Effects of Different Blanching Methods on the Quality of Tremella fuciformis and Its Moisture Migration Characteristics
Abstract
1. Introduction
2. Materials and Methods
2.1. Materials
2.2. Blanching Methods of T. fuciformis
2.3. Chromatism
2.4. Texture Profile Analysis
2.5. Polysaccharide Content
2.6. Moisture Migration Characteristics
2.7. Sensory Evaluation
2.8. Statistical Analysis
3. Results and Discussion
3.1. Chromatism
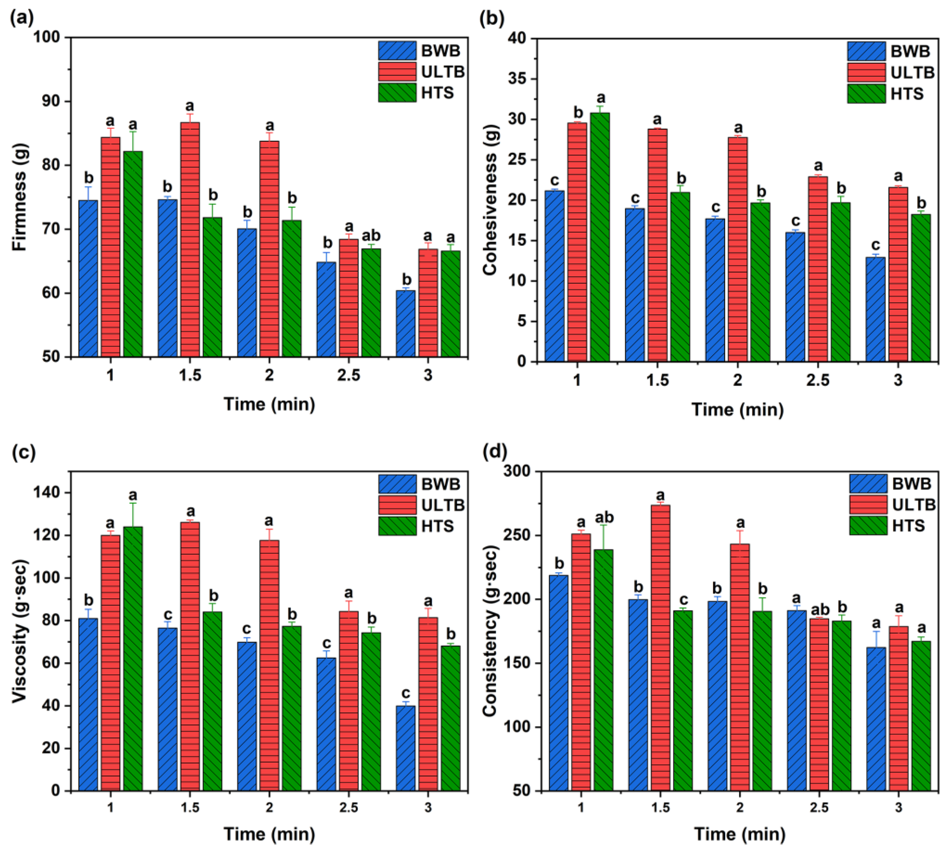
3.2. Texture Profile Analysis (TPA)
3.3. Polysaccharide Content
3.4. Moisture Migration Characteristics
3.5. Sensory Evaluation
4. Conclusions
Supplementary Materials
Author Contributions
Funding
Data Availability Statement
Conflicts of Interest
References
- Chen, B. Optimization of extraction of Tremella fuciformis polysaccharides and its antioxidant and antitumor activities in vitro. Carbohydr. Polym. 2010, 81, 420–424. [Google Scholar] [CrossRef]
- Wu, Y.; Wei, Z.; Zhang, F.; Linhardt, R.J.; Sun, P.; Zhang, A. Structure, bioactivities and applications of the polysaccharides from Tremella fuciformis mushroom: A review. Int. J. Biol. Macromol. 2019, 121, 1005–1010. [Google Scholar] [CrossRef] [PubMed]
- Du, X.; Zhang, Y.; Mu, H.; Lv, Z.; Yang, Y.; Zhang, J. Structural elucidation and antioxidant activity of a novel polysaccharide (TAPB1) from Tremella aurantialba. Food Hydrocoll. 2015, 43, 459–464. [Google Scholar] [CrossRef]
- Zuo, S.; Zhang, R.; Zhang, Y.; Liu, Y.; Wang, J. Studies on the physicochemical and processing properties of Tremella fuciformis powder. Int. J. Food Eng. 2018, 14, 20170288. [Google Scholar] [CrossRef]
- Wang, Z.; Zeng, Y.; Luo, D. Structure elucidation of a non-branched and entangled heteropolysaccharide from Tremella sanguinea Peng and its antioxidant activity. Carbohydr. Polym. 2016, 152, 33–40. [Google Scholar] [CrossRef]
- Tsai, S.Y.; Tsay, G.J.; Li, C.Y.; Hung, Y.T.; Lin, C.P. Assessment of melting kinetics of sugar-reduced silver ear mushroom ice cream under various additive models. Appl. Sci. 2020, 10, 2664. [Google Scholar] [CrossRef]
- Hu, H.; Li, Y.; Zhang, L.; Tu, H.; Wang, X.; Ren, L.; Dai, S.; Wang, L. Use of Tremella as fat substitute for the enhancement of physicochemical and sensory profiles of pork sausage. Foods 2021, 10, 2167. [Google Scholar] [CrossRef]
- Lin, Y.; Xu, Q.; Li, X.; Shao, P. Tremella fuciformis polysaccharides as a fat substitute on the rheological, texture and sensory attributes of low-fat yogurt. Curr. Res. Food Sci. 2022, 5, 1061–1070. [Google Scholar] [CrossRef]
- Terefe, N.S.; Buckow, R.; Versteeg, C. Quality-related enzymes in fruit and vegetable products: Effects of novel food processing technologies, Part 1: High-pressure processing. Crit. Rev. Food Sci. Nutr. 2014, 54, 24–63. [Google Scholar] [CrossRef]
- Wang, H.S.; Ma, Y.L.; Liu, L.; Liu, Y.; Niu, X.D. Incorporation of clove essential oil nanoemulsion in chitosan coating to control Burkholderia gladioli and improve postharvest quality of fresh Tremella fuciformis. LWT-Food Sci. Technol. 2022, 170, 114059. [Google Scholar] [CrossRef]
- Radzki, W.; Ziaja-Sołtys, M.; Nowak, J.; Topolska, J.; Bogucka-Kocka, A.; Sławińska, A.; Michalak-Majewska, M.; Jabłońska-Ryś, E.; Kuczumow, A. Impact of processing on polysaccharides obtained from button mushroom (Agaricus bisporus). Int. J. Food Sci. Technol. 2019, 54, 1405–1412. [Google Scholar] [CrossRef]
- Ziaja-Sołtys, M.; Radzki, W.; Nowak, J.; Topolska, J.; Jabłońska-Ryś, E.; Sławińska, A.; Skrzypczak, K.; Kuczumow, A.; Bogucka-Kocka, A. Processed fruiting bodies of Lentinus edodes as a source of biologically active polysaccharides. Appl. Sci. 2020, 10, 470. [Google Scholar] [CrossRef]
- Basumatary, R.; Vatankhah, H.; Dwivedi, M.; John, D.; Ramaswamy, H.S. Ultrasound-steam combination process for microbial decontamination and heat transfer enhancement. J. Food Process Eng. 2020, 43, e13367. [Google Scholar] [CrossRef]
- Deng, L.-Z.; Mujumdar, A.S.; Zhang, Q.; Yang, X.-H.; Wang, J.; Zheng, Z.-A.; Gao, Z.-J.; Xiao, H.-W. Chemical and physical pretreatments of fruits and vegetables: Effects on drying characteristics and quality attributes—A comprehensive review. Crit. Rev. Food Sci. Nutr. 2019, 59, 1408–1432. [Google Scholar] [CrossRef] [PubMed]
- Ju, H.K.; Chung, H.W.; Hong, S.S.; Park, J.H.; Lee, J.; Kwon, S.W. Effect of steam treatment on soluble phenolic content and antioxidant activity of the Chaga mushroom (Inonotus obliquus). Food Chem. 2010, 119, 619–625. [Google Scholar] [CrossRef]
- Deeth, H.C. Heat-induced inactivation of enzymes in milk and dairy products. A review. Int. Dairy J. 2021, 121, 105104. [Google Scholar] [CrossRef]
- Gao, X.; Zhang, J.; Liu, E.; Yang, M.; Chen, S.; Hu, F.; Ma, H.; Liu, Z.; Yu, X. Enhancing the taste of raw soy sauce using low intensity ultrasound treatment during moromi fermentation. Food Chem. 2019, 298, 124928. [Google Scholar] [CrossRef]
- Shen, Y.; Zhu, D.; Xi, P.; Cai, T.; Cao, X.; Liu, H.; Li, J. Effects of temperature-controlled ultrasound treatment on sensory properties, physical characteristics and antioxidant activity of cloudy apple juice. LWT-Food Sci. Technol. 2021, 142, 111030. [Google Scholar] [CrossRef]
- Sungsinchai, S.; Niamnuy, C.; Wattanapan, P.; Charoenchaitrakool, M.; Devahastin, S. Texture modification technologies and their opportunities for the production of dysphagia foods: A Review. Compr. Rev. Food Sci. Food Saf. 2019, 18, 1898–1912. [Google Scholar] [CrossRef]
- Ganjdoost, M.; Aboonajmi, M.; Mirsaeedghazi, H.; Asefpour Vakilian, K. Effects of power ultrasound treatment on the shelf life of button mushrooms: Digital image processing and microbial counting can reveal the effects. Food Sci. Nutr. 2021, 9, 3538–3548. [Google Scholar] [CrossRef]
- Zhao, Y.; Yi, J.; Bi, J.; Chen, Q.; Zhou, M.; Zhang, B. Improving of texture and rehydration properties by ultrasound pretreatment for infrared-dried shiitake mushroom slices. Dry. Technol. 2018, 37, 352–362. [Google Scholar] [CrossRef]
- Marçal, S.; Sousa, A.S.; Taofiq, O.; Antunes, F.; Morais, A.M.; Freitas, A.C.; Barros, L.; Ferreira, I.C.; Pintado, M. Impact of postharvest preservation methods on nutritional value and bioactive properties of mushrooms. Trends Food Sci. Technol. 2021, 110, 418–431. [Google Scholar] [CrossRef]
- Qiu, W.; Huang, Y.; Zhao, C.; Lin, Z.; Lin, W.; Wang, Z. Microflora of fresh white button mushrooms (Agaricus bisporus) during cold storage revealed by high-throughput sequencing and MALDI-TOF mass spectrometry fingerprinting. J. Sci. Food Agric. 2019, 99, 4498–4503. [Google Scholar] [CrossRef] [PubMed]
- Shi, X.; Yang, Y.; Li, Z.; Wang, X.; Liu, Y. Moisture transfer and microstructure change of banana slices during contact ultrasound strengthened far-infrared radiation drying. Innov. Food Sci. Emerg. Technol. 2020, 66, 102537. [Google Scholar] [CrossRef]
- Lin, Y.; Lai, D.; Wang, D.; Zhou, F.; Tan, B.K.; Zhang, Z.; Hu, J.; Lin, S. Application of curcumin-mediated antibacterial photodynamic technology for preservation of fresh Tremella fuciformis. LWT-Food Sci. Technol. 2021, 147, 111657. [Google Scholar] [CrossRef]
- Song, Y.; Hu, Q.; Wu, Y.; Pei, F.; Kimatu, B.M.; Su, A.; Yang, W. Storage time assessment and shelf-life prediction models for postharvest Agaricus bisporus. LWT-Food Sci. Technol. 2019, 101, 360–365. [Google Scholar] [CrossRef]
- Van der Plancken, I.; Verbeyst, L.; De Vleeschouwer, K.; Grauwet, T.; Heiniö, R.-L.; Husband, F.A.; Lille, M.; Mackie, A.; Van Loey, A.; Viljanen, K.; et al. (Bio)chemical reactions during high pressure/high temperature processing affect safety and quality of plant-based foods. Trends Food Sci. Technol. 2012, 23, 28–38. [Google Scholar] [CrossRef]
- Cheng, Y.; Donkor, P.O.; Ren, X.; Wu, J.; Agyemang, K.; Ayim, I.; Ma, H. Effect of ultrasound pretreatment with mono-frequency and simultaneous dual frequency on the mechanical properties and microstructure of whey protein emulsion gels. Food Hydrocoll. 2019, 89, 434–442. [Google Scholar] [CrossRef]
- Zhao, X.; Wang, Y.; Zhang, Z.; Sun, L.; Wei, Y.; Bao, X.; Xin, G. Postharvest short-time partial dehydration affects shiitake mushroom (Lentinus edodes) storage quality and umami taste. Sci. Hortic. 2021, 287, 110274. [Google Scholar] [CrossRef]
- Chang, X.; Yang, A.; Bao, X.; He, Z.; Zhou, K.; Dong, Q.; Luo, W. An innovative structured fruit (SF) product made from litchi juice, king oyster mushroom (Pleurotus eryngii) and gellan gum: Nutritional, textural, sensorial properties. LWT-Food Sci. Technol. 2021, 152, 112344. [Google Scholar] [CrossRef]
- García-Segovia, P.; Andrés-Bello, A.; Martínez-Monzó, J. Rehydration of air-dried Shiitake mushroom (Lentinus edodes) caps: Comparison of conventional and vacuum water immersion processes. LWT-Food Sci. Technol. 2011, 44, 480–488. [Google Scholar] [CrossRef]
- Jiang, R.-Z.; Wang, Y.; Luo, H.-M.; Cheng, Y.-Q.; Chen, Y.-H.; Gao, Y.; Gao, Q.-P. Effect of the Molecular Mass of Tremella Polysaccharides on Accelerated Recovery from Cyclophosphamide-Induced Leucopenia in Rats. Molecules 2012, 17, 3609–3617. [Google Scholar] [CrossRef] [PubMed]
- Yang, D.; Liu, Y.; Zhang, L. Tremella polysaccharide: The molecular mechanisms of its drug action. Prog. Mol. Biol. Transl. Sci. 2019, 163, 383–421. [Google Scholar] [CrossRef] [PubMed]
- Zhang, L.; Wang, M. Polyethylene glycol-based ultrasound-assisted extraction and ultrafiltration separation of polysaccharides from Tremella fuciformis (snow fungus). Food Bioprod. Process. 2019, 100, 464–468. [Google Scholar] [CrossRef]
- Li, M.; Ma, F.; Li, R.; Ren, G.; Yan, D.; Zhang, H.; Zhu, X.; Wu, R.; Wu, J. Degradation of Tremella fuciformis polysaccharide by a combined ultrasound and hydrogen peroxide treatment: Process parameters, structural characteristics, and antioxidant activities. Int. J. Biol. Macromol. 2020, 160, 979–990. [Google Scholar] [CrossRef]
- Ng, Z.X.; Tan, W.C. Impact of optimised cooking on the antioxidant activity in edible mushrooms. J. Food Sci. Technol. 2017, 54, 4100–4111. [Google Scholar] [CrossRef]
- Xie, Y.-K.; Li, X.-Y.; Zhang, Y.; Zheng, Z.-A.; Huang, L.-Q.; Liu, D.-H.; Xiao, H.-W.; Liu, Y.-H. Effects of high-humidity hot air impingement steaming on Gastrodia elata: Steaming degree, weight loss, texture, drying kinetics, microstructure and active components. Food Bioprod. Process. 2021, 127, 255–265. [Google Scholar] [CrossRef]
- Jiang, M.; Wu, P.; Xing, H.; Li, L.; Jia, C.; Chen, S.; Zhang, S.; Wang, L. Water migration and diffusion mechanism in the wheat drying. Dry. Technol. 2020, 39, 738–751. [Google Scholar] [CrossRef]
- Cheng, S.; Li, R.; Yang, H.; Wang, S.; Tan, M. Water status and distribution in shiitake mushroom and the effects of drying on water dynamics assessed by LF-NMR and MRI. Dry. Technol. 2019, 38, 1001–1010. [Google Scholar] [CrossRef]
- Cheng, S.; Ranran, L.; Yang, H.; Wang, S.; Lin, R.; Tan, M. Characterisation of moisture migration of shiitake mushroom (Lentinula edodes) during storage and its relationship to quality deterioration. Int. J. Food Sci. Technol. 2019, 55, 2132–2140. [Google Scholar] [CrossRef]
- Wang, H.; Liu, J.; Min, W.; Zheng, M.; Li, H. Changes of moisture distribution and migration in fresh ear corn during storage. J. Integr. Agric. 2019, 18, 2644–2651. [Google Scholar] [CrossRef]
- Yang, H.; Cheng, S.; Lin, R.; Wang, S.; Wang, H.; Wang, H.; Tan, M. Investigation on moisture migration, microstructure and quality changes of fresh-cut apple during storage. Int. J. Food Sci. Technol. 2020, 56, 293–301. [Google Scholar] [CrossRef]
- Zhu, D.; Liang, J.; Liu, H.; Cao, X.; Ge, Y.; Li, J. Sweet cherry softening accompanied with moisture migration and loss during low-temperature storage. J. Sci. Food Agric. 2018, 98, 3651–3658. [Google Scholar] [CrossRef] [PubMed]
- Subramaniam, S.; Jiao, S.; Zhang, Z.; Jing, P. Impact of post-harvest processing or thermal dehydration on physiochemical, nutritional and sensory quality of shiitake mushrooms. Compr. Rev. Food Sci. Food Saf. 2021, 20, 2560–2595. [Google Scholar] [CrossRef]
- Xu, B.; Chen, J.; Tiliwa, E.S.; Yan, W.; Azam, S.R.; Yuan, J.; Wei, B.; Zhou, C.; Ma, H. Effect of multi-mode dual-frequency ultrasound pretreatment on the vacuum freeze-drying process and quality attributes of the strawberry slices. Ultrason Sonochem 2021, 78, 105714. [Google Scholar] [CrossRef]
- Dunkwal, V.; Jood, S.; Singh, S. Physico-chemical properties and sensory evaluation of Pleurotus sajor caju powder as influenced by pre-treatments and drying methods. Br. Food J. 2007, 109, 749–759. [Google Scholar] [CrossRef]
- Zhang, Z.; Wang, L.; Zeng, X.; Han, Z.; Brennan, C.S. Non-thermal technologies and its current and future application in the food industry: A review. Int. J. Food Sci. Technol. 2019, 54, 1–13. [Google Scholar] [CrossRef]
- Hu, Y.; Wang, L.; Li, Z. Superheated steam treatment on wheat bran: Enzymes inactivation and nutritional attributes retention. LWT-Food Sci. Technol. 2018, 91, 446–452. [Google Scholar] [CrossRef]
- Liu, Y.; Guan, E.; Li, M.; Bian, K.; Wen, J.; Ren, C. Improvement of cake quality by superheated steam treatment of wheat. J. Cereal Sci. 2020, 95, 103046. [Google Scholar] [CrossRef]
- Short, E.C.; Kinchla, A.J.; Nolden, A.A. Plant-based cheeses: A systematic review of sensory evaluation studies and strategies to increase consumer acceptance. Foods 2021, 10, 725. [Google Scholar] [CrossRef]





| Chromatism | Blanching Time | Blanching Methods | ||||||||
|---|---|---|---|---|---|---|---|---|---|---|
| BWB | ULTB | HTS | ||||||||
| * | # | * | # | * | # | |||||
| L* | 0 min | 42.21 ± 0.85 | a | 42.21 ± 0.85 | ab | 42.21 ± 0.85 | a | |||
| 1 min | 40.66 ± 1.22 | a | ab | 40.57 ± 1.01 | a | c | 41.90 ± 0.59 | a | ab | |
| 1.5 min | 40.45 ± 0.52 | b | b | 41.53 ± 0.28 | a | abc | 40.91 ± 0.38 | ab | bc | |
| 2 min | 39.90 ± 0.72 | b | b | 42.56 ± 0.29 | a | a | 40.36 ± 0.50 | b | c | |
| 2.5 min | 39.84 ± 0.90 | b | b | 41.11 ± 0.37 | a | bc | 40.23 ± 0.33 | ab | c | |
| 3 min | 39.61 ± 0.37 | b | b | 40.62 ± 0.25 | a | c | 40.18 ± 0.30 | ab | c | |
| a* | 0 min | −0.98 ± 0.41 | a | −0.98 ± 0.41 | b | −0.98 ± 0.41 | c | |||
| 1 min | −1.00 ± 0.07 | b | a | −0.82 ± 0.02 | a | a | −0.86 ± 0.03 | a | a | |
| 1.5 min | −0.97 ± 0.04 | b | a | −0.84 ± 0.04 | a | a | −0.88 ± 0.02 | a | ab | |
| 2 min | −0.95 ± 0.05 | a | a | −0.99 ± 0.03 | a | b | −0.94 ± 0.06 | a | abc | |
| 2.5 min | −0.95 ± 0.04 | a | a | −1.00 ± 0.04 | a | b | −0.97 ± 0.05 | a | bc | |
| 3 min | −0.94 ± 0.01 | a | a | −1.02 ± 0.01 | b | b | −0.98 ± 0.06 | ab | c | |
| b* | 0 min | −0.39 ± 0.26 | a | −0.39 ± 0.26 | a | −0.39 ± 0.26 | a | |||
| 1 min | −1.10 ± 0.08 | b | bc | −0.62 ± 0.09 | a | b | −0.92 ± 0.08 | b | b | |
| 1.5 min | −1.35 ± 0.11 | b | d | −1.25 ± 0.02 | b | c | −1.03 ± 0.09 | a | b | |
| 2 min | −1.28 ± 0.14 | b | cd | −1.50 ± 0.08 | c | d | −1.04 ± 0.09 | a | b | |
| 2.5 min | −1.23 ± 0.10 | b | bcd | −1.59 ± 0.10 | c | d | −1.02 ± 0.07 | a | b | |
| 3 min | −1.08 ± 0.08 | a | b | −1.50 ± 0.04 | b | d | −1.06 ± 0.09 | a | b | |
| Parameter | Blanching Time | Blanching Methods | ||||||||
|---|---|---|---|---|---|---|---|---|---|---|
| BWB | ULTB | HTS | ||||||||
| * | # | * | # | * | # | |||||
| Color | 1 min | 15.80 ± 0.42 | a | a | 15.40 ± 0.70 | ab | bc | 14.90 ± 0.57 | b | a |
| 1.5 min | 15.60 ± 0.70 | a | a | 16.10 ± 0.74 | a | ab | 14.70 ± 0.82 | b | a | |
| 2 min | 15.50 ± 0.71 | b | a | 16.70 ± 0.82 | a | a | 15.00 ± 0.47 | b | a | |
| 2.5 min | 15.30 ± 0.48 | b | a | 16.20 ± 0.63 | a | a | 15.20 ± 0.79 | b | a | |
| 3 min | 15.30 ± 0.67 | a | a | 15.20 ± 0.42 | a | c | 14.80 ± 0.79 | a | a | |
| Texture | 1 min | 15.60 ± 0.84 | b | a | 16.60 ± 0.84 | a | c | 16.60 ± 0.97 | a | a |
| 1.5 min | 16.10 ± 0.74 | b | a | 17.50 ± 0.71 | a | ab | 15.50 ± 1.18 | b | b | |
| 2 min | 14.20 ± 0.79 | c | b | 17.80 ± 0.79 | a | a | 15.40 ± 0.70 | b | b | |
| 2.5 min | 13.70 ± 0.67 | b | b | 16.70 ± 0.67 | a | bc | 14.20 ± 0.79 | b | c | |
| 3 min | 13.60 ± 0.84 | b | b | 15.90 ± 0.74 | a | c | 13.20 ± 0.63 | b | d | |
| Aroma | 1 min | 16.20 ± 0.63 | a | a | 16.00 ± 0.82 | a | b | 16.70 ± 0.48 | a | a |
| 1.5 min | 16.00 ± 0.47 | b | a | 16.90 ± 1.00 | a | b | 17.20 ± 0.63 | a | a | |
| 2 min | 15.00 ± 0.94 | c | b | 17.90 ± 0.74 | a | a | 17.00 ± 0.67 | b | a | |
| 2.5 min | 15.00 ± 0.67 | b | b | 16.90 ± 0.88 | a | b | 16.90 ± 0.57 | a | a | |
| 3 min | 14.30 ± 0.67 | b | b | 16.50 ± 0.53 | a | b | 16.80 ± 0.42 | a | a | |
| Appearance | 1 min | 16.10 ± 0.99 | b | a | 16.20 ± 1.03 | b | b | 17.30 ± 0.48 | a | a |
| 1.5 min | 16.00 ± 1.05 | a | a | 16.30 ± 0.67 | a | b | 16.20 ± 0.79 | a | a | |
| 2 min | 14.10 ± 0.74 | c | b | 17.50 ± 0.97 | a | a | 16.20 ± 0.92 | b | a | |
| 2.5 min | 14.30 ± 0.67 | b | b | 16.10 ± 0.57 | a | b | 15.90 ± 0.88 | a | a | |
| 3 min | 13.50 ± 0.71 | b | b | 16.00 ± 0.67 | a | b | 15.90 ± 0.74 | a | a | |
| Flavor | 1 min | 16.10 ± 0.88 | a | a | 16.50 ± 0.97 | a | ab | 16.70 ± 0.67 | a | a |
| 1.5 min | 15.80 ± 0.79 | a | a | 16.30 ± 0.83 | a | bc | 16.50 ± 0.71 | a | a | |
| 2 min | 13.80 ± 1.03 | c | b | 17.10 ± 0.57 | a | a | 15.40 ± 0.84 | b | b | |
| 2.5 min | 13.40 ± 0.84 | b | b | 16.00 ± 0.47 | a | bc | 14.10 ± 0.74 | b | c | |
| 3 min | 13.00 ± 0.47 | b | b | 15.70 ± 0.48 | a | c | 13.40 ± 0.84 | b | c | |
Disclaimer/Publisher’s Note: The statements, opinions and data contained in all publications are solely those of the individual author(s) and contributor(s) and not of MDPI and/or the editor(s). MDPI and/or the editor(s) disclaim responsibility for any injury to people or property resulting from any ideas, methods, instructions or products referred to in the content. |
© 2023 by the authors. Licensee MDPI, Basel, Switzerland. This article is an open access article distributed under the terms and conditions of the Creative Commons Attribution (CC BY) license (https://creativecommons.org/licenses/by/4.0/).
Share and Cite
Zheng, Z.; Wu, L.; Li, Y.; Deng, W.; Chen, S.; Song, H. Effects of Different Blanching Methods on the Quality of Tremella fuciformis and Its Moisture Migration Characteristics. Foods 2023, 12, 1669. https://doi.org/10.3390/foods12081669
Zheng Z, Wu L, Li Y, Deng W, Chen S, Song H. Effects of Different Blanching Methods on the Quality of Tremella fuciformis and Its Moisture Migration Characteristics. Foods. 2023; 12(8):1669. https://doi.org/10.3390/foods12081669
Chicago/Turabian StyleZheng, Zhipeng, Li Wu, Yibin Li, Wei Deng, Shouhui Chen, and Hongbo Song. 2023. "Effects of Different Blanching Methods on the Quality of Tremella fuciformis and Its Moisture Migration Characteristics" Foods 12, no. 8: 1669. https://doi.org/10.3390/foods12081669
APA StyleZheng, Z., Wu, L., Li, Y., Deng, W., Chen, S., & Song, H. (2023). Effects of Different Blanching Methods on the Quality of Tremella fuciformis and Its Moisture Migration Characteristics. Foods, 12(8), 1669. https://doi.org/10.3390/foods12081669

