Iron from Co-Encapsulation of Defatted Nannochloropsis Oceanica with Inulin Is Highly Bioavailable and Does Not Impact Wheat Flour Shelf Life or Sensorial Attributes
Abstract
1. Introduction
2. Materials and Methods
2.1. Materials
2.2. Preparation of DGM and Inulin Loaded Microcapsules
2.3. Particle Size Measurements and Morphology
2.4. Particle Yield
2.5. Animals, Diets and Management
2.6. Biochemical Measurements
2.7. Fortification and Storage
2.8. Iron Content
2.9. Oxidative Stability
2.10. Colorimetry
2.11. Moisture Content
2.12. Sensory Acceptance Study
2.13. Rotis Preparation
2.14. Statistical Analyses
3. Results and Discussion
3.1. Physical Stability, Morphology, Particle Yield and Encapsulation Efficiency of the Emulsion and Freeze-Dried Powder Encapsulates
3.2. Growth Performance and Hematological Profile of Mice
3.3. Effect of Storage on Ferrous Iron
3.4. Effect of Storage on Oxidative Stability
3.5. Effect of Storage on Color Attributes of Fortified Wheat Flour
3.6. Effect of Storage on Moisture Content
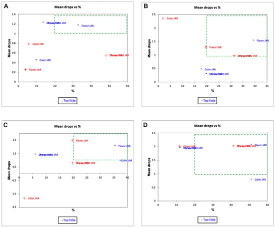
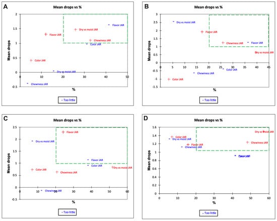
3.7. Sensory Study
4. Conclusions
Supplementary Materials
Author Contributions
Funding
Institutional Review Board Statement
Informed Consent Statement
Data Availability Statement
Acknowledgments
Conflicts of Interest
References
- GBD 2013 Anemia Collaborators; Kassebaum, N.J. The Global Burden of Anemia. Hematol. Oncol. Clin. N. Am. 2016, 30, 247–308. [Google Scholar] [CrossRef]
- Allen, L.; World Health Organization; Food and Agriculture Organization of the United Nations. Guidelines on Food Fortification with Micronutrients; World Health Organization: Geneva, Switzerland; Food and Agriculture Organization of the United Nations: Rome, Italy, 2006. [Google Scholar]
- Mehansho, H. Iron Fortification Technology Development: New Approaches. J. Nutr. 2006, 136, 1059–1063. [Google Scholar] [CrossRef]
- Hurrell, R.F. Preventing Iron Deficiency through Food Fortification. Nutr. Rev. 1997, 55, 210–222. [Google Scholar] [CrossRef]
- Gouveia, L.; Batista, A.P.; Sousa, I.; Raymundo, A.; Bandarra, N.M. Microalgae in Novel Food Products. In Food Chemistry Research Developments; Nova Science Publishers: Hauppauge, NY, USA, 2008; pp. 75–112. ISBN 978-1-60456-262-0. [Google Scholar]
- Becker, E.W. Micro-Algae as a Source of Protein. Biotechnol. Adv. 2007, 25, 207–210. [Google Scholar] [CrossRef]
- Palabiyik, I.; Durmaz, Y.; Öner, B.; Toker, O.S.; Coksari, G.; Konar, N.; Tamtürk, F. Using Spray-Dried Microalgae as a Natural Coloring Agent in Chewing Gum: Effects on Color, Sensory, and Textural Properties. J. Appl. Phycol. 2018, 30, 1031–1039. [Google Scholar] [CrossRef]
- Fradique, M.; Batista, A.P.; Nunes, M.C.; Gouveia, L.; Bandarra, N.M.; Raymundo, A. Isochrysis Galbana and Diacronema Vlkianum Biomass Incorporation in Pasta Products as PUFA’s Source. LWT-Food Sci. Technol. 2013, 50, 312–319. [Google Scholar] [CrossRef]
- Tańska, M.; Konopka, I.; Ruszkowska, M. Sensory, Physico-Chemical and Water Sorption Properties of Corn Extrudates Enriched with Spirulina. Plant Foods Hum. Nutr. 2017, 72, 250–257. [Google Scholar] [CrossRef] [PubMed]
- Manor, M.L.; Kim, J.; Derksen, T.J.; Schwartz, R.L.; Roneker, C.A.; Bhatnagar, R.S.; Lei, X.G. Defatted Microalgae Serve as a Dual Dietary Source of Highly Bioavailable Iron and Protein in an Anemic Pig Model. Algal Res. 2017, 26, 409–414. [Google Scholar] [CrossRef]
- Bhatnagar, R.S.; Miller, D.D.; Padilla-Zakour, O.I.; Lei, X. Supplemental Microalgal Iron Helps Replete Blood Hemoglobin in Moderately Anemic Mice Fed a Rice-Based Diet. Nutrients 2020, 12, 2239. [Google Scholar] [CrossRef] [PubMed]
- Marco, E.R.D.; Steffolani, M.E.; Martínez, M.; León, A.E. The Use of Nannochloropsis sp. as a Source of Omega-3 Fatty Acids in Dry Pasta: Chemical, Technological and Sensory Evaluation. Int. J. Food Sci. Technol. 2018, 53, 499–507. [Google Scholar] [CrossRef]
- Gheysen, L.; Lagae, N.; Devaere, J.; Goiris, K.; Goos, P.; Bernaerts, T.; Van Loey, A.; De Cooman, L.; Foubert, I. Impact of Nannochloropsis sp. Dosage Form on the Oxidative Stability of n-3 LC-PUFA Enriched Tomato Purees. Food Chem. 2019, 279, 389–400. [Google Scholar] [CrossRef] [PubMed]
- Bhatnagar, R.S.; Padilla-Zakour, O.I. Plant-Based Dietary Practices and Socioeconomic Factors That Influence Anemia in India. Nutrients 2021, 13, 3538. [Google Scholar] [CrossRef] [PubMed]
- Huma, N.; Rehman, S.U.; Awan, J.A.; Murtaza, M.A.; Arshad, M.U. Effect of Packaging Materials on the Quality of Iron-Fortified Wholemeal Flour During Storage. J. Food Process. Preserv. 2007, 31, 659–670. [Google Scholar] [CrossRef]
- Wegmüller, R.; Zimmermann, M.B.; Moretti, D.; Arnold, M.; Langhans, W.; Hurrell, R.F. Particle Size Reduction and Encapsulation Affect the Bioavailability of Ferric Pyrophosphate in Rats. J. Nutr. 2004, 134, 3301–3304. [Google Scholar] [CrossRef]
- Zimmermann, M.B. Encapsulation of Iron and Other Micronutrients for Food Fortification. In Encapsulation Technologies for Active Food Ingredients and Food Processing; Zuidam, N.J., Nedovic, V., Eds.; Springer: New York, NY, USA, 2010; pp. 187–209. ISBN 978-1-4419-1007-3. [Google Scholar]
- Ravanfar, R.; Comunian, T.A.; Dando, R.; Abbaspourrad, A. Optimization of Microcapsules Shell Structure to Preserve Labile Compounds: A Comparison between Microfluidics and Conventional Homogenization Method. Food Chem. 2018, 241, 460–467. [Google Scholar] [CrossRef]
- Zhong, Q.; Jin, M. Nanoscalar Structures of Spray-Dried Zein Microcapsules and in Vitro Release Kinetics of the Encapsulated Lysozyme as Affected by Formulations. J. Agric. Food Chem. 2009, 57, 3886–3894. [Google Scholar] [CrossRef]
- National Research Council; Commission on Life Sciences; Food and Nutrition Board; Subcommittee on the Tenth Edition of the Recommended Dietary Allowance. Recommended Dietary Allowances, 10th ed.; National Academies Press: Washington, DC, USA, 1989; ISBN 978-0-309-53606-6. [Google Scholar]
- South, P.K.; Lei, X.; Miller, D.D. Meat Enhances Nonheme Iron Absorption in Pigs. Nutr. Res. 2000, 20, 1749–1759. [Google Scholar] [CrossRef]
- Food Safety and Standards Authority of India. Large-Scale Food Fortification in India: The Journey So Far and Road Ahead; Food Safety and Standards Authority of India: New Delhi, India, 2017.
- Cassone, D.R.; Duffin, M.A.; Gannon, D.L.; Hansen, T.S.; Haynes, L.C.; Manns, J.M.; Pracek, A.; Worfolk, P.; Zhao, B.; Zhou, N.; et al. Method to Extend Whole Grain Flour and Product Shelf Life. WO2012142399A2, 18 October 2012. [Google Scholar]
- Ahmed, M.S.H. Effect of Storage Temperature and Periods on Some Characteristics of Wheat Flour Quality. Food Nutr. Sci. 2015, 6, 1148–1159. [Google Scholar] [CrossRef]
- Goyal, P.; Chugh, L.K.; Berwal, M.K. Storage Effects on Flour Quality of Commonly Consumed Cereals. J. Appl. Nat. Sci. 2017, 9, 551–555. [Google Scholar] [CrossRef]
- Tan, S.Y.; Yeung, C.K.; Tako, E.; Glahn, R.P.; Welch, R.M.; Lei, X.; Miller, D.D. Iron Bioavailability to Piglets from Red and White Common Beans (Phaseolus Vulgaris). J. Agric. Food Chem. 2008, 56, 5008–5014. [Google Scholar] [CrossRef]
- Kosse, J.S.; Yeung, A.C.; Gil, A.I.; Miller, D.D. A Rapid Method for Iron Determination in Fortified Foods. Food Chem. 2001, 75, 371–376. [Google Scholar] [CrossRef]
- Buege, J.A.; Aust, S.D. [30] Microsomal Lipid Peroxidation. In Methods in Enzymology; Fleischer, S., Packer, L., Eds.; Biomembranes-Part C: Biological Oxidations; Academic Press: Cambridge, MA, USA, 1978; Volume 52, pp. 302–310. [Google Scholar]
- Hunter, R.S. Photoelectric Color Difference Meter. J. Opt. Soc. Am. 1958, 48, 985–995. [Google Scholar] [CrossRef]
- AOAC. Official Methods of Analysis; AOAC: Rockville, MD, USA, 2019; Volume 1, p. 771. [Google Scholar]
- Lawless, H.T.; Heymann, H. Sensory Evaluation of Food: Principles and Practices, 2nd ed.; Food Science Text Series; Springer: New York, NY, USA, 2010; ISBN 978-1-4419-6487-8. [Google Scholar]
- Ishii, F.; Sasaki, I.; Ogata, H. Effect of Phospholipid Emulsifiers on Physicochemical Properties of Intravenous Fat Emulsions and/or Drug Carrier Emulsions. J. Pharm. Pharmacol. 1990, 42, 513–515. [Google Scholar] [CrossRef] [PubMed]
- Akhtar, M.; Dickinson, E. Whey Protein–Maltodextrin Conjugates as Emulsifying Agents: An Alternative to Gum Arabic. Food Hydrocoll. 2007, 21, 607–616. [Google Scholar] [CrossRef]
- United Nations Children’s Fund; United Nations University; World Health Organization. Iron Deficiency Anemia: Assessment, Prevention, and Control. A Guide for Programme Managers; World Health Organization: Geneva, Switzerland, 2001. [Google Scholar]
- Sonnweber, T.; Ress, C.; Nairz, M.; Theurl, I.; Schroll, A.; Murphy, A.T.; Wroblewski, V.; Witcher, D.R.; Moser, P.; Ebenbichler, C.F.; et al. High-Fat Diet Causes Iron Deficiency via Hepcidin-Independent Reduction of Duodenal Iron Absorption. J. Nutr. Biochem. 2012, 23, 1600–1608. [Google Scholar] [CrossRef]
- Aslam, M.F.; Frazer, D.M.; Faria, N.; Bruggraber, S.F.A.; Wilkins, S.J.; Mirciov, C.; Powell, J.J.; Anderson, G.J.; Pereira, D.I.A. Ferroportin Mediates the Intestinal Absorption of Iron from a Nanoparticulate Ferritin Core Mimetic in Mice. FASEB J. 2014, 28, 3671–3678. [Google Scholar] [CrossRef]
- Soe-Lin, S.; Apte, S.S.; Andriopoulos, B.; Andrews, M.C.; Schranzhofer, M.; Kahawita, T.; Garcia-Santos, D.; Ponka, P. Nramp1 Promotes Efficient Macrophage Recycling of Iron Following Erythrophagocytosis in Vivo. Proc. Natl. Acad. Sci. USA 2009, 106, 5960–5965. [Google Scholar] [CrossRef]
- Yu, Y.; Jiang, L.; Wang, H.; Shen, Z.; Cheng, Q.; Zhang, P.; Wang, J.; Wu, Q.; Fang, X.; Duan, L.; et al. Hepatic Transferrin Plays a Role in Systemic Iron Homeostasis and Liver Ferroptosis. Blood 2020, 136, 726–739. [Google Scholar] [CrossRef]
- Cherukuri, S.; Potla, R.; Sarkar, J.; Nurko, S.; Harris, Z.L.; Fox, P.L. Unexpected Role of Ceruloplasmin in Intestinal Iron Absorption. Cell Metab. 2005, 2, 309–319. [Google Scholar] [CrossRef]
- Marques, O.; Neves, J.; Horvat, N.K.; Colucci, S.; Guida, C.; Muckenthaler, M.U. Iron-Related Parameters Are Altered Between C57BL/6N and C57BL/6J Mus Musculus Wild-Type Substrains. HemaSphere 2019, 3, e304. [Google Scholar] [CrossRef]
- Neumann, U.; Derwenskus, F.; Gille, A.; Louis, S.; Schmid-Staiger, U.; Briviba, K.; Bischoff, S.C. Bioavailability and Safety of Nutrients from the Microalgae Chlorella Vulgaris, Nannochloropsis Oceanica and Phaeodactylum Tricornutum in C57BL/6 Mice. Nutrients 2018, 10, 965. [Google Scholar] [CrossRef] [PubMed]
- Zanella, L.; Vianello, F. Microalgae of the Genus Nannochloropsis: Chemical Composition and Functional Implications for Human Nutrition. J. Funct. Foods 2020, 68, 103919. [Google Scholar] [CrossRef]
- Martinez, F.E.; Vannucchi, H. Bioavailability of Iron Added to the Diet by Cooking Food in an Iron Pot. Nutr. Res. 1986, 6, 421–428. [Google Scholar] [CrossRef]
- Rehman, S.U.; Anjum, S.A.; Anjum, F.M. Storage Stability of Ferrous Iron in Whole Wheat Flour Naan Production. J. Food Process. Preserv. 2006, 30, 323–334. [Google Scholar] [CrossRef]
- Li, Y.O.; Diosady, L.L.; Wesley, A.S. Iodine Stability in Iodized Salt Dual Fortified with Microencapsulated Ferrous Fumarate Made by an Extrusion-Based Encapsulation Process. J. Food Eng. 2010, 99, 232–238. [Google Scholar] [CrossRef]
- Furia, T.E.; Chemical Rubber Company (Eds.) CRC Handbook of Food Additives, 2nd ed.; CRC Press: Cleveland, OH, USA, 1972; ISBN 978-0-87819-542-8. [Google Scholar]
- Ekholm, P.; Virkki, L.; Ylinen, M.; Johansson, L. The Effect of Phytic Acid and Some Natural Chelating Agents on the Solubility of Mineral Elements in Oat Bran. Food Chem. 2003, 80, 165–170. [Google Scholar] [CrossRef]
- Cho, Y.-J.; Alamed, J.; McClements, D.J.; Decker, E.A. Ability of Chelators to Alter the Physical Location and Prooxidant Activity of Iron in Oil-in-Water Emulsions. J. Food Sci. 2003, 68, 1952–1957. [Google Scholar] [CrossRef]
- McKie, A.T.; Barrow, D.; Latunde-Dada, G.O.; Rolfs, A.; Sager, G.; Mudaly, E.; Mudaly, M.; Richardson, C.; Barlow, D.; Bomford, A.; et al. An Iron-Regulated Ferric Reductase Associated with the Absorption of Dietary Iron. Science 2001, 291, 1755–1759. [Google Scholar] [CrossRef]
- Ayala, A.; Muñoz, M.F.; Argüelles, S. Lipid Peroxidation: Production, Metabolism, and Signaling Mechanisms of Malondialdehyde and 4-Hydroxy-2-Nonenal. Oxidative Med. Cell. Longev. 2014, 2014, 360438. [Google Scholar] [CrossRef]
- Estévez, M.; Ventanas, S.; Cava, R. Physicochemical Properties and Oxidative Stability of Liver Pâté as Affected by Fat Content. Food Chem. 2005, 92, 449–457. [Google Scholar] [CrossRef]
- Kozłowska, M.; Gruczyńska, E. Comparison of the Oxidative Stability of Soybean and Sunflower Oils Enriched with Herbal Plant Extracts. Chem. Pap. 2018, 72, 2607–2615. [Google Scholar] [CrossRef] [PubMed]
- Szterk, A.; Roszko, M.; Sosińska, E.; Derewiaka, D.; Lewicki, P.P. Chemical Composition and Oxidative Stability of Selected Plant Oils. J. Am. Oil Chem. Soc. 2010, 87, 637–645. [Google Scholar] [CrossRef]
- Wang, G.; Wang, T. Oxidative Stability of Egg and Soy Lecithin as Affected by Transition Metal Ions and PH in Emulsion. J. Agric. Food Chem. 2008, 56, 11424–11431. [Google Scholar] [CrossRef] [PubMed]
- Cengiz, A.; Kahyaoglu, T.; Schröen, K.; Berton-Carabin, C. Oxidative Stability of Emulsions Fortified with Iron: The Role of Liposomal Phospholipids. J. Sci. Food Agric. 2019, 99, 2957–2965. [Google Scholar] [CrossRef]
- Choe, E.; Min, D.B. Mechanisms and Factors for Edible Oil Oxidation. Compr. Rev. Food Sci. Food Saf. 2006, 5, 169–186. [Google Scholar] [CrossRef]
- de Alencar, E.R.; Faroni, L.R.D.; Peternelli, L.A.; da Silva, M.T.C.; Costa, A.R. Influence of Soybean Storage Conditions on Crude Oil Quality. Rev. Bras. Eng. Agríc. Ambient. 2010, 14, 303–308. [Google Scholar] [CrossRef]
- Li, Y.; Diosady, L.L.; Jankowski, S. Stability of Vitamin B1 in Ultra Rice® in the Presence of Encapsulated Ferrous Fumarate. Int. J. Food Sci. Nutr. 2008, 59, 24–33. [Google Scholar] [CrossRef]
- Lunn, J.; Theobald, H.E. The Health Effects of Dietary Unsaturated Fatty Acids. Nutr. Bull. 2006, 31, 178–224. [Google Scholar] [CrossRef]
- Mcclements, D.J.; Decker, E.A. Lipid Oxidation in Oil-in-Water Emulsions: Impact of Molecular Environment on Chemical Reactions in Heterogeneous Food Systems. J. Food Sci. 2000, 65, 1270–1282. [Google Scholar] [CrossRef]
- Lund, M.N.; Ray, C.A. Control of Maillard Reactions in Foods: Strategies and Chemical Mechanisms. J. Agric. Food Chem. 2017, 65, 4537–4552. [Google Scholar] [CrossRef]
- Davies, C.G.A.; Netto, F.M.; Glassenap, N.; Gallaher, C.M.; Labuza, T.P.; Gallaher, D.D. Indication of the Maillard Reaction during Storage of Protein Isolates. J. Agric. Food Chem. 1998, 46, 2485–2489. [Google Scholar] [CrossRef]
- Kim, M.N.; Saltmarch, M.; Labuza, T.P. Non-Enzymatic Browning of Hygroscopic Whey Powders in Open Versus Sealed Pouches. J. Food Process. Preserv. 1981, 5, 49–57. [Google Scholar] [CrossRef]
- Saltmarch, M.; Labuza, T. Nonenzymatic Browning via the Maillard Reaction in Foods. Diabetes 1982, 31, 29–36. [Google Scholar] [CrossRef]
- Mellican, R.I.; Li, J.; Mehansho, H.; Nielsen, S.S. The Role of Iron and the Factors Affecting Off-Color Development of Polyphenols. J. Agric. Food Chem. 2003, 51, 2304–2316. [Google Scholar] [CrossRef] [PubMed]
- Delcour, J.; Hoseney, R.C. Storage of Cereals. In Principles of Cereal Science and Technology; AACC International: St. Paul, MN, USA, 2010; pp. 107–120. ISBN 1-891127-63-2. [Google Scholar]
- Akhtar, S.; Anjum, F.M.; Anjum, M.A. Micronutrient Fortification of Wheat Flour: Recent Development and Strategies. Food Res. Int. 2011, 44, 652–659. [Google Scholar] [CrossRef]
- Clydesdale, F.M. Color: Origin, Stability, Measurement, and Quality. In Food Storage Stability; CRC Press: Boca Raton, FL, USA, 1997; pp. 175–190. ISBN 978-1-4200-4898-8. [Google Scholar]
- Alam, S.; Shah, H.U.; Saleemullah; Riaz, A. Comparative Studies on Storage Stability of Ferrous Iron in Whole Wheat Flour and Flat Bread (Naan). Int. J. Food Sci. Nutr. 2007, 58, 54–62. [Google Scholar] [CrossRef]
- Parimala, K.R.; Sudha, M.L. Wheat-Based Traditional Flat Breads of India. Crit. Rev. Food Sci. Nutr. 2015, 55, 67–81. [Google Scholar] [CrossRef]
- Sidhu, J.S.; Al-Saqer, J.; Al-Zenki, S. Comparison of Methods for the Assessment of the Extent of Staling in Bread. Food Chem. 1997, 58, 161–167. [Google Scholar] [CrossRef]
- Zanoni, B.; Peri, C.; Pierucci, S. A Study of the Bread-Baking Process. I: A Phenomenological Model. J. Food Eng. 1993, 19, 389–398. [Google Scholar] [CrossRef]
- Moskowitz, H. Base Size in Product Testing: A Psychophysical Viewpoint and Analysis. Food Qual. Prefer. 1997, 8, 247–255. [Google Scholar] [CrossRef]
- Plaehn, D.; Horne, J. A Regression-Based Approach for Testing Significance of “Just-about-Right” Variable Penalties. Food Qual. Prefer. 2008, 19, 21–32. [Google Scholar] [CrossRef]
- Hegde, S.; Nair, L.P.; Chandran, H.; Irshad, H. Traditional Indian Way of Eating—An Overview. J. Ethn. Foods 2018, 5, 20–23. [Google Scholar] [CrossRef]














| Fortified 50% of Standard (17.5 mg Fe/kg) (% w/w) | Fortified 100% of Standard (35 mg Fe/kg) (% w/w) | |
|---|---|---|
| Encapsulated DGM (EC) | 4.375 | 8.750 |
| Color-masked DGM (CM) | 1.607 | 3.214 |
| Defatted Nannochloropsis oceanica (DGM) | 0.607 | 1.215 |
| Days | Volume Weighted Mean D(4,3) () | Surface Weighted Mean D(3,2) () |
|---|---|---|
| 0 | 0.637 0.002 | 0.119 0.001 |
| 21 | 0.649 0.007 | 0.119 0.001 |
| 42 | 0.630 0.004 | 0.119 0.001 |
| ID | DGM | EC50 | EC100 | ||
|---|---|---|---|---|---|
| Body weight (g) | Week 0 | 17.47 0.64 | 17.98 0.69 | 17.99 0.59 | 17.71 0.93 |
| Week 4 | 21.08 0.92 | 20.63 0.93 | 21.05 0.97 | 20.12 1.20 | |
| ADFI/mouse # (g) | Week 1 | 2.81 0.16 | 2.65 0.16 | 2.90 0.14 | 2.54 0.22 |
| Week 2 | 2.86 0.07 | 2.80 0.09 | 2.97 0.12 | 2.68 0.17 | |
| Week 3 | 2.88 0.13 | 2.65 0.14 | 2.85 0.15 | 2.53 0.19 | |
| Week 4 | 2.85 0.18 | 2.75 0.06 | 2.84 0.16 | 2.78 0.16 | |
| ADII/mouse ## (g) | Week 1 | 21.64 1.27 a | 83.76 5.05 b | 50.08 2.43 c | 75.17 6.49 b |
| Week 2 | 21.99 0.54 a | 88.42 2.82 b | 51.40 2.15 c | 79.23 5.17 b | |
| Week 3 | 22.19 1.03 a | 83.79 4.49 b | 49.37 2.62 c | 74.75 ± 5.62 b | |
| Week 4 | 21.98 ± 1.39 a | 86.78 1.74 b | 49.10 2.85 c | 82.17 4.83 b | |
| Sample | Day 0 | 20 °C | 45 °C | ||
|---|---|---|---|---|---|
| Day 15 | Day 30 | Day 15 | Day 30 | ||
| WF | 37.2 ± 0.2 | 35.7 ± 0.2 | 21.1 ± 0.1 | 37.4 ± 1.6 | 23.9 ± 0.2 |
| DGM50 | 55.1 ± 0.1 * | 54.9 ± 0.8 * | 35.7 ± 0.3 * | 55.3 ± 0.2 * | 42.7 ± 0.1 * |
| DGM100 | 64.6 ± 0.1 * | 65.5 ± 0.4 * | 54.4 ± 0.2 * | 65.1 ± 0.1 * | 47.3 ± 0.0 * |
| EC50 | 53.2 ± 0.1 * | 63.5 ± 0.2 * | 36.6 ± 0.3 * | 73.2 ± 0.1 * | 37.8 ± 0.6 * |
| EC100 | 66.0 ± 0.3 * | 64.8 ± 0.3 * | 44.9 ± 0.1 * | 80.0 ± 0.5 * | 50.2 ± 0.3 * |
| CM50 | 56.7 ± 0.6 * | 55.9 ± 0.3 * | 37.3 ± 0.1 * | 54.4 ± 0.0 * | 37.8 ± 0.2 * |
| CM100 | 76.2 ± 0.1 * | 84.9 ± 0.2 * | 53.1 ± 0.0 * | 81.4 ± 0.3 * | 53.2 ± 0.2 * |
| Sample | Day 0 | 20 °C | 45 °C | ||
|---|---|---|---|---|---|
| Day 15 | Day 30 | Day 15 | Day 30 | ||
| WF | 152.8 ± 0.2 | 176.4 ± 1.2 | 209.1 ± 1.5 | 187.9 ± 0.2 | 225 ± 0.6 |
| DGM50 | 139.5 ± 0.1 * | 155.3 ± 0.9 * | 203.3 ± 0.3 | 177.1 ± 0.3 * | 211.0 ± 0.5 * |
| DGM100 | 145.8 ± 0.1 * | 225.8 ± 1.1 * | 259.1 ± 0.8 * | 218.3 ± 2.6 * | 263.6 ± 0.8 * |
| EC50 | 82.3 ± 0.1 * | 127.5 ± 0.7 * | 158.4 ± 1.2 * | 115.4 ± 0.5 * | 122.3 ± 0.7 * |
| EC100 | 43.4 ± 0.0 * | 79.6 ± 2.3 * | 93.3 ± 0.0 * | 69.2 ± 0.1 * | 75.9 ± 0.0 * |
| CM50 | 133.7 ± 0.1 * | 162.1 ± 1.3 * | 149.9 ± 0.3 * | 164.9 ± 0.1 * | 183.3 ± 3.5 * |
| CM100 | 160.4 ± 0.2 * | 190.6 ± 2.6 * | 186.3 ± 0.1 * | 172.1 ± 0.1 * | 218.4 ± 0.7 * |
| Sample | Day 0 | 20 °C | 45 °C | ||
|---|---|---|---|---|---|
| Day 15 | Day 30 | Day 15 | Day 30 | ||
| WF | 81.33 ± 0.10 | 80.75 ± 0.04 | 81.15 ± 0.00 | 80.17 ± 0.00 | 80.51 ± 0.14 |
| DGM50 | 79.24 ± 0.27 * | 79.06 ± 0.00 * | 79.43 ± 0.01 * | 78.74 ± 0.00 * | 79.47 ± 0.01 * |
| DGM100 | 77.99 ± 0.10 * | 77.96 ± 0.00 * | 78.32 ± 0.00 * | 77.35 ± 0.00 * | 77.54 ± 0.00 * |
| EC50 | 79.72 ± 0.12 * | 78.73 ± 0.01 * | 79.58 ± 0.00 * | 78.98 ± 0.01 * | 78.06 ± 0.00 * |
| EC100 | 77.60 ± 0.01 * | 77.37 ± 0.00 * | 75.72 ± 0.01 * | 77.93 ± 0.00 * | 76.49 ± 0.01 * |
| CM50 | 78.55 ± 0.12 * | 78.74 ± 0.01 * | 78.95 ± 0.01 * | 78.46 ± 0.00 * | 78.77 ± 0.00 * |
| CM100 | 77.31 ± 0.04 * | 77.24 ± 0.02 * | 77.37 ± 0.01 * | 77.33 ± 0.00 * | 77.63 ± 0.00 * |
| Sample | Day 0 | 20 °C | 45 °C | ||
|---|---|---|---|---|---|
| Day 15 | Day 30 | Day 15 | Day 30 | ||
| WF | 1.20 ± 0.04 | 1.08 ± 0.02 | 1.16 ± 0.00 | 1.16 ± 0.01 | 1.15 ± 0.03 |
| DGM50 | −0.17 ± 0.01 * | −0.14 ± 0.01 * | −0.19 ± 0.01 * | −0.06 ± 0.00 * | −0.10 ± 0.01 * |
| DGM100 | −0.79 ± 0.04 * | −0.72 ± 0.02 * | −0.70 ± 0.00 * | −0.49 ± 0.01 * | −0.38 ± 0.01 * |
| EC50 | 0.55 ± 0.05 * | 0.43 ± 0.00 * | 0.39 ± 0.01 * | 0.34 ± 0.02 * | 0.40 ± 0.01 * |
| EC100 | 0.08 ± 0.03 * | −0.05 ± 0.01 * | 0.06 ± 0.01 * | −0.03 ± 0.01 * | −0.08 ± 0.01 * |
| CM50 | 0.04 ± 0.02 * | −0.31 ± 0.02 * | −0.26 ± 0.01 * | −0.17 ± 0.02 * | 0.04 ± 0.02 * |
| CM100 | −0.44 ± 0.02 * | −0.69 ± 0.02 * | −0.60 ± 0.01 * | −0.40 ± 0.01 * | −0.30 ± 0.00 * |
| Sample | Day 0 | 20 °C | 45 °C | ||
|---|---|---|---|---|---|
| Day 15 | Day 30 | Day 15 | Day 30 | ||
| WF | 11.46 ± 0.04 | 11.20 ± 0.04 | 11.67 ± 0.00 | 11.98 ± 0.00 | 12.26 ± 0.04 |
| DGM50 | 12.61 ± 0.06 * | 12.76 ± 0.00 * | 12.90 ± 0.01 * | 12.66 ± 0.00 * | 12.83 ± 0.01 * |
| DGM100 | 13.53 ± 0.04 * | 13.01 ± 0.01 * | 13.40 ± 0.01 * | 13.53 ± 0.01 * | 13.82 ± 0.02 * |
| EC50 | 11.41 ± 0.13 | 11.87 ± 0.01 * | 11.57 ± 0.01 * | 12.80 ± 0.00 * | 13.32 ± 0.01 * |
| EC100 | 12.54 ± 0.02 * | 11.99 ± 0.01 * | 12.40 ± 0.01 * | 13.12 ± 0.01 * | 13.86 ± 0.00 * |
| CM50 | 11.65 ± 0.03 * | 11.97 ± 0.00 * | 11.70 ± 0.00 | 12.11 ± 0.02 * | 12.08 ± 0.00 * |
| CM100 | 11.16 ± 0.02 * | 11.55 ± 0.01 * | 11.76 ± 0.01 | 11.77 ± 0.01 * | 11.95 ± 0.00 * |
Disclaimer/Publisher’s Note: The statements, opinions and data contained in all publications are solely those of the individual author(s) and contributor(s) and not of MDPI and/or the editor(s). MDPI and/or the editor(s) disclaim responsibility for any injury to people or property resulting from any ideas, methods, instructions or products referred to in the content. |
© 2023 by the authors. Licensee MDPI, Basel, Switzerland. This article is an open access article distributed under the terms and conditions of the Creative Commons Attribution (CC BY) license (https://creativecommons.org/licenses/by/4.0/).
Share and Cite
Bhatnagar, R.S.; Lei, X.-G.; Miller, D.D.; Padilla-Zakour, O.I. Iron from Co-Encapsulation of Defatted Nannochloropsis Oceanica with Inulin Is Highly Bioavailable and Does Not Impact Wheat Flour Shelf Life or Sensorial Attributes. Foods 2023, 12, 675. https://doi.org/10.3390/foods12030675
Bhatnagar RS, Lei X-G, Miller DD, Padilla-Zakour OI. Iron from Co-Encapsulation of Defatted Nannochloropsis Oceanica with Inulin Is Highly Bioavailable and Does Not Impact Wheat Flour Shelf Life or Sensorial Attributes. Foods. 2023; 12(3):675. https://doi.org/10.3390/foods12030675
Chicago/Turabian StyleBhatnagar, Rohil S., Xin-Gen Lei, Dennis D. Miller, and Olga I. Padilla-Zakour. 2023. "Iron from Co-Encapsulation of Defatted Nannochloropsis Oceanica with Inulin Is Highly Bioavailable and Does Not Impact Wheat Flour Shelf Life or Sensorial Attributes" Foods 12, no. 3: 675. https://doi.org/10.3390/foods12030675
APA StyleBhatnagar, R. S., Lei, X.-G., Miller, D. D., & Padilla-Zakour, O. I. (2023). Iron from Co-Encapsulation of Defatted Nannochloropsis Oceanica with Inulin Is Highly Bioavailable and Does Not Impact Wheat Flour Shelf Life or Sensorial Attributes. Foods, 12(3), 675. https://doi.org/10.3390/foods12030675

