Bioactive Compounds of Underground Valerian Extracts and Their Effect on Inhibiting Metabolic Syndrome-Related Enzymes Activities
Abstract
1. Introduction
2. Materials and Methods
2.1. Plant Materials
2.2. General Experimental Procedure
2.3. Chemical Materials
2.4. Determination of Extraction Yields and Bioactive Compounds
2.5. Antioxidant Properties
2.6. Lipase, ACE, α-Amylase, and α-Glucosidase Inhibition Assays
2.7. Statistical Analysis
3. Results and Discussion
3.1. Extract Yield and Bioactive Compounds
3.2. Antioxidant Properties
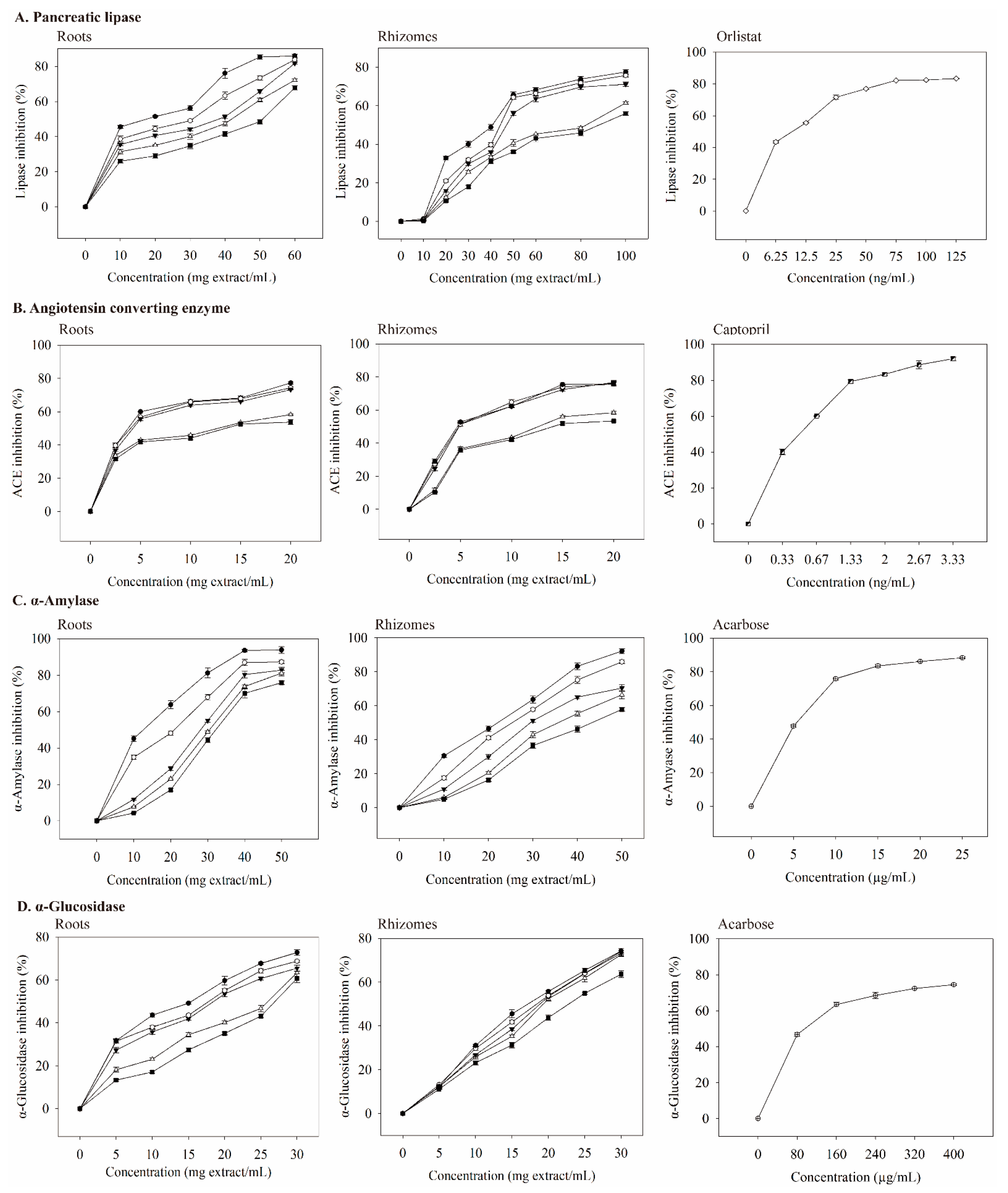
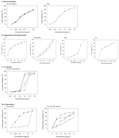
3.3. Inhibitory Effects on Lipase
3.4. Inhibitory Effects on ACE
3.5. Inhibitory Effects on α-Amylase
3.6. Inhibitory Effects on α-Glucosidase
4. Conclusions
Supplementary Materials
Author Contributions
Funding
Institutional Review Board Statement
Informed Consent Statement
Data Availability Statement
Acknowledgments
Conflicts of Interest
References
- Borras, S.; Martinez-Solis, I.; Rios, J.L. Medicinal Plants for Insomnia Related to Anxiety: An updated review. Planta Med. 2021, 87, 738–753. [Google Scholar] [CrossRef] [PubMed]
- Tammadon, M.R.; Nobahar, M.; Hydarinia-Naieni, Z.; Ebrahimian, A.; Ghorbani, R.; Vafaei, A.A. The effects of valerian on sleep quality, depression, and state anxiety in hemodialysis patients: A randomized, double-blind, crossover clinical trial. Oman Med. J. 2021, 36, e255. [Google Scholar] [CrossRef] [PubMed]
- Shinjyo, N.; Waddell, G.; Green, J. Valerian root in treating sleep problems and associated disorders—A systematic review and meta-analysis. J. Evid. Based Integr. Med. 2020, 25, 2515690X20967323. [Google Scholar] [CrossRef] [PubMed]
- Das, G.; Shin, H.S.; Tundis, R.; Goncalves, S.; Tantengco, O.A.G.; Campos, M.G.; Acquaviva, R.; Malfa, G.A.; Romano, A.; Robles, J.A.H.; et al. Plant species of sub-family Valerianaceae—A review on its effect on the central nervous system. Plants 2021, 10, 846. [Google Scholar] [CrossRef] [PubMed]
- Sánchez, M.; Burgos, E.G.; Iglesias, I.; Gómez-Serranillos, M.P. Updating the biological interest of Valeriana officinalis. Mediterr. Bot. 2021, 42, e70280. [Google Scholar] [CrossRef]
- Felgentreff, F.; Becker, A.; Meier, B.; Brattstrom, A. Valerian extract characterized by high valerenic acid and low acetoxy valerenic acid contents demonstrates anxiolytic activity. Phytomedicine 2012, 19, 1216–1222. [Google Scholar] [CrossRef] [PubMed]
- Rodriguez-Mateos, A.; Vauzour, D.; Krueger, C.G.; Shanmuganayagam, D.; Reed, J.; Calani, L.; Mena, P.; Del Rio, D.; Crozier, A. Bioavailability, bioactivity and impact on health of dietary flavonoids and related compounds: An update. Arch. Toxicol. 2014, 88, 1803–1853. [Google Scholar] [CrossRef]
- Wang, R.; Wang, L.; Zhang, L.; Wan, S.; Li, C.; Liu, S. Solvents effect on phenolics, iridoids, antioxidant activity, antibacterial activity, and pancreatic lipase inhibition activity of noni (Morinda citrifolia L.) fruit extract. Food Chem. 2022, 377, 131989. [Google Scholar] [CrossRef] [PubMed]
- Papoutsis, K.; Zhang, J.; Bowyer, M.C.; Brunton, N.; Gibney, E.R.; Lyng, J. Fruit, vegetables, and mushrooms for the preparation of extracts with alpha-amylase and alpha-glucosidase inhibition properties: A review. Food Chem. 2021, 338, 128119. [Google Scholar] [CrossRef]
- Hosseini Nia, E.; Arabi, S.; Hekmati, M. Comparative evaluation of different extraction methods for the assay of phytochemicals and antioxidant activity of Valeriana officinalis roots. J. Herb. Drugs 2019, 10, 87–93. [Google Scholar]
- Minchán-Herrera, P.; Ybañez-Julca, R.O.; Quispe-Díaz, I.M.; Venegas-Casanova, E.A.; Jara-Aguilar, R.; Salas, F.; Zevallos-Escobar, L.; Yáñez, O.; Pino-Rios, R.; Calderon, P.B.; et al. Valeriana pilosa roots essential oil: Chemical composition, antioxidant ctivities, and molecular docking studies on enzymes involved in redox biological processes. Antioxidants 2022, 11, 1337. [Google Scholar] [CrossRef] [PubMed]
- Wang, Z.; Hwang, S.H.; Kim, J.H.; Lim, S.S. Anti-obesity effect of the above-ground part of Valeriana dageletiana Nakai ex F. Maek extract in high-fat diet-induced obese C57BL/6N mice. Nutrients 2017, 9, 689. [Google Scholar] [CrossRef] [PubMed]
- Lee, D.-H.; Park, S.-H.; Huh, Y.-H.; Kim, M.J.; Seo, H.-D.; Ha, T.-Y.; Ahn, J.; Jang, Y.J.; Jung, C.H. Iridoids of Valeriana fauriei contribute to alleviating hepatic steatosis in obese mice by lipophagy. Biomed Pharm. 2020, 125, 109950. [Google Scholar] [CrossRef]
- Alberti, K.G.; Zimmet, P.Z. Definition, diagnosis and classification of diabetes mellitus and its complications. Part 1: Diagnosis and classification of diabetes mellitus provisional report of a WHO consultation. Diabet Med. 1998, 15, 539–553. [Google Scholar] [CrossRef]
- Saklayen, M.G. The Global Epidemic of the Metabolic Syndrome. Curr. Hypertens Rep. 2018, 20, 12. [Google Scholar] [CrossRef] [PubMed]
- Kuswandi, A.; Tarawaan, V.M.; Goenawan, H.; Muchtaridi, M.; Lesmana, R. Potential roles of Garcinia family as antimetabolic syndrome. J. Adv. Pharm. Technol. Res. 2022, 13, 1–6. [Google Scholar] [PubMed]
- Payab, M.; Hasani-Ranjbar, S.; Shahbal, N.; Qorbani, M.; Aletaha, A.; Haghi-Aminjan, H.; Soltani, A.; Khatami, F.; Nikfar, S.; Hassani, S.; et al. Effect of the herbal medicines in obesity and metabolic syndrome: A systematic review and meta-analysis of clinical trials. Phytother. Res. 2020, 34, 526–545. [Google Scholar] [CrossRef] [PubMed]
- Ye, L.; Hu, P.; Feng, L.-P.; Huang, L.-L.; Wang, Y.; Yan, X.; Xiong, J.; Xia, H.-L. Protective effects of ferulic acid on metabolic syndrome: A comprehensive review. Molecules 2023, 28, 281. [Google Scholar] [CrossRef]
- Mau, J.L.; Lee, C.C.; Chen, Y.P.; Lin, S.D. Physicochemical, antioxidant and sensory characteristics of chiffon cake prepared with black rice as replacement for wheat flour. LWT-Food Sci. Technol. 2017, 75, 434–439. [Google Scholar] [CrossRef]
- Sarikurkcu, C.; Jeszka-Skowron, M.; Ozer, M.S. Valeriana dioscoridis aerial parts’ extracts—A new source of phytochemicals with antioxidant and enzyme inhibitory activities. Ind. Crops Prod. 2020, 148, 112273. [Google Scholar] [CrossRef]
- Donovan, J.L.; DeVane, C.L.; Chavin, K.D.; Wang, J.S.; Gibson, B.B.; Gefroh, H.A.; Markowitz, J.S. Multiple night-time doses of valerian (Valeriana officinalis) had minimal effects on CYP3A4 activity and no effect on CYP2D6 activity in healthy volunteers. Drug Metab. Dispos. 2004, 32, 1333–1336. [Google Scholar] [CrossRef] [PubMed]
- Shimada, K.; Fujikawa, K.; Yahara, K.; Nakamura, T. Antioxidative properties of xanthan on the autoxidation of soybean oil in cyclodextrin emulsion. J. Agric. Food Chem. 1992, 40, 945–948. [Google Scholar] [CrossRef]
- Chiou, S.Y.; Sung, J.M.; Huang, P.W.; Lin, S.D. Antioxidant, antidiabetic, and antihypertensive properties of Echinacea purpurea flower extract and caffeic acid derivatives using in vitro models. J. Med. Food 2017, 20, 171–179. [Google Scholar] [CrossRef] [PubMed]
- Chiou, S.Y.; Lai, J.Y.; Liao, J.A.; Sung, J.M.; Lin, S.D. In Vitro Inhibition of lipase, α-amylase, α-glucosidase and angiotensin converting enzyme by defatted rice bran extracts of red-pericarp rice mutant. Cereal Chem. 2018, 95, 167–176. [Google Scholar] [CrossRef]
- Zhang, Q.W.; Lin, L.G.; Ye, W.C. Techniques for extraction and isolation of natural products: A comprehensive review. Chin. Med. 2018, 13, 20. [Google Scholar] [CrossRef] [PubMed]
- Zheng, W.; Wang, S.T. Antioxidant activity and phenolic compounds in selected herbs. J. Agric. Food Chem. 2001, 49, 5165–5170. [Google Scholar] [CrossRef]
- Wojdylo, A.; Oszmianski, J.; Czemerys, R. Antioxidant activity and phenolic compounds in 32 selected herbs. Food Chem. 2007, 105, 940–949. [Google Scholar] [CrossRef]
- Lou, S.N.; Lin, Y.S.; Hsu, Y.S.; Chiu, E.M.; Ho, C.T. Soluble and insoluble phenolic compounds and antioxidant activity of immature calamondin affected by solvents and heat treatment. Food Chem. 2014, 161, 246–253. [Google Scholar] [CrossRef]
- Boyadzhiev, L.; Kancheva, D.; Gourdon, C.; Metcheva, D. Extraction of valerenic acids from valerian (Valeriana officinalis L.) rhizomes. Pharmazie 2004, 59, 727–728. [Google Scholar]
- Halliwell, B. Free radicals and antioxidants: Updating a personal view. Nutr. Rev. 2012, 70, 257–265. [Google Scholar] [CrossRef]
- Wang, J.; Zhao, J.; Liu, H.; Zhou, L.; Liu, Z.; Wang, J.; Han, J.; Yu, Z.; Yang, F. Chemical analysis and biological activity of the essential oils of two valerianaceous species from China: Nardostachys chinensis and Valeriana officinalis. Molecules 2010, 15, 6411–6422. [Google Scholar] [CrossRef] [PubMed]
- Mathew, S.; Abraham, T.E.; Zakaria, Z.A. Reactivity of phenolic compounds towards free radicals under in vitro conditions. J. Food Sci. Technol. 2015, 52, 5790–5798. [Google Scholar] [CrossRef] [PubMed]
- Hou, X.D.; Ge, G.B.; Weng, Z.M.; Dai, Z.R.; Leng, Y.H.; Ding, L.L.; Jin, L.L.; Yu, Y.; Cao, Y.F.; Hou, J. Natural constituents from Cortex Mori Radicis as new pancreatic lipase inhibitors. Bioorg Chem. 2018, 80, 577–584. [Google Scholar] [CrossRef]
- Ballinger, A.; Peikin, S.R. Orlistat: Its current status as an anti-obesity drug. Eur. J. Pharmacol. 2002, 440, 109–117. [Google Scholar] [CrossRef] [PubMed]
- Drew, B.S.; Dixon, A.F.; Dixon, J.B. Obesity management: Update on Orlistat. Vasc. Health Risk Manag. 2007, 3, 817–821. [Google Scholar] [PubMed]
- Garcia, S.B.; Barros, L.T.; Turatti, A.; Martinello, F.; Modiano, P.; Ribeiro-Silva, A.; Vespúcio, M.V.; Uyemura, S.A. The anti-obesity agent Orlistat is associated to increase in colonic preneoplastic markers in rats treated with a chemical carcinogen. Cancer Lett. 2006, 240, 221–224. [Google Scholar] [CrossRef] [PubMed]
- Liu, T.T.; Liu, X.T.; Chen, Q.X.; Shi, Y. Lipase inhibitors for obesity: A review. Biomed. Pharmacother. 2020, 128, 110314. [Google Scholar] [CrossRef]
- Ademiluyi, A.Q.; Oboh, G.; Ogunsuyi, O.B.; Oloruntoba, F.M. A comparative study on antihypertensive and antioxidant properties of phenolic extracts from fruit and leaf of some guava (Psidium guajava L.) varieties. Comp. Clin. Path. 2015, 25, 363–374. [Google Scholar] [CrossRef]
- Zhang, Z.-H.; Yu, Y.; Kang, Y.-M.; Wei, S.-G.; Felder, R.B. Aldosterone acts centrally to increase brain renin-angiotensin system activity and oxidative stress in normal rats. Am. J. Physiol. Heart Circ. Physiol. 2008, 294, H1067–H1074. [Google Scholar] [CrossRef]
- Dong, J.; Xu, X.; Liang, Y.; Head, R.; Bennett, L. Inhibition of angiotensin converting enzyme (ACE) activity by polyphenols from tea (Camellia sinensis) and links to processing method. Food Funct. 2011, 2, 310–319. [Google Scholar] [CrossRef] [PubMed]
- Huang, Y.H.; Sridhar, K.; Ysai, P.J. Enzymatically hydrolysed asparagus (Asparagus officinalis L.) hard-stem exhibits the ability to inhibit angiotensin-converting enzyme (ACE). Int. J. Food Sci. Technol. 2022, 57, 3196–3203. [Google Scholar] [CrossRef]
- Rocha, S.; Ribeiro, D.; Fernandes, E.; Freitas, M. A systematic review on anti-diabetic properties of chalcones. Curr. Med. Chem. 2020, 27, 2257–2321. [Google Scholar] [CrossRef] [PubMed]
- Benayad, O.; Bouhrim, M.; Tiji, S.; Kharchoufa, L.; Addi, M.; Drouet, S.; Hano, C.; Lorenzo, J.M.; Bendaha, H.; Bnouham, M.; et al. Phytochemical profile, alpha-glucosidase, and lpha-amylase inhibition potential and toxicity evaluation of extracts from Citrus aurantium (L) peel, a valuable by-product from northeastern Morocco. Biomolecules 2021, 11, 1555. [Google Scholar] [CrossRef] [PubMed]
- Rosak, C.; Mertes, G. Critical evaluation of the role of acarbose in the treatment of diabetes: Patient considerations. Diabetes Metab. Syndr. Obes. 2012, 5, 357–367. [Google Scholar] [CrossRef]
- Li, K.; Yao, F.; Xue, Q.; Fan, H.; Yang, L.; Li, X.; Sun, L.; Liu, Y. Inhibitory effects against alpha-glucosidase and alpha-amylase of the flavonoids-rich extract from Scutellaria baicalensis shoots and interpretation of structure-activity relationship of its eight flavonoids by a refined assign-score method. Chem. Cent. J. 2018, 12, 82. [Google Scholar] [CrossRef] [PubMed]




| Extraction Method | Roots | Rhizomes | ||||
|---|---|---|---|---|---|---|
| Yield (%) 1 | Total Phenols (mg GAE 2/g Sample) | Yield (%) | Total Phenols (mg GAE/g Sample) | |||
| In Extract | In Powder | In Extract | In Powder | |||
| 25 °C extract | ||||||
| 25C0E | 29.36 ± 0.21C 3 | 14.54 ± 0.53I | 4.27 ± 0.18G | 29.07 ± 0.15B | 13.81 ± 0.33I | 4.01 ± 0.09H |
| 25C25E | 28.73 ± 0.28D | 17.91 ± 0.57G | 5.15 ± 0.15E | 28.28 ± 0.31C | 15.39 ± 0.16H | 4.35 ± 0.05F |
| 25C50E | 25.20 ± 0.10F | 21.12 ± 0.58E | 5.32 ± 0.17DE | 25.92 ± 0.51E | 16.45 ± 0.54G | 4.26 ± 0.12FG |
| 25C75E | 22.91 ± 0.51H | 25.97 ± 0.49C | 5.95 ± 0.03C | 24.10 ± 0.35G | 20.73 ± 0.54D | 5.00 ± 0.14C |
| 25C95E | 10.24 ± 0.17K | 30.31 ± 0.75B | 3.10 ± 0.12H | 11.47 ± 0.19J | 24.69 ± 0.53B | 2.83 ± 0.06I |
| 50 °C extract | ||||||
| 50C0E | 30.68 ± 0.28A | 15.77 ± 0.50H | 4.84 ± 0.11F | 29.07 ± 0.18B | 14.14 ± 0.41I | 4.11 ± 0.14GH |
| 50C25E | 29.64 ± 0.19C | 18.25 ± 0.38G | 5.41 ± 0.13D | 28.28 ± 0.44C | 16.09 ± 0.14GH | 4.55 ± 0.06E |
| 50C50E | 27.92 ± 0.47E | 21.68 ± 0.58E | 6.05 ± 0.24C | 26.18 ± 0.17E | 17.85 ± 0.33F | 4.67 ± 0.10DE |
| 50C75E | 23.12 ± 0.32H | 26.60 ± 0.53C | 6.15 ± 0.20C | 24.42 ± 0.21FG | 22.06 ± 0.69C | 5.39 ± 0.21AB |
| 50C95E | 13.57 ± 0.22J | 32.76 ± 0.92A | 4.45 ± 0.06G | 15.52 ± 0.25I | 25.42 ± 0.75B | 3.95 ± 0.17H |
| 75 °C extract | ||||||
| 75C0E | 31.07 ± 0.15A | 19.33 ± 0.59F | 6.00 ± 0.16C | 31.37 ± 0.66A | 15.44 ± 0.60H | 4.84 ± 0.10CD |
| 75C25E | 30.18 ± 0.43B | 23.97 ± 0.57D | 7.23 ± 0.19B | 28.76 ± 0.23BC | 17.36 ± 0.52F | 4.99 ± 0.19C |
| 75C50E | 28.21 ± 0.08E | 26.80 ± 0.43C | 7.56 ± 0.12A | 27.50 ± 0.69D | 18.97 ± 0.65E | 5.22 ± 0.04B |
| 75C75E | 24.07 ± 0.23G | 29.49 ± 0.70B | 7.10 ± 0.16B | 25.02 ± 0.46F | 22.20 ± 0.71C | 5.55 ± 0.12A |
| 75C95E | 15.80 ± 0.17I | 33.16 ± 0.65A | 5.24 ± 0.15DE | 17.02 ± 0.11H | 26.78 ± 0.89A | 4.56 ± 0.13E |
| Extraction Method | Contents (mg/g Lyophilized Extract) | |||||
|---|---|---|---|---|---|---|
| Gallic Acid | Protocatechuic Acid | Chlorogenic Acid | Caffeic Acid | Rosmarinic Acid | Total | |
| Roots | ||||||
| 75C0E | 0.31 ± 0.01D 1 | 0.57 ± 0.01D | 0.21 ± 0.01E | 0.57 ± 0.01E | nd 2 | 1.66 ± 0.01E |
| 75C25E | 0.33 ± 0.01CD | 0.79 ± 0.02C | 0.29 ± 0.01D | 0.60 ± 0.02D | nd | 2.01 ± 0.04D |
| 75C50E | 0.35 ± 0.01C | 0.82 ± 0.03C | 0.30 ± 0.01C | 0.64 ± 0.03C | nd | 2.11 ± 0.05C |
| 75C75E | 0.46 ± 0.01B | 0.95 ± 0.03B | 0.34 ± 0.01B | 0.84 ± 0.04B | nd | 2.59 ± 0.05B |
| 75C95E | 0.55 ± 0.02A | 1.20 ± 0.04A | 0.36 ± 0.01A | 0.98 ± 0.03A | nd | 3.09 ± 0.07A |
| Rhizomes | ||||||
| 75C0E | 0.30 ± 0.01D | 0.46 ± 0.02E | 0.09 ± <0.01E | 0.23 ± <0.01D | nd | 1.08 ± 0.03E |
| 75C25E | 0.33 ± 0.01C | 0.54 ± 0.01D | 0.12 ± <0.01D | 0.25 ± 0.01D | nd | 1.24 ± 0.03D |
| 75C50E | 0.39 ± 0.01B | 0.61 ± 0.03C | 0.13 ± 0.01C | 0.28 ± 0.01C | nd | 1.41 ± 0.06C |
| 75C75E | 0.41 ± 0.01B | 0.66 ± 0.03B | 0.14 ± <0.01B | 0.37 ± 0.02B | nd | 1.58 ± 0.06B |
| 75C95E | 0.59 ± 0.02A | 0.91 ± 0.03A | 0.15 ± 0.01A | 0.49 ± 0.02A | nd | 2.14 ± 0.07A |
| Extraction Method | Contents (mg/g Lyophilized Extract) | |||||||
|---|---|---|---|---|---|---|---|---|
| Roots | Rhizomes | |||||||
| Hva 1 | Ava | Va | Total | Hva | Ava | Va | Total | |
| 25 °C extract | ||||||||
| 25C0E | 0.34 ± 0.01G 2 | 0.89 ± 0.04K | 0.04 ± <0.01K | 1.27 ± 0.04N | 0.85 ± 0.03H | 2.62 ± 0.02K | 0.10 ± <0.01J | 3.57 ± 0.03M |
| 25C25E | 0.46 ± 0.01F | 2.23 ± 0.09J | 0.13 ± <0.01IJ | 2.82 ± 0.10L | 0.96 ± 0.03H | 5.99 ± 0.26J | 0.20 ± 0.01J | 7.15 ± 0.28L |
| 25C50E | 0.52 ± 0.01F | 3.79 ± 0.06H | 1.13 ± 0.04G | 5.44 ± 0.07I | 1.84 ± 0.05F | 12.22 ± 0.13G | 2.70 ± 0.05G | 16.76 ± 0.18I |
| 25C75E | 0.80 ± 0.03D | 5.07 ± 0.19E | 1.44 ± 0.04F | 7.31 ± 0.21F | 2.60 ± 0.12D | 13.89 ± 0.58EF | 3.40 ± 0.15F | 19.89 ± 0.71F |
| 25C95E | 2.77 ± 0.11C | 12.65 ± 0.44C | 3.34 ± 0.12C | 18.76 ± 0.51C | 3.84 ± 0.12B | 21.81 ± 0.56C | 4.35 ± 0.01C | 30.00 ± 0.55C |
| 50 °C extract | ||||||||
| 50C0E | 0.37 ± 0.02G | 1.15 ± 0.04K | 0.09 ± <0.01JK | 1.61 ±0.05MN | 0.85 ± 0.03H | 3.10 ± 0.11K | 0.14 ± <0.01J | 4.09 ± 0.12M |
| 50C25E | 0.50 ± 0.02F | 2.62 ± 0.04I | 0.20 ± 0.01I | 3.32 ± 0.03K | 1.23 ± 0.05G | 8.16 ± 0.16I | 0.38 ± 0.01I | 9.77 ± 0.15K |
| 50C50E | 0.63 ± 0.02E | 4.27 ± 0.13G | 1.47 ± 0.06F | 6.37 ± 0.17H | 2.00 ± 0.09E | 12.26 ± 0.54G | 3.36 ± 0.13F | 17.62 ± 0.62H |
| 50C75E | 0.83 ± 0.03D | 5.22 ± 0.11E | 1.82 ± 0.03E | 7.87 ± 0.12E | 2.89 ± 0.13C | 14.49 ± 0.41DE | 3.83 ± 0.14E | 21.21 ± 0.64E |
| 50C95E | 3.35 ± 0.08B | 13.05 ± 0.28B | 3.87 ± 0.09B | 20.27 ± 0.36B | 4.11 ± 0.19A | 23.41 ± 1.05B | 4.61 ± 0.10B | 32.13 ± 1.03B |
| 75 °C extract | ||||||||
| 75C0E | 0.48 ± 0.01F | 1.17 ± 0.03K | 0.09 ± <0.01JK | 1.74 ± 0.03M | 0.89 ± 0.03H | 3.16 ± 0.09K | 0.20 ± 0.01J | 4.25 ± 0.08M |
| 75C25E | 0.52 ± 0.02F | 2.90 ± 0.11I | 0.30 ± 0.01H | 3.72 ± 0.12J | 1.15 ± 0.04G | 9.25 ± 0.41H | 0.64 ± 0.03H | 11.04 ± 0.40J |
| 75C50E | 0.64 ± 0.01E | 4.60 ± 0.06F | 1.51 ± 0.02F | 6.75 ± 0.07G | 2.00 ± 0.09E | 13.56 ± 0.44F | 3.40 ± 0.14F | 18.96 ± 0.63G |
| 75C75E | 0.87 ± 0.01D | 6.07 ± 0.13D | 1.99 ± 0.03D | 8.93 ± 0.14D | 2.92 ± 0.11C | 15.18 ± 0.62D | 3.98 ± 0.16D | 21.99 ± 0.59D |
| 75C95E | 3.48 ± 0.05A | 14.26 ± 0.39A | 4.16 ± 0.11A | 21.90 ± 0.44A | 4.25 ± 0.20A | 24.20 ± 1.184A | 4.77 ± 0.21A | 33.22 ± 1.22A |
| Extraction Method | EC50 Value (mg Extract/mL) 1 | |
|---|---|---|
| Roots | Rhizomes | |
| 75C0E | 0.708 ± 0.007Ab 2 | 0.928 ± 0.004Aa |
| 75C25E | 0.639 ± 0.008Bb | 0.853 ± 0.016Ba |
| 75C50E | 0.535 ± 0.010Cb | 0.765 ± 0.015Ca |
| 75C75E | 0.374 ± 0.003Db | 0.653 ± 0.007Da |
| 75C95E | 0.352 ± 0.004Eb | 0.523 ± 0.011Ea |
| Extraction Method | IC50 Values (mg Extract/mL) 1 | |||||||
|---|---|---|---|---|---|---|---|---|
| Pancreatic Lipase | ACE 2 | α-Amylase | α-Glucosidase | |||||
| Roots | Rhizomes | Roots | Rhizomes | Roots | Rhizomes | Roots | Rhizomes | |
| 75C0E | 50.75 ± 0.56A 3 | 88.05 ± 1.69A | 13.66 ± 0.52A | 14.11 ± 0.43A | 32.32 ± 0.54A | 42.36 ± 0.24A | 26.94 ± 0.58A | 21.80 ± 2.05A |
| 75C25E | 41.84 ± 0.74B | 82.38 ± 1.00B | 11.22 ± 0.13B | 12.52 ± 0.16B | 30.41 ± 0.59B | 35.47 ± 0.15B | 25.92 ± 0.40B | 19.28 ± 0.46B |
| 75C50E | 38.28 ± 1.40C | 47.34 ± 0.99C | 4.24 ± 0.10C | 4.71 ± 0.06C | 28.23 ± 0.48C | 29.19 ± 0.86C | 18.46 ± 0.69C | 18.86 ± 0.13B |
| 75C75E | 30.67 ± 0.23D | 44.18 ± 0.25D | 4.02 ± 0.02C | 4.86 ± 0.10C | 20.65 ± 0.39D | 25.16 ±0.49D | 17.99 ± 0.44C | 18.59 ± 0.21B |
| 75C95E | 17.59 ± 0.82E | 40.92 ± 0.54E | 3.75 ± 0.09C | 4.87 ± 0.10C | 12.53 ± 0.10E | 21.99 ± 0.27E | 15.40 ± 0.35D | 17.10 ± 1.02C |
| IC50 (mg/mL) 1 | ||||
|---|---|---|---|---|
| Pancreatic Lipase | ACE 2 | α-Amylase | α-Glucosidase | |
| Orlistat | (9.648 ± 0.032) × 10−6E | |||
| Captopril | (0.498 ± 0.014) × 10−6F | |||
| Acarbose | (5.404 ± 0.147) × 10−3E | (9.547 ± 0.003) × 10−2G | ||
| Valerenic acid | nd 3 | 0.225 ± 0.023D | nd | 0.617 ± 0.028F |
| Acetoxyvalerenic acid | nd | nd | nd | 1.827 ± 0.005D |
| Gallic acid | 0.623 ± 0.002D 4 | 2.100 ± 0.028C | 1.258 ± 0.001D | 2.164 ± 0.026C |
| Protocatechuic acid | 0.673 ± 0.009C | 2.462 ± 0.020B | 1.295 ± <0.001C | 3.721 ± 0.042B |
| Chlorogenic acid | 1.108 ± 0.002A | 4.803 ± 0.004A | 1.792 ± 0.003A | 5.524 ± 0.074A |
| Caffeic acid | 0.726 ± 0.003B | 0.094 ± 0.006E | 1.610 ± 0.006B | 1.289 ± 0.024E |
Disclaimer/Publisher’s Note: The statements, opinions and data contained in all publications are solely those of the individual author(s) and contributor(s) and not of MDPI and/or the editor(s). MDPI and/or the editor(s) disclaim responsibility for any injury to people or property resulting from any ideas, methods, instructions or products referred to in the content. |
© 2023 by the authors. Licensee MDPI, Basel, Switzerland. This article is an open access article distributed under the terms and conditions of the Creative Commons Attribution (CC BY) license (https://creativecommons.org/licenses/by/4.0/).
Share and Cite
Wu, C.-R.; Lee, S.-Y.; Chen, C.-H.; Lin, S.-D. Bioactive Compounds of Underground Valerian Extracts and Their Effect on Inhibiting Metabolic Syndrome-Related Enzymes Activities. Foods 2023, 12, 636. https://doi.org/10.3390/foods12030636
Wu C-R, Lee S-Y, Chen C-H, Lin S-D. Bioactive Compounds of Underground Valerian Extracts and Their Effect on Inhibiting Metabolic Syndrome-Related Enzymes Activities. Foods. 2023; 12(3):636. https://doi.org/10.3390/foods12030636
Chicago/Turabian StyleWu, Cheng-Rong, Shih-Yu Lee, Chien-Hung Chen, and Sheng-Dun Lin. 2023. "Bioactive Compounds of Underground Valerian Extracts and Their Effect on Inhibiting Metabolic Syndrome-Related Enzymes Activities" Foods 12, no. 3: 636. https://doi.org/10.3390/foods12030636
APA StyleWu, C.-R., Lee, S.-Y., Chen, C.-H., & Lin, S.-D. (2023). Bioactive Compounds of Underground Valerian Extracts and Their Effect on Inhibiting Metabolic Syndrome-Related Enzymes Activities. Foods, 12(3), 636. https://doi.org/10.3390/foods12030636

