Reducing the Flocculation of Milk Tea Using Different Stabilizers to Regulate Tea Proteins
Abstract
1. Introduction
2. Materials and Methods
2.1. Reagents and Materials
2.2. Study of Different Stabilizers
2.2.1. Sample Preparation
2.2.2. Emulsion Stability Coefficient (R) Value
2.2.3. Centrifugal Precipitation Rate (S%)
2.2.4. Response Surface Analysis (RSM)
2.3. Characterization of Milk Tea under the Influence of Different Stabilizers
2.3.1. Fourier Infrared Spectroscopy (FT-IR) Determination
2.3.2. X-ray Diffraction (XRD) Determination
2.3.3. Scanning Electron Microscopy (SEM) Detection
3. Results and Discussion
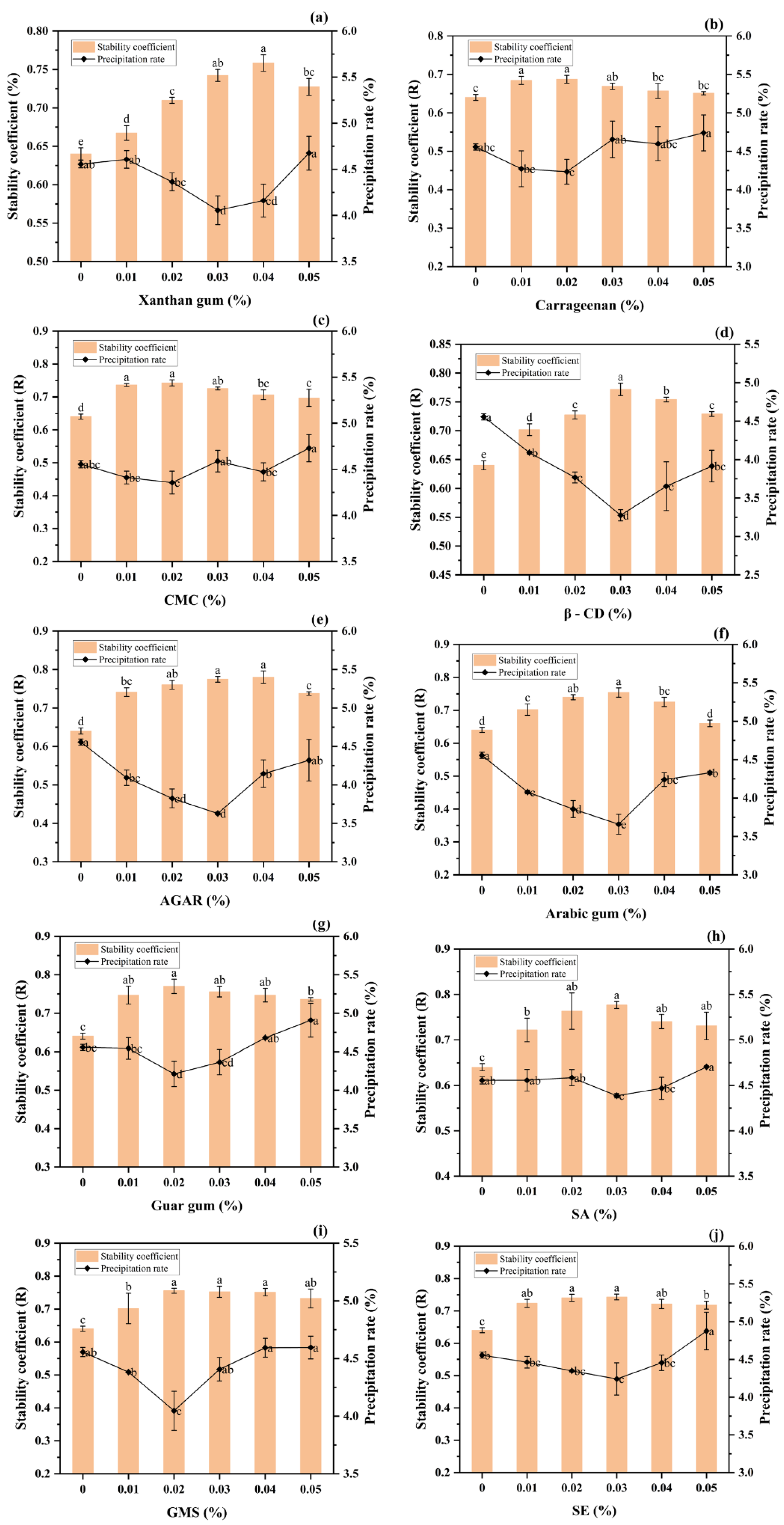
3.1. Effects of Different Stabilizers on the Stability of Milk Tea
3.2. Comparison of the Optimal Concentrations of Single-Factor Stabilizer
3.3. RSM Analysis
3.3.1. Results of RSM and Simulated Variance Analysis
3.3.2. Box–Behnken Response Surface Analyses
3.3.3. Verification Test
3.4. Analysis of Characterization
3.4.1. Fourier Infrared Spectroscopy (FT-IR) Analysis
3.4.2. X-ray Diffraction (XRD) Analysis
3.4.3. SEM Analysis of Microstructure
4. Conclusions
Supplementary Materials
Author Contributions
Funding
Data Availability Statement
Conflicts of Interest
References
- Zhu, M.Z.; Wen, B.; Wu, H.; Li, J.; Lin, H.; Li, Q.; Li, Y.; Huang, J.; Liu, Z. The Quality Control of Tea by Near-Infrared Reflectance (NIR) Spectroscopy and Chemometrics. J. Spectrosc. 2019, 2019, 8129648. [Google Scholar] [CrossRef]
- Sert, D.; Mercan, E.; Kilinc, M. Powder Flow Behaviour, Functional Characteristics and Microstructure of Whole Milk Powder Produced from Cow and Buffalo Milk Mixtures. Int. Dairy J. 2022, 135, 105474. [Google Scholar] [CrossRef]
- Czubinski, J.; Dwiecki, K. A Review of Methods Used for Investigation of Protein-Phenolic Compound Interactions. Int. J. Food Sci. Technol. 2017, 52, 573–585. [Google Scholar] [CrossRef]
- Jongberg, S.; Andersen, M.L.; Lund, M.N. Characterisation of Protein-Polyphenol Interactions in Beer during Forced Aging. J. Inst. Brew. 2020, 126, 371–381. [Google Scholar] [CrossRef]
- Tosif, M.M.; Najda, A.; Bains, A.; Krishna, T.C.; Chawla, P.; Dyduch-Sieminska, M.; Klepacka, J.; Kaushik, R. A Comprehensive Review on the Interaction of Milk Protein Concentrates with Plant-Based Polyphenolics. Int. J. Mol. Sci. 2021, 22, 13548. [Google Scholar] [CrossRef]
- Ozdal, T.; Capanoglu, E.; Altay, F. A Review on Protein-Phenolic Interactions and Associated Changes. Food Res. Int. 2013, 51, 954–970. [Google Scholar] [CrossRef]
- Sommer, S.; Weber, F.; Harbertson, J.F. Polyphenol-Protein-Polysaccharide Interactions in the Presence of Carboxymethyl Cellulose (CMC) in Wine-Like Model Systems. J. Agric. Food Chem. 2019, 67, 7428–7434. [Google Scholar] [CrossRef]
- Song, Y.; Yoo, S.H. Quality Improvement of a Rice-Substituted Fried Noodle by Utilizing the Protein-Polyphenol Interaction between a Pea Protein Isolate and Green Tea (Camellia sinensis) Extract. Food Chem. 2017, 235, 181–187. [Google Scholar] [CrossRef]
- Jauregi, P.; Guo, Y.C.; Adeloye, J.B. Whey Proteins-Polyphenols Interactions Can Be Exploited to Reduce Astringency or Increase Solubility and Stability of Bioactives in Foods. Food Res. Int. 2021, 141, 110019. [Google Scholar] [CrossRef]
- Thongkaew, C.; Gibis, M.; Hinrichs, J.; Weiss, J. Polyphenol Interactions with Whey Protein Isolate and Whey Protein Isolate-Pectin Coacervates. Food Hydrocoll. 2014, 41, 103–112. [Google Scholar] [CrossRef]
- Xiao, N.H.; He, W.; Zhao, Y.; Yao, Y.; Xu, M.S.; Du, H.Y.; Wu, N.; Tu, Y.G. Effect of PH and Xanthan Gum on Emulsifying Property of Ovalbumin Stabilized Oil-in Water Emulsions. LWT-Food Sci. Technol. 2021, 147, 111621. [Google Scholar] [CrossRef]
- Zheng, Y.X.; Sun, W.X.; Yang, W.H.; Chen, S.G.; Liu, D.H.; Tian, J.H.; Ye, X.Q. The Influence of Xanthan Gum on Rheological Properties and In Vitro Digestibility of Kudzu (Pueraria lobata) Starch. Starch-Starke 2020, 72, 1900139. [Google Scholar] [CrossRef]
- Brenner, T.; Tuvikene, R.; Fang, Y.P.; Matsukawa, S.; Nishinari, K. Rheology of Highly Elastic Iota-Carrageenan/Kappa-Carrageenan/Xanthan/Konjac Glucomannan Gels. Food Hydrocoll. 2015, 44, 136–144. [Google Scholar] [CrossRef]
- Sadaquat, H.; Akhtar, M. Comparative Effects of β-Cyclodextrin, HP-β-Cyclodextrin and SBE7-β-Cyclodextrin on the Solubility and Dissolution of Docetaxel via Inclusion Complexation. J. Incl. Phenom. Macrocycl. Chem. 2020, 96, 333–351. [Google Scholar] [CrossRef]
- Fekete, E.; Bella, E.; Csiszar, E.; Moczo, J. Improving Physical Properties and Retrogradation of Thermoplastic Starch by Incorporating Agar. Int. J. Biol. Macromol. 2019, 136, 1026–1033. [Google Scholar] [CrossRef] [PubMed]
- Goncharuk, V.V.; Dubrovina, L.V. Rheological Properties and Water-Retaining Power of Agar Hydrogels with Carboxymethyl Cellulose. Russ. J. Appl. Chem. 2020, 93, 1019–1026. [Google Scholar] [CrossRef]
- Ishii, T.; Matsumiya, K.; Aoshima, M.; Matsumura, Y. Microgelation Imparts Emulsifying Ability to Surface-Inactive Polysaccharides-Bottom-up vs Top-down Approaches. NPJ Sci. Food 2018, 2, 1–12. [Google Scholar] [CrossRef]
- Hussain, M.; Bakalis, S.; Gouseti, O.; Zahoor, T.; Anjum, F.M.; Shahid, M. Dynamic and Shear Stress Rheological Properties of Guar Galactomannans and Its Hydrolyzed Derivatives. Int. J. Biol. Macromol. 2015, 72, 687–691. [Google Scholar] [CrossRef]
- Gao, F.; Liu, X.M.; Chen, W.X.; Guo, W.; Chen, L.M.; Li, D.M. Hydroxyl Radical Pretreatment for Low-Viscosity Sodium Alginate Production from Brown Seaweed. Algal Res. 2018, 34, 191–197. [Google Scholar] [CrossRef]
- Seo, S.Y.; Lee, G.H.; Lee, S.G.; Jung, S.Y.; Lim, J.O.; Choi, J.H. Alginate-Based Composite Sponge Containing Silver Nanoparticles Synthesized in Situ. Carbohydr. Polym. 2012, 90, 109–115. [Google Scholar] [CrossRef]
- Watanabe, T.; Kawai, T.; Nonomura, Y. Effects of Fatty Acid Addition to Oil-in-Water Emulsions Stabilized with Sucrose Fatty Acid Ester. J. Oleo Sci. 2018, 67, 307–313. [Google Scholar] [CrossRef] [PubMed]
- Zhao, X.; Huang, B.Y.; El-Aooiti, M.; Rousseau, D. Demulsification to Control Solute Release from Pickering Crystal Stabilized Water-in-Oil Emulsions. J. Colloid Interface Sci. 2018, 509, 360–368. [Google Scholar] [CrossRef] [PubMed]
- Wijarnprecha, K.; de Vries, A.; Santiwattana, P.; Sonwai, S.; Rousseau, D. Microstructure and Rheology of Oleogel-Stabilized Water-in-Oil Emulsions Containing Crystal-Stabilized Droplets as Active Fillers. LWT-Food Sci. Technol. 2019, 115, 108058. [Google Scholar] [CrossRef]
- Zhang, W.H.; Yang, Y.Y.; Lv, T.; Fan, Z.Y.; Xu, Y.Q.; Yin, J.F.; Liao, B.W.; Ying, H.; Ravichandran, N.; Du, Q.Z. Sucrose Esters Improve the Colloidal Stability of Nanoethosomal Suspensions of (-)-Epigallocatechin Gallate for Enhancing the Effectiveness against UVB-Induced Skin Damage. J. Biomed. Mater. Res. Part B 2017, 105, 2416–2425. [Google Scholar] [CrossRef]
- Korir, M.W.; Wachira, F.N.; Wanyoko, J.K.; Ngure, R.M.; Khalid, R. The Fortification of Tea with Sweeteners and Milk and Its Effect on in Vitro Antioxidant Potential of Tea Product and Glutathione Levels in an Animal Model. Food Chem. 2014, 145, 145–153. [Google Scholar] [CrossRef] [PubMed]
- Ilyasoglu, H.; Arpa, T.E. Effect of Brewing Conditions on Antioxidant Properties of Rosehip Tea Beverage: Study by Response Surface Methodology. J. Food Sci. Technol.-Mysore 2017, 54, 3737–3743. [Google Scholar] [CrossRef]
- Wagoner, T.B.; Ward, L.; Foegeding, E.A. Using State Diagrams for Predicting Colloidal Stability of Whey Protein Beverages. J. Agric. Food Chem. 2015, 63, 4335–4344. [Google Scholar] [CrossRef]
- Li, Y.Q.; Fan, L.P. Comparative Studies on the Stabilization of Flos Sophorae Immaturus Beverages by Various Hydrocolloids. LWT-Food Sci. Technol. 2020, 123, 109117. [Google Scholar] [CrossRef]
- Ahmadi, S.F.; Nasirpour, A.; Goli, S.A.H.; Riahi, E. Effect of Heat Treatment and Solution Preparation Procedure on Colloidal Stability of Whey Protein Sour Cherry Beverage. Int. J. Dairy Technol. 2018, 71, 781–790. [Google Scholar] [CrossRef]
- Omranian, S.R.; Hamzah, M.O.; Yee, T.S.; Hasan, M.R.M. Effects of Short-Term Ageing Scenarios on Asphalt Mixtures’ Fracture Properties Using Imaging Technique and Response Surface Method. Int. J. Pavement Eng. 2020, 21, 1374–1392. [Google Scholar] [CrossRef]
- Dima, S.O.; Panaitescu, D.M.; Orban, C.; Ghiurea, M.; Doncea, S.M.; Fierascu, R.C.; Nistor, C.L.; Alexandrescu, E.; Nicolae, C.A.; Trica, B.; et al. Bacterial Nanocellulose from Side-Streams of Kombucha Beverages Production: Preparation and Physical-Chemical Properties. Polymers 2017, 9, 374. [Google Scholar] [CrossRef] [PubMed]
- Medina-Jaramillo, C.; Bernal, C.; Fama, L. Influence of Green Tea and Basil Extracts on Cassava Starch Based Films as Assessed by Thermal Degradation, Crystalline Structure, and Mechanical Properties. Starch-Starke 2020, 72, 1900155. [Google Scholar] [CrossRef]
- Mitic, A.D.; Gasic, J.Z.; Barac, R.G.; Radenkovic, G.S.; Sunaric, S.M.; Popovic, J.Z.; Nikolic, M.M. Ultrastructural Changes in the Cemento-Enamel Junction Caused by Acidic Beverages: An in Vitro Study. Microsc. Res. Tech. 2020, 83, 91–98. [Google Scholar] [CrossRef] [PubMed]
- Rocha, C.M.R.; Souza, H.K.S.; Magalhaes, N.F.; Andrade, C.T.; Goncalves, M.P. Rheological and Structural Characterization of Agar/Whey Proteins Insoluble Complexes. Carbohydr. Polym. 2014, 110, 345–353. [Google Scholar] [CrossRef]
- Hu, B.; Han, L.Y.; Kong, H.L.; Nishinari, K.; Phillips, G.O.; Yang, J.X.; Fang, Y.P. Preparation and Emulsifying Properties of Trace Elements Fortified Gum Arabic. Food Hydrocoll. 2019, 88, 43–49. [Google Scholar] [CrossRef]
- Zhang, R.B.; Liu, T.; Zhang, Y.M.; Cai, Z.L.; Yuan, Y.Z. Preparation of Spent Fluid Catalytic Cracking Catalyst-Metakaolin Based Geopolymer and Its Process Optimization through Response Surface Method. Constr. Build. Mater. 2020, 264, 120727. [Google Scholar] [CrossRef]
- Liu, K.; Li, Q.M.; Zha, X.Q.; Pan, L.H.; Bao, L.J.; Zhang, H.L.; Luo, J.P. Effects of Calcium or Sodium Ions on the Properties of Whey Protein Isolate-Lotus Root Amylopectin Composite Gel. Food Hydrocoll. 2019, 87, 629–636. [Google Scholar] [CrossRef]
- Liu, Y.R.; Li, B.F.; Zhang, K.; Li, J.W.; Hou, H. Novel Hard Capsule Prepared by Tilapia (Oreochromis niloticus) Scale Gelatin and Konjac Glucomannan: Characterization, and in Vitro Dissolution. Carbohydr. Polym. 2019, 206, 254–261. [Google Scholar] [CrossRef]
- Soares, S.; Mateus, N.; de Freitas, V. Carbohydrates Inhibit Salivary Proteins Precipitation by Condensed Tannins. J. Agric. Food Chem. 2012, 60, 3966–3972. [Google Scholar] [CrossRef]






Disclaimer/Publisher’s Note: The statements, opinions and data contained in all publications are solely those of the individual author(s) and contributor(s) and not of MDPI and/or the editor(s). MDPI and/or the editor(s) disclaim responsibility for any injury to people or property resulting from any ideas, methods, instructions or products referred to in the content. |
© 2023 by the authors. Licensee MDPI, Basel, Switzerland. This article is an open access article distributed under the terms and conditions of the Creative Commons Attribution (CC BY) license (https://creativecommons.org/licenses/by/4.0/).
Share and Cite
Song, Y.; Wang, X.; Luo, H.; Wang, M.; Chen, J. Reducing the Flocculation of Milk Tea Using Different Stabilizers to Regulate Tea Proteins. Foods 2023, 12, 1484. https://doi.org/10.3390/foods12071484
Song Y, Wang X, Luo H, Wang M, Chen J. Reducing the Flocculation of Milk Tea Using Different Stabilizers to Regulate Tea Proteins. Foods. 2023; 12(7):1484. https://doi.org/10.3390/foods12071484
Chicago/Turabian StyleSong, Yuqi, Xiaosen Wang, Haixi Luo, Mingyan Wang, and Jian Chen. 2023. "Reducing the Flocculation of Milk Tea Using Different Stabilizers to Regulate Tea Proteins" Foods 12, no. 7: 1484. https://doi.org/10.3390/foods12071484
APA StyleSong, Y., Wang, X., Luo, H., Wang, M., & Chen, J. (2023). Reducing the Flocculation of Milk Tea Using Different Stabilizers to Regulate Tea Proteins. Foods, 12(7), 1484. https://doi.org/10.3390/foods12071484
