152. [Google Scholar] [CrossRef]
- Huang, H.; Wang, L. Alteration of surface morphologies and chemical composition of cuticle in response to chilling injury in papaya (Carica papaya L.) after harvest. Food Chem. 2023, 416, 135751. [Google Scholar] [CrossRef]
- Li, F.; Min, D.; Song, B.; Shao, S.J.; Zhang, X.H. Ethylene effects on apple fruit cuticular wax composition and content during cold storage. Postharvest Biol. Technol. 2017, 134, 8–105. [Google Scholar] [CrossRef]
- Lara, I.; Belge, B.; Goulao, L.F. The fruit cuticle as a modulator of postharvest quality. Postharvest Biol. Technol. 2014, 87, 103–112. [Google Scholar] [CrossRef]
- Liu, G.S.; Li, H.L.; Peng, Z.Z.; Liu, R.L.; Han, Y.C.; Wang, Y.X.; Zhao, X.D.; Fu, D.Q. Composition, metabolism and postharvest function and regulation of fruit cuticle: A review. Food Chem. 2023, 411, 135449. [Google Scholar] [CrossRef] [PubMed]
- Vichi, S.; Cortes-Francisco, N.; Caixach, J.; Barrios, G.; Mateu, J.; Ninot, A.; Romero, A. Epicuticular wax in developing olives (Olea europaea) is highly dependent upon cultivar and fruit ripeness. J. Agric. Food Chem. 2016, 30, 5985–5994. [Google Scholar] [CrossRef] [PubMed]
- Moggia, C.; Graell, J.; Lara, I.; Schmeda-Hirschmann, G.; Thomas-Valdés, S.; Lobos, G.A. Fruit characteristics and cuticle triterpenes as related to postharvest quality of highbush blueberries. Sci. Hortic. 2016, 211, 449–457. [Google Scholar] [CrossRef]
- Lippert, F.; Blanke, M.M. Effect of mechanical harvest and timing of 1-MCP application on respiration and fruit quality of European plums Prunus domestica L. Postharvest Biol. Technol. 2004, 34, 305–311. [Google Scholar] [CrossRef]
- Lin, X.; Huang, S.A.; Zhang, Q.; Zhu, S.L.; Luo, D.C.; Dong, X.Q. Changes in the Primary Metabolites of ‘Fengtang’ plums during storage detected by widely targeted metabolomics. Foods 2022, 11, 2830. [Google Scholar] [CrossRef]
- Lin, X.; Huang, S.A.; Huber, D.J.; Zhang, Q.; Wan, X.; Peng, J.S.; Luo, D.C.; Dong, X.Q.; Zhu, S.L. Melatonin treatment affects wax composition and maintains storage quality in ‘Kongxin’ Plum (Prunus salicina L. cv) during postharvest. Foods 2022, 11, 3972. [Google Scholar] [CrossRef]
- Zhang, Q.; Huang, S.A.; Lin, X.; Luo, D.C.; Peng, J.S.; Zhu, S.L.; Dong, X.Q. Analysis of primary metabolites in three plum varieties using ultra-high performance liquid chromatography-tandem mass spectrometry. Food Sci. 2022, 43, 226–234. [Google Scholar] [CrossRef]
- Wu, X.; Yin, H.; Chen, Y.Y.; Li, L.; Wang, Y.Z.; Hao, P.P.; Cao, P.; Qi, K.J.; Zhang, S.L. Chemical composition, crystal morphology and key gene expression of cuticular waxes of Asian pears at harvest and after storage. Postharvest Biol. Technol. 2017, 132, 71–80. [Google Scholar] [CrossRef]
- Jiang, B.; Liu, R.; Fang, X.; Tong, C.; Chen, H.; Gao, H. Effects of salicylic acid treatment on fruit quality and wax composition of blueberry (Vaccinium virgatum Ait). Food Chem. 2022, 368, 130757. [Google Scholar] [CrossRef]
- Ali, I.; Wang, X.K.; Tareen, M.J.; Wattoo, F.M.; Qayyum, A.; Hassan, M.U.; Shafique, M.; Liaquat, M.; Asghar, S.; Hussain, T.; et al. Foliar application of salicylic acid at different phenological stages of peach fruit cv. ‘Flordaking’ improves harvest quality and reduces chilling injury during low temperature storage. Plants 2021, 10, 1981. [Google Scholar] [CrossRef]
- Correia, S.; Queiros, F.; Ferreira, H.; Morais, M.C.; Afonso, S.; Silva, A.P.; Goncalves, B. Foliar application of calcium and growth regulators modulate sweet cherry (Prunus avium L.) tree performance. Plants 2020, 9, 410. [Google Scholar] [CrossRef]
- Wang, J.Q.; Hao, H.; Liu, R.; Ma, Q.; Xu, J.; Chen, F.; Cheng, Y.; Deng, X. Comparative Analysis of Surface Wax in Mature Fruits between Satsuma Mandarin (Citrus unshiu) and ‘Newhall’ Navel Orange (Citrus sinensis) from the Perspective of Crystal Morphology, Chemical Composition and Key Gene Expression. Food Chem. 2014, 153, 177–185. [Google Scholar] [CrossRef]
- Liu, D.C.; Yang, L.; Zheng, Q.; Wang, Y.C.; Wang, M.L.; Zhuang, X.; Wu, Q.; Liu, C.F.; Liu, S.B.; Liu, Y. Analysis of cuticular wax constituents and genes that contribute to the formation of ‘Glossy Newhall’, a spontaneous bud mutant from the wild-type ‘Newhall’ navel orange. Plant Mol. Biol. 2015, 88, 573–590. [Google Scholar] [CrossRef]
- Yang, Y.; Ren, X.; Gong, H.; Huang, H.; Zhang, A. Skin greasiness in apple is caused by accumulations of liquid waxes: Evidence from chemical and thermodynamic analyses. LWT Food Sci. Technol. 2021, 147, 111639. [Google Scholar] [CrossRef]
- Wang, J.X.; Li, Y.; Wang, X.W.; Cao, K.; Zhu, G.G.; Fang, W.C.; Chen, C.W.; Wu, J.L.; Guo, J.; Xu, Q.; et al. Betulin, synthesized by PpCYP716A1, is a key endogenous defensive metabolite of peach against aphids. J. Agric. Food Chem. 2022, 70, 12865–12877. [Google Scholar] [CrossRef]
- Ding, S.H.; Zhang, J.; Wang, R.R.; Ou, S.Y.; Shan, Y. Changes in cuticle compositions and crystal structure of ‘Bingtang’ sweet orange fruits (Citrus sinensis) during storage. Int. J. Food Prop. 2018, 21, 2411–2427. [Google Scholar] [CrossRef]
- Maguire, K.M.; Lang, A.; Banks, N.H.; Hall, A.; Hopcroft, D.; Bennett, R. Relationship between water vapour permeance of apples and micro-cracking of the cuticle. Postharvest Biol. Technol. 1999, 17, 89–96. [Google Scholar] [CrossRef]
- Veraverbeke, E.A.; Van Bruaene, N.; Van Oostveldt, P.; Nicolaï, B.M. Non-destructive analysis of the wax layer of apple (Malus domestica Borkh.) by means of confocal laser scanning microscopy. Planta 2001, 213, 525–533. [Google Scholar] [CrossRef]
- Veraverbeke, E.A.; Lammertyn, J.; Saevels, S.; Nicolaı, B.M. Changes in chemical wax composition of three different apple (Malus domestica Borkh.) cultivars during storage. Postharvest Biol. Technol. 2001, 23, 197–208. [Google Scholar] [CrossRef]
- Koch, K.; Ensikat, H. The hydrophobic coatings of plant surfaces: Epicuticular wax crystals and their morphologies, crystallinity and molecular self-assembly. Micron 2008, 39, 759–772. [Google Scholar] [CrossRef]
- Riederer, M.; Schneider, G. The effect of the environment on the permeability and composition of Citrus leaf cuticles: II. Composition of soluble cuticular lipids and correlation with transport properties. Planta 1990, 180, 154–165. [Google Scholar] [CrossRef] [PubMed]
- Dong, X.Q.; Rao, J.P.; Huber, D.J.; Chang, X.X.; Xin, F.C. Wax composition of ‘Red Fuji’ apple fruit during development and during storage after 1-methylcyclopropane treatment. Hortic. Environ. Biotechnol. 2012, 53, 288–297. [Google Scholar] [CrossRef]
- Trivedi, P.; Nguyen, N.; Klavins, L.; Kviesis, J.; Heinonen, E.; Remes, J.; Jokipii-Lukkari, S.; Klavins, M.; Karppinen, K.; Jaakola, L.; et al. Analysis of composition, morphology, and biosynthesis of cuticular wax in wild type bilberry (Vaccinium myrtillus L.) and its glossy mutant. Food Chem. 2021, 354, 129517. [Google Scholar] [CrossRef] [PubMed]
- Shepherd, T.; Griffiths, D.W. The Effect of Stress on Plant Cuticular Waxes. New Phytol. 2006, 171, 469–499. [Google Scholar] [CrossRef]
- Li, Z.B.; Huang, J.; Chen, H.J.; Yang, M.Y.; Li, D.; Xu, Y.Q.; Li, L.; Chen, J.Y.; Wu, B.; Luo, Z.S. Sulfur dioxide maintains storage quality of table grape (Vitis vinifera cv ‘Kyoho’) by altering cuticular wax composition after simulated transportation. Food Chem. 2023, 408, 135188. [Google Scholar] [CrossRef]
- Silva-Moreno, E.; Brito-Echeverría, J.; López, M.; Ríos, J.; Balic, I.; Campos-Vargas, R.; Polanco, R. Effect of cuticular waxes compounds from table grapes on growth, germination and gene expression in botrytis cinerea. World J. Microbiol. Biotechnol. 2016, 32, 74. [Google Scholar] [CrossRef]
- Belding, R.D.; Blankenship, S.M.; Young, E.; Leidy, R.B. Composition and variability of epicuticular waxes in apple cultivars. J. Am. Soc. Hortic. Sci. 1998, 123, 348–356. [Google Scholar] [CrossRef]
- Belge, B.; Llovera, M.; Comabella, E.; Gatius, F.; Guillen, P.; Graell, J.; Lara, I. Characterization of cuticle composition after cold storage of ‘Celeste’ and ‘Somerset’ sweet cherry fruit. J. Agric. Food Chem. 2014, 62, 8722–8729. [Google Scholar] [CrossRef]
- Li, Y.; Yin, Y.; Chen, S.; Bi, Y.; Ge, Y. Chemical composition of cuticular waxes during fruit development of Pingguoli pear and their potential role on early events of Alternaria alternata infection. Funct. Plant Biol. 2014, 41, 313–320. [Google Scholar] [CrossRef]
- Lv, Y.; Fu, A.; Song, X.; Wang, Y.; Chen, G.; Jiang, Y. 1-Methylcyclopropene and UV-C treatment effect on storage quality and antioxidant activity of ‘Xiaobai’ apricot fruit. Foods 2023, 12, 1296. [Google Scholar] [CrossRef]
- Zhao, Y.; Song, C.; Qi, S.; Lin, Q.; Duan, Y. Jasmonic acid and salicylic acid induce the accumulation of sucrose and increase resistance to chilling injury in peach fruit. J. Sci. Food Agric. 2021, 101, 4250–4255. [Google Scholar] [CrossRef]
- López-Castaňeda, J.; Corrales-García, J.; Terrazas-Salgado, T.; Colinas-León, T. Effect of vapor heat treatments on weight loss reduction and epicuticular changes in six varieties of cactus pear fruit. J. Prof. Assoc. Cactus Dev. 2010, 12, 37–47. [Google Scholar]
- Pollard, M.; Beisson, F.; Li, Y.; Ohlrogge, J.B. Building lipid barriers: Biosynthesis of cutin and suberin. Trends Plant 2008, 13, 236–246. [Google Scholar] [CrossRef]
- Ensikat, H.J.; Boese, M.; Mader, W.; Barthlott, W.; Koch, K. Crystallinity of plant epicuticular waxes: Electron and x-ray diffraction studies. Chem. Phys. Lipids 2006, 144, 45–59. [Google Scholar] [CrossRef]
- Bourdenx, B.; Amélie Bernard, F.D.; Stéphanie, P.; Amandine Léger, R.D.; Pervent, M.; Vile, D.; Haslam, R.P.; Napier, J.A. Overexpression of Arabidopsis ECERIFERUM1 promotes wax VLC-alkane biosynthesis and influences plant response to biotic and abiotic stresses. Plant Physiol. 2011, 156, 29–45. [Google Scholar] [CrossRef]
- Huang, H.; Burghardt, M.; Schuster, A.C.; Leide, J.; Lara, I.; Riederer, M. Chemical composition and water permeability of fruit and leaf cuticles of Olea europaea L. J. Agric. Food Chem. 2017, 65, 8790–8797. [Google Scholar] [CrossRef]
- Rios, J.C.; Robledo, F.; Schreiber, L.; Zeisler, V.; Lang, E.; Carrasco, B.; Silva, H. Association between the concentration of n-alkanes and tolerance to cracking in commercial varieties of sweet cherry fruits. Sci. Hortic. 2015, 197, 57–65. [Google Scholar] [CrossRef]
- Leide, J.; Souza, A.X.; Papp, I.; Riederer, M. Specific characteristics of the apple fruit cuticle: Investigation of early and late season cultivars ‘Prima’ and ‘Florina’ (Malus domestica Borkh.). Sci. Hortic. 2018, 229, 137–147. [Google Scholar] [CrossRef]
- Domínguez, E.; Cuartero, J.; Heredia, A. An overview on plant cuticle biomechanics. Plant Sci. 2011, 181, 77–84. [Google Scholar] [CrossRef]
- Baur, P.; Marzouk, H.; Schönherr, J. Estimation of path lengths for diffusion of organic compounds through leaf cuticles. Plant Cell Environ. 2010, 22, 291–299. [Google Scholar] [CrossRef]







| Cultivars | KXL | FTL | CHL | |||||||
|---|---|---|---|---|---|---|---|---|---|---|
| Storage Days/d | 0 | 10 | 20 | 0 | 10 | 20 | 0 | 10 | 20 | |
| Content/% | ||||||||||
| Alkanes | 34.61 | 21.64 | 24.97 | 7.24 | 7.06 | 5.53 | 3.19 | 3.36 | 2.82 | |
| Alcohols | 38.74 | 51.76 | 52.60 | 44.54 | 49.40 | 45.65 | 39.53 | 27.64 | 30.37 | |
| Fatty acids | 2.94 | 3.16 | 3.03 | 3.50 | 2.99 | 2.00 | 6.50 | 7.91 | 9.58 | |
| Ketones | 1.26 | 1.00 | 1.15 | 1.27 | 1.24 | 1.22 | 3.87 | 3.90 | 3.75 | |
| Aldehydes | 7.27 | 7.02 | 7.97 | 4.76 | 5.03 | 5.17 | 1.87 | 1.74 | 1.29 | |
| Esters | 3.41 | 2.91 | 2.03 | 2.05 | 1.41 | 1.69 | 2.44 | 2.89 | 3.96 | |
| Triterpenes | 11.62 | 11.92 | 12.07 | 19.52 | 19.14 | 24.18 | 19.46 | 23.16 | 25.70 | |
| Olefins | 0.14 | 0.13 | 0.12 | 0.54 | 0.32 | 0.21 | 0.08 | 0.08 | 0.04 | |
Disclaimer/Publisher’s Note: The statements, opinions and data contained in all publications are solely those of the individual author(s) and contributor(s) and not of MDPI and/or the editor(s). MDPI and/or the editor(s) disclaim responsibility for any injury to people or property resulting from any ideas, methods, instructions or products referred to in the content. |
© 2023 by the authors. Licensee MDPI, Basel, Switzerland. This article is an open access article distributed under the terms and conditions of the Creative Commons Attribution (CC BY) license (https://creativecommons.org/licenses/by/4.0/).
Share and Cite
Zhu, S.; Huang, S.; Lin, X.; Wan, X.; Zhang, Q.; Peng, J.; Luo, D.; Zhang, Y.; Dong, X. The Relationships between Waxes and Storage Quality Indexes of Fruits of Three Plum Cultivars. Foods 2023, 12, 1717. https://doi.org/10.3390/foods12081717
Zhu S, Huang S, Lin X, Wan X, Zhang Q, Peng J, Luo D, Zhang Y, Dong X. The Relationships between Waxes and Storage Quality Indexes of Fruits of Three Plum Cultivars. Foods. 2023; 12(8):1717. https://doi.org/10.3390/foods12081717
Chicago/Turabian StyleZhu, Shouliang, Shian Huang, Xin Lin, Xuan Wan, Qin Zhang, Junsen Peng, Dengcan Luo, Yun Zhang, and Xiaoqing Dong. 2023. "The Relationships between Waxes and Storage Quality Indexes of Fruits of Three Plum Cultivars" Foods 12, no. 8: 1717. https://doi.org/10.3390/foods12081717
APA StyleZhu, S., Huang, S., Lin, X., Wan, X., Zhang, Q., Peng, J., Luo, D., Zhang, Y., & Dong, X. (2023). The Relationships between Waxes and Storage Quality Indexes of Fruits of Three Plum Cultivars. Foods, 12(8), 1717. https://doi.org/10.3390/foods12081717

