Identification of Key Antioxidants of Free, Esterified, and Bound Phenolics in Walnut Kernel and Skin
Abstract
1. Introduction
2. Material and Methods
2.1. Plant Materials
2.2. Chemicals and Reagents
2.3. Extraction of Different Phenolic Forms
2.4. Total Phenolic Content
2.5. UPLC-MS/MS
2.6. Antioxidant Activities
2.7. Statistical Analysis
3. Results
3.1. TPCs in Free, Esterified, and Bound Forms in Kernel and Skin
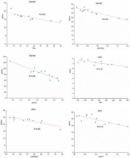
3.2. Antioxidant Activities of Total Phenolics in Kernel and Skin
3.3. Content of Free, Esterified, and Bound Phenolic Compounds in Kernel and Skin
3.4. Antioxidant Activity of Monomer Phenolic Compounds
4. Discussion
5. Conclusions
Supplementary Materials
Author Contributions
Funding
Data Availability Statement
Conflicts of Interest
References
- Abdallah, I.B.; Tlili, N.; Martinez-Force, E.; Rubio AG, P.; Perez-Camino, M.C.; Albouchi, A.; Boukhchina, S. Content of carotenoids, tocopherols, sterols, triterpenic and aliphatic alcohols, and volatile compounds in six walnuts (Juglans regia L.) varieties. Food Chem. 2015, 173, 972–978. [Google Scholar] [CrossRef] [PubMed]
- Hama, J.R.; Omer, R.A.; Rashid, R.S.M.; Mohammad, N.-E.-A.; Thoss, V. The Diversity of Phenolic Compounds along Defatted Kernel, Green Husk and Leaves of Walnut (Juglans regia L.). Anal. Chem. Lett. 2016, 6, 35–46. [Google Scholar] [CrossRef]
- Liu, M.; Li, C.; Cao, C.; Wang, L.; Li, X.; Che, J.; Yang, H.; Zhang, X.; Zhao, H.; He, E. Walnut Fruit Processing Equipment: Academic Insights and Perspectives. Food Eng. Rev. 2021, 13, 822–857. [Google Scholar] [CrossRef]
- Lou, X.M.; Xu, H.D.; Hanna, M.; Yuan, L. Identification and quantification of free, esterified, glycosylated and insoluble-bound phenolic compounds in hawthorn berry fruit (Crataegus pinnatifida) and antioxidant activity evaluation. Lwt-Food Sci. Technol. 2020, 130, 10. [Google Scholar] [CrossRef]
- de Camargo, A.C.; Concepción Alvarez, A.; Arias-Santé, M.F.; Oyarzún, J.E.; Andia, M.E.; Uribe, S.; Núñez Pizarro, P.; Bustos, S.M.; Schwember, A.R.; Shahidi, F.; et al. Soluble Free, Esterified and Insoluble-Bound Phenolic Antioxidants from Chickpeas Prevent Cytotoxicity in Human Hepatoma HuH-7 Cells Induced by Peroxyl Radicals. Antioxidants 2022, 11, 113. [Google Scholar] [CrossRef] [PubMed]
- Gao, Y.; Ping, H.; Li, B.R.; Li, Y.; Zhao, F.; Ma, Z.H. Characterization of free, conjugated, and bound phenolics in early and late ripening kiwifruit cultivars. J. Sci. Food Agric. 2021, 101, 4743–4750. [Google Scholar] [CrossRef]
- You, B.; Yang, S.; Yu, J.; Xian, W.; Deng, Y.; Huang, W.; Li, W.; Yang, R. Effect of thermal and dry salt-curing processing on free and bound phenolics and antioxidant activity in Prunus mume fruits together with the phenolic bioaccessibility. LWT-Food Sci. Technol. 2021, 145, 111355. [Google Scholar] [CrossRef]
- Goyeneche, R.; Roura, S.; Ponce, A.; Vega-Gálvez, A.; Quispe-Fuentes, I.; Uribe, E.; Di Scala, K. Chemical characterization and antioxidant capacity of red radish (Raphanus sativus L.) leaves and roots. J. Funct. Foods 2019, 16, 256–264. [Google Scholar] [CrossRef]
- Zhang, J.; Wang, Y.D.; Xue, Q.W.; Zhao, T.R.; Khan, A.; Wang, Y.F.; Liu, Y.-P.; Cao, J.-X.; Cheng, G.G. The effect of ultra-high pretreatment on free, esterified and insoluble-bound phenolics from mango leaves and their antioxidant and cytoprotective activities. Food Chem. 2022, 368, 130864. [Google Scholar] [CrossRef]
- Martin-Garcia, B.; Gomez-Caravaca, A.M.; Marconi, E.; Verardo, V. Distribution of free and bound phenolic compounds, and alkylresorcinols in wheat aleurone enriched fractions. Food Res. Int. 2021, 140, 109816. [Google Scholar] [CrossRef]
- Antognoni, F.; Potente, G.; Biondi, S.; Mandrioli, R.; Marincich, L.; Ruiz, K.B. Free and Conjugated Phenolic Profiles and Antioxidant Activity in Quinoa Seeds and Their Relationship with Genotype and Environment. Plants 2021, 10, 1046. [Google Scholar] [CrossRef] [PubMed]
- Rocchetti, G.; Chiodelli, G.; Giuberti, G.; Lucini, L. Bioaccessibility of phenolic compounds following in vitro large intestine fermentation of nuts for human consumption. Food Chem. 2018, 245, 633–640. [Google Scholar] [CrossRef] [PubMed]
- Persic, M.; Mikulic-Petkovsek, M.; Halbwirth, H.; Solar, A.; Veberic, R.; Slatnar, A. Red Walnut: Characterization of the Phenolic Profiles, Activities and Gene Expression of Selected Enzymes Related to the Phenylpropanoid Pathway in Pellicle during Walnut Development. J. Agric. Food Chem. 2018, 66, 2742–2748. [Google Scholar] [CrossRef] [PubMed]
- Ma, Y.; Kosinska-Cagnazzo, A.; Kerr, W.L.; Amarowicz, R.; Swanson, R.B.; Pegg, R.B. Separation and Characterization of Soluble Esterified and Glycoside-Bound Phenolic Compounds in Dry-Blanched Peanut Skins by Liquid Chromatography-Electrospray Ionization Mass Spectrometry. J. Agric. Food Chem. 2014, 62, 11488–11504. [Google Scholar] [CrossRef] [PubMed]
- Slatnar, A.; Mikulic-Petkovsek, M.; Stampar, F.; Veberic, R.; Solar, A. Identification and quantification of phenolic compounds in kernels, oil and bagasse pellets of common walnut (Juglans regia L.). Food Res. Int. 2015, 67, 255–263. [Google Scholar] [CrossRef]
- Das, P.R.; Islam, M.T.; Lee, S.H.; Lee, M.K.; Kim, J.B.; Eun, J.B. UPLC-DAD-QToF/MS analysis of green tea phenolic metabolites in their free, esterified, glycosylated, and cell wall-bound forms by ultra-sonication, agitation, and conventional extraction techniques. Lwt-Food Sci. Technol. 2020, 127, 9. [Google Scholar] [CrossRef]
- Prakash, O.; Baskaran, R.; Kudachikar, V.B. Characterization, quantification of free, esterified and bound phenolics in Kainth (Pyrus pashia Buch.-Ham. Ex D.Don) fruit pulp by UPLC-ESI-HRMS/MS and evaluation of their antioxidant activity. Food Chem. 2019, 299, 114–125. [Google Scholar] [CrossRef]
- Giambanelli, E.; Gómez-Caravaca, A.M.; Ruiz-Torralba, A.; Guerra-Hernández, E.J.; Figueroa-Hurtado, J.G.; García-Villanova, B.; Verardo, V. New Advances in the Determination of Free and Bound Phenolic Compounds of Banana Passion Fruit Pulp (Passiflora tripartita, var. Mollissima (Kunth) LH Bailey) and Their In Vitro Antioxidant and Hypoglycemic Capacities. Antioxidants 2020, 9, 628. [Google Scholar] [CrossRef]
- Podio, N.S.; Baroni, M.V.; Wunderlin, D.A. Relation between polyphenol profile and antioxidant capacity of different Argentinean wheat varieties. A Boosted Regression Trees study. Food Chem. 2017, 232, 79–88. [Google Scholar] [CrossRef]
- Gong, E.S.; Li, B.; Li, B.; Podio, N.S.; Chen, H.; Li, T.; Sun, X.; Gao, N.; Wu, W.; Yang, T.; et al. Identification of key phenolic compounds responsible for antioxidant activities of free and bound fractions of blackberry varieties extracts by boosted regression trees. J. Sci. Food Agric. 2021, 102, 984–994. [Google Scholar] [CrossRef]
- Khanh-Van, H.; Roy, A.; Foote, S.; Vo, P.H.; Lall, N.; Lin, C.-H. Profiling Anticancer and Antioxidant Activities of Phenolic Compounds Present in Black Walnuts (Juglans nigra) Using a High-Throughput Screening Approach. Molecules 2020, 25, 4516. [Google Scholar]
- Singleton, V.L.; Orthofer, R.; Lamuela-Raventos, R.M. Analysis of total phenols and other oxidation substrates and antioxidants by means of Folin-Ciocalteu reagent. In Oxidants and Antioxidants, Pt A; Packer, L., Ed.; Elsevier Academic Press Inc.: San Diego, CA, USA, 1999; pp. 152–178. [Google Scholar]
- Hazli, U.; Abdul-Aziz, A.; Mat-Junit, S.; Chee, C.F.; Kong, K.W. Solid-liquid extraction of bioactive compounds with antioxidant potential from Alternanthera sesillis (red) and identification of the polyphenols using UHPLC-QqQ-MS/MS. Food Res. Int. 2019, 115, 241–250. [Google Scholar] [CrossRef] [PubMed]
- Podio, N.S.; Lopez-Froilan, R.; Ramirez-Moreno, E.; Bertrand, L.; Baroni, M.V.; Perez-Rodriguez, M.L.; Sánchez-Mata, M.-C.; Wunderlin, D.A. Matching in Vitro Bioaccessibility of Polyphenols and Antioxidant Capacity of Soluble Coffee by Boosted Regression Trees. J. Agric. Food Chem. 2015, 63, 9572–9582. [Google Scholar] [CrossRef] [PubMed]
- John, J.A.; Shahidi, F. Phenolic compounds and antioxidant activity of Brazil nut (Bertholletia excelsa). J. Funct. Foods 2010, 2, 196–209. [Google Scholar] [CrossRef]
- Grace, M.H.; Esposito, D.; Timmers, M.A.; Xiong, J.; Yousef, G.; Komarnytsky, S.; Lila, M.A. In vitro lipolytic, antioxidant and anti-inflammatory activities of roasted pistachio kernel and skin constituents. Food Funct. 2016, 7, 4285–4298. [Google Scholar] [CrossRef]
- de Camargo, A.C.; Regitano-d’Arce, M.A.B.; Gallo, C.R.; Shahidi, F. Gamma-irradiation induced changes in microbiological status, phenolic profile and antioxidant activity of peanut skin. J. Funct. Foods 2015, 12, 129–143. [Google Scholar] [CrossRef]
- Jahanban-Esfahlan, A.; Ostadrahimi, A.; Tabibiazar, M.; Amarowicz, R. A Comparative Review on the Extraction, Antioxidant Content and Antioxidant Potential of Different Parts of Walnut (Juglans regia L.) Fruit and Tree. Molecules 2019, 24, 40. [Google Scholar] [CrossRef]
- Pycia, K.; Kapusta, I.; Jaworska, G.; Jankowska, A. Antioxidant properties, profile of polyphenolic compounds and tocopherol content in various walnut (Juglans regia L.) varieties. Eur. Food Res. Technol. 2018, 245, 607–616. [Google Scholar] [CrossRef]
- Banc, R.; Rusu, M.E.; Filip, L.; Popa, D.-S. The Impact of Ellagitannins and Their Metabolites through Gut Microbiome on the Gut Health and BrainWellness within the Gut. Foods 2023, 12, 270. [Google Scholar] [CrossRef]
- Paiva, L.; Rego, C.; Lima, E.; Marcone, M.; Baptista, J. Comparative Analysis of the Polyphenols, Caffeine, and Antioxidant Activities of Green Tea, White Tea, and Flowers from Azorean Camellia sinensis Varieties Affected by Different Harvested and Processing Conditions. Antioxidants 2021, 10, 183. [Google Scholar] [CrossRef]



| Cultivar | Kernel | Skin | ||||
|---|---|---|---|---|---|---|
| Free | Ester | Bound | Free | Ester | Bound | |
| Total phenolics | ||||||
| L1 | 10.36 ± 1.02 cd | 3.29 ± 0.21 bc | 3.13 ± 0.34 b | 215.97 ± 4.51 ab | 65.62 ± 0.46 b | 36.17 ± 0.10 b |
| L2 | 14.46 ± 1.21 bc | 4.63 ± 0.41 b | 2.84 ± 0.54 b | 120.24 ± 5.16 c | 39.02 ± 0.23 c | 22.26 ± 0.09 d |
| L3 | 9.24 ± 0.72 d | 4.15 ± 0.12 bc | 3.23 ± 0.12 ab | 170.75 ± 4.98 b | 54.19 ± 0.34 bc | 23.27 ± 0.04 d |
| L4 | 14.99 ± 0.54 b | 4.67 ± 0.18 b | 2.97 ± 0.06 b | 166.27 ± 3.21 bc | 55.88 ± 1.21 bc | 25.79 ± 0.18 d |
| L5 | 12.09 ± 1.39 c | 3.00 ± 0.59 c | 2.74 ± 0.14 c | 185.82 ± 8.15 b | 59.06 ± 1.58 bc | 30.33 ± 0.11 b |
| L6 | 12.14 ± 0.57 c | 3.13 ± 0.34 c | 3.42 ± 0.13 a | 148.35 ± 6.18 c | 50.63 ± 0.49 c | 34.26 ± 0.21 b |
| L7 | 15.61 ± 1.28 b | 7.36 ± 0.28 a | 3.46 ± 0.19 a | 138.17 ± 1.21 c | 43.14 ± 0.39 c | 25.69 ± 0.12 cd |
| L8 | 11.29 ± 0.67 cd | 2.31 ± 0.26 d | 2.46 ± 0.22 c | 187.05 ± 0.39 b | 66.37 ± 0.44 b | 40.61 ± 0.18 a |
| L9 | 12.41 ± 0.52 c | 3.23 ± 0.34 c | 2.59 ± 0.15 bc | 204.56 ± 5.14 ab | 55.88 ± 0.26 bc | 28.11 ± 0.06 c |
| L10 | 15.48 ± 0.42 b | 3.64 ± 0.32 bc | 2.56 ± 0.34 bc | 136.95 ± 2.15 c | 42.20 ± 0.38 c | 29.82 ± 0.13 bc |
| L11 | 21.08 ± 1.21 a | 2.77 ± 0.29 cd | 1.70 ± 0.10 d | 257.92 ± 2.98 a | 82.48 ± 0.88 a | 44.85 ± 0.19 a |
| L12 | 23.86 ± 2.15 a | 8.40 ± 0.22 a | 3.16 ± 0.22 b | 130.02 ± 1.56 c | 42.58 ± 0.21 c | 21.15 ± 0.09 d |
| CV | 28.60% | 42.42% | 16.48% | 12.12% | 11.51% | 21.29% |
| Antioxidant activity (DPPH) | ||||||
| L1 | 18.05 ± 0.10 ab | 38.69 ± 0.14 ab | 78.45 ± 1.21 cd | 6.84 ± 0.06 a | 25.19 ± 0.54 a | 44.08 ± 0.34 b |
| L2 | 16.90 ± 0.13 b | 34.32 ± 0.18 bc | 90.85 ± 0.69 bc | 7.20 ± 0.10 a | 29.66 ± 0.31 a | 54.74 ± 0.27 ab |
| L3 | 21.60 ± 0.03 a | 35.98 ± 0.45 bc | 72.54 ± 0.48 cd | 7.26 ± 0.16 a | 28.42 ± 0.24 a | 47.16 ± 0.39 b |
| L4 | 14.70 ± 0.12 bc | 33.70 ± 0.37 bc | 90.18 ± 1.01 bc | 6.66 ± 0.34 a | 28.09 ± 0.36 a | 55.05 ± 0.16 ab |
| L5 | 17.10 ± 0.14 ab | 37.01 ± 0.26 b | 85.45 ± 0.79 c | 7.44 ± 0.12 a | 27.15 ± 0.15 a | 50.74 ± 0.30 ab |
| L6 | 16.81 ± 0.24 b | 38.02 ± 0.29 ab | 67.48 ± 0.66 d | 7.78 ± 0.16 a | 27.18 ± 0.43 a | 42.23 ± 0.57 b |
| L7 | 15.20 ± 0.15 bc | 29.26 ± 0.49 c | 58.14 ± 0.42 d | 7.32 ± 0.12 a | 29.46 ± 0.22 a | 56.35 ± 0.19 a |
| L8 | 17.55 ± 0.22 ab | 41.54 ± 0.46 a | 88.54 ± 1.02 c | 6.96 ± 0.15 a | 26.98 ± 0.26 a | 42.05 ± 0.44 b |
| L9 | 16.90 ± 0.15 b | 41.88 ± 0.39 a | 102.62 ± 1.64 b | 6.75 ± 0.06 a | 28.17 ± 0.19 a | 57.07 ± 0.72 a |
| L10 | 15.35 ± 0.09 bc | 39.03 ± 0.24 ab | 90.52 ± 0.38 c | 8.10 ± 0.13 a | 29.94 ± 0.33 a | 45.21 ± 0.36 b |
| L11 | 14.30 ± 0.25 c | 38.45 ± 0.31 ab | 125.25 ± 1.59 a | 6.28 ± 0.08 a | 19.49 ± 0.41 a | 38.50 ± 0.21 c |
| L12 | 13.90 ± 0.03 c | 27.97 ± 0.66 c | 60.42 ± 0.44 d | 7.93 ± 0.04 a | 27.80 ± 0.08 a | 54.33 ± 0.44 ab |
| Kernel | Skin | |||||||
|---|---|---|---|---|---|---|---|---|
| Phenolic Compounds | Free | Esterified | Bound | Total | Free | Esterified | Bound | Total |
| ellagic acid | 56.49–164.95 (95.45) | 5.83–28.10 (12.57) | 0.82–5.58 (1.86) | 109.88 | 448.15–929.34 (616.44) | 600.99–724.70 (663.72) | 254.32–602.69 (386.74) | 1666.90 |
| gallic acid | 4.43–21.05 (9.30) | 2.48–9.51 (4.96) | 0.49–8.02 (3.07) | 17.33 | 3.85–10.07 (5.69) | 24.98–64.47 (40.76) | 97.42–354.13 (228.79) | 275.24 |
| ferulic acid | 0.44–2.90 (1.62) | 0.56–2.35 (1.06) | 2.59–8.18 (4.95) | 7.63 | 1.08–9.41 (4.63) | 2.50–7.32 (4.05) | 15.22–45.72 (23.71) | 32.39 |
| caffeic acid | nd-0.55 (0.35) | 0.03–0.15 (0.09) | 0.15–0.48 (0.33) | 0.57 | 0.01–0.08 (0.03) | 0.01–0.09 (0.04) | 1.81–17.14 (4.02) | 4.09 |
| sinapic acid | nd-1.42 (0.49) | nd-0.44 (0.16) | 1.05–6.04 (2.47) | 3.12 | nd-1.87 (0.42) | nd-1.01 (0.21) | 1.10–5.87 (3.68) | 4.31 |
| vanillic acid | nd-1.82 (0.57) | nd-0.55 (0.07) | nd-0.88 (0.13) | 0.77 | nd | nd | nd | / |
| syringic acid | 0.28–1.96 (1.35) | 0.17–6.15 (1.26) | 0.43–3.72 (1.27) | 3.48 | 0.21–2.82 (1.14) | 0.34–4.29 (2.07) | 2.74–21.63 (9.22) | 12.43 |
| protocatechuic acid | nd-1.14 (0.37) | 0.01–1.26 (0.29) | 0.31–10.68 (2.04) | 2.7 | nd | Nd-1.20 (0.34) | 2.33–9.01 (5.11) | 5.45 |
| cinnamic acid | nd | nd | nd | / | nd | nd | nd | / |
| p-hydroxybenzoic acid | nd | 1.65–6.23 (3.69) | 0–3.31 (1.17) | 4.86 | nd | nd | 0–4.15 (1.40) | 1.40 |
| chlorogenic acid | 0.28–0.64 (0.54) | 0.28–0.51 (0.37) | 0.28–0.29 (0.28) | 0.99 | 0.72–2.02 (1.12) | 1.26–5.83 (2.88) | 0.56–0.58 (0.57) | 4.57 |
| p-coumaric acid | nd | nd | nd | / | nd | nd | 0–0.889 | / |
| (+)-catechin | 3.15–15.19 (6.78) | 0.13–0.61 (0.29) | 0.16–5.80 (0.97) | 8.04 | 41.10–156.48 (93.31) | 38.48–98.66 (66.53) | 14.00–95.40 (63.89) | 223.73 |
| epicatechin | 2.78–12.01 (5.70) | 0.12–0.25 (0.17) | 0.12–0.51 (0.19) | 6.06 | 31.17–128.58 (71.59) | 4.88–28.23 (14.14) | 1.80–21.67 (6.45) | 92.18 |
| (-)-gallocatechin | nd-0.67 (0.29) | nd-0.02 (0.01) | nd | 0.3 | nd-2.79 (1.41) | nd-1.17 (0.50) | nd-0.93 (0.19) | 2.10 |
| epigallocatechin gallate | nd | nd | nd | / | nd | nd | nd | / |
| (-)-gallocatechin gallate | nd | nd | nd | / | nd | nd | nd | / |
| (-)-epicatechin gallate | 0.09–1.14 (0.44) | 0.09–0.19 (0.11) | 0.09–0.54 (0.17) | 0.72 | 0.27–0.51 (0.38) | 4.31–36.62 (16.24) | 1.82–22.06 (8.78) | 25.4 |
| (-)-epigallocatechin | nd | nd | nd | / | nd | nd | nd | / |
| catechin gallate | 0.09–1.14 (0.44) | 0.09–0.19 (0.11) | 0.09–0.54 (0.17) | 0.72 | 0.27–0.51 (0.38) | 4.31–36.62 (16.24) | 1.82–22.06 (8.78) | 25.4 |
| rutin | 0.08–0.12 (0.11) | 0.08–0.11 (0.10) | 0.07–0.13 (0.10) | 0.31 | 0.15–0.37 (0.21) | 0.16–0.26 (0.21) | 0.17–0.24 (0.20) | 0.62 |
| quercetin-3-O-rutinose | 0.13–0.17 (0.14) | nd | nd | 0.14 | nd | nd | nd | / |
| quercetin-7-O-β-D-glucoside | nd-1.22 (0.47) | nd | nd | 0.47 | 0.04–18.14 (11.25) | 0.34–2.28 (0.93) | nd-1.82 (0.49) | 12.67 |
| quercetin-3-O-glucoside | 0.23–0.77 (0.44) | 0.23–0.25 (0.24) | 0.23–0.26 (0.24) | 0.92 | 4.67–9.82 (6.99) | 0.60–1.62 (1.08) | 0.56–1.22 (0.87) | 8.94 |
| quercetin | 0.05–0.20 (0.12) | 0.05–0.06 (0.05) | 0.05–0.08 (0.06) | 0.23 | 0.63–2.54 (1.42) | 0.13–0.17 (0.15) | 0.31–0.81 (0.60) | 2.17 |
| dihydroquercetin | 0.11–3.78 (1.01) | 0.11–0.14 (0.11) | 0.11–0.23 (0.14) | 1.26 | 7.27–46.33 (21.23) | 0.24–0.67 (0.31) | 0.22–12.21 (1.63) | 23.17 |
| dihyfrokaempferrol | 0.13–0.75 (0.46) | nd | nd | 0.74 | 0.29–5.96 (1.17) | 0.26–0.54 (0.35) | 0.25–0.45 (0.33) | 1.85 |
| kaempferol | 0.03–0.06 (0.04) | nd | nd | 0.04 | 0.07–0.48 (0.20) | 0.07–0.09 (0.07) | 0.07–0.09 (0.07) | 0.34 |
| kaempferol-3-O-glucoside | nd | nd | nd | / | 0.14–0.69 (0.21) | 0.13–0.21 (0.15) | 0.14–0.16 (0.14) | 0.50 |
| naringenin | 0.08–0.34 (0.18) | 0.08–0.10 (0.08) | 0.08–0.09 (0.08) | 0.34 | 0.16–4.44 (0.90) | 0.17–2.38 (0.42) | 0.16–0.29 (0.20) | 1.52 |
| vitexin | nd | nd | nd | / | 0.19–0.55 (0.33) | 0.19–0.33 (0.21) | 0.19–0.21 (0.19) | 0.73 |
| procyanidin B2 | nd-0.70 (0.10) | nd-0.03 (0.01) | nd-0.01 (0.01) | 0.12 | 0.31–9.09 (2.67) | 3.32–17.83 (8.76) | nd-17.86 (7.41) | 18.84 |
| juglone | 0.09–1.58 (0.54) | 0.08–0.73 (0.20) | 0.08–0.48 (0.21) | 0.95 | 0.17–3.20 (1.06) | 0.18–2.51 (0.99) | 0.34–0.95 (0.55) | 2.60 |
| dendrobine | 0.61–0.89 (0.67) | 0.61–1.13 (0.73) | 0.59–0.74 (0.64) | 2.04 | nd | nd | nd | / |
| cumallic acid | nd | nd | nd | / | nd | nd | nd | / |
| lycorine | nd | nd | nd | / | nd | nd | nd | / |
| luteolin | nd | nd | nd | / | 0.13–0.55 (0.29) | nd | nd | 0.29 |
| Phenolic Compounds | DPPH (μg/mL) | Antioxidant Capacity | Classification |
|---|---|---|---|
| Trolox | 5.59 ± 0.04 | 1.00 | / |
| antioxidant capacity higher than Trolox | |||
| quercetin | 1.19 ± 0.04 | 4.70 | H |
| caffeic acid | 1.27 ± 0.02 | 4.40 | H |
| catechin gallate | 1.30 ± 0.01 | 4.30 | H |
| gallocatechin gallate | 1.47 ± 0.06 | 3.80 | H |
| syringic acid | 1.49 ± 0.01 | 3.75 | H |
| epigallocatechin gallate | 1.49 ± 0.05 | 3.75 | H |
| epicatechin gallate | 1.77 ± 0.02 | 3.16 | M |
| gallocatechin | 1.83 ± 0.10 | 3.05 | M |
| procyanidin B2 | 2.04 ± 0.06 | 2.74 | M |
| epiallocatechin | 2.14 ± 0.10 | 2.61 | M |
| gallic acid | 2.24 ± 0.02 | 2.50 | M |
| ellagic acid | 2.29 ± 0.09 | 2.44 | M |
| protocatechuic acid | 2.59 ± 0.12 | 2.16 | M |
| epicatechin | 2.60 ± 0.08 | 2.15 | M |
| sinapic acid | 2.87 ± 0.03 | 1.95 | M |
| kaempferol | 3.11 ± 0.09 | 1.80 | M |
| rutin | 3.89 ± 0.05 | 1.44 | M |
| ferulic acid | 4.62 ± 0.11 | 1.21 | M |
| antioxidant capacity lower than Trolox | |||
| catechin | 5.84 ± 0.02 | 0.96 | L |
| vanillic acid | 7.99 ± 0.05 | 0.70 | L |
| chlorogenic acid | 12.0 ± 0.04 | 0.46 | L |
| p-coumaric acid | 18.63± 0.03 | 0.30 | L |
| cumallic acid | nd | / | nd |
| dendrobine | nd | / | nd |
| lycorine | nd | / | nd |
| juglone | nd | / | nd |
| cinnamic acid | nd | / | nd |
| p-hydroxybenzoic acid | nd | / | nd |
Disclaimer/Publisher’s Note: The statements, opinions and data contained in all publications are solely those of the individual author(s) and contributor(s) and not of MDPI and/or the editor(s). MDPI and/or the editor(s) disclaim responsibility for any injury to people or property resulting from any ideas, methods, instructions or products referred to in the content. |
© 2023 by the authors. Licensee MDPI, Basel, Switzerland. This article is an open access article distributed under the terms and conditions of the Creative Commons Attribution (CC BY) license (https://creativecommons.org/licenses/by/4.0/).
Share and Cite
Wu, S.; Mo, R.; Wang, R.; Li, Q.; Shen, D.; Liu, Y. Identification of Key Antioxidants of Free, Esterified, and Bound Phenolics in Walnut Kernel and Skin. Foods 2023, 12, 825. https://doi.org/10.3390/foods12040825
Wu S, Mo R, Wang R, Li Q, Shen D, Liu Y. Identification of Key Antioxidants of Free, Esterified, and Bound Phenolics in Walnut Kernel and Skin. Foods. 2023; 12(4):825. https://doi.org/10.3390/foods12040825
Chicago/Turabian StyleWu, Shutian, Runhong Mo, Ruohui Wang, Qingyang Li, Danyu Shen, and Yihua Liu. 2023. "Identification of Key Antioxidants of Free, Esterified, and Bound Phenolics in Walnut Kernel and Skin" Foods 12, no. 4: 825. https://doi.org/10.3390/foods12040825
APA StyleWu, S., Mo, R., Wang, R., Li, Q., Shen, D., & Liu, Y. (2023). Identification of Key Antioxidants of Free, Esterified, and Bound Phenolics in Walnut Kernel and Skin. Foods, 12(4), 825. https://doi.org/10.3390/foods12040825
