Use of Heat-Shock and Edible Coating to Improve the Postharvest Preservation of Blueberries
Abstract
:1. Introduction
2. Materials and Methods
2.1. Materials
2.2. TKL Coating
2.2.1. Fabrication of TKL Coating
2.2.2. Application of TKL Coating
2.3. Antifungal Activity and Antioxidant Activity of TKL Composite Coating
2.3.1. Antimicrobial Activity
2.3.2. Antioxidant Activity
2.4. Effect of TKL Composite Coating on Postharvest Quality of Blueberry
2.4.1. Blueberry Treated with TKL Composite Coating
2.4.2. Decay Rate
2.4.3. Malondialdehyde
2.4.4. Measurement of Cell Membrane Electrolyte Leakage
2.5. Effect of HT on Postharvest Quality of Blueberry
Blueberry Treated with HT
2.6. Effect of a Combined Treatment Using TKL Coating and HT on Postharvest Quality of Blueberry
2.6.1. Combined Treatment of TKL Coating and HT on Blueberry Fruit
2.6.2. Effects of HT and TKL Coating Treatment on Freshness of Blueberry
- (1)
- Weight loss
- (2)
- Total count of yeast and mold
2.6.3. Effects of HT and TKL Coating Treatment on Physiological and Biochemical Characteristics of Blueberry
- (1)
- Total acid
- (2)
- SSC
- (3)
- Ethylene release rate
- (4)
- Respiratory intensity
- (5)
- L-ascorbic acid
- (6)
- Anthocyanin content
- (7)
- Texture profile analysis
- (8)
- Analysis of color
2.6.4. Effects of HT and TKL Coating Treatment on Flavor Compounds of Blueberry
- (1)
- Analysis of aroma components
- (2)
- Sensory evaluation
2.7. Statistical Analysis
3. Results and Discussion
3.1. Antifungal Activity and Antioxidant Activity of TKL Composite Coating
3.2. Analysis of the TKL Composite Coating on Preservation of Blueberry
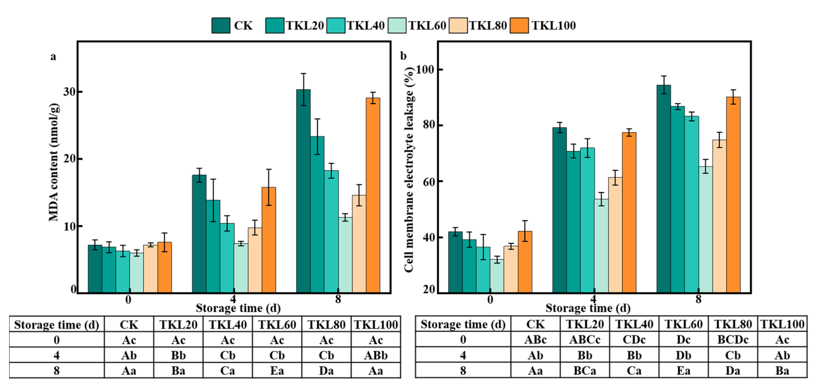
3.3. Analysis of the TKL Composite Coating on the Degree of Pericarp Membrane Lipid Peroxidation of Blueberry
3.4. Effect of HT Treatment on Blueberry Quality
3.5. Effects of HT and TKL Coating Treatment on Freshness of Blueberry
3.5.1. Weight Loss
3.5.2. Decay Rate
3.5.3. Total Count of Yeast and Mold
3.6. Effects of HT and TKL Coating Treatment on Physiological and Biochemical Characteristics of Blueberry
3.6.1. Ethylene Release Rate
3.6.2. Respiratory Intensity
3.6.3. Total Acid
3.6.4. Soluble Solid Content
3.6.5. L-ascorbic Acid
3.6.6. Anthocyanins
3.6.7. Texture Profile Analysis
3.6.8. Color
3.7. Effects of HT and TKL Coating Treatment on Flavor Compounds of Blueberry
3.7.1. Flavor
3.7.2. Sensory Evaluation
4. Conclusions
Author Contributions
Funding
Institutional Review Board Statement
Informed Consent Statement
Data Availability Statement
Acknowledgments
Conflicts of Interest
Appendix A
| Time | A % | B% | Flow Rate mL/min |
|---|---|---|---|
| 2 | 92 | 8 | 0.8 |
| 5 | 88 | 12 | 0.8 |
| 10 | 80 | 20 | 0.8 |
| 15 | 75 | 25 | 0.8 |
| 18 | 60 | 40 | 0.8 |
| 20 | 60 | 40 | 0.8 |
| 22 | 92 | 8 | 0.8 |
| 30 | 92 | 8 | 0.8 |
| Sequence Number | Classification | Molecular Formula | Components | RT | Match | R. Match | Chemical Abstracts Service | CK | HT1 | HT2 | HT3 | ||||||||
|---|---|---|---|---|---|---|---|---|---|---|---|---|---|---|---|---|---|---|---|
| 0 d | 14 d | 28 d | 0 d | 14 d | 28 d | 0 d | 14 d | 28 d | 0 d | 14 d | 28 d | ||||||||
| 1 | esters | C3H6O2 | Methyl acetate | 1.899 | 847 | 853 | 79-20-9 | 1.05 | 1.72 | 1.62 | 1.95 | 3.68 | 2.46 | 1.76 | 2.31 | 2.60 | 1.44 | 0.60 | 1.08 |
| 2 | C4H8O2 | Ethyl acetate | 2.336 | 819 | 851 | 141-78-6 | 14.91 | 0.51 | 9.23 | 10.15 | 9.76 | 9.10 | 21.55 | 38.67 | 8.91 | 19.80 | 16.82 | 8.96 | |
| 3 | C6H12O2 | Isobutyl acetate | 4.849 | 590 | 769 | 110-19-0 | 0.06 | 0.22 | 0.15 | 0.13 | 0.11 | ||||||||
| 4 | C6H12O2 | Methyl isovalerate | 4.930 | 722 | 778 | 556-24-1 | 0.10 | 0.27 | 0.08 | 0.28 | 0.26 | 0.15 | 0.09 | 0.25 | 0.14 | 0.27 | 0.38 | 0.13 | |
| 5 | C6H10O2 | Methyl 3-methyl-2-butenoate | 7.281 | 784 | 874 | 924-50-5 | 0.34 | 0.15 | 0.32 | 0.19 | 0.25 | 0.05 | 0.25 | 0.25 | 0.06 | ||||
| 6 | C7H14O2 | Ethyl 2-methyl butyrate | 7.439 | 907 | 920 | 7452-79-1 | 0.08 | 0.08 | 0.04 | ||||||||||
| 7 | C7H14O2 | Ethyl isovalerate | 7.703 | 693 | 769 | 108-64-5 | 0.39 | 0.10 | 0.15 | 0.79 | 1.11 | 0.18 | |||||||
| 8 | C6H12O3 | Methyl-3-hydroxy-3-methyl butanoate | 8.727 | 601 | 898 | 6149-45-7 | 0.14 | 0.10 | 0.42 | 0.30 | 0.20 | ||||||||
| 9 | C8H16O2 | Ethyl hexanoate | 15.719 | 585 | 758 | 123-66-0 | 0.08 | 0.08 | |||||||||||
| 10 | C8H8O3 | Methyl salicylate | 28.296 | 748 | 807 | 119-36-8 | 0.14 | 0.51 | 0.59 | 0.22 | 0.30 | 0.11 | 0.15 | 0.10 | 0.28 | ||||
| 11 | Aldehyde | C5H10O | 2-methylbutanal | 2.729 | 741 | 794 | 96-17-3 | 0.51 | 0.26 | 0.36 | 0.30 | 0.27 | 0.20 | 0.19 | |||||
| 12 | C5H10O | Isovaleraldehyde | 2.740 | 764 | 832 | 590-86-3 | 0.16 | 0.35 | 0.10 | 0.41 | 0.45 | 0.12 | 0.19 | 0.09 | 0.35 | 0.07 | |||
| 13 | C5H10O | Pentanal | 3.165 | 825 | 866 | 110-62-3 | 0.18 | 0.86 | 0.54 | 0.85 | 0.41 | 0.13 | 0.39 | 0.73 | |||||
| 14 | C6H12O | Hexanal | 5.370 | 735 | 868 | 66-25-1 | 0.62 | 2.74 | 0.18 | 3.06 | 1.50 | 0.13 | 0.66 | 0.83 | 0.09 | 0.41 | 2.62 | 2.26 | |
| 15 | C6H10O | 2-hexenal | 7.626 | 895 | 907 | 505-57-7 | 0.10 | 0.59 | 1.73 | 4.03 | 0.17 | 0.84 | 0.55 | 0.98 | |||||
| 16 | C2H4O | Acetaldehyde | 8.070 | 553 | 996 | 75-07-0 | 0.03 | 0.11 | 0.09 | ||||||||||
| 17 | C7H14O | Heptanal | 9.952 | 730 | 813 | 111-71-7 | 0.15 | 0.13 | 0.12 | 0.12 | |||||||||
| 18 | C7H6O | Benzaldehyde | 13.093 | 810 | 889 | 100-52-7 | 0.22 | 0.63 | 0.33 | 1.00 | 0.86 | 0.24 | 0.49 | 0.40 | 0.24 | 1.46 | |||
| 19 | C8H8O | Phenylacetaldehyde | 18.324 | 836 | 881 | 122-78-1 | 0.12 | 0.27 | 0.26 | 0.23 | 0.23 | ||||||||
| 20 | C9H18O | Nonanal | 22.683 | 799 | 854 | 124-19-6 | 0.40 | 0.43 | 0.35 | 0.69 | 0.45 | 0.32 | 0.19 | 0.40 | 0.35 | 0.31 | 0.55 | 0.32 | |
| 21 | alcohols | C2H6O | Ethanol | 1.316 | 924 | 927 | 64-17-5 | 5.77 | 3.29 | 1.62 | 2.52 | 3.62 | 1.26 | 6.48 | 9.30 | 2.88 | 6.81 | 8.01 | 4.10 |
| 22 | C4H10O | Isobutanol | 2.461 | 830 | 859 | 78-83-1 | 1.35 | 0.35 | 0.26 | 0.82 | 0.77 | 2.95 | 0.13 | 1.46 | 0.68 | ||||
| 23 | C5H10O | 1-Penten-3-ol | 3.077 | 807 | 813 | 616-25-1 | 0.38 | 0.08 | 0.30 | 0.57 | 0.64 | 0.27 | 0.30 | 0.29 | 0.50 | 0.35 | 0.44 | ||
| 24 | C5H12O | isoamylol | 3.983 | 875 | 877 | 123-51-3 | 5.75 | 1.10 | 2.90 | 4.16 | 0.08 | 3.63 | 1.30 | 0.18 | 2.08 | 7.48 | 0.72 | ||
| 25 | C5H12O | Pentanol | 4.750 | 861 | 882 | 71-41-0 | 1.15 | 1.57 | 0.61 | 1.23 | 1.73 | 0.49 | 0.65 | 0.89 | 0.51 | 1.13 | 0.80 | ||
| 26 | C6H12O | Trans-2-Hexen-1-ol | 8.045 | 572 | 699 | 928-95-0 | 1.68 | 2.18 | 0.33 | 3.07 | 1.74 | 0.21 | 0.16 | 0.33 | |||||
| 27 | C6H14O | Hexan-1-ol | 8.400 | 865 | 865 | 111-27-3 | 3.20 | 22.78 | 5.30 | 4.24 | 21.45 | 5.37 | 2.66 | 4.84 | 3.85 | 2.73 | 4.76 | 5.05 | |
| 28 | C7H16O | 2-Heptanol | 10.007 | 676 | 735 | 543-49-7 | 0.94 | 0.21 | 0.35 | 0.17 | 0.10 | 0.40 | 0.23 | ||||||
| 29 | C8H16O | Oct-1-en-3-ol | 14.487 | 839 | 841 | 3391-86-4 | 2.23 | 0.90 | 0.29 | 2.83 | 3.49 | 0.32 | 1.15 | 1.49 | 1.44 | 4.93 | 0.34 | ||
| 30 | C10H18O | Cineole | 17.558 | 780 | 793 | 470-82-6 | 7.62 | 10.65 | 9.38 | 9.83 | 3.96 | 6.92 | 9.77 | ||||||
| 31 | C10H18O | Linalool | 22.338 | 873 | 880 | 78-70-6 | 10.24 | 9.39 | 2.09 | 9.76 | 11.49 | 1.25 | 3.74 | 5.50 | 1.32 | 4.00 | 6.77 | 1.47 | |
| 32 | C8H10O | Phenylethyl alcohol | 22.947 | 872 | 902 | 60-12-8 | 0.50 | 0.20 | 0.09 | 0.10 | 0.39 | 0.68 | 0.67 | 1.03 | 0.28 | ||||
| 33 | C10H18O | 4-terpineol | 27.573 | 787 | 796 | 562-74-3 | 2.86 | 1.60 | 1.13 | 2.98 | 2.88 | 1.26 | 1.31 | 2.04 | 1.15 | 2.08 | 2.22 | 0.93 | |
| 34 | C10H18O | α-Terpineol | 28.619 | 803 | 810 | 10482-56-1 | 6.81 | 1.84 | 1.62 | 1.22 | 0.67 | 0.98 | 1.44 | ||||||
| 35 | Terpenoids | C10H16 | β-pinene | 14.058 | 776 | 821 | 127-91-3 | 0.67 | 0.88 | 0.67 | 0.58 | 0.32 | 0.81 | ||||||
| 36 | C10H16 | Terpinolene | 16.629 | 785 | 830 | 586-62-9 | 1.11 | 0.43 | 5.48 | 1.41 | 0.99 | 5.20 | 0.93 | 4.96 | 1.63 | 1.31 | 4.91 | ||
| 37 | C10H16 | (+)-Limonene | 17.429 | 896 | 899 | 5989-27-5 | 13.08 | 21.33 | 64.11 | 16.88 | 10.82 | 63.36 | 4.56 | 12.32 | 65.83 | 22.40 | 17.22 | 62.64 | |
| 38 | C10H16 | α-Terpinene | 21.204 | 830 | 828 | 99-86-5 | 0.58 | 0.44 | 0.76 | ||||||||||
| 39 | ketones | C4H8O2 | Acetoin | 3.550 | 780 | 815 | 513-86-0 | 0.95 | 0.35 | 0.15 | 0.87 | 0.45 | 1.19 | 0.76 | 0.59 | 0.83 | 0.68 | 0.43 | |
| 40 | C8H14O | Sulcatone | 14.751 | 869 | 894 | 110-93-0 | 0.64 | 0.86 | 0.33 | 0.82 | 0.77 | 0.29 | 0.25 | 0.47 | 0.30 | 0.61 | 0.86 | 0.36 | |
| 41 | Acid | C4H8O2 | Acetic acid | 2.652 | 867 | 885 | 64-19-7 | 21.04 | 0.47 | 14.44 | 0.29 | 41.42 | 2.66 | 28.27 | 1.75 | ||||
| 42 | C8H14O | Isobutyric acid | 4.409 | 701 | 822 | 79-31-2 | 0.10 | 0.24 | 0.15 | 0.04 | |||||||||
| 43 | Others | C2H4O2 | 2,3-DHF | 2.696 | 814 | 862 | 1191-99-7 | 0.28 | 0.32 | 0.13 | 0.06 | ||||||||
| 44 | C4H8O2 | p-cymene | 17.125 | 868 | 870 | 99-87-6 | 2.01 | 2.00 | 2.18 | 1.82 | 0.66 | 1.74 | 2.06 | ||||||
| 45 | (4-methyl-1-propan-2-ylcyclohex-3-en-1-yl) acetate | 22.037 | 653 | 763 | 4821-04-9 | 1.10 | 0.24 | 0.24 | 0.20 | ||||||||||
| 46 | C4H6O | 4-Allylanisole | 28.857 | 917 | 924 | 140-67-0 | 1.05 | 2.66 | 0.48 | 1.95 | 0.61 | 0.26 | 0.44 | 0.96 | 0.34 | 1.38 | 0.33 | ||
| 47 | C10H14 | Benzothiazole | 30.284 | 798 | 822 | 95-16-9 | 0.10 | 0.13 | 0.35 | 0.34 | 0.43 | ||||||||
References
- Shi, M.; Loftus, H.; McAinch, A.J.; Su, X.Q. Blueberry as a source of bioactive compounds for the treatment of obesity, type 2 diabetes and chronic inflammation. J. Funct. Foods 2017, 30, 16–29. [Google Scholar] [CrossRef]
- Li, Y.D.; Pei, J.B.; Chen, L.; Sun, H.Y. China Blueberry Industry Report 2020. J. Jilin Agric. Univ. 2021, 43, 1–8. [Google Scholar] [CrossRef]
- Zhou, Q.; Zhang, C.; Cheng, S.; Wei, B.; Liu, X.; Ji, S. Changes in energy metabolism accompanying pitting in blueberries stored at low temperature. Food Chem. 2014, 164, 493–501. [Google Scholar] [CrossRef] [PubMed]
- Maksimović, J.D.; Milivojević, J.; Djekić, I.; Radivojević, D.; Veberič, R.; Petkovšek, M.M. Changes in quality characteristics of fresh blueberries: Combined effect of cultivar and storage conditions. J. Food Compos. Anal. 2022, 111, 104597. [Google Scholar] [CrossRef]
- Xu, F.; Liu, S. Control of Postharvest Quality in Blueberry Fruit by Combined 1-Methylcyclopropene (1-MCP) and UV-C Irradiation. Food Bioprocess Technol. 2017, 10, 1695–1703. [Google Scholar] [CrossRef]
- Mehra, L.; MacLean, D.; Shewfelt, R.; Smith, K.; Scherm, H. Effect of postharvest biofumigation on fungal decay, sensory quality, and antioxidant levels of blueberry fruit. Postharvest Biol. Technol. 2013, 85, 109–115. [Google Scholar] [CrossRef]
- Fan, L.; Forney, C.; Song, J.; Doucette, C.; Jordan, M.; McRae, K.; Walker, B. Effect of Hot Water Treatments on Quality of Highbush Blueberries. J. Food Sci. 2008, 73, M292–M297. [Google Scholar] [CrossRef]
- Mannozzi, C.; Cecchini, J.P.; Tylewicz, U.; Siroli, L.; Patrignani, F.; Lanciotti, R.; Rocculi, P.; Dalla Rosa, M.; Romani, S. Study on the efficacy of edible coatings on quality of blueberry fruits during shelf-life. LWT Food Sci. Technol. 2017, 85, 440–444. [Google Scholar] [CrossRef]
- Zhou, Q.; Ma, C.; Cheng, S.; Wei, B.; Liu, X.; Ji, S. Changes in antioxidative metabolism accompanying pitting development in stored blueberry fruit. Postharvest Biol. Technol. 2013, 88, 88–95. [Google Scholar] [CrossRef]
- Falagan, N.; Miclo, T.; Terry, L.A. Graduated Controlled Atmosphere: A Novel Approach to Increase “Duke” Blueberry Storage Life. Front. Plant Sci. 2020, 11, 221. [Google Scholar] [CrossRef]
- Smrke, T.; Weber, N.C.; Veberic, R.; Hudina, M.; Jakopic, J. Modified Atmospheric CO2 Levels for Maintenance of Fruit Weight and Nutritional Quality upon Long-Term Storage in Blueberry (Vaccinium corymbosum L.) ‘Liberty’. Horticulturae 2021, 7, 478. [Google Scholar] [CrossRef]
- Nambeesan, S.U.; Doyle, J.W.; Capps, H.D.; Starns, C.; Scherm, H. Effect of Electronic Cold-PasteurizationTM (ECPTM) on Fruit Quality and Postharvest Diseases during Blueberry Storage. Horticulturae 2018, 4, 25. [Google Scholar] [CrossRef]
- González-Villagra, J.; Reyes-Díaz, M.; Alberdi, M.; Mora, M.L.; Ulloa-Inostroza, E.M.; Ribera-Fonseca, A.E. Impact of Cold-Storage and UV-C Irradiation Postharvest Treatments on Quality and Antioxidant Properties of Fruits from Blueberry Cultivars Grown in Southern Chile. J. Soil Sci. Plant Nutr. 2020, 20, 1751–1758. [Google Scholar] [CrossRef]
- Wang, C.Y.; Wang, S.Y.; Chen, C. Increasing Antioxidant Activity and Reducing Decay of Blueberries by Essential Oils. J. Agric. Food Chem. 2008, 56, 3587–3592. [Google Scholar] [CrossRef]
- Anjum, M.A.; Akram, H.; Zaidi, M.; Ali, S. Effect of gum arabic and Aloe vera gel based edible coatings in combination with plant extracts on postharvest quality and storability of ‘Gola’ guava fruits. Sci. Hortic. 2020, 271, 109506. [Google Scholar] [CrossRef]
- Pobiega, K.; Igielska, M.; Włodarczyk, P.; Gniewosz, M. The use of pullulan coatings with propolis extract to extend the shelf life of blueberry (Vaccinium corymbosum ) fruit. Int. J. Food Sci. Technol. 2020, 56, 1013–1020. [Google Scholar] [CrossRef]
- Qin, W.; Ding, J.; Li, Y.; Huang, B. Thymol Composite Biological Coating Preservative Used for Preserving Blueberry, Comprises Water, Calcium Stearoyl Lactylate, Polysaccharide and Thymol Microcapsule. China National Intellectual Property Administration CN202010919222.9, 5 April 2022. [Google Scholar]
- Kusajima, M.; Fujita, M.; Nishiuchi, T.; Nakashita, H.; Asami, T. Induction of tocopherol biosynthesis through heat shock treatment in Arabidopsis. Biosci. Biotechnol. Biochem. 2021, 85, 502–509. [Google Scholar] [CrossRef]
- Ge, M.; Zhang, L.; Ai, J.; Ji, R.; He, L.; Liu, C. Effect of heat shock and potassium sorbate treatments on gray mold and postharvest quality of ‘XuXiang’ kiwifruit. Food Chem. 2020, 324, 126891. [Google Scholar] [CrossRef]
- Wang, K.; Jin, P.; Shang, H.; Li, H.; Xu, F.; Hu, Q.; Zheng, Y. A combination of hot air treatment and nano-packing reduces fruit decay and maintains quality in postharvest Chinese bayberries. J. Sci. Food Agric. 2010, 90, 2427–2432. [Google Scholar] [CrossRef]
- Xue, J.; Huang, L.; Zhang, S.; Sun, H.; Gao, T. Study on the evaluation of carboxymethyl-chitosan concentration and temperature treatment on the quality of “Niuxin” persimmon during cold storage. J. Food Process. Preserv. 2020, 44, e14560. [Google Scholar] [CrossRef]
- Chang, X.; Lu, Y.; Li, Q.; Lin, Z.; Qiu, J.; Peng, C.; Brennan, C.S.; Guo, X. The Combination of Hot Air and Chitosan Treatments on Phytochemical Changes during Postharvest Storage of ‘Sanhua’ Plum Fruits. Foods 2019, 8, 338. [Google Scholar] [CrossRef] [PubMed]
- Dai, H.; Ji, S.; Zhou, X.; Wei, B.; Cheng, S.; Zhang, F.; Wang, S.; Zhou, Q. Postharvest effects of sodium nitroprusside treatment on membrane fatty acids of blueberry (vaccinium corymbosum, cv. Bluecrop) fruit. Sci. Hortic. 2021, 288, 110307. [Google Scholar] [CrossRef]
- Ding, J.; Liu, C.; Huang, P.; Zhang, Y.; Hu, X.; Li, H.; Liu, Y.; Chen, L.; Liu, Y.; Qin, W. Effects of thymol concentration on postharvest diseases and quality of blueberry fruit. Food Chem. 2023, 402, 134227. [Google Scholar] [CrossRef] [PubMed]
- Martínez, K.; Ortiz, M.; Albis, A.; Castañeda, C.G.G.; Valencia, M.E.; Grande Tovar, C.D. The Effect of Edible Chitosan Coatings Incorporated with Thymus capitatus Essential Oil on the Shelf-Life of Strawberry (Fragaria x ananassa) during Cold Storage. Biomolecules 2018, 8, 155. [Google Scholar] [CrossRef] [PubMed]
- Shi, J.; Xiao, Y.; Jia, C.; Zhang, H.; Gan, Z.; Li, X.; Yang, M.; Yin, Y.; Zhang, G.; Hao, J.; et al. Physiological and biochemical changes during fruit maturation and ripening in highbush blueberry (Vaccinium corymbosum L.). Food Chem. 2023, 410, 135299. [Google Scholar] [CrossRef]
- Cruz-Rus, E.; Amaya, I.; Sánchez-Sevilla, J.F.; Botella, M.Á.; Valpuesta, V. Regulation of L-ascorbic acid content in strawberry fruits. J. Exp. Bot. 2011, 62, 4191–4201. [Google Scholar] [CrossRef]
- Zhang, R.; Lan, W.; Ding, J.; Ahmed, S.; Qin, W.; He, L.; Liu, Y. Effect of PLA/PBAT Antibacterial Film on Storage Quality of Passion Fruit during the Shelf-Life. Molecules 2019, 24, 3378. [Google Scholar] [CrossRef]
- Ji, P.; Wang, C.B.; Wang, Q.; Pang, L.J.; Sun, A.Y. Quality and physiological changes of blueberry during low temperature controlled atmosphere storage. Anhui Agric. J. 2018, 24, 19–21. [Google Scholar] [CrossRef]
- Wenneng, W.; Qiqin, L.; Jiangkuo, L.; Chan, Y.; Rui, W. Isolation and identification of pathogens causing postharvest diseases of blueberry and screening of antimicrobial agents. North Hortic. 2019, 13, 58–64. [Google Scholar] [CrossRef]
- Qian, Z.; Xiao, F.; Shujuan, J.; Baodong, W.; Xin, Z.; Siyao, W.; Yajuan, W.; Jia, H. Isolation and identification of surface pathogenic fungi of blueberry fruit during storage at room temperature. J. Chin. Inst. Food Sci. Technol. 2020, 20, 271–279. [Google Scholar] [CrossRef]
- Alves, T.D.A.; Pinheiro, P.F.; Praça-Fontes, M.M.; Andrade-Vieira, L.F.; Corrêa, K.B.; Alves, T.D.A.; da Cruz, F.A.; Júnior, V.L.; Ferreira, A.; Soares, T.C.B. Toxicity of thymol, carvacrol and their respective phenoxyacetic acids in Lactuca sativa and Sorghum bicolor. Ind. Crop. Prod. 2018, 114, 59–67. [Google Scholar] [CrossRef]
- Kahramanoğlu, I.; Chen, C.; Chen, Y.; Chen, J.; Gan, Z.; Wan, C. Improving Storability of “Nanfeng” Mandarins by Treating with Postharvest Hot Water Dipping. J. Food Qual. 2020, 2020, 8524952. [Google Scholar] [CrossRef]
- Jiang, Y.; Yin, H.; Wang, D.; Zhong, Y.; Deng, Y. Combination of chitosan coating and heat shock treatments to maintain postharvest quality and alleviate cracking of Akebia trifoliate fruit during cold storage. Food Chem. 2022, 394, 133330. [Google Scholar] [CrossRef]
- Şen, F.; Kınay-Teksür, P.; Acarsoy, N.; Mısırlı, A. Postharvest hot water and sodium bicarbonate treatments to maintain quality and reduce decay development of ‘Hachiya’ persimmon fruits in storage. Acta Hortic. 2020, 1275, 245–252. [Google Scholar] [CrossRef]
- Ren, X.; Yue, S.; Xiang, H.; Xie, M. Inclusion complexes of eucalyptus essential oil with β-cyclodextrin: Preparation, characterization and controlled release. J. Porous Mater. 2018, 25, 1577–1586. [Google Scholar] [CrossRef]
- Piletti, R.; Zanetti, M.; Jung, G.; de Mello, J.M.M.; Dalcanton, F.; Soares, C.; Riella, H.; Fiori, M.A. Microencapsulation of garlic oil by β-cyclodextrin as a thermal protection method for antibacterial action. Mater. Sci. Eng. C 2018, 94, 139–149. [Google Scholar] [CrossRef]
- Wang, K.; Cao, S.; Jin, P.; Rui, H.; Zheng, Y. Effect of hot air treatment on postharvest mould decay in Chinese bayberry fruit and the possible mechanisms. Int. J. Food Microbiol. 2010, 141, 11–16. [Google Scholar] [CrossRef]
- Wang, C.; Gao, Y.; Tao, Y.; Wu, X.; Zhibo, C. Influence of γ-irradiation on the reactive-oxygen metabolism of blueberry fruit during cold storage. Innov. Food Sci. Emerg. Technol. 2017, 41, 397–403. [Google Scholar] [CrossRef]
- Medina-Jaramillo, C.; Quintero-Pimiento, C.; Gómez-Hoyos, C.; Zuluaga-Gallego, R.; López-Córdoba, A. Alginate-Edible Coatings for Application on Wild Andean Blueberries (Vaccinium meridionale Swartz): Effect of the Addition of Nanofibrils Isolated from Cocoa By-Products. Polymers 2020, 12, 824. [Google Scholar] [CrossRef]
- Medina-Jaramillo, C.; Quintero-Pimiento, C.; Díaz-Díaz, D.; Goyanes, S.; López-Córdoba, A. Improvement of Andean Blueberries Postharvest Preservation Using Carvacrol/Alginate-Edible Coatings. Polymers 2020, 12, 2352. [Google Scholar] [CrossRef]
- Yang, L.; Wang, X.; He, S.; Luo, Y.; Chen, S.; Shan, Y.; Wang, R.; Ding, S. Heat shock treatment maintains the quality attributes of postharvest jujube fruits and delays their senescence process during cold storage. J. Food Biochem. 2021, 45, e13937. [Google Scholar] [CrossRef] [PubMed]
- Lobos, G.A.; Callow, P.; Hancock, J.F. The effect of delaying harvest date on fruit quality and storage of late highbush blueberry cultivars (Vaccinium corymbosum L.). Postharvest Biol. Technol. 2014, 87, 133–139. [Google Scholar] [CrossRef]
- Xing, Y.; Yang, S.; Xu, Q.; Xu, L.; Zhu, D.; Li, X.; Shui, Y.; Liu, X.; Bi, X. Effect of Chitosan/Nano-TiO2 Composite Coating on the Postharvest Quality of Blueberry Fruit. Coatings 2021, 11, 512. [Google Scholar] [CrossRef]
- Ansorena, M.R.; Marcovich, N.E.; Roura, S.I. Impact of edible coatings and mild heat shocks on quality of minimally processed broccoli (Brassica oleracea L.) during refrigerated storage. Postharvest Biol. Technol. 2011, 59, 53–63. [Google Scholar] [CrossRef]
- Zhou, X.; Liu, L.; Li, J.; Wang, L.; Song, X. Extraction and Characterization of Cellulose from Jerusalem Artichoke Residue and Its Application in Blueberry Preservation. Foods 2022, 11, 1065. [Google Scholar] [CrossRef]
- Zhang, W.; Jiang, H.; Zhang, Y.; Cao, J.; Jiang, W. Synergistic effects of 1-MCP and hot air treatments on delaying softening and promoting anthocyanin biosynthesis in nectarines. Postharvest Biol. Technol. 2021, 180, 111598. [Google Scholar] [CrossRef]
- Xie, G.; Wang, X.; Wei, K.; Wang, R.; Cao, S.; Ji, N.; Yang, X. Effects of 1-methylcyclopropene on texture properties of Rabbiteye blueberry during long-term storage and simulated transportation. Food Sci. Technol. 2018, 38, 188–192. [Google Scholar] [CrossRef]
- Shi, W.; Su, S.; Li, B.; Yang, J.; Gong, Z.; Hou, Z. Molecular characterisation and expression analysis of a sHSP gene involved in heat shock treatment-induced chilling tolerance in highbush blueberry fruit. J. Hortic. Sci. Biotechnol. 2017, 92, 455–464. [Google Scholar] [CrossRef]
- Aghdam, M.S.; Sevillano, L.; Flores, F.B.; Bodbodak, S. Heat shock proteins as biochemical markers for postharvest chilling stress in fruits and vegetables. Sci. Hortic. 2013, 160, 54–64. [Google Scholar] [CrossRef]
- Qian, Y.P.L.; Zhou, Q.; Magana, A.A.; Qian, M.C. Comparative study of volatile composition of major Northern Highbush blueberry (Vaccinium corymbosum) varieties. J. Food Compos. Anal. 2022, 110, 104538. [Google Scholar] [CrossRef]
- Xu, F.; Liu, S.; Liu, Y.; Wang, S. Effect of mechanical vibration on postharvest quality and volatile compounds of blueberry fruit. Food Chem. 2021, 349, 129216. [Google Scholar] [CrossRef]
- Beaulieu, J.C.; Stein-Chisholm, R.E.; Boykin, D.L. Qualitative Analysis of Volatiles in Rabbiteye Blueberry Cultivars at Various Maturities Using Rapid Solid-phase Microextraction. J. Am. Soc. Hortic. Sci. 2014, 139, 167–177. [Google Scholar] [CrossRef]
- Vicente, A.; Martínez, G.A.; Civello, P.M.; Chaves, A.R. Quality of heat-treated strawberry fruit during refrigerated storage. Postharvest Biol. Technol. 2002, 25, 59–71. [Google Scholar] [CrossRef]
- Lydakis, D.; Aked, J. Vapour heat treatment of Sultanina table grapes. II: Effects on postharvest quality. Postharvest Biol. Technol. 2003, 27, 117–126. [Google Scholar] [CrossRef]







| Indicators | Scoring Criteria | Score |
|---|---|---|
| Smell | The flavor is excellent, the sugar acid ratio is very harmonious, and has a rich fragrance | 9 |
| Flavor coordination, sugar and acid ratio coordination, blueberry aroma is normal | 7 | |
| The flavor is ok, the sugar–acid ratio is not harmonious, the blueberry aroma is light | 5 | |
| The flavor is not harmonious, the sugar acid ratio is not harmonious, has a very sour taste | 3 | |
| The flavor is poor and almost inedible | 1 | |
| Taste | The pulp is chewy and juicy | 9 |
| Pulp chewing better, juice general | 7 | |
| Poor chewing, less juice | 5 | |
| Chewing is very poor, very little juice | 3 | |
| Non-chewable and almost inedible | 1 | |
| Tissue state | The peel has good elasticity and moderate hardness | 9 |
| The peel is elastic and slightly soft | 7 | |
| Peel elasticity is poor, easy to break, slanting and soft | 5 | |
| Poor peel elasticity, easy to crack, soft, poor degree of skin and flesh | 3 | |
| The skin is broken and almost inedible | 1 | |
| Color | Blueberry powder is complete and bright black | 9 |
| Blueberry powder is more complete, black | 7 | |
| Blueberry powder is pink and dark red | 5 | |
| Blueberry powder is less, showing burgundy | 3 | |
| No blueberry powder, red | 1 |
| TKL Composite Coating Concentration (mg/L) | Antifungal Activity (%) | Antioxidant Activity (%) | ||
|---|---|---|---|---|
| Penicillium expansum | Alternaria nees | Botrytis cinerea | ||
| 20 | 14.6 ± 3.9 b | 1.1 ± 1.0 c | 5.8 ± 1.9 c | 33.1 ± 0.4 b |
| 40 | 22.2 ± 5.8 b | 4.7 ± 3.1 bc | 55.8 ± 5.1 b | 34.1 ± 1.4 b |
| 60 | 37.3 ± 8.8 a | 10.9 ± 1.7 ab | 63.5 ± 6.5 ab | 47.9 ± 1.6 a |
| 80 | 40.2 ± 10.5 a | 12.4 ± 6.4 a | 67.3 ± 6.4 a | 49.3 ± 5.6 a |
| 100 | 50.3 ± 11.7 a | 16.7 ± 6.4 a | 71.7 ± 8.5 a | 54.6 ± 7.7 a |
| Index | Storage Time (d) | CK | 25 °C | 35 °C | 45 °C | 55 °C | 65 °C |
|---|---|---|---|---|---|---|---|
| Decay rate (%) | 0 | 0.0 ± 0.0 Ac | 0.0 ± 0.0 Ac | 0.0 ± 0.0 Ac | 0.0 ± 0.0 Ac | 0.0 ± 0.0 Ac | 0.0 ± 0.0 Ac |
| 4 | 13.6 ± 0.6 Ab | 11.9 ± 0.3 Bb | 9.8 ± 0.5 Cb | 9.3 ± 0.1 Cb | 8.2 ± 0.3 Db | 7.5 ± 0.9 Db | |
| 8 | 22.2 ± 0.6 Aa | 20.7 ± 0.3 Ba | 16.8 ± 1.1 Ca | 15.4 ± 0.8 Ca | 13.1 ± 0.7 Da | 12.2 ± 1.1 Da | |
| MDA content (nmol/g) | 0 | 6.7 ± 0.2 Ac | 6.7 ± 0.3 Ac | 6.1 ± 0.8 Ac | 6.3 ± 0.3 Ac | 6.1 ± 0.7 Ac | 6.2 ± 1.2 Ac |
| 4 | 18.2 ± 0.5 Ab | 17.6 ± 0.5 Ab | 14.8 ± 0.8 Bb | 13.0 ± 1.2 Bb | 11.9 ± 0.3 Cb | 10.2 ± 1.5 Cb | |
| 8 | 29.3 ± 0.9 Aa | 28.2 ± 0.3 Aa | 24.2 ± 2.3 Ba | 22.7 ± 0.6 Ba | 21.0 ± 0.9 Ca | 19.0 ± 1.7 Ca | |
| Cell membrane electrolyte leakage (%) | 0 | 46.8 ± 1.9 Ac | 45.4 ± 2.4 Ac | 44.4 ± 0.8 Ac | 44.9 ± 2.2 Ac | 45.8 ± 1.3 Ac | 45.9 ± 1.8 Ac |
| 4 | 72.9 ± 0.9 Ab | 68.6 ± 2.3 Bb | 64.9 ± 1.5 Cb | 62.7 ± 0.6 Cb | 59.3 ± 1.9 Db | 56.9 ± 2.9 Db | |
| 8 | 96.2 ± 2.7 Aa | 90.6 ± 2.1 Ba | 85.5 ± 2.2 Ca | 83.9 ± 3.1 Ca | 78.9 ± 1.3 Da | 76.5 ± 2.4 Da |
| Index | Group | Storage Time (d) | ||
|---|---|---|---|---|
| 0 | 14 | 28 | ||
| L* | CK | 14.29 ± 2.15 Ba | 10.59 ± 0.92 Bb | 9.05 ± 0.61 Cb |
| HT1 | 14.88 ± 1.22 Ba | 11 ± 0.59 Bb | 9.57 ± 0.48 BCc | |
| HT2 | 16.58 ± 1.41 Aa | 12.86 ± 1.76 Ab | 10.79 ± 0.64 Ac | |
| HT3 | 15.07 ± 0.33 ABa | 11.76 ± 0.44 ABb | 10.12 ± 0.4 Bc | |
| a* | CK | 0.4 ± 0.15 Ac | 0.71 ± 0.09 Ab | 1.46 ± 0.17 Aa |
| HT1 | 0.37 ± 0.44 Ab | 0.6 ± 0.1 Ab | 1.25 ± 0.33 Aa | |
| HT2 | 0.26 ± 0.15 Ab | 0.44 ± 0.4 Aab | 0.86 ± 0.64 Aa | |
| HT3 | 0.33 ± 0.3 Aa | 0.5 ± 0.3 Aa | 0.91 ± 0.78 Aa | |
| b* | CK | −2.54 ± 0.75 Ab | −1.7 ± 0.62 Aa | −1.12 ± 0.24 Aa |
| HT1 | −2.99 ± 0.72 ABc | −2.03 ± 0.72 Ab | −1.29 ± 0.14 Aa | |
| HT2 | −3.7 ± 0.32 Bc | −2.69 ± 0.34 Bb | −1.66 ± 0.52 Ba | |
| HT3 | −3.2 ± 0.63 ABc | −2.35 ± 0.5 ABb | −1.39 ± 0.18 ABa | |
Disclaimer/Publisher’s Note: The statements, opinions and data contained in all publications are solely those of the individual author(s) and contributor(s) and not of MDPI and/or the editor(s). MDPI and/or the editor(s) disclaim responsibility for any injury to people or property resulting from any ideas, methods, instructions or products referred to in the content. |
© 2023 by the authors. Licensee MDPI, Basel, Switzerland. This article is an open access article distributed under the terms and conditions of the Creative Commons Attribution (CC BY) license (https://creativecommons.org/licenses/by/4.0/).
Share and Cite
Liu, C.; Ding, J.; Huang, P.; Li, H.; Liu, Y.; Zhang, Y.; Hu, X.; Deng, S.; Liu, Y.; Qin, W. Use of Heat-Shock and Edible Coating to Improve the Postharvest Preservation of Blueberries. Foods 2023, 12, 789. https://doi.org/10.3390/foods12040789
Liu C, Ding J, Huang P, Li H, Liu Y, Zhang Y, Hu X, Deng S, Liu Y, Qin W. Use of Heat-Shock and Edible Coating to Improve the Postharvest Preservation of Blueberries. Foods. 2023; 12(4):789. https://doi.org/10.3390/foods12040789
Chicago/Turabian StyleLiu, Chunyan, Jie Ding, Peng Huang, Hongying Li, Yan Liu, Yuwei Zhang, Xinjie Hu, Shanggui Deng, Yaowen Liu, and Wen Qin. 2023. "Use of Heat-Shock and Edible Coating to Improve the Postharvest Preservation of Blueberries" Foods 12, no. 4: 789. https://doi.org/10.3390/foods12040789
APA StyleLiu, C., Ding, J., Huang, P., Li, H., Liu, Y., Zhang, Y., Hu, X., Deng, S., Liu, Y., & Qin, W. (2023). Use of Heat-Shock and Edible Coating to Improve the Postharvest Preservation of Blueberries. Foods, 12(4), 789. https://doi.org/10.3390/foods12040789

