Microbiological, Physicochemical and Nutritional Properties of Fresh Cow Milk Treated with Industrial High-Pressure Processing (HPP) during Storage
Abstract
1. Introduction
2. Materials and Methods
2.1. Processing of Milk
2.2. Microbiological Analysis
2.3. Physicochemical Analysis
2.4. Nutritional Analysis
2.4.1. Vitamin Content Analysis
2.4.2. Mineral Content Analysis
2.5. Statistical Analysis
3. Results and Discussion
3.1. Microbiological Analysis
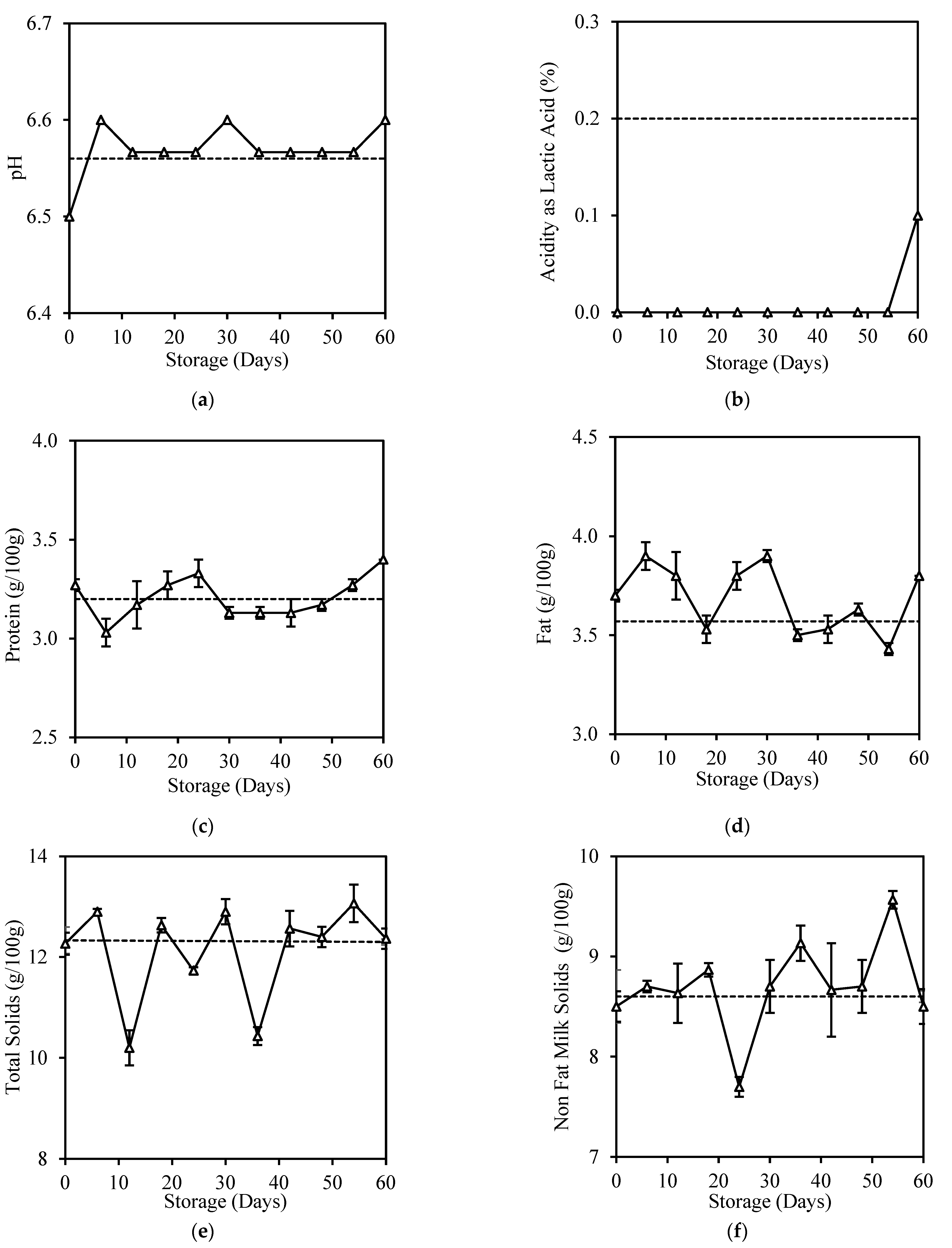
3.2. Physicochemical Analysis
3.3. Nutritional Analysis
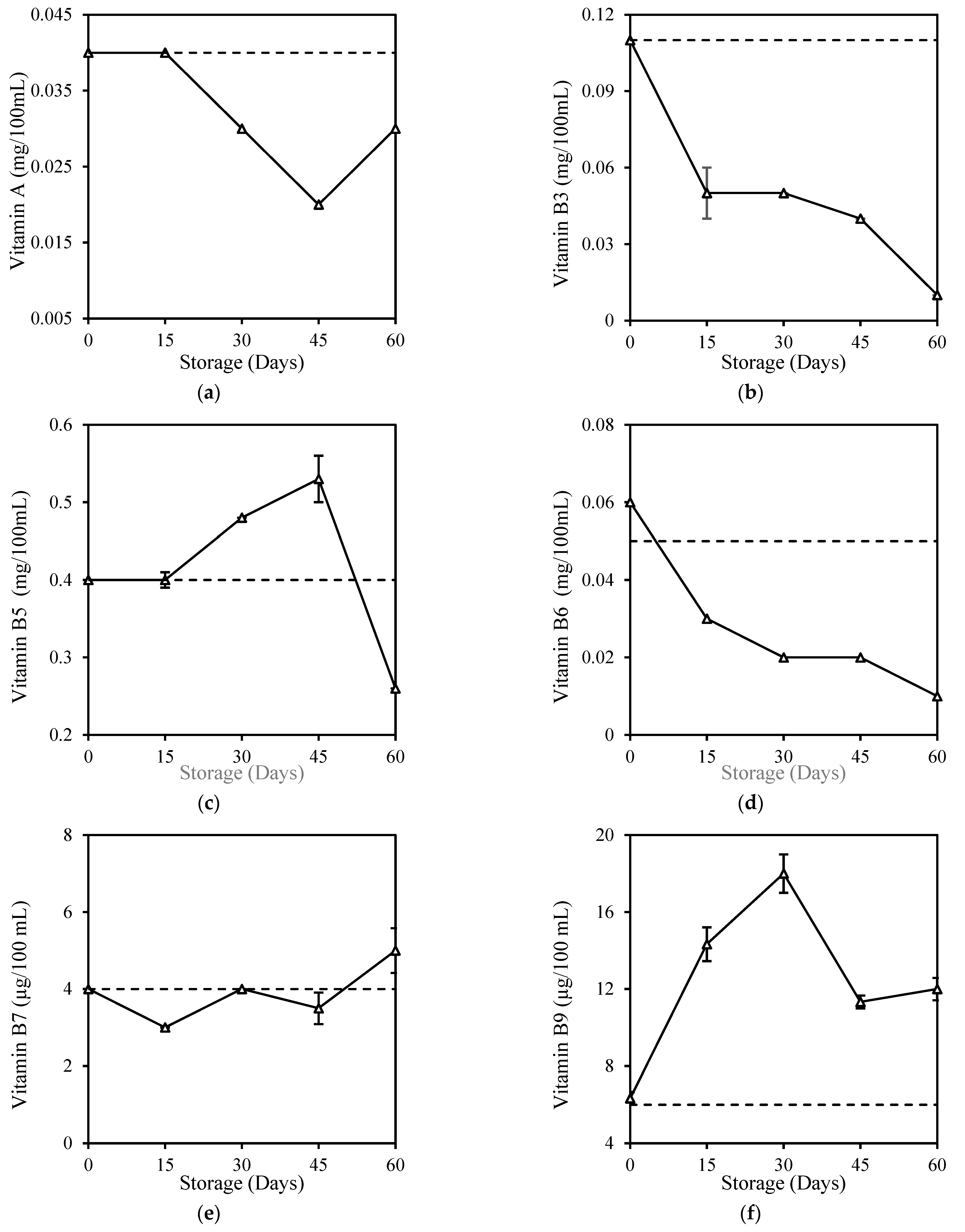
3.3.1. Vitamin Content
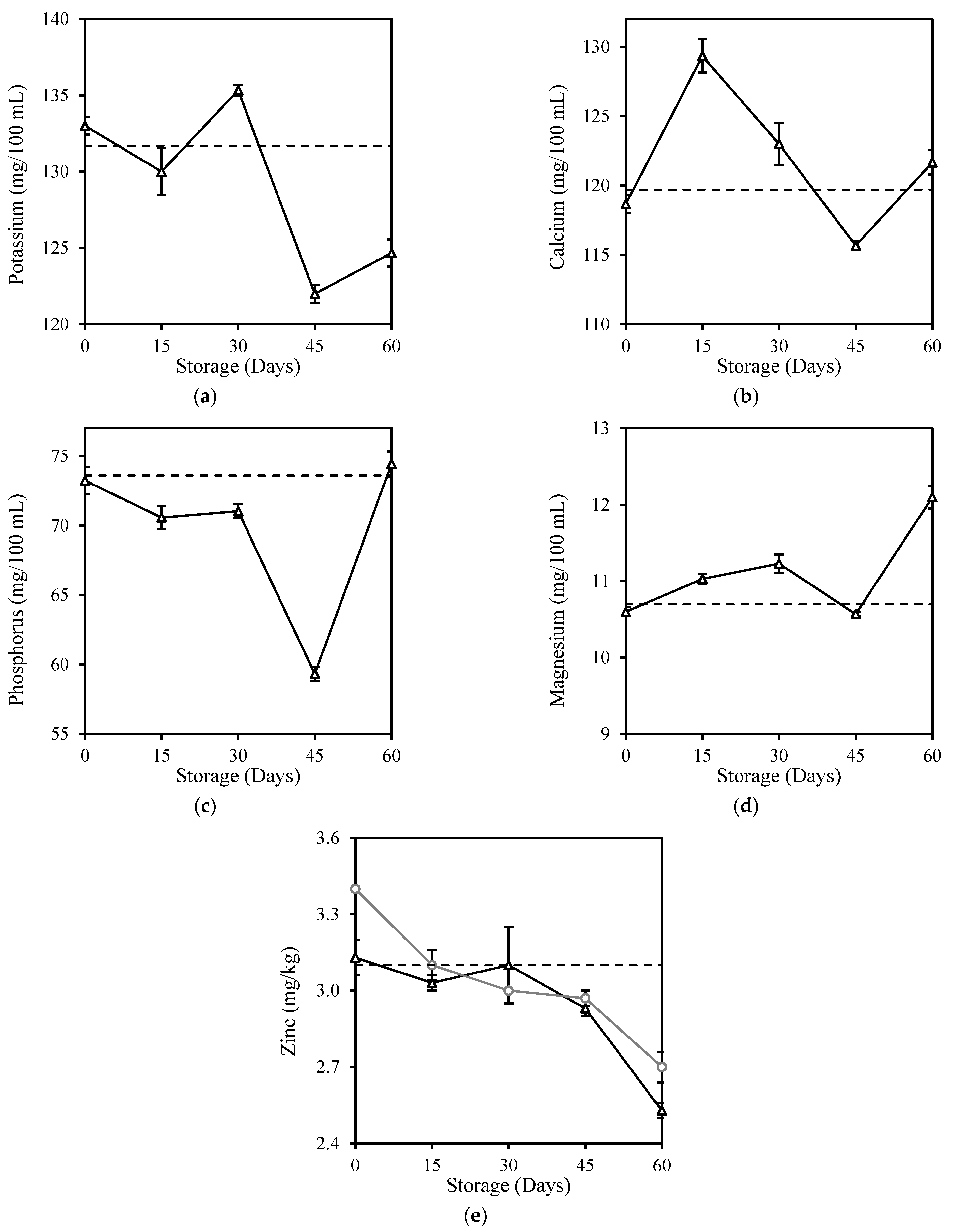
3.3.2. Mineral Content
4. Conclusions
Author Contributions
Funding
Institutional Review Board Statement
Informed Consent Statement
Data Availability Statement
Acknowledgments
Conflicts of Interest
Appendix A. Microbiological Analysis Data

Appendix B. Physicochemical Analysis Data
| Properties | Storage (Days) | ||
|---|---|---|---|
| 0 | 3 | 6 | |
| pH Value (pH) | 6.57 ± 0.03 ab | 6.60 ± 0.00 a | 6.50 ± 0.00 b |
| Acidity as Lactic Acid (%) | 0.20 ± 0.00 a | 0.20 ± 0.00 a | 0.37 ± 0.03 b |
| Fat (g/100 g) | 3.57 ± 0.12 a | 3.50 ± 0.06 a | 3.57 ± 0.12 a |
| Protein (g/100 g) | 3.10 ± 0.00 a | 3.27 ± 0.09 a | 3.10 ± 0.00 a |
| Total Solids (g/100 mL) | 12.07 ± 0.12 a | 12.57 ± 0.09 b | 12.37 ± 0.12 ab |
| Non-Fat Milk Solids (g/100 g) | 8.40 ± 0.15 a | 8.77 ± 0.03 a | 8.60 ± 0.00 a |
| Specific Gravity (g/ mL) | 1.02 ± 0.00 | 1.02 ± 0.00 | 1.02 ± 0.00 |
Appendix C. Vitamin Content Analysis Data
| Vitamin Content | LOR Unit | Storage (Days) | ||
|---|---|---|---|---|
| 0 | 3 | 6 | ||
| Vitamin A (as Retinol) * | 0.1 mg/100 mL | 0.04 ± 0.00 b | 0.02 ± 0.00 a | 0.02 ± 0.00 a |
| Beta-carotene * | 1 mg/100 mL | 0.02 ± 0.00 a | 0.02 ± 0.00 a | 0.02 ± 0.00 a |
| Vitamin B1 * | 0.25 mg/100 mL | 0.04 ± 0.00 a | 0.04 ± 0.00 a | 0.04 ± 0.00 a |
| Vitamin B2 * | 0.25 mg/100 mL | 0.17 ± 0.00 a | 0.18 ± 0.01 a | 0.17 ± 0.01 a |
| Vitamin B3 (as Niacin) * | 0.2 mg/100 mL | 0.11 ± 0.00 | <0.2 | <0.2 |
| Vitamin B5 | 0.25 mg/100 mL | 0.40 ± 0.00 a | 0.58 ± 0.01 b | 0.58 ± 0.00 b |
| Vitamin B6 * | 0.25 mg/100 mL | 0.05 ± 0.01 b | 0.02 ± 0.00 a | 0.02 ± 0.00 a |
| Vitamin B7 (Biotin) | 1 µg/100 mL | 4.00 ± 0.00 a | 4.33 ± 0.58 a | 4.33 ± 0.58 a |
| Vitamin B9 (Folic Acid) | 1 µg/100 mL | 6.00 ± 0.00 a | 7.50 ± 0.50 b | 7.50 ± 0.50 b |
| Vitamin B12 (Cyanocobalamin) | 1 µg/100 mL | 1.67 ± 0.58 | <1 | <1 |
| Vitamin C * | 2 mg/100 mL | 1.00 ± 0.00 c | 0.47 ± 0.06 b | 0.20 ± 0.10 a |
| Vitamin D | 0.1 µg/100 mL | 2.50 ± 0.00 a | 2.52 ± 0.01 a | 2.51 ± 0.01 a |
| Vitamin E (Alpha-Tocopherol) * | 0.1 mg/100 mL | 0.07 ± 0.00 a | 0.08 ± 0.00 b | 0.08 ± 0.00 b |
| Vitamin K | 0.1 µg/100 g | 0.30 | 0.45 | 0.46 |
Appendix D. Mineral Content Analysis Data
| Mineral Content | Storage (Days) | ||
|---|---|---|---|
| 0 | 3 | 6 | |
| Potassium (mg/100 mL) | 131.67 ± 0.88 a | 145.33 ± 2.03 b | 126.00 ± 0.58 a |
| Calcium (mg/100 mL) | 119.67 ± 1.86 b | 147.67 ± 2.33 c | 111.00 ± 1.53 a |
| Phosphorus (mg/100 mL) | 73.63 ± 0.37 b | 86.10 ± 1.78 c | 62.73 ± 1.27 a |
| Magnesium (mg/100 mL) | 10.73 ± 0.17 a | 12.97 ± 0.18 b | 10.90 ± 0.10 a |
| Zinc (mg/kg) | 3.13 ± 0.07 b | 2.37 ± 0.03 a | 3.27 ± 0.24 b |
| Selenium (mg/kg) | <0.2 | <0.2 | <0.2 |
References
- Claeys, W.L.; Cardoen, S.; Daube, G.; De Block, J.; Dewettinck, K.; Dierick, K.; De Zutter, L.; Huyghebaert, A.; Imberechts, H.; Thiange, P.; et al. Raw or heated cow milk consumption: Review of risks and benefits. Food Control. 2013, 31, 251–262. [Google Scholar] [CrossRef]
- Tamime, A.Y. Milk Processing and Quality Management; Wiley-Blackwell: Oxford, UK, 2008. [Google Scholar]
- Lorenzen, P.C.; Clawin-Rädecker, I.; Einhoff, K.; Hammer, P.; Hartmann, R.; Hoffmann, W.; Martin, D.; Molkentin, J.; Walte, H.G.; Devrese, M. A survey of the quality of extended shelf life (ESL) milk in relation to HTST and UHT milk. Int. J. Dairy Technol. 2011, 64, 166–178. [Google Scholar] [CrossRef]
- Blake, M.R.; Weimer, B.C.; Mcmahon, D.J.; Savello, P.A. Sensory and microbial quality of milk processed for extended shelf life by direct steam injection. J. Food Prot. 1995, 58, 1007–1013. [Google Scholar] [CrossRef] [PubMed]
- Krishna, T.C.; Najda, A.; Bains, A.; Tosif, M.M.; Papliński, R.; Kapłan, M.; Chawla, P. Influence of ultra-heat treatment on properties of milk proteins. Polymers 2021, 13, 3164. [Google Scholar] [CrossRef]
- Sun, D.W. Thermal Food Processing: New Technologies and Quality Issues; Taylor & Francis Group: Boca Raton, FL, USA, 2006. [Google Scholar]
- Chavan, R.S.; Sehrawat, R.; Mishra, V.; Bhatt, S. Milk: Processing of Milk. In Encyclopedia of Food and Health; Elsevier Science Publishing Co., Inc.: San Diego, CA, USA, 2016; pp. 729–735. [Google Scholar]
- Chawla, R.; Patil, G.R.; Singh, A.K. High hydrostatic pressure technology in dairy processing: A review. J. Food Sci. Technol. 2011, 48, 260–268. [Google Scholar] [CrossRef] [PubMed]
- Mandal, R.; Kant, R. High-pressure processing and its applications in the dairy industry. Food Sci. Technol. Int. J. FSTJ 2017, 1, 33–45. [Google Scholar]
- Srinivas, M.S.; Madhu, B.; Girijal, S. High Pressure Processing of Foods: A Review. Andhra Agric. J. 2018, 65, 467–476. [Google Scholar]
- García-Risco, M.R.; Olano, A.; Ramos, M.; López-Fandiño, R. Micellar changes induced by high pressure. Influence in the proteolytic activity and organoleptic properties of milk. J. Dairy Sci. 2000, 83, 2184–2189. [Google Scholar] [CrossRef]
- Mussa, D.M.; Ramaswamy, H.S. Ultra high pressure pasteurization of milk: Kinetics of microbial destruction and changes in Physico-chemical characteristics. LWT-Food Sci. Technol. 1997, 30, 551–557. [Google Scholar] [CrossRef]
- Stratakos, A.C.; Inguglia, E.S.; Linton, M.; Tollerton, J.; Murphy, L.; Corcionivoschi, N.; Koidis, A.; Tiwari, B.K. Effect of high pressure processing on the safety, shelf life and quality of raw milk. Innov. Food Sci. Emerg. Technol. 2019, 52, 325–333. [Google Scholar] [CrossRef]
- Tan, S.F.; Chin, N.L.; Tee, T.P.; Chooi, S.K. Physico-chemical changes, microbiological properties, and storage shelf life of cow and goat milk from industrial high-pressure processing. Processes 2020, 8, 697. [Google Scholar] [CrossRef]
- Jackson, G.J.; Merker, R.I.; Bandler, R. Bacteriological Analytical Manual (BAM). no. January 2001. Available online: https://www.fda.gov/food/laboratory-methods-food/bacteriological-analytical-manual-bam#intro (accessed on 25 January 2022).
- Peterkin, P.I. Compendium of methods for the microbiological examination of foods (3rd edn). Trends Food Sci. Technol. 1993, 4, 199. [Google Scholar] [CrossRef]
- Veling, J.; van Zijderveld, F.G.; Bemmel, A.M.V.Z.-V.; Schukken, Y.H.; Barkema, H.W. Evaluation of two enzyme-linked immunosorbent assays for detecting Salmonella enterica subsp. enterica serovar Dublin antibodies in bulk milk. Clin. Diagn. Lab. Immunol. 2001, 8, 1049–1055. [Google Scholar] [CrossRef]
- Pyne, G.T. The determination of milk-proteins by formaldehyde titration. Biochem. J. 1932, 26, 1006–1014. [Google Scholar] [CrossRef] [PubMed]
- Horwitz, W. AOAC: Official Methods of Analysis; Association of Official Analytical Chemists: Washington, DC, USA, 1980; Volume 552. [Google Scholar]
- Agostini-costa, T.S.; Teixeira-filho, J.; Scherer, R.; Prado, M.A.; Godoy, H.T. Determination of B-Group Vitamins in Enriched Flavored Milk Mixes. Aliment. E Nutr. Araraquara 2007, 18, 351–356. [Google Scholar]
- Woollard, D.C.; Indyk, H.E.; Christiansen, S.K. The analysis of pantothenic acid in milk and infant formulas by HPLC. Food Chem. 2000, 69, 201–208. [Google Scholar] [CrossRef]
- AOAC. AOAC Official Method 960.46. Vitamin assays, microbiological method Gaithersburg. In The Official Methods of Analysis of AOAC International, 18th ed.; AOAC: Arlington, TX, USA, 2006. [Google Scholar]
- AOAC. AOAC Official Method 967.21. In Official Methods of Analysis, 16th ed.; AOAC: Arlington, TX, USA, 1995; Available online: https://www.scribd.com/document/176943262/AOAC-Method-Ascorbic-Ac-967-21 (accessed on 25 January 2022).
- AOAC. AOAC Official Method 999.15. Vitamin K in Milk and Infant Formulas, Liquid Chromatographic Method. In Official Methods of Analysis, Method 999.15, 18th ed.; AOAC International: Gaithersburg, MD, USA, 2005. [Google Scholar]
- Silva, M.G.; Sanders, J.K. Vitamin D in Infant Formula and Enteral Products by Liquid Chromatography: Collaborative Study. J. AOAC Int. 1996, 79, 73–80. [Google Scholar] [CrossRef]
- Kira, C.S.; Maihara, V.A. Determination of major and minor elements in dairy products through inductively coupled plasma optical emission spectrometry after wet partial digestion and neutron activation analysis. Food Chem. 2007, 100, 390–395. [Google Scholar] [CrossRef]
- Food Regulations. Laws of Malaysia P.U.(A) 437 Of 1985 Food Act 1983 Food Regulations 1985. 1985; p. 310. Available online: http://overseas.cas.org.tw/Data/Sites/1/media/馬來西亞/FR1985.pdf (accessed on 21 February 2022).
- Liepa, M.; Zagorska, J.; Galoburda, R.; Kostascuka, S. Effect of high-pressure processing on microbial quality of skimmed milk. Proc. Latv. Acad. Sci. Sect. B Nat. Exact Appl. Sci. 2018, 72, 118–122. [Google Scholar] [CrossRef]
- Razali, M.F.; Narayanan, S.; Hazmi, N.A.M.; Shah, N.N.A.K.; Kamal, S.M.M.; Fauzi, N.A.M.; Sulaiman, A. Minimal processing for goat milk preservation: Effect of high-pressure processing on its quality. J. Food Process. Preserv. 2021, 45, e15590. [Google Scholar] [CrossRef]
- Godič Torkar, K.; Golc Teger, S. The microbiological quality of raw milk after introducing the two day’s milk collecting system. Acta Agric. Slov. 2008, 92, 61–74. [Google Scholar]
- Martinez, B.A.; Stratton, J.; Bianchini, A. Isolation and genetic identification of spore-forming bacteria associated with concentrated-milk processing in Nebraska. J. Dairy Sci. 2017, 100, 919–932. [Google Scholar] [CrossRef]
- Quigley, L.; O’Sullivan, O.; Stanton, C.; Beresford, T.P.; Ross, R.; Fitzgerald, G.F.; Cotter, P.D. The complex microbiota of raw milk. FEMS Microbiol. Rev. 2013, 37, 664–698. [Google Scholar] [CrossRef] [PubMed]
- Samaržija, D.; Zamberlin, Š.; Pogačić, T. Psychrotrophic bacteria and milk and dairy products quality. Mljekarstvo 2012, 62, 77–95. [Google Scholar]
- Xin, L.; Meng, Z.; Zhang, L.; Cui, Y.; Han, X.; Yi, H. The diversity and proteolytic properties of psychrotrophic bacteria in raw cows’ milk from North China. Int. Dairy J. 2017, 66, 34–41. [Google Scholar] [CrossRef]
- Liu, G.; Carøe, C.; Qin, Z.; Munk, D.M.; Crafack, M.; Petersen, M.A.; Ahrné, L. Comparative study on quality of whole milk processed by high hydrostatic pressure or thermal pasteurization treatment. LWT-Food Sci. Technol. 2020, 127, 109370. [Google Scholar] [CrossRef]
- Official Journal of the European Communities. Official Journal of the European Communities. Anal. Proc. 1984, 21, 196. [Google Scholar] [CrossRef]
- Gilbert, R.J.; De Louvois, J.; Donovan, T.; Little, C.; Nye, K.; Ribeiro, C.D.; Richards, J.; Roberts, D.; Bolton, F.J. Guidelines for the microbiological quality of some ready-to-eat foods sampled at the point of sale. PHLS Advisory Committee for Food and Dairy Products. Commun. Dis. Public Health/PHLS 2000, 3, 163–167. [Google Scholar]
- Food Standards Australia New Zealand. Compendium of Microbiological Criteria for Food; Food Standards Australia New Zealand: Wellington, New Zealand, 2018.
- Lu, M.; Shiau, Y.; Wong, J.; Lin, R.; Kravis, H.; Blackmon, T.; Pakzad, T.; Jen, T.; Cheng, A.; Chang, J.; et al. Milk Spoilage: Methods and Practices of Detecting Milk Quality. Food Nutr. Sci. 2013, 04, 113–123. [Google Scholar] [CrossRef]
- Swartzel, K. The role of heat exchanger fouling in the formation of sediment in aseptically processed and packed milk. J. Food Process. Prev. 1983, 7, 247–251. [Google Scholar] [CrossRef]
- Andrew, A.; Brooker, B.; Hobbs, D. Properties of aseptically packed UHT milk. Electron microscopic examination of changes occurring during storage. J. Dairy Res. 1977, 44, 283–285. [Google Scholar] [CrossRef]
- Vankatachalm, N.; Macmahon, D. Effect of lactose concentration on age-gelation of UHT sterilized skim milk concentrate. J. Dairy Sci. 1991, 74, 101–107. [Google Scholar]
- Benet, G.U. In Phd thesis High-Pressure Low-Temperature Processing of Foods: Impact of Metastable Phases on Process and Quality Parameters. 2005, pp. 29–30. Available online: https://depositonce.tu-berlin.de/items/ee7befa0-1511-462a-88d9-c1d84d2cb4cc (accessed on 27 January 2022).
- Huppertz, T.; Kelly, A.L.; Fox, P.F. Effects of high pressure on constituents and properties of milk. Int. Dairy J. 2002, 12, 561–572. [Google Scholar] [CrossRef]
- Özer, B.; Akdemir-Evrendilek, G. Non-Thermal Processing of Milk and Milk Products for Microbial Safety. In Dairy Microbiology and Biochemistry; CRC Press: Boca Raton, FL, USA, 2014; pp. 285–301. [Google Scholar]
- Tran, M.; Roberts, R.; Felix, T.; Harte, F. Effect of high-pressure-jet processing on the viscosity and foaming properties of pasteurized whole milk. J. Dairy Sci. 2018, 101, 3887–3899. [Google Scholar] [CrossRef] [PubMed]
- Dumay, E.; Lambert, C.; Funtenberger, S.; Cheftel, J.C. Effects of high pressure on the physico-chemical characteristics of dairy creams and model oil/water emulsions. LWT-Food Sci. Technol. 1996, 29, 606–625. [Google Scholar] [CrossRef]
- Sierra, I.; Vidal-Valverde, C. Effect of high pressure on the vitamin B1and B6 content of milk. Milchwissenschaft 2000, 55, 365–367. Available online: https://www.cabdirect.org/cabdirect/abstract/20000405287 (accessed on 16 March 2022).
- Moltó-Puigmartí, C.; Permanyer, M.; Castellote, A.I.; López-Sabater, M.C. Effects of pasteurisation and high-pressure processing on vitamin C, tocopherols and fatty acids in mature human milk. Food Chem. 2011, 124, 697–702. [Google Scholar] [CrossRef]
- Balci, A.T.; Wilbey, R.A. High pressure processing of milk-the first 100 years in the development of a new technology. Int. J. Dairy Technol. 1999, 52, 149–155. [Google Scholar] [CrossRef]
- Cao, X.; Bi, X.; Huang, W.; Wu, J.; Hu, X.; Liao, X. Changes of quality of high hydrostatic pressure processed cloudy and clear strawberry juices during storage. Innov. Food Sci. Emerg. Technol. 2012, 16, 181–190. [Google Scholar] [CrossRef]
- Terefe, N.S.; Kleintschek, T.; Gamage, T.; Fanning, K.J.; Netzel, G.; Versteeg, C.; Netzel, M. Comparative effects of thermal and high pressure processing on phenolic phytochemicals in different strawberry cultivars. Innov. Food Sci. Emerg. Technol. 2013, 19, 57–65. [Google Scholar] [CrossRef]
- Andrés, V.; Villanueva, M.-J.; Tenorio, M.-D. Influence of high pressure processing on microbial shelf life, sensory profile, soluble sugars, organic acids, and mineral content of milk- and soy-smoothies. LWT-Food Sci. Technol. 2016, 65, 98–105. [Google Scholar] [CrossRef]






| Bacteria Count (log10 CFU/mL) | Fresh Milk | HPP | Safety Limit |
|---|---|---|---|
| Total Plate | 5.13 ± 0.06 b | 1.26 ± 0.04 a | <5 |
| Total Coliform | 2.56 ± 0.02 | <1 | <1.7 |
| Escherichia coli | 1.53 ± 0.12 | <1 | <2 |
| Yeast and Molds | 1.61 ± 0.15 | <1 | <1 * |
| Psychrotrophic Bacteria | 6.81 ± 0.05 | <1 | <5 |
| Psychrotrophic Spore | 0.99 ± 0.15 | <1 | <1 * |
| Mesophilic Aerobic Spore | 0.72 ± 0.06 | <1 | <5 |
| Thermophilic Aerobic Spore | <1 | <1 | <1 * |
| Staphylococcus aureus | 2.96 ± 0.03 | <1 | <1.3 |
| Bacillus cereus | <1 | <1 | <5 |
| Clostridium perfringens | <1 | <1 | <4 |
| Bacteria Existence (Present/Absent) | Fresh Milk | HPP | Safety Limit |
| Listeria monocytogenes per 25 gm | Absent | Absent | Absent |
| Salmonella spp. per 25 gm | Absent | Absent | Absent |
| Vitamin Content | LOR Unit | Fresh Milk | HPP |
|---|---|---|---|
| Vitamin A (as Retinol) * | 0.1 mg/100 mL | 0.04 ± 0.00 a | 0.04 ± 0.00 a |
| Beta-carotene * | 1 mg/100 mL | 0.02 ± 0.00 a | 0.02 ± 0.00 a |
| Vitamin B1 * | 0.25 mg/100 mL | 0.04 ± 0.00 a | 0.03 ± 0.00 a |
| Vitamin B2 * | 0.25 mg/100 mL | 0.17 ± 0.00 a | 0.18 ± 0.00 a |
| Vitamin B3 (as Niacin) * | 0.25 mg/100 mL | 0.11 ± 0.00 a | 0.11 ± 0.00 a |
| Vitamin B5 | 0.25 mg/100 mL | 0.40 ± 0.00 a | 0.40 ± 0.00 a |
| Vitamin B6 * | 0.25 mg/100 mL | 0.05 ± 0.01 a | 0.06 ± 0.00 a |
| Vitamin B7 (Biotin) | 1 µg/100 mL | 4.00 ± 0.00 a | 4.00 ± 0.00 a |
| Vitamin B9 (Folic Acid) | 1 µg/100 mL | 6.00 ± 0.00 a | 6.33 ± 0.33 a |
| Vitamin B12 (Cyanocobalamin) | 1 µg/100 mL | 1.67 ± 0.58 a | 2.00 ± 0.00 a |
| Vitamin C * | 2 mg/100 mL | 1.00 ± 0.00 a | 1.67 ± 0.33 ab |
| Vitamin D | 0.1 µg/100 mL | 2.50 ± 0.00 a | 2.50 ± 0.00 a |
| Vitamin E (Alpha-Tocopherol) * | 0.1 mg/100 mL | 0.07 ± 0.00 a | 0.07 ± 0.00 a |
| Vitamin K | 0.1 µg/100 g | 0.3 | 0.65 |
Disclaimer/Publisher’s Note: The statements, opinions and data contained in all publications are solely those of the individual author(s) and contributor(s) and not of MDPI and/or the editor(s). MDPI and/or the editor(s) disclaim responsibility for any injury to people or property resulting from any ideas, methods, instructions or products referred to in the content. |
© 2023 by the authors. Licensee MDPI, Basel, Switzerland. This article is an open access article distributed under the terms and conditions of the Creative Commons Attribution (CC BY) license (https://creativecommons.org/licenses/by/4.0/).
Share and Cite
Lim, S.H.; Chin, N.L.; Sulaiman, A.; Tay, C.H.; Wong, T.H. Microbiological, Physicochemical and Nutritional Properties of Fresh Cow Milk Treated with Industrial High-Pressure Processing (HPP) during Storage. Foods 2023, 12, 592. https://doi.org/10.3390/foods12030592
Lim SH, Chin NL, Sulaiman A, Tay CH, Wong TH. Microbiological, Physicochemical and Nutritional Properties of Fresh Cow Milk Treated with Industrial High-Pressure Processing (HPP) during Storage. Foods. 2023; 12(3):592. https://doi.org/10.3390/foods12030592
Chicago/Turabian StyleLim, Shu Huey, Nyuk Ling Chin, Alifdalino Sulaiman, Cheow Hwang Tay, and Tak Hiong Wong. 2023. "Microbiological, Physicochemical and Nutritional Properties of Fresh Cow Milk Treated with Industrial High-Pressure Processing (HPP) during Storage" Foods 12, no. 3: 592. https://doi.org/10.3390/foods12030592
APA StyleLim, S. H., Chin, N. L., Sulaiman, A., Tay, C. H., & Wong, T. H. (2023). Microbiological, Physicochemical and Nutritional Properties of Fresh Cow Milk Treated with Industrial High-Pressure Processing (HPP) during Storage. Foods, 12(3), 592. https://doi.org/10.3390/foods12030592

