High Internal Phase Emulsions Stabilized by Pea Protein Isolate Modified by Ultrasound Combined with pH-Shifting: Micromorphology, Rheology, and Physical Stability
Abstract
:1. Introduction
2. Materials and Methods
2.1. Materials
2.2. PPI Modified by High-Intensity Ultrasound and pH-Shifting (MPPI)
2.3. Preparation of HIPEs
2.4. Micromorphology
2.4.1. Super-Resolution Microscopy (SRM)
2.4.2. Cryogenic Scanning Electron Microscopy (Cryo-SEM)
2.4.3. Optical Microscope
2.5. Droplet Size Analysis
2.6. Rheological Behavior Analysis
2.6.1. Macrorheological Behavior
2.6.2. Micro-Rheological Behavior
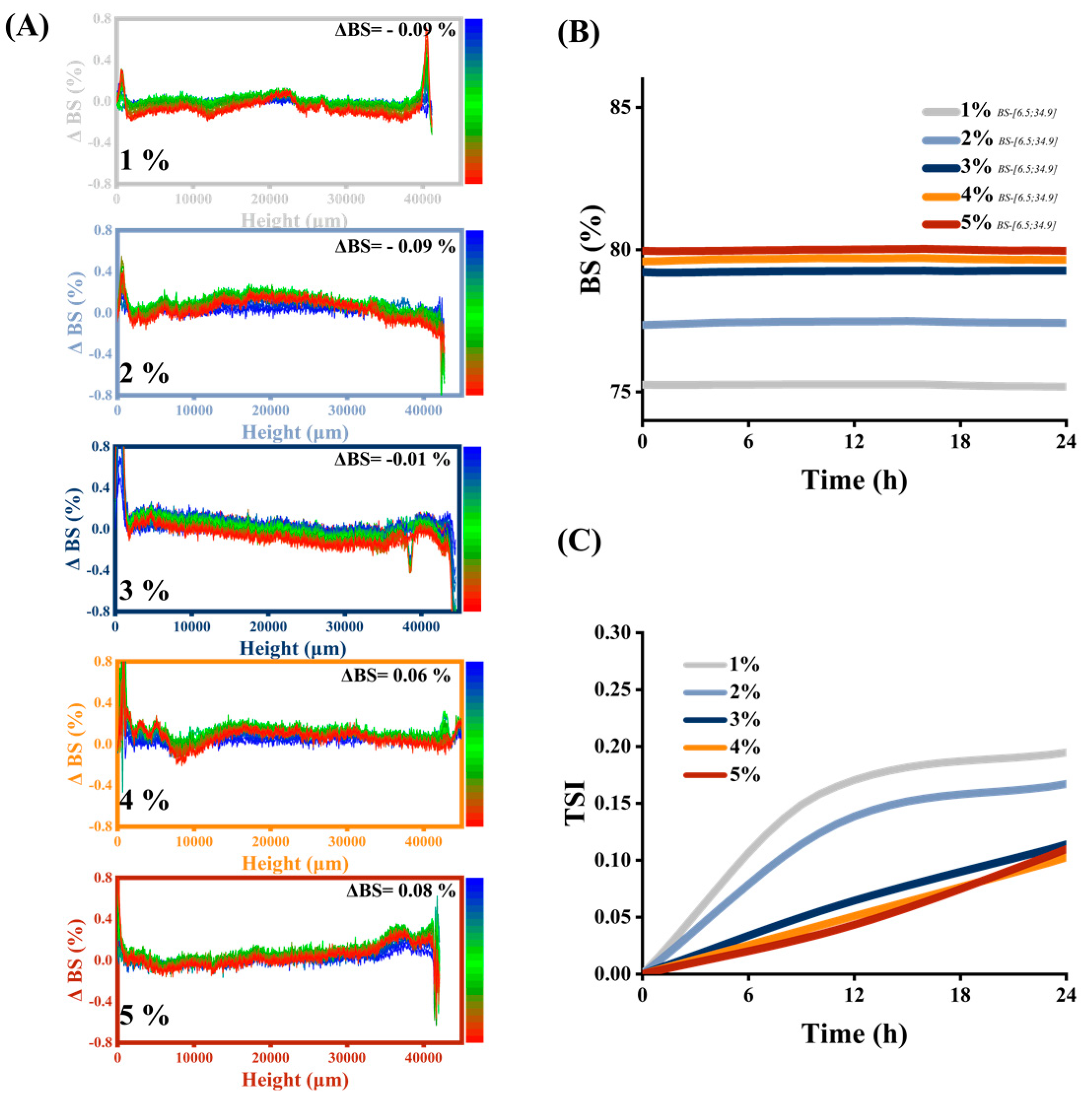
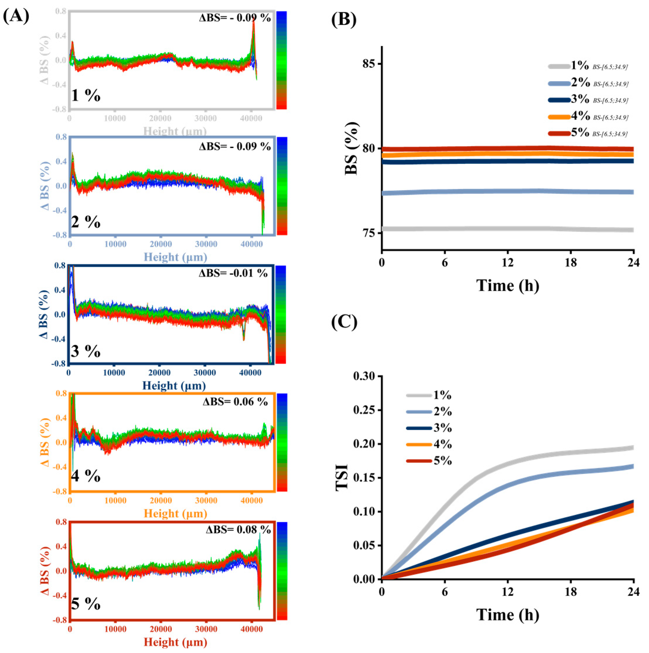
2.7. Back-Scattering Light (BS) and TURBISCAN Stability Index (TSI)
2.8. Application of HIPEs in 3D Printing
2.9. Processing and Environmental Stress
2.9.1. Centrifugation Stability
2.9.2. Storage Stability
2.9.3. Thermal Stability
2.9.4. Freeze–Thaw Stability
2.10. Statistical Analyses
3. Results and Discussion
3.1. Appearance and Micromorphology of HIPEs
3.2. Rheological Behavior Analysis
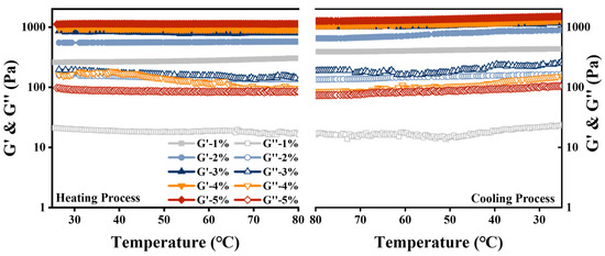
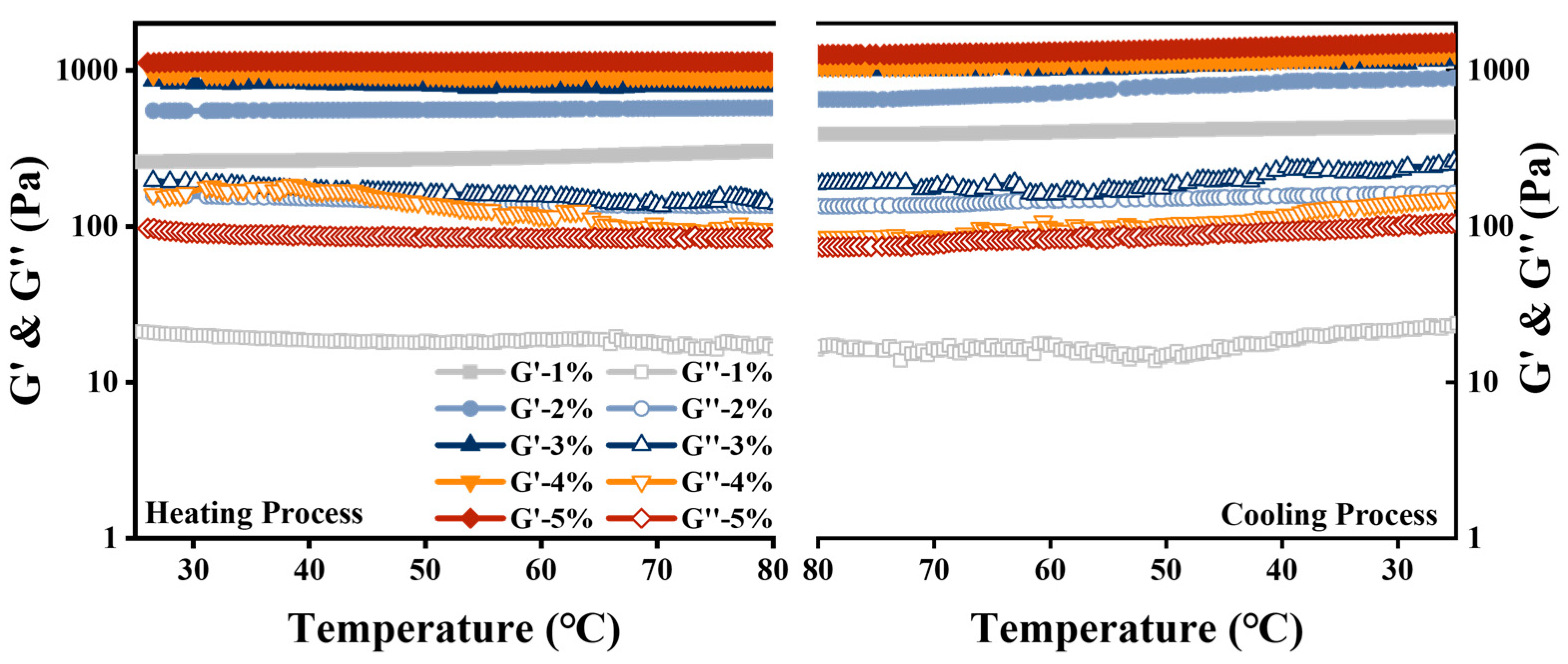
3.2.1. Macrorheological Behavior
3.2.2. Microrheological Behavior
3.3. Physical Stability Evaluation
3.4. Application of HIPEs in 3D Printing
3.5. Processing and Environmental Stress
3.5.1. Centrifugation Stability
3.5.2. Storage Stability
3.5.3. Thermal Stability
3.5.4. Freeze–Thaw Stability
4. Conclusions
Author Contributions
Funding
Institutional Review Board Statement
Informed Consent Statement
Data Availability Statement
Conflicts of Interest
References
- Gao, H.X.; Ma, L.; Cheng, C.; Liu, J.P.; Liang, R.H.; Zou, L.Q.; Liu, W.; McClements, D.J. Review of recent advances in the preparation, properties, and applications of high internal phase emulsions. Trends Food Sci. Technol. 2021, 112, 36–49. [Google Scholar] [CrossRef]
- Abdullah; Weiss, J.; Ahmad, T.; Zhang, C.; Zhang, H. A review of recent progress on high internal-phase Pickering emulsions in food science. Trends Food Sci. Technol. 2020, 106, 91–103. [Google Scholar] [CrossRef]
- Hadidi, M.; Boostani, S.; Jafari, S.M. Pea proteins as emerging biopolymers for the emulsification and encapsulation of food bioactives. Food Hydrocoll. 2022, 126, 107474. [Google Scholar] [CrossRef]
- Zhang, J.N.; Liu, Q.; Chen, Q.; Sun, F.D.; Liu, H.T.; Kong, B.H. Synergistic modification of pea protein structure using high-intensity ultrasound and pH-shifting technology to improve solubility and emulsification. Ultrason. Sonochem. 2022, 88, 106099. [Google Scholar] [CrossRef]
- Sun, C.; Fu, J.J.; Tan, Z.F.; Zhang, G.Y.; Xu, X.B.; Song, L. Improved thermal and oxidation stabilities of pickering high internal phase emulsions stabilized using glycated pea protein isolate with glycation extent. LWT-Food Sci. Technol. 2022, 162, 113465. [Google Scholar] [CrossRef]
- Li, X.L.; Liu, W.J.; Xu, B.C.; Zhang, B. Simple method for fabrication of high internal phase emulsions solely using novel pea protein isolate nanoparticles: Stability of ionic strength and temperature. Food Chem. 2022, 370, 130899. [Google Scholar] [CrossRef]
- Zhang, S.N.; Holmes, M.; Ettelaie, R.; Sarkar, A. Pea protein microgel particles as Pickering stabilisers of oil-in-water emulsions: Responsiveness to pH and ionic strength. Food Hydrocoll. 2020, 102, 105583. [Google Scholar] [CrossRef]
- Shen, Q.; Xiong, T.; Dai, J.; Chen, X.; Wang, L.; Li, Y.; Li, J.; Li, B.; Chen, Y.J. Effects of pH-shifting treatments on oil-water interfacial properties of pea protein isolates: Identification and quantification of proteins at interfacial protein layer. Food Hydrocoll. 2022, 133, 107937. [Google Scholar] [CrossRef]
- Jiang, J.; Xiong, Y.L. Extreme pH treatments enhance the structure-reinforcement role of soy protein isolate and its emulsions in pork myofibrillar protein gels in the presence of microbial transglutaminase. Meat Sci. 2013, 93, 469–476. [Google Scholar] [CrossRef]
- Li, M.; Yang, R.; Feng, X.C.; Fan, X.J.; Liu, Y.P.; Xu, X.L.; Zhou, G.H.; Zhu, B.W.; Ullah, N.; Chen, L. Effects of low-frequency and high-intensity ultrasonic treatment combined with curdlan gels on the thermal gelling properties and structural properties of soy protein isolate. Food Hydrocoll. 2022, 127, 107506. [Google Scholar] [CrossRef]
- Liu, H.T.; Zhang, H.; Liu, Q.; Chen, Q.; Kong, B.H. Solubilization and stable dispersion of myofibrillar proteins in water through the destruction and inhibition of the assembly of filaments using high-intensity ultrasound. Ultrason. Sonochem. 2020, 67, 105160. [Google Scholar] [CrossRef]
- Xie, Y.X.; Wang, J.Q.; Wang, Y.; Wu, D.; Liang, D.W.; Ye, H.L.; Cai, Z.X.; Ma, M.H.; Geng, F. Effects of high-intensity ultrasonic (HIU) treatment on the functional properties and assemblage structure of egg yolk. Ultrason. Sonochem. 2020, 60, 104767. [Google Scholar] [CrossRef]
- Li, X.Q.; Fan, L.P.; Li, J.W. Extrusion-based 3D printing of high internal phase emulsions stabilized by co-assembled β-cyclodextrin and chitosan. Food Hydrocoll. 2023, 134, 108036. [Google Scholar] [CrossRef]
- Liu, H.T.; Zhang, J.N.; Wang, H.; Chen, Q.; Kong, B.H. High-intensity ultrasound improves the physical stability of myofibrillar protein emulsion at low ionic strength by destroying and suppressing myosin molecular assembly. Ultrason. Sonochem. 2021, 74, 105554. [Google Scholar] [CrossRef]
- Yang, Y.; Jiao, Q.Y.; Wang, L.J.; Zhang, Y.; Jiang, B.; Li, D.M.; Feng, Z.B.; Liu, C.H. Preparation and evaluation of a novel high internal phase Pickering emulsion based on whey protein isolate nanofibrils derived by hydrothermal method. Food Hydrocoll. 2022, 123, 107180. [Google Scholar] [CrossRef]
- Zhao, Q.L.; Hong, X.; Fan, L.P.; Liu, Y.F.; Li, J.W. Freeze-thaw stability and rheological properties of high internal phase emulsions stabilized by phosphorylated perilla protein isolate: Effect of tea aponin concentration. Food Hydrocoll. 2023, 134, 108001. [Google Scholar] [CrossRef]
- Zhou, L.; Zhang, W.G.; Wang, J.Y.; Zhang, R.Y.; Zhang, J. Comparison of oil-in-water emulsions prepared by ultrasound, high-pressure homogenization and high-speed homogenization. Ultrason. Sonochem. 2022, 82, 105885. [Google Scholar] [CrossRef]
- Yue, M.; Huang, M.Y.; Zhu, Z.S.; Huang, T.R.; Huang, M. Effect of ultrasound assisted emulsification in the production of Pickering emulsion formulated with chitosan self-assembled particles: Stability, macro, and micro rheological properties. LWT-Food Sci. Technol. 2022, 154, 112595. [Google Scholar] [CrossRef]
- Mao, L.; Dai, H.J.; Du, J.; Feng, X.; Ma, L.; Zhu, H.K.; Chen, H.; Wang, H.X.; Zhang, Y.H. Gelatin microgel-stabilized high internal phase emulsion for easy industrialization: Preparation, interfacial behavior and physical stability. Innov. Food Sci. Emerg. 2022, 78, 103011. [Google Scholar] [CrossRef]
- Bonilla, J.C.; Sorensen, J.L.; Clausen, M.P. Quantitative image analysis of protein foam microstructure and its correlation with rheological properties: Egg white foam. Food Hydrocoll. 2022, 133, 108010. [Google Scholar] [CrossRef]
- Zong, Y.C.; Kuang, Q.; Liu, G.J.; Wang, R.; Feng, W.; Zhang, H.; Chen, Z.X.; Wang, T. All-natural protein-polysaccharide conjugates with bead-on-a-string nanostructures as stabilizers of high internal phase emulsions for 3D printing. Food Chem. 2022, 388, 133012. [Google Scholar] [CrossRef]
- Su, J.Q.; Guo, Q.; Chen, Y.L.; Dong, W.X.; Mao, L.K.; Gao, Y.X.; Yuan, F. Characterization and formation mechanism of lutein pickering emulsion gels stabilized by β-lactoglobulin-gum arabic composite colloidal nanoparticles. Food Hydrocoll. 2020, 98, 105276. [Google Scholar] [CrossRef]
- Liu, G.N.; Hu, M.; Du, X.Q.; Qi, B.K.; Lu, K.Y.; Zhou, S.J.; Xie, F.Y.; Li, Y. Study on the interaction between succinylated soy protein isolate and chitosan and its utilization in the development of oil-in-water bilayer emulsions. Food Hydrocoll. 2022, 124, 107309. [Google Scholar] [CrossRef]
- Zhang, L.J.; Zaky, A.A.; Zhou, C.F.; Chen, Y.N.; Su, W.T.; Wang, H.T.; El-Aty, A.M.A.; Tan, M.Q. High internal phase Pickering emulsion stabilized by sea bass protein microgel particles: Food 3D printing application. Food Hydrocoll. 2022, 131, 107744. [Google Scholar] [CrossRef]
- Xiong, Y.T.; Chen, Y.; Yi, X.Z.; Li, Z.S.; Luo, Y.C. Effect of four plant oils on the stability of high internal phase Pickering emulsions stabilized by ovalbumin-tannic acid complex. Int. J. Biol. Macromol. 2022, 222, 1633–1641. [Google Scholar] [CrossRef]
- Zhang, X.; Liang, H.S.; Li, J.; Li, B. Fabrication of processable and edible high internal phase Pickering emulsions stabilized with gliadin/sodium carboxymethyl cellulose colloid particles. Food Hydrocoll. 2022, 128, 107571. [Google Scholar] [CrossRef]
- Liu, W.; Gao, H.X.; McClements, D.J.; Zhou, L.; Wu, J.; Zou, L.Q. Stability, rheology, and β-carotene bioaccessibility of high internal phase emulsion gels. Food Hydrocoll. 2019, 88, 210–217. [Google Scholar] [CrossRef]
- Yu, J.; Wang, X.Y.; Li, D.; Wang, L.J.; Wang, Y. Development of soy protein isolate emulsion gels as extrusion-based 3D food printing inks: Effect of polysaccharides incorporation. Food Hydrocoll. 2022, 131, 107824. [Google Scholar] [CrossRef]
- Geng, S.; Li, Y.B.; Lv, J.L.; Ma, H.J.; Liang, G.Z.; Liu, B.G. Fabrication of food-grade Pickering high internal phase emulsions (HIPEs) stabilized by a dihydromyricetin and lysozyme mixture. Food Chem. 2022, 373, 131576. [Google Scholar] [CrossRef]
- Ma, T.; Cui, R.R.; Lu, S.Y.; Hu, X.N.; Xu, B.; Song, Y.; Hu, X.S. High internal phase Pickering emulsions stabilized by cellulose nanocrystals for 3D printing. Food Hydrocoll. 2022, 125, 107418. [Google Scholar] [CrossRef]
- Feng, T.T.; Fan, C.L.; Wang, X.J.; Wang, X.W.; Xia, S.Q.; Huang, Q.R. Food-grade Pickering emulsions and high internal phase Pickering emulsions encapsulating cinnamaldehyde based on pea protein-pectin-EGCG complexes for extrusion 3D printing. Food Hydrocoll. 2022, 124, 107265. [Google Scholar] [CrossRef]
- Jia, Y.Y.; Khalifa, I.; Dang, M.Z.; Zhang, Y.J.; Zhu, L.; Zhao, M.Y.; Li, K.K.; Li, C.M. Confirmation and understanding the potential emulsifying characterization of persimmon pectin: From structural to diverse rheological aspects. Food Hydrocoll. 2022, 131, 107738. [Google Scholar] [CrossRef]
- Wu, Y.L.; Zhang, X.Z.; Qiu, D.; Pei, Y.; Li, Y.; Li, B.; Liu, S.L. Effect of surface charge density of bacterial cellulose nanofibrils on the rheology property of O/W Pickering emulsions. Food Hydrocoll. 2021, 120, 106944. [Google Scholar] [CrossRef]
- Gagliardi, A.; Froiio, F.; Salvatici, M.C.; Paolino, D.; Fresta, M.; Cosco, D. Characterization and refinement of zein-based gels. Food Hydrocoll. 2020, 101, 105555. [Google Scholar] [CrossRef]
- Cheng, Y.; Fu, Y.; Ma, L.; Yap, P.L.; Losic, D.; Wang, H.X.; Zhang, Y.H. Rheology of edible food inks from 2D/3D/4D printing, and its role in future 5D/6D printing. Food Hydrocoll. 2022, 132, 107855. [Google Scholar] [CrossRef]
- Cai, X.R.; Wang, Y.; Du, X.F.; Xing, X.Y.; Zhu, G.L. Stability of pH-responsive Pickering emulsion stabilized by carboxymethyl starch/xanthan gum combinations. Food Hydrocoll. 2020, 109, 106093. [Google Scholar] [CrossRef]
- Chen, S.N.; Du, Y.Z.; Zhang, H.J.; Wang, Q.M.; Gong, Y.F.; Chang, R.X.; Zhang, J.Y.; Zhang, J.P.; Yuan, Y.; Liu, B.; et al. The lipid digestion behavior of oil-in-water Pickering emulsions stabilized by whey protein microgels of various rigidities. Food Hydrocoll. 2020, 130, 107735. [Google Scholar] [CrossRef]
- Zhang, R.J.; Cheng, L.R.; Luo, L.; Hemar, Y.; Yang, Z. Formation and characterisation of high-internal-phase emulsions stabilised by high-pressure homogenised quinoa protein isolate. Colloids Surf. A 2021, 631, 127688. [Google Scholar] [CrossRef]
- Jiang, W.; Wang, Y.Y.; Ma, C.C.; McClements, D.J.; Liu, F.G.; Liu, X.B. Pea protein isolate-inulin conjugates prepared by pH-shift treatment and ultrasonic-enhanced glycosylation: Structural and functional properties. Food Chem. 2022, 384, 132511. [Google Scholar] [CrossRef]
- Xu, F.R.; Pan, M.M.; Li, J.W.; Ju, X.R.; Wu, J.; Cui, Z.Y.; Wang, L.F. Preparation and characteristics of high internal phase emulsions stabilized by rapeseed protein isolate. LWT-Food Sci. Technol. 2021, 149, 111753. [Google Scholar] [CrossRef]









Disclaimer/Publisher’s Note: The statements, opinions and data contained in all publications are solely those of the individual author(s) and contributor(s) and not of MDPI and/or the editor(s). MDPI and/or the editor(s) disclaim responsibility for any injury to people or property resulting from any ideas, methods, instructions or products referred to in the content. |
© 2023 by the authors. Licensee MDPI, Basel, Switzerland. This article is an open access article distributed under the terms and conditions of the Creative Commons Attribution (CC BY) license (https://creativecommons.org/licenses/by/4.0/).
Share and Cite
Zhang, J.; Zhao, S.; Li, L.; Kong, B.; Liu, H. High Internal Phase Emulsions Stabilized by Pea Protein Isolate Modified by Ultrasound Combined with pH-Shifting: Micromorphology, Rheology, and Physical Stability. Foods 2023, 12, 1433. https://doi.org/10.3390/foods12071433
Zhang J, Zhao S, Li L, Kong B, Liu H. High Internal Phase Emulsions Stabilized by Pea Protein Isolate Modified by Ultrasound Combined with pH-Shifting: Micromorphology, Rheology, and Physical Stability. Foods. 2023; 12(7):1433. https://doi.org/10.3390/foods12071433
Chicago/Turabian StyleZhang, Jingnan, Siqi Zhao, Linte Li, Baohua Kong, and Haotian Liu. 2023. "High Internal Phase Emulsions Stabilized by Pea Protein Isolate Modified by Ultrasound Combined with pH-Shifting: Micromorphology, Rheology, and Physical Stability" Foods 12, no. 7: 1433. https://doi.org/10.3390/foods12071433
APA StyleZhang, J., Zhao, S., Li, L., Kong, B., & Liu, H. (2023). High Internal Phase Emulsions Stabilized by Pea Protein Isolate Modified by Ultrasound Combined with pH-Shifting: Micromorphology, Rheology, and Physical Stability. Foods, 12(7), 1433. https://doi.org/10.3390/foods12071433
