Contribution of Quercetin to the Composition and Antioxidant Properties of Monascus Exopolysaccharides
Abstract
1. Introduction
2. Materials and Methods
2.1. Strains and Culture Medium
2.2. Fermentation Process
2.3. Determination of Crude EPS Yield and Biomass
2.4. Determination of Extracellular Pigments
2.5. Determination of Extracellular Citrinin
2.6. Optimization of Fermentation Medium Components
2.7. Optimization of Fermentation Conditions
2.8. Preliminary Characterization of Q-EMP
2.8.1. Chemical Components Analysis
2.8.2. Mw Determination
2.8.3. Monosaccharide Composition Analysis
2.9. Determination of Antioxidant Capacity
2.9.1. Determination of DPPH·Scavenging Capacity
2.9.2. Determination of -OH Scavenging Capacity
2.9.3. Determination of ABTS+ Scavenging Ability
2.10. Data Analysis
3. Results
3.1. Effects of Species of Fungus on EPS Production
3.2. Effects of Flavonoids on crude EPS Yield
3.3. Effects of Quercetin Addition on M. purpureus Biomass and EPS Yield
3.4. Effect of Culture Medium on EPS-Production
3.4.1. Effect of Carbon Source Type and Carbon Source Concentration
3.4.2. Effect of Nitrogen Source Type and Nitrogen Source Concentration
3.4.3. Effect of Carbon–Nitrogen Ratio
3.4.4. Effect of Inorganic Salt Ions
3.4.5. Effect of Type and Content Optimization of Surfactants
3.5. Effect of Cultivation Conditions on EPS Production
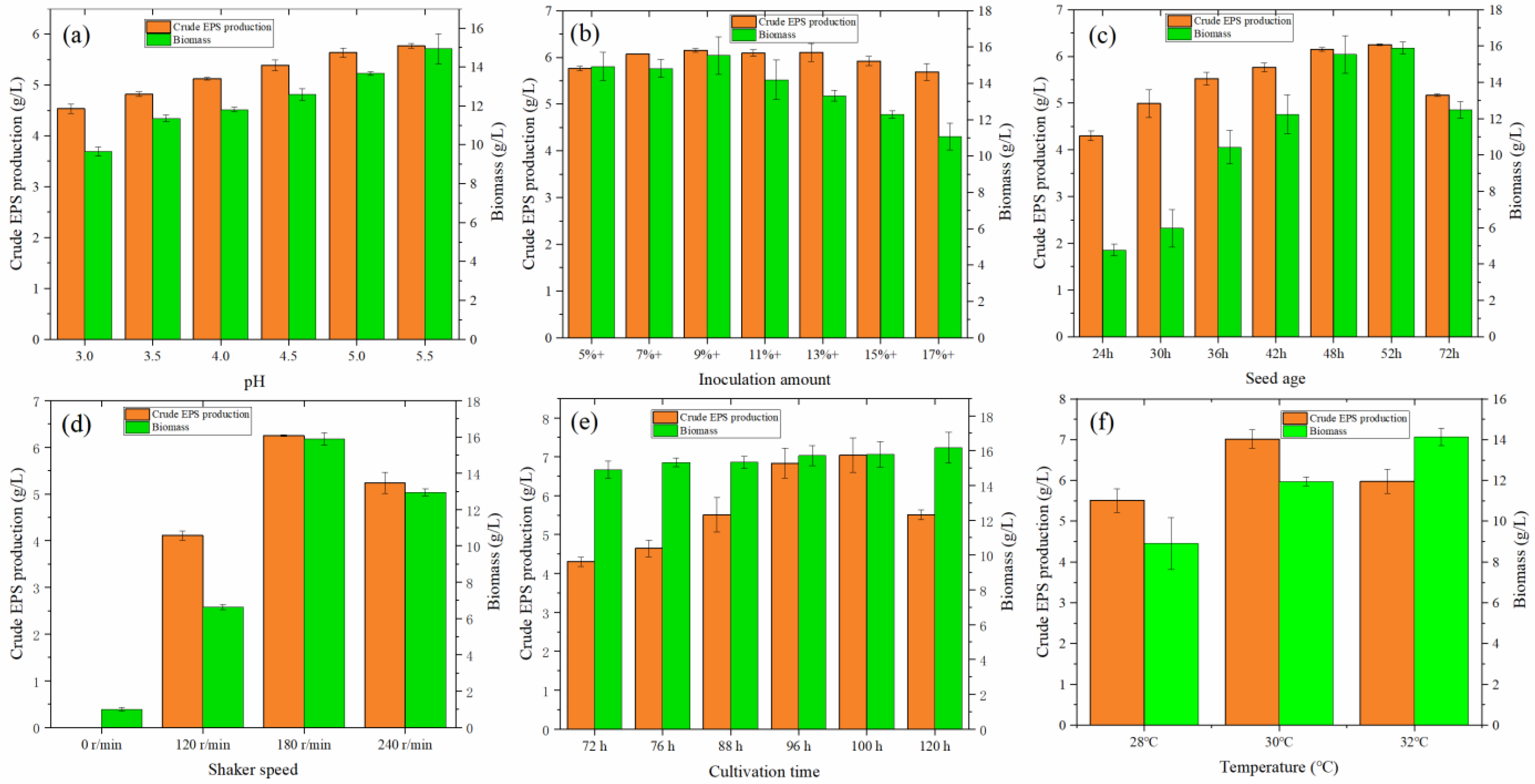
3.5.1. Effect of Initial pH
3.5.2. Effect of Inoculation Quantity
3.5.3. Effect of Age Optimization
3.5.4. Effect of Shaker Speed
3.5.5. Effect of Culture Time
3.5.6. Effect of Culture Temperature after Adding Quercetin
3.6. Physicochemical Properties
3.7. Monosaccharide Composition
3.8. Determination of Antioxidant Capacity
3.8.1. DPPH Scavenging Activity
3.8.2. -OH Scavenging Capacity
3.8.3. ABTS+ Scavenging Ability
4. Conclusions
Author Contributions
Funding
Institutional Review Board Statement
Informed Consent Statement
Data Availability Statement
Conflicts of Interest
References
- Rahayu, Y.Y.S.; Yoshizaki, Y.; Yamaguchi, K.; Okutsu, K.; Futagami, T.; Tamaki, H.; Sameshima, Y.; Takamine, K. Key volatile compounds in red koji-shochu, a Monascus-fermented product, and their formation steps during fermentation. Food Chem. 2017, 224, 398–406. [Google Scholar] [CrossRef] [PubMed]
- Shi, Y.C.; Pan, T.M. Beneficial effects of Monascus purpureus NTU 568-fermented products: A review. Appl. Microbiol. Biotechnol. 2011, 90, 1207–1217. [Google Scholar] [CrossRef] [PubMed]
- Tseng, K.C.; Fang, T.J.; Chiang, S.S.; Liu, C.F.; Wu, C.L.; Pan, T.M. Immunomodulatory activities and antioxidant properties of polysaccharides from Monascus-fermented products in vitro. J. Sci. Food Argic. 2012, 92, 1483–1489. [Google Scholar] [CrossRef] [PubMed]
- Wang, N.F.; Jia, G.G.; Wang, C.L.; Chen, M.H.; Xie, F.J.; Nepovinnykh, N.V.; Goff, H.D.; Guo, Q.B. Structural characterisation and immunomodulatory activity of exopolysaccharides from liquid fermentation of Monascus purpureus (Hong Qu). Food Hydrocoll. 2020, 103, 105636. [Google Scholar] [CrossRef]
- Handa, C.L.; de Lima, F.S.; Guelfi, M.F.G.; da Silva Fernandes, M.; Georgetti, S.R.; Ida, E.I. Parameters of the fermentation of soybean flour by Monascus purpureus or Aspergillus oryzae on the production of bioactive compounds and antioxidant activity. Food Chem. 2019, 271, 274–283. [Google Scholar] [CrossRef]
- Nie, Y.; Lin, Q.L.; Luo, F.J. Effects of Non-Starch Polysaccharides on Inflammatory Bowel Disease. Int. J. Mol. Sci. 2017, 18, 1372. [Google Scholar] [CrossRef]
- Wang, P.R.; Chen, D.F.; Jiang, D.H.; Dong, X.M.; Chen, P.P.; Lin, Y.X. Alkali extraction and in vitro antioxidant activity of Monascus mycelium polysaccharides. J. Food. Sci. Technol. 2015, 51, 1251–1259. [Google Scholar] [CrossRef]
- Wu, J.P.; Wang, C.L.; Chen, M.H.; Wang, Y.R.; and Li, F.J. Optimization of liquid fermentation conditions of polysaccharide by Monascus sp. J. Beijing Technol. Busin Univ. Nat. Sci. Ed. 2012, 30, 57–62. [Google Scholar]
- Wang, P.R.; Chen, P.P.; Lan, L.J.; Jiang, D.H.; Lin, Y.X. Optimization of liquid-fermentation conditions of Monascus Exopolysaccharides (MEP) and its antioxidant activity. J. Microbiol. 2011, 31, 19–24. [Google Scholar]
- Liu, X.C.; Li, H.; Kang, T.; Zhu, Z.Y.; Liu, Y.L.; Sun, H.Q.; Pan, L.C. The effect of fermentation conditions on the structure and anti-tumor activity of polysaccharides from Cordyceps gunnii. RSC Adv. 2019, 9, 18205–18216. [Google Scholar] [CrossRef]
- Li, Y.C.; Zhang, Z.Y.; Wei, X.Y.; Chang, L.; Yang, W. Optimization of conditions for producing EPSs by Monascus and preliminary detection of its efficacy and activity. J. Tianjin Agric. Univ. 2020, 27, 79–83. [Google Scholar]
- Lu, X.H.; Wang, C.H.; Li, Y.M.; Liu, P. Improved production and antioxidant activity of exopolysaccharides by submerged culture of Lentinula edodes by the addition of lignocellulose. J. Biosci. Bioeng. 2022, 134, 162–166. [Google Scholar] [CrossRef] [PubMed]
- Wang, Y.L.; Gao, H.; Xie, J.H.; Li, X.J.; Huang, Z.B. Effects of some flavonoids on the mycotoxin citrinin reduction by Monascus aurantiacus Li AS3.4384 during liquid-state fermentation. AMB Expr. 2020, 10, 26. [Google Scholar] [CrossRef] [PubMed]
- Ouyang, W.B.; Liu, X.; Wang, Y.L.; Huang, Z.B.; Li, X.J. Addition of genistein to the fermentation process reduces citrinin production by Monascus via changes at the transcription level. Food Chem. 2021, 343, 128410. [Google Scholar] [CrossRef] [PubMed]
- He, S.S.; Wang, Y.L.; Xie, J.H.; Gao, H.; Li, X.J.; Huang, Z.B. 1H NMR-based metabolomic study of the effects of flavonoids on citrinin production by Monascus. Food Res. Int. 2020, 137, 109532. [Google Scholar] [CrossRef] [PubMed]
- Xie, L.M.; Shen, M.Y.; Wen, P.W.; Hong, Y.Z.; Liu, X.; Xie, J.H. Preparation, characterization, antioxidant activity and protective effect against cellular oxidative stress of phosphorylated polysaccharide from Cyclocarya paliurus. Food Chem. Toxicol. 2020, 145, 111754. [Google Scholar] [CrossRef] [PubMed]
- Wang, Z.J.; Xie, J.H.; Kan, L.J.; Wang, J.Q.; Shen, M.Y.; Li, W.J.; Xie, M.Y. Sulfated polysaccharides from Cyclocarya paliurus reduce H2O2-induced oxidative stress in RAW264.7 cells. Int. J. Biol. Macromol. 2015, 80, 410–417. [Google Scholar] [CrossRef]
- Mohsen, S.M.; Ammar, A.S. Total phenolic contents and antioxidant activity of corn tassel extracts. Food Chem. 2019, 112, 595–598. [Google Scholar] [CrossRef]
- Smirnoff, N.; Cumbes, Q.J. Hydroxyl radical scavenging activity of compatible solutes. Phytochemistry 1989, 28, 1057–1060. [Google Scholar] [CrossRef]
- Pérez-Jiménez, J.; Arranz, S.; Tabernero, M.; Díaz-Rubio, M.E.; Serrano, J.; Goñi, I.; Saura-Calixto, F. Updated methodology to determine antioxidant capacity in plant foods, oils and beverages: Extraction, measurement and expression of results. Food Res. Int. 2008, 41, 274–285. [Google Scholar] [CrossRef]
- Re, R.; Pellegrini, N.; Proteggente, A.; Pannala, A.; Yang, M.; Rice-Evans, C. Antioxidant activity applying an improved ABTS radical cation decolorization assay. Free Radic. Biol. Med 1999, 26, 1231–1237. [Google Scholar] [CrossRef] [PubMed]
- Xie, L.M.; Huang, Z.B.; Meng, H.; Fan, Z.B.; Shi, X.Y.; Xie, J.H. Role of genistein on the yield, structure and immunomodulatory activity of Monascus exopolysaccharides. Food Func. 2022, 13, 1393–1407. [Google Scholar] [CrossRef] [PubMed]
- Xie, L.M.; Wang, G.; Xie, J.H.; Chen, X.X.; Xie, J.Y.; Shi, X.Y.; Huang, Z.B. Enhancement of functional activity and biosynthesis of exopolysaccharides in Monascus purpureus by genistein treatments. Curr. Res. Food Sci. 2022, 5, 2228–2242. [Google Scholar] [CrossRef] [PubMed]
- Bai, J.F.; Jia, X.W.; Chen, Y.C.; Ning, Z.X.; Liu, S.H.; Xu, C.P. Effect of carbon source on properties and bioactivities of exopolysaccharide produced by Trametes ochracea (Agaricomycetes). Int. J. Med. Mushrooms 2020, 22, 289–297. [Google Scholar] [CrossRef]
- Zhou, Z.G.; Guo, H.Z.; Xie, C.Y. Effects of Culture Conditions on Production of Red Pigment and Citrinin by Fermentation of Monascus Ruber. Chem. Eng. T 2016, 46, 1363–1368. [Google Scholar]
- Zeng, L.Y.; Zhao, S.X.; Li, Y. Separation, Purification and Stability of the Antifungil Compounds Glycopeptide from M. Purpureus. J. Tianjin Univ. Sci. Technol. 2016, 24, 18–21. [Google Scholar]
- Ajdari, Z.; Ebrahimpour, A.; Manan, M.A.; Hamid, M.; Mohamad, R.; Ariff, A.B. Nutritional Requirements for the Improvement of Growth and Sporulation of Several Strains of Monascus purpureus on Solid State Cultivation. BioMed Res. Int. 2011, 2011, 426168. [Google Scholar]
- Mian, F.A.; Jarman, T.R.; Righelato, R.C. Biosynthesis of exopolysaccharide by Pseudomonas aeruginosa. J. Bacteriol. 1978, 134, 418–422. [Google Scholar] [CrossRef]
- Lin, L.; Jiang, L.; Guo, H.Z.; Yang, L.; Liu, Z.Z. Optimization of divalent metal cations for maximal concentration of Monacolin K in Monascus M1 by response surface methodology. Czech J. Food Sci. 2019, 37, 312–318. [Google Scholar] [CrossRef]
- Zeng, H.W.; Wang, C.T.; Qiao, J.; Zhang, B.J.; Zhao, B.; Dai, C.Y. Determining a suitable carbon source for the production of intracellular pigments from Monascus purpureus HBSD 08. Pigment Resin Technol. 2019, 48, 547–554. [Google Scholar]
- Sajjad, M.; Kim, K.S. Studies on the interactions of Ca2+ and Mg2+ with EPS and their role in determining the physicochemical characteristics of granular sludges in SBR system. Process. Biochem. 2015, 50, 966–972. [Google Scholar] [CrossRef]
- Wang, J.Z.; Dong, W.B.; Tao, L.; Yang, J.; Li, N. Study on the conditions of solid-state fermentation of Monascus for producing Monascus pigment. Food Sci. Technol. 2010, 35, 199–202. [Google Scholar]
- Zhao, W.; Chai, D.D.; Li, H.M.; Chen, T.; Tang, Y.J. Significance of metal ion supplementation in the fermentation medium on the structure and anti-tumor activity of Tuber polysaccharides produced by submerged culture of Tuber melanosporum. Process. Biochem. 2014, 49, 2030–2038. [Google Scholar] [CrossRef]
- Park, J.P.; Kim, S.W.; Hwang, H.J.; Cho, Y.J.; Yun, J.W. Stimulatory effect of plant oils and fatty acids on the exo-biopolymer production in Cordyceps militaris. Enzym. Microb. Technol. 2002, 31, 250–255. [Google Scholar] [CrossRef]
- Charoensiddhi, S.; Lorbeer, A.J.; Lahnstein, J.; Bulone, V.; Franco, C.M.M.; Zhang, W. Enzyme-assisted extraction of carbohydrates from the brown alga Ecklonia radiata: Effect of enzyme type, pH and buffer on sugar yield and molecular weight profiles. Process. Biochem. 2016, 51, 1503–1510. [Google Scholar] [CrossRef]
- Wang, B.E.; Hu, J. Biosorption of reactive brilliant blue KN-R using Na-CMC immobilized Aspergillus fumigatus beads. Acta Sci. Circumst. 2007, 27, 369–374. [Google Scholar]
- Panda, B.P.; Javed, S.; Ali, M. Statistical analysis and validation of process parameters influencing lovastatin production by Monascus purpureus MTCC 369 under solid-state fermentation. Biotechnol. Bioproc. Eng. 2009, 14, 123–127. [Google Scholar] [CrossRef]
- Fang, Q.H.; Tang, Y.J.; Zhong, J.J. Significance of inoculation density control in production of polysaccharide and ganoderic acid by submerged culture of Ganoderma lucidum. Process. Biochem. 2002, 37, 1375–1379. [Google Scholar] [CrossRef]
- Patakova, P. Monascus secondary metabolites: Production and biological activity. J. Ind. Microbiol. Biotechnol. 2013, 40, 169–181. [Google Scholar] [CrossRef]
- Tang, W.Z.; Dong, M.S.; Wang, W.L.; Han, S.; Rui, X.; Chen, X.H.; Jiang, M.; Zhang, Q.Q.; Wu, J.J.; Li, W. Structural characterization and antioxidant property of released exopolysaccharides from Lactobacillus delbrueckii ssp. Bulgaricus SRFM-1. Carbohydr. Polym. 2017, 173, 654–664. [Google Scholar] [CrossRef]
- Xu, R.H.; Shen, Q.; Ding, X.L.; Gao, W.G.; Li, P.L. Chemical characterization and antioxidant activity of an exopolysaccharide fraction isolated from Bifidobacterium animalis RH. Eur. Food Res. Technol. 2011, 232, 231–240. [Google Scholar] [CrossRef]
- Wang, K.; Li, W.; Rui, X.; Li, T.; Chen, X.H.; Jiang, M.; Dong, M.S. Chemical modification, characterization and bioactivity of a released exopolysaccharide (r-EPS1) from Lactobacillus plantarum 70810. Glycoconj. J. 2015, 32, 17–27. [Google Scholar] [CrossRef] [PubMed]
- Wang, K.; Niu, M.M.; Song, D.W.; Song, X.J.; Zhao, J.; Wu, Y.; Lu, B.X.; Niu, G.C. Preparation, partial characterization and biological activity of exopolysaccharides produced from Lactobacillus fermentum S1. J. Biosci. Bioeng. 2020, 129, 206–214. [Google Scholar] [CrossRef] [PubMed]
- Chaisuwan, W.; Jantanasakulwong, K.; Wangtueai, S.; Phimolsiripol, Y.; Chaiyaso, T.; Techapun, C.; Phongthai, S.; You, S.G.; Regenstein, J.M.; Seesuriyachan, P. Microbial exopolysaccharides for immune enhancement: Fermentation, modifications and bioactivities. Food Biosci. 2020, 35, 100564. [Google Scholar] [CrossRef]
- Wang, N.F.; Wu, Y.; Jia, G.G.; Wang, C.L.; Xiao, D.G.; Douglas Goff, H.; Guo, Q.B. Structural characterization and immunomodulatory activity of mycelium polysaccharide from liquid fermentation of Monascus purpureus (Hong Qu). Carbohydr. Polym. 2021, 262, 117945. [Google Scholar] [CrossRef] [PubMed]
- Scalzo, L.R. Organic acids influence on DPPH scavenging by ascorbic acid. Food Chem. 2008, 107, 40–43. [Google Scholar] [CrossRef]
- Yang, F.R.; Chen, J.L.; Ye, S.H.; Liu, Z.F.; Ding, Y. Characterization of antioxidant activity of exopolysaccharides from endophytic Lysinibacillus sphaericus Ya6 under osmotic stress conditions. Process. Biochem. 2022, 113, 87–96. [Google Scholar] [CrossRef]
- He, N.W.; Zhai, X.C.; Zhang, X.B.; Zhang, X.W.; Wang, X.J. Extraction, purification and characterization of water-soluble polysaccharides from green walnut husk with anti-oxidant and anti-proliferative capacities. Process. Biochem. 2020, 88, 170–179. [Google Scholar] [CrossRef]
- Wang, X.; Shao, C.G.; Liu, L.; Guo, X.; Xu, Y.M.; Lv, X. Optimization, partial characterization and antioxidant activity of an exopolysaccharide from Lactobacillus plantarum KX041. Int. J. Biol. Macromol. 2017, 103, 1173–1184. [Google Scholar] [CrossRef]
- Ma, L.S.; Chen, H.X.; Zhu, W.C.; and Wang, Z.S. Effect of different drying methods on physicochemical properties and antioxidant activities of polysaccharides extracted from mushroom Inonotus obliquus. Food Res. Int. 2013, 50, 633–640. [Google Scholar] [CrossRef]
- Mzoughi, Z.; Abdelhamid, A.; Rihouey, C.; Cerf, D.L.; Bouraoui, A.; Majdoub, H. Optimized extraction of pectin-like polysaccharide from Suaeda fruticosa leaves: Characterization, antioxidant, anti-inflammatory and analgesic activities. Carbohydr. Polym. 2018, 185, 127–137. [Google Scholar] [CrossRef] [PubMed]
- Wang, Y.; Li, X.; Chen, X.T.; Zhao, P.; Qu, Z.; Ma, D.; Zhao, C.C.; Gao, W.Y. Effect of stir-frying time during Angelica Sinensis Radix processing with wine on physicochemical, structure properties and bioactivities of polysaccharides. Process. Biochem. 2019, 81, 188–196. [Google Scholar] [CrossRef]






| Carbon-to-Nitrogen Ratio | Sucrose Content (g/L) | Yeast Extract Content (g/L) | Crude EPS Production (g/L) | Biomass (g/L) |
|---|---|---|---|---|
| 30:1 | 30 | 5.5 | 2.37 ± 0.02 | 7.73 ± 0.07 |
| 38:1 | 35 | 5 | 2.86 ± 0.03 | 8.22 ± 0.20 |
| 49:1 | 40 | 4.5 | 3.41 ± 0.18 | 10.61 ± 0.10 |
| 61:1 | 45 | 4 | 4.47 ± 0.04 | 11.23 ± 0.90 |
| 78:1 | 50 | 3.5 | 4.75 ± 0.05 | 9.85 ± 0.02 |
| 100:1 | 55 | 3.0 | 3.89 ± 0.04 | 11.45 ± 0.29 |
| Samples | 4384 EPS Blank | 4384 EPS Quercetin | |
|---|---|---|---|
| Change in neutral sugar (%) | 34.69 ± 0.41 | 37.73 ± 0.78 | |
| Change in uronic acid (%) | 19.38 ± 0.34 | 8.87 ± 0.78 | |
| Change in protein (%) | 3.01 ± 1.66 | 2.96 ± 0.50 | |
| Mw (kDa) | 166.864 | 52.104 * | |
| Monosaccharide composition (mole %) 1 | Ara | 0.6 ± 0.02 | |
| Fru | 1.8 ± 0.15 | 0.6 ± 0.01 * | |
| Gal | 1.8 ± 0.09 | 0.80 ± 0.2 * | |
| GalA | |||
| Glu | 6.7 ± 0.07 | 20.3 ± 1.28 * | |
| Xyl | 0.8 ± 0.02 | 7.9 ± 0.71 * | |
| Mole Ratio | Ara:Fru:Gal:Glu:Xyl = 1:3:3:11.2:1.3 | Fru:Gal:Glu:Xyl = 1:1.3:33.8:13.2 | |
Disclaimer/Publisher’s Note: The statements, opinions and data contained in all publications are solely those of the individual author(s) and contributor(s) and not of MDPI and/or the editor(s). MDPI and/or the editor(s) disclaim responsibility for any injury to people or property resulting from any ideas, methods, instructions or products referred to in the content. |
© 2023 by the authors. Licensee MDPI, Basel, Switzerland. This article is an open access article distributed under the terms and conditions of the Creative Commons Attribution (CC BY) license (https://creativecommons.org/licenses/by/4.0/).
Share and Cite
Yang, H.; Meng, H.; Xie, L.; Huang, Z. Contribution of Quercetin to the Composition and Antioxidant Properties of Monascus Exopolysaccharides. Foods 2023, 12, 1004. https://doi.org/10.3390/foods12051004
Yang H, Meng H, Xie L, Huang Z. Contribution of Quercetin to the Composition and Antioxidant Properties of Monascus Exopolysaccharides. Foods. 2023; 12(5):1004. https://doi.org/10.3390/foods12051004
Chicago/Turabian StyleYang, Haiyun, Hui Meng, Liuming Xie, and Zhibing Huang. 2023. "Contribution of Quercetin to the Composition and Antioxidant Properties of Monascus Exopolysaccharides" Foods 12, no. 5: 1004. https://doi.org/10.3390/foods12051004
APA StyleYang, H., Meng, H., Xie, L., & Huang, Z. (2023). Contribution of Quercetin to the Composition and Antioxidant Properties of Monascus Exopolysaccharides. Foods, 12(5), 1004. https://doi.org/10.3390/foods12051004
