Lavandula pedunculata Polyphenol-Rich Extracts Obtained by Conventional, MAE and UAE Methods: Exploring the Bioactive Potential and Safety for Use a Medicine Plant as Food and Nutraceutical Ingredient
Abstract
1. Introduction
2. Materials and Methods
2.1. Chemicals
2.2. Plant Material and Preparation of Extracts
2.2.1. Plant Material
2.2.2. Extraction Methodologies
2.3. Total Phenolic Content
2.4. Phenolic Compounds Identification by LC-ESI-QqTOF-HRMS
2.5. Phenolic Compounds Quantification by HPLC–DAD
2.6. Antioxidant Activity
2.6.1. ABTS Method
2.6.2. DPPH Method
2.6.3. ORAC Method
2.7. Antimicrobial Activity
2.7.1. Bacterial Strains
2.7.2. Growth Inhibition Curves
2.8. Tyrosinase Inhibition Assay
2.9. α-Glucosidase Inhibition Assay
2.10. Angiotensin-Converting Enzyme-I Inhibition Assay (iACE)
2.11. Cytotoxicity
2.11.1. Cell Line Growth Conditions
2.11.2. Cytotoxicity Assay
2.12. Mutagenicity Evaluation—AMES Assay
2.13. Statistical Analysis
3. Results
3.1. Extractive Yield
3.2. Total Phenolic Content
3.3. Phenolic Compounds Profile and Quantification
3.4. Antioxidant Activity
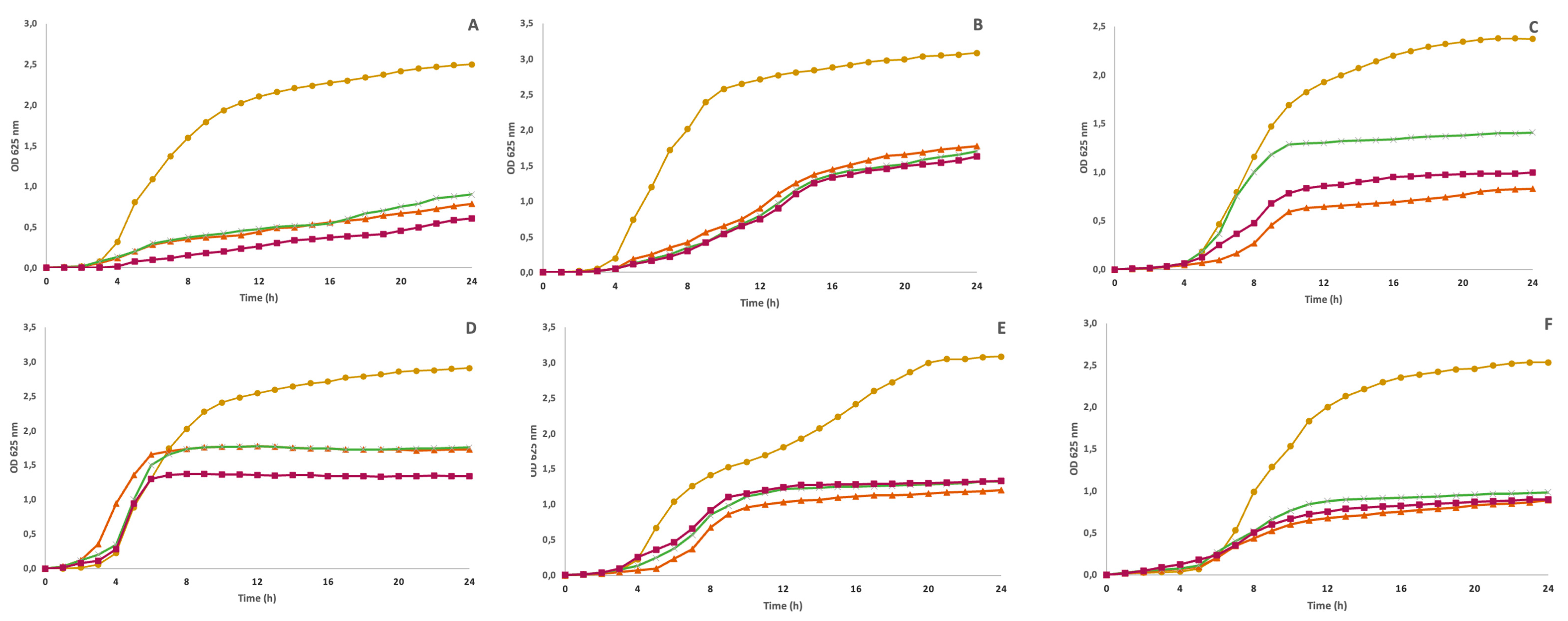
3.5. Antimicrobial Activity
3.6. Tyrosinase Inhibition
3.7. α-Glucosidase and ACE Inhibition
3.8. Cytotoxicity and Mutagenicity
4. Conclusions
Author Contributions
Funding
Data Availability Statement
Acknowledgments
Conflicts of Interest
References
- Habán, M.; Korczyk-Szabó, J.; Čerteková, S.; Ražná, K. Lavandula Species, Their Bioactive Phytochemicals, and Their Biosynthetic Regulation. Int. J. Mol. Sci. 2023, 24, 8831. [Google Scholar] [CrossRef]
- da Cunha, A.P.; Nogueira, M.T.; Roque, O.R. Plantas Aromáticas e Óleos Essenciais: Composição e Aplicações; Fundação Calouste Gulbenkian: Lisbon, Portugal, 2012; ISBN 972311450X. [Google Scholar]
- Lopes, C.L.; Pereira, E.; Soković, M.; Carvalho, A.M.; Barata, A.M.; Lopes, V.; Rocha, F.; Calhelha, R.C.; Barros, L.; Ferreira, I.C.F.R. Phenolic Composition and Bioactivity of Lavandula pedunculata (Mill.) Cav. Samples from Different Geographical Origin. Molecules 2018, 23, 1037. [Google Scholar] [CrossRef]
- Mansinhos, I.; Gonçalves, S.; Rodríguez-Solana, R.; Luis Ordóñez-Díaz, J.; Manuel Moreno-Rojas, J.; Romano, A.; Barba, F.J. Ultrasonic-Assisted Extraction and Natural Deep Eutectic Solvents Combination: A Green Strategy to Improve the Recovery of Phenolic Compounds from Lavandula pedunculata Subsp. Lusitanica (Chaytor) Franco. Antioxidants 2021, 10, 582. [Google Scholar] [CrossRef]
- Arruda, H.S.; Neri-Numa, I.A.; Kido, L.A.; Júnior, M.R.M.; Pastore, G.M. Recent Advances and Possibilities for the Use of Plant Phenolic Compounds to Manage Ageing-Related Diseases. J. Funct. Foods 2020, 75, 104203. [Google Scholar] [CrossRef]
- Domingues, J.; Delgado, F.; Gonçalves, J.C.; Zuzarte, M.; Duarte, A.P. Mediterranean Lavenders from Section Stoechas: An Undervalued Source of Secondary Metabolites with Pharmacological Potential. Metabolites 2023, 13, 337. [Google Scholar] [CrossRef] [PubMed]
- Boutahiri, S.; Bouhrim, M.; Abidi, C.; Mechchate, H.; Alqahtani, A.S.; Noman, O.M.; Elombo, F.K.; Gressier, B.; Sahpaz, S.; Bnouham, M.; et al. Antihyperglycemic Effect of Lavandula pedunculata: In Vivo, in Vitro and Ex Vivo Approaches. Pharmaceutics 2021, 13, 2019. [Google Scholar] [CrossRef] [PubMed]
- Alara, O.R.; Abdurahman, N.H.; Ukaegbu, C.I. Extraction of Phenolic Compounds: A Review. Curr. Res. Food Sci. 2021, 4, 200–214. [Google Scholar] [CrossRef] [PubMed]
- Panzella, L.; Moccia, F.; Nasti, R.; Marzorati, S.; Verotta, L.; Napolitano, A. Bioactive Phenolic Compounds from Agri-Food Wastes: An Update on Green and Sustainable Extraction Methodologies. Front. Nutr. 2020, 7, 60. [Google Scholar] [CrossRef]
- Castiello, C.; Junghanns, P.; Mergel, A.; Jacob, C.; Ducho, C.; Valente, S.; Rotili, D.; Fioravanti, R.; Zwergel, C.; Mai, A. GreenMedChem: The Challenge in the next Decade toward Eco-Friendly Compounds and Processes in Drug Design. Green Chem. 2023, 25, 2109–2169. [Google Scholar] [CrossRef]
- Asioli, D.; Aschemann-Witzel, J.; Caputo, V.; Vecchio, R.; Annunziata, A.; Næs, T.; Varela, P. Making Sense of the “Clean Label” Trends: A Review of Consumer Food Choice Behavior and Discussion of Industry Implications. Food Res. Int. 2017, 99, 58–71. [Google Scholar] [CrossRef]
- Dias, C.; Fonseca, A.M.A.; Amaro, A.L.; Vilas-Boas, A.A.; Oliveira, A.; Santos, S.A.O.; Silvestre, A.J.D.; Rocha, S.M.; Isidoro, N.; Pintado, M. Natural-Based Antioxidant Extracts as Potential Mitigators of Fruit Browning. Antioxidants 2020, 9, 715. [Google Scholar] [CrossRef] [PubMed]
- De Corato, U. Improving the Shelf-Life and Quality of Fresh and Minimally-Processed Fruits and Vegetables for a Modern Food Industry: A Comprehensive Critical Review from the Traditional Technologies into the Most Promising Advancements. Crit. Rev. Food Sci. Nutr. 2020, 60, 940–975. [Google Scholar] [CrossRef] [PubMed]
- Ali Asgar, M.D. Anti-Diabetic Potential of Phenolic Compounds: A Review. Int. J. Food Prop. 2013, 16, 91–103. [Google Scholar] [CrossRef]
- Al Shukor, N.; Van Camp, J.; Gonzales, G.B.; Staljanssens, D.; Struijs, K.; Zotti, M.J.; Raes, K.; Smagghe, G. Angiotensin-Converting Enzyme Inhibitory Effects by Plant Phenolic Compounds: A Study of Structure Activity Relationships. J. Agric. Food Chem. 2013, 61, 11832–11839. [Google Scholar] [CrossRef]
- Choudhary, P.; Khade, M.; Savant, S.; Musale, A.; Chelliah, M.S.; Dasgupta, S. Empowering Blue Economy: From Underrated Ecosystem to Sustainable Industry. J. Environ. Manag. 2021, 291, 112697. [Google Scholar] [CrossRef]
- Dobros, N.; Zawada, K.; Paradowska, K. Phytochemical Profile and Antioxidant Activity of Lavandula angustifolia and Lavandula × intermedia Cultivars Extracted with Different Methods. Antioxidants 2022, 11, 711. [Google Scholar] [CrossRef] [PubMed]
- Leocádio, J.C.S. A Influência Do Método de Extração Na Bioatividade e Perfil Metabólico de Extratos de Rosmaninho. Master’s Thesis, Universidade de Coimbra, Coimbra, Portugal, 2018. [Google Scholar]
- Vilas-Boas, A.A.; Campos, D.A.; Nunes, C.; Ribeiro, S.; Nunes, J.; Oliveira, A.; Pintado, M. Polyphenol Extraction by Different Techniques for Valorisation of Non-Compliant Portuguese Sweet Cherries towards a Novel Antioxidant Extract. Sustainability 2020, 12, 5556. [Google Scholar] [CrossRef]
- Coscueta, E.R.; Reis, C.A.; Pintado, M. Phenylethyl Isothiocyanate Extracted from Watercress By-Products with Aqueous Micellar Systems: Development and Optimisation. Antioxidants 2020, 9, 698. [Google Scholar] [CrossRef]
- CLSI. Methods for Dilution Antimicrobial Susceptibility Test for Bacteria That GrowAerobically, 11th ed.; CLSI standard M07; CLSI: Wayne, NJ, USA, 2015. [Google Scholar]
- Ribeiro, T.B.; Oliveira, A.; Coelho, M.; Veiga, M.; Costa, E.M.; Silva, S.; Nunes, J.; Vicente, A.A.; Pintado, M. Are Olive Pomace Powders a Safe Source of Bioactives and Nutrients? J. Sci. Food Agric. 2021, 101, 1963–1978. [Google Scholar] [CrossRef]
- Kwon, Y.-I.I.; Vattem, D.A.; Shetty, K. Evaluation of Clonal Herbs of Lamiaceae Species for Management of Diabetes and Hypertension. Asia Pac. J. Clin. Nutr. 2006, 15, 107. [Google Scholar]
- Coscueta, E.R.; Campos, D.A.; Osório, H.; Nerli, B.B.; Pintado, M. Enzymatic Soy Protein Hydrolysis: A Tool for Biofunctional Food Ingredient Production. Food Chem. X 2019, 1, 100006. [Google Scholar] [CrossRef] [PubMed]
- Wallin, R.F.; Arscott, E.F. A Practical Guide to ISO 10993-5: Cytotoxicity. Med. Device Diagn. Ind. 1998, 20, 96–98. [Google Scholar]
- OECD 471: Bacterial Reverse Mutation Test. OECD Guidel. Test. Chem. Sect. 1997, 4, 1–11.
- Drăghici-Popa, A.-M.; Boscornea, A.C.; Brezoiu, A.-M.; Tomas, Ș.T.; Pârvulescu, O.C.; Stan, R. Effects of Extraction Process Factors on the Composition and Antioxidant Activity of Blackthorn (Prunus spinosa L.) Fruit Extracts. Antioxidants 2023, 12, 1897. [Google Scholar] [CrossRef] [PubMed]
- Vo, T.P.; Nguyen, N.T.U.; Le, V.H.; Phan, T.H.; Nguyen, T.H.Y.; Nguyen, D.Q. Optimizing Ultrasonic-Assisted and Microwave-Assisted Extraction Processes to Recover Phenolics and Flavonoids from Passion Fruit Peels. ACS Omega 2023, 8, 33870–33882. [Google Scholar] [CrossRef] [PubMed]
- Lezoul, N.E.H.; Belkadi, M.; Habibi, F.; Guillén, F. Extraction Processes with Several Solvents on Total Bioactive Compounds in Different Organs of Three Medicinal Plants. Molecules 2020, 25, 4672. [Google Scholar] [CrossRef]
- Costa, P.; Gonçalves, S.; Valentão, P.; Andrade, P.B.; Almeida, C.; Nogueira, J.M.F.; Romano, A. Metabolic Profile and Biological Activities of Lavandula pedunculata Subsp. lusitanica (Chaytor) Franco: Studies on the Essential Oil and Polar Extracts. Food Chem. 2013, 141, 2501–2506. [Google Scholar] [CrossRef]
- Gonçalves, S.; Romano, A. Inhibitory Properties of Phenolic Compounds against Enzymes Linked with Human Diseases. Phenolic Compd.-Biol. Act. 2017, 40, 100–120. [Google Scholar]
- Vilas-Boas, A.A.; Oliveira, A.; Ribeiro, T.B.; Ribeiro, S.; Nunes, C.; Gómez-García, R.; Nunes, J.; Pintado, M. Impact of Extraction Process in Non-Compliant ‘Bravo de Esmolfe’ Apples towards the Development of Natural Antioxidant Extracts. Appl. Sci. 2021, 11, 5916. [Google Scholar] [CrossRef]
- Baptista, R.; Madureira, A.M.; Jorge, R.; Adão, R.; Duarte, A.; Duarte, N.; Lopes, M.M.; Teixeira, G. Antioxidant and Antimycotic Activities of Two Native Lavandula Species from Portugal. Evid.-Based Complement. Altern. Med. 2015, 2015, 570521. [Google Scholar] [CrossRef]
- Boutahiri, S.; Eto, B.; Bouhrim, M.; Mechchate, H.; Saleh, A.; Al Kamaly, O.; Drioiche, A.; Remok, F.; Samaillie, J.; Neut, C.; et al. Lavandula pedunculata (Mill.) Cav. Aqueous Extract Antibacterial Activity Improved by the Addition of Salvia rosmarinus Spenn., Salvia lavandulifolia Vahl and Origanum compactum Benth. Life 2022, 12, 328. [Google Scholar] [CrossRef] [PubMed]
- Zengin, G.; Yagi, S.; Selvi, S.; Cziáky, Z.; Jeko, J.; Sinan, K.I.; Topcu, A.A.; Erci, F.; Boczkaj, G. Elucidation of Chemical Compounds in Different Extracts of Two Lavandula Taxa and Their Biological Potentials: Walking with Versatile Agents on the Road from Nature to Functional Applications. Ind. Crops Prod. 2023, 204, 117366. [Google Scholar] [CrossRef]
- Zeng, G.; Xiao, H.; Liu, J.; Liang, X. Identification of Phenolic Constituents in Radix Salvia Miltiorrhizae by Liquid Chromatography/Electrospray Ionization Mass Spectrometry. Rapid Commun. Mass Spectrom. 2006, 20, 499–506. [Google Scholar] [CrossRef] [PubMed]
- Oliveira, A.L.S.; Carvalho, M.J.; Oliveira, D.L.; Costa, E.; Pintado, M.; Madureira, A.R. Sugarcane Straw Polyphenols as Potential Food and Nutraceutical Ingredient. Foods 2022, 11, 4025. [Google Scholar] [CrossRef]
- Sik, B.; Hanczné, E.L.; Kapcsándi, V.; Ajtony, Z. Conventional and Nonconventional Extraction Techniques for Optimal Extraction Processes of Rosmarinic Acid from Six Lamiaceae Plants as Determined by HPLC-DAD Measurement. J. Pharm. Biomed. Anal. 2020, 184, 113173. [Google Scholar] [CrossRef]
- Kim, D.-S.; Kim, M.-B.; Lim, S.-B. Enhancement of Phenolic Production and Antioxidant Activity from Buckwheat Leaves by Subcritical Water Extraction. Prev. Nutr. Food Sci. 2017, 22, 345. [Google Scholar] [CrossRef]
- Caleja, C.; Barros, L.; Prieto, M.A.; Barreiro, M.F.; Oliveira, M.B.P.P.; Ferreira, I.C.F.R. Extraction of Rosmarinic Acid from Melissa Officinalis L. by Heat-, Microwave-and Ultrasound-Assisted Extraction Techniques: A Comparative Study through Response Surface Analysis. Sep. Purif. Technol. 2017, 186, 297–308. [Google Scholar] [CrossRef]
- Ince, A.E.; Şahin, S.; Şümnü, S.G. Extraction of Phenolic Compounds from Melissa Using Microwave and Ultrasound. Turk. J. Agric. For. 2013, 37, 69–75. [Google Scholar] [CrossRef]
- Ferreira, A.; Proença, C.; Serralheiro, M.L.M.; Araújo, M.E.M. The in Vitro Screening for Acetylcholinesterase Inhibition and Antioxidant Activity of Medicinal Plants from Portugal. J. Ethnopharmacol. 2006, 108, 31–37. [Google Scholar] [CrossRef]
- Gómez-Garcýa, R.; Campos, D.A.; Vilas-Boas, A.; Madureira, A.R.; Pintado, M. Natural Antimicrobials from Vegetable By-Products: Extraction, Bioactivity, and Stability. Food Microbiol. Biotechnol. 2020, 2020, 249–286. [Google Scholar]
- Jackson, M.; Stevens, C.M.; Zhang, L.; Zgurskaya, H.I.; Niederweis, M. Transporters Involved in the Biogenesis and Functionalization of the Mycobacterial Cell Envelope. Chem. Rev. 2020, 121, 5124–5157. [Google Scholar] [CrossRef] [PubMed]
- Zenão, S.; Aires, A.; Dias, C.; Saavedra, M.J.; Fernandes, C. Antibacterial Potential of Urtica Dioica and Lavandula Angustifolia Extracts against Methicillin Resistant Staphylococcus Aureus Isolated from Diabetic Foot Ulcers. J. Herb. Med. 2017, 10, 53–58. [Google Scholar] [CrossRef]
- Jurić, T.; Mićić, N.; Potkonjak, A.; Milanov, D.; Dodić, J.; Trivunović, Z.; Popović, B.M. The Evaluation of Phenolic Content, in Vitro Antioxidant and Antibacterial Activity of Mentha Piperita Extracts Obtained by Natural Deep Eutectic Solvents. Food Chem. 2021, 362, 130226. [Google Scholar] [CrossRef] [PubMed]
- Nunes, R.; Pasko, P.; Tyszka-Czochara, M.; Szewczyk, A.; Szlosarczyk, M.; Carvalho, I.S. Antibacterial, Antioxidant and Anti-Proliferative Properties and Zinc Content of Five South Portugal Herbs. Pharm. Biol. 2017, 55, 114–123. [Google Scholar] [CrossRef] [PubMed]
- Zolghadri, S.; Bahrami, A.; Hassan Khan, M.T.; Munoz-Munoz, J.; Garcia-Molina, F.; Garcia-Canovas, F.; Saboury, A.A. A Comprehensive Review on Tyrosinase Inhibitors. J. Enzyme Inhib. Med. Chem. 2019, 34, 279–309. [Google Scholar] [CrossRef]
- Peng, Z.; Wang, G.; He, Y.; Wang, J.J.; Zhao, Y. Tyrosinase Inhibitory Mechanism and Anti-Browning Properties of Novel Kojic Acid Derivatives Bearing Aromatic Aldehyde Moiety. Curr. Res. Food Sci. 2023, 6, 100421. [Google Scholar] [CrossRef]
- Mukherjee, P.K.; Biswas, R.; Sharma, A.; Banerjee, S.; Biswas, S.; Katiyar, C.K. Validation of Medicinal Herbs for Anti-Tyrosinase Potential. J. Herb. Med. 2018, 14, 1–16. [Google Scholar] [CrossRef]
- Fan, M.; Ding, H.; Zhang, G.; Hu, X.; Gong, D. Relationships of Dietary Flavonoid Structure with Its Tyrosinase Inhibitory Activity and Affinity. LWT 2019, 107, 25–34. [Google Scholar] [CrossRef]
- Kang, H.S.; Kim, H.R.; Byun, D.S.; Park, H.J.; Choi, J.S. Rosmarinic Acid as a Tyrosinase Inhibitors from Salvia Miltiorrhiza. Nat. Prod. Sci. 2004, 10, 80–84. [Google Scholar]
- Iwai, K.; Kishimoto, N.; Kakino, Y.; Mochida, K.; Fujita, T. In Vitro Antioxidative Effects and Tyrosinase Inhibitory Activities of Seven Hydroxycinnamoyl Derivatives in Green Coffee Beans. J. Agric. Food Chem. 2004, 52, 4893–4898. [Google Scholar] [CrossRef]
- Yu, Q.; Fan, L. Understanding the Combined Effect and Inhibition Mechanism of 4-Hydroxycinnamic Acid and Ferulic Acid as Tyrosinase Inhibitors. Food Chem. 2021, 352, 129369. [Google Scholar] [CrossRef]
- Saeedi, P.; Petersohn, I.; Salpea, P.; Malanda, B.; Karuranga, S.; Unwin, N.; Colagiuri, S.; Guariguata, L.; Motala, A.A.; Ogurtsova, K. Global and Regional Diabetes Prevalence Estimates for 2019 and Projections for 2030 and 2045: Results from the International Diabetes Federation Diabetes Atlas. Diabetes Res. Clin. Pract. 2019, 157, 107843. [Google Scholar] [CrossRef] [PubMed]
- Berek, P.A.L.; Irawati, D.; Hamid, A.Y.S. Hypertension: A Global Health Crisis. Ann. Clin. Hypertens. 2021, 5, 8–11. [Google Scholar]
- Chukwuma, C.I.; Matsabisa, M.G.; Ibrahim, M.A.; Erukainure, O.L.; Chabalala, M.H.; Islam, M.S. Medicinal Plants with Concomitant Anti-Diabetic and Anti-Hypertensive Effects as Potential Sources of Dual Acting Therapies against Diabetes and Hypertension: A Review. J. Ethnopharmacol. 2019, 235, 329–360. [Google Scholar] [CrossRef] [PubMed]
- Biltekin, S.N.; Karadaǧ, A.E.; Demirci, B.; Demirci, F. ACE2 and LOX Enzyme Inhibitions of Different Lavender Essential Oils and Major Components Linalool and Camphor. ACS Omega 2022, 7, 36561–36566. [Google Scholar] [CrossRef] [PubMed]
- Ferreira, L.G.; Evora, P.R.B.; Capellini, V.K.; Albuquerque, A.A.; Carvalho, M.T.M.; da Silva Gomes, R.A.; Parolini, M.T.; Celotto, A.C. Effect of Rosmarinic Acid on the Arterial Blood Pressure in Normotensive and Hypertensive Rats: Role of ACE. Phytomedicine 2018, 38, 158–165. [Google Scholar] [CrossRef] [PubMed]
- Fernandez Cunha, M.; Coscueta, E.R.; Brassesco, M.E.; Marques, R.; Neto, J.; Almada, F.; Gonçalves, D.; Pintado, M. Exploring Bioactivities and Peptide Content of Body Mucus from the Lusitanian Toadfish Halobatrachus didactylus. Molecules 2023, 28, 6458. [Google Scholar] [CrossRef]
- Ye, L.; He, Y.; Ye, H.; Liu, X.; Yang, L.; Cao, Z.; Tang, K. Pathway-Pathway Network-Based Study of the Therapeutic Mechanisms by Which Salvianolic Acid B Regulates Cardiovascular Diseases. Chin. Sci. Bull. 2012, 57, 1672–1679. [Google Scholar] [CrossRef][Green Version]
- Häckl, L.P.N.; Cuttle, G.; Sanches Dovichi, S.; Lima-Landman, M.T.; Nicolau, M. Inhibition of Angiotensin-Converting Enzyme by Quercetin Alters the Vascular Response to Bradykinin and Angiotensin I. Pharmacology 2002, 65, 182–186. [Google Scholar] [CrossRef]
- Ribeiro, T.B.; Oliveira, A.; Campos, D.; Nunes, J.; Vicente, A.A.; Pintado, M. Simulated Digestion of an Olive Pomace Water-Soluble Ingredient: Relationship between the Bioaccessibility of Compounds and Their Potential Health Benefits. Food Funct. 2020, 11, 2238–2254. [Google Scholar] [CrossRef]
- Voss, G.B.; Oliveira, A.L.S.; da Cruz Alexandre, E.M.; Pintado, M.E. Importance of Polyphenols: Consumption and Human Health. In Technologies to Recover Polyphenols from AgroFood By-Products and Wastes; Elsevier: Amsterdam, The Netherlands, 2022; pp. 1–23. [Google Scholar]
- Williamson, G. Possible Effects of Dietary Polyphenols on Sugar Absorption and Digestion. Mol. Nutr. Food Res. 2013, 57, 48–57. [Google Scholar] [CrossRef]
- Vasquez-Ramos, C.S.; Garcia-Moreno, M.G.; García-García, D.; Martínez-Medina, G.A.; Niño-Herrera, S.A.; Luna-García, H.; Paciós-Michelena, S.; Ilyina, A.; Segura-Ceniceros, E.P.; Chávez-González, M.L. Natural Extracts and Compounds as Inhibitors of Amylase for Diabetes Treatment and Prevention. Funct. Foods Nutraceuticals Hum. Health Adv. Nat. Wellness Dis. Prev. 2021, 2021, 69. [Google Scholar]
- Mustafa, S.B.; Akram, M.; Muhammad Asif, H.; Qayyum, I.; Hashmi, A.M.; Munir, N.; Khan, F.S.; Riaz, M.; Ahmad, S. Antihyperglycemic Activity of Hydroalcoholic Extracts of Selective Medicinal Plants Curcuma Longa, Lavandula Stoechas, Aegle Marmelos, and Glycyrrhiza Glabra and Their Polyherbal Preparation in Alloxan-Induced Diabetic Mice. Dose-Response 2019, 17, 1559325819852503. [Google Scholar] [CrossRef] [PubMed]
- Tang, H.; Ma, F.; Zhao, D.; Xue, Z. Exploring the Effect of Salvianolic Acid C on α-Glucosidase: Inhibition Kinetics, Interaction Mechanism and Molecular Modelling Methods. Process Biochem. 2019, 78, 178–188. [Google Scholar] [CrossRef]
- Ali, A.; Cottrell, J.J.; Dunshea, F.R. Antioxidant, Alpha-Glucosidase Inhibition Activities, In Silico Molecular Docking and Pharmacokinetics Study of Phenolic Compounds from Native Australian Fruits and Spices. Antioxidants 2023, 12, 254. [Google Scholar] [CrossRef]
- Son, M.J.; Rico, C.W.; Nam, S.H.; Kang, M.Y. Effect of Oryzanol and Ferulic Acid on the Glucose Metabolism of Mice Fed with a High-fat Diet. J. Food Sci. 2011, 76, H7–H10. [Google Scholar] [CrossRef]
- Aleixandre, A.; Gil, J.V.; Sineiro, J.; Rosell, C.M. Understanding Phenolic Acids Inhibition of α-Amylase and α-Glucosidase and Influence of Reaction Conditions. Food Chem. 2022, 372, 131231. [Google Scholar] [CrossRef]
- Mei, X.; Zhou, L.; Zhang, T.; Lu, B.; Sheng, Y.; Ji, L. Chlorogenic Acid Attenuates Diabetic Retinopathy by Reducing VEGF Expression and Inhibiting VEGF-Mediated Retinal Neoangiogenesis. Vascul. Pharmacol. 2018, 101, 29–37. [Google Scholar] [CrossRef] [PubMed]
- Xu, W.; Luo, Q.; Wen, X.; Xiao, M.; Mei, Q. Antioxidant and Anti-Diabetic Effects of Caffeic Acid in a Rat Model of Diabetes. Trop. J. Pharm. Res. 2020, 19, 1227–1232. [Google Scholar] [CrossRef]
- Kubínova, R.; Pořízková, R.; Navrátilová, A.; Farsa, O.; Hanáková, Z.; Bačinská, A.; Čížek, A.; Valentová, M. Antimicrobial and Enzyme Inhibitory Activities of the Constituents of Plectranthus madagascariensis (Pers.) Benth. J. Enzyme Inhib. Med. Chem. 2014, 29, 749–752. [Google Scholar] [CrossRef]
- Govindaraj, J.; Sorimuthu Pillai, S. Rosmarinic Acid Modulates the Antioxidant Status and Protects Pancreatic Tissues from Glucolipotoxicity Mediated Oxidative Stress in High-Fat Diet: Streptozotocin-Induced Diabetic Rats. Mol. Cell Biochem. 2015, 404, 143–159. [Google Scholar] [CrossRef] [PubMed]
- Jayanthy, G.; Subramanian, S. RA Abrogates Hepatic Gluconeogenesis and Insulin Resistance by Enhancing IRS-1 and AMPK Signalling in Experimental Type 2 Diabetes. RSC Adv. 2015, 5, 44053–44067. [Google Scholar] [CrossRef]
- Runtuwene, J.; Cheng, K.-C.; Asakawa, A.; Amitani, H.; Amitani, M.; Morinaga, A.; Takimoto, Y.; Kairupan, B.H.R.; Inui, A. Rosmarinic Acid Ameliorates Hyperglycemia and Insulin Sensitivity in Diabetic Rats, Potentially by Modulating the Expression of PEPCK and GLUT4. Drug Des. Dev. Ther. 2016, 10, 2193–2202. [Google Scholar]
- Zeng, L.; Zhang, G.; Lin, S.; Gong, D. Inhibitory Mechanism of Apigenin on α-Glucosidase and Synergy Analysis of Flavonoids. J. Agric. Food Chem. 2016, 64, 6939–6949. [Google Scholar] [CrossRef] [PubMed]
- Mechchate, H.; Es-Safi, I.; Mohamed Al Kamaly, O.; Bousta, D. Insight into Gentisic Acid Antidiabetic Potential Using in Vitro and in Silico Approaches. Molecules 2021, 26, 1932. [Google Scholar] [CrossRef] [PubMed]
- Awortwe, C.; Fasinu, P.S.; Rosenkranz, B. Application of Caco-2 Cell Line in Herb-Drug Interaction Studies: Current Approaches and Challenges. J. Pharm. Pharm. Sci. 2014, 17, 1. [Google Scholar] [CrossRef] [PubMed]
- Iftikhar, M.; Iftikhar, A.; Zhang, H.; Gong, L.; Wang, J. Transport, Metabolism and Remedial Potential of Functional Food Extracts (FFEs) in Caco-2 Cells Monolayer: A Review. Food Res. Int. 2020, 136, 109240. [Google Scholar] [CrossRef]
- Rodrigues, C.V.; Sousa, R.O.; Carvalho, A.C.; Alves, A.L.; Marques, C.F.; Cerqueira, M.T.; Reis, R.L.; Silva, T.H. Potential of Atlantic Codfish (Gadus morhua) Skin Collagen for Skincare Biomaterials. Molecules 2023, 28, 3394. [Google Scholar] [CrossRef]
- Costa, P.; Grevenstuk, T.; Rosa da Costa, A.M.; Gonçalves, S.; Romano, A. Antioxidant and Anti-Cholinesterase Activities of Lavandula Viridis L’Hér Extracts after in Vitro Gastrointestinal Digestion. Ind. Crops Prod. 2014, 55, 83–89. [Google Scholar] [CrossRef]
- Ames, B.N.; McCann, J.; Yamasaki, E. Methods for Detecting Carcinogens and Mutagens with the Salmonella/Mammalian-Microsome Mutagenicity Test. Mutat. Res./Environ. Mutagen. Relat. Subj. 1975, 31, 347–363. [Google Scholar] [CrossRef]






| Matrix | Extraction Method | Extractive Yield (%) |
|---|---|---|
| Lavandula pedunculata | CE | 23.91 ± 2.00 a |
| UAE | 16.17 ± 2.81 b | |
| MAE | 17.64 ± 1.63 b |
| Matrix | Extraction Method | TPC (mg GAE/g DE) |
| Lavandula pedunculata | CE | 183.7 ± 17.8 a |
| UAE | 181.4 ± 6.5 a | |
| MAE | 183.1 ± 4.9 a |
| Proposed Name | Molecular Formula | Rt | m/z Measured Mass [M-H]− | MS2 Fragments (m/z, % Base Peak Intensity) | Error (mDa) |
|---|---|---|---|---|---|
| Gluconic Acid | C6H12O7 | 1.36 | 195.0510 | 75 (100) | 1.0 |
| Tartaric acid | C4H6O6 | 1.5 | 149.0092 | 72 (100) | 0.1 |
| 2-Furoic acid | C5H4O3 | 2.2 | 111.0088 | 69 (100) | 0.5 |
| Succinic acid | C4H6O4 | 2.8 | 117.0193 | 73 (100) | −0.3 |
| Malic acid | C4H6O5 | 1.7 | 133.0143 | 71 (100) | 0.3 |
| Citric acid | C6H8O7 | 2.1 | 191.0197 | 87 (100), 111 (39) | 0.8 |
| Azelaic acid | C9H16O4 | 13.2 | 187.0975 | 97 (100), 125 (66) | 0.9 |
| 3-O-caffeoylquinic acid | C16H18O9 | 6.4 | 353.0878 | 191 (100), 179 (63), 135 (25), | 0.7 |
| 5-O-caffeoylquinic acid | C16H18O9 | 8.2 | 353.0878 | 191 (100), 173 (97), 179 (80) | 1.1 |
| 4-O-Caffeoylquinic acid | C16H18O9 | 8.9 | 353.0887 | 173 (100), 179 (80), 191 (62), 135 (21) | 1.0 |
| 1,5-Di-O-caffeoylquinic acid | C25H24O12 | 10.1 | 515.3949 | 163 (98), 353 (20) | 0.8 |
| 4,5-Di-O-caffeoylquinic acid | C25H24O12 | 12.9 | 515.1008 | 353 (100), 173 (80), 179 (40) | 0.9 |
| Caffeic acid | C9H8O4 | 8.5 | 179.0351 | 135 (100), 179 (40) | 1.4 |
| Isoferulic acid | C10H10O4 | 8.6 | 193.0506 | 134 (100) | 1.0 |
| Ferulic acid | C10H10O4 | 11.8 | 193.0506 | 134 (100), 178 (74), 193 (34) | 0.7 |
| p-coumaric acid | C9H8O3 | 10.4 | 163.0401 | 119 (100), 163 (20) | −0.6 |
| Lithospermic acid A | C27H21O12 | 13.9 | 537.1038 | 359 (100), 295 (80), 197 (42), 179 (50), 493 (18), 313 (10) | 1.8 |
| Rosmarinic acid | C18H15O9 | 13.6 | 359.0772 | 161 (100), 197 (60), 179 (54) | 1.5 |
| Salvianolic acid A | C26H22O10 | 13.9 | 493.1141 | 185 (68), 295 (100) | −2 |
| Sagerinic acid | C36H32016 | 13.6 | 719.1684 | 161 (100), 359 (80), 197 (20), 179 (11) | 1.9 |
| Salvianolic acid B | C36H30O16 | 14.8 | 717.1520 | 537 (50), 519 (40), 339 (8), 321 (100), 197 (6), 179 (27) | 1.9 |
| trans-4-Hydroxycinnamate | C9H8O3 | 9.1 | 163.0401 | 119 (100) | 0.6 |
| 1-O-Vanilloyl-beta-D-glucose | C14H17O9 | 5.7 | 329.0878 | 167 (100) | 0.1 |
| Protocatechuic acid | C7H6O4 | 5.7 | 153.0193 | 109 (100) | 0.1 |
| 2,5-Dihydroxybenzoic acid | C7H6O4 | 7.3 | 153.0193 | 109 (100), 81 (35), 53 (32) | 0.3 |
| 3,4-Dihydroxybenzaldehyde | C7H5O3 | 6.9 | 137.0244 | 108 (100) | 1.0 |
| 4-Hydroxybenzoate-O-glucoside | C13H15O8 | 7.2 | 299.0772 | 137 (100) | 0.7 |
| Vanillylmandelic acid | C9H10O5 | 5.3 | 197.0455 | 72 (100), 123 (55), 135 (60) | 0 |
| Apigenin-8-O-glucoside | C21H20O10 | 13.3 | 431.0984 | 341 (100), 268 (87), 311 (75) | 0.7 |
| Luteolin-7-O-glucoside | C21H20O11 | 11.9 | 447.0933 | 447 (20), 285 (100) | 1.4 |
| Luteolin | C15H9O6 | 16.5 | 285.0131 | 285 (100), 133 (85) | 1.1 |
| Quercetin 3-O-glucoside | C21H20O12 | 12.2 | 463.0882 | 301 (100) | 0.1 |
| Apigenin-7-O-glucuronide | C21H17O11 | 13.4 | 445.0345 | 269 (100) | 1.2 |
| Luteolin-7-O-glucuronide | C21H18O12 | 12.1 | 461.9984 | 285 (100) | 0.5 |
| Apigenin-7-O-glucoside | C21H20O10 | 13.5 | 432.378 | 268 (100), 431 (20) | 0.9 |
| Apigenin | C15H10O5 | 17.6 | 269.0429 | 269 (100) | 1.3 |
| 6-Hydroxyluteolin-7-glucoside | C21H20O12 | 11.7 | 463.0882 | 287 (100) | 0.4 |
| Phenolic Compound | CET | UAE | MAE | |
|---|---|---|---|---|
| 1 | 2,5-Dihydroxybenzoic acid | 1.60 ± 0.06 a | 1.08 ± 0.09 b | 0.92 ± 0.03 c |
| 2 | 3-O-caffeoylquinic acid | 0.48 ± 0.01 b | 0.43 ± 0.08 b | 1.46 ± 0.07 a |
| 3 | 5-O-caffeoylquinic acid | 1.37 ± 0.17 b | 1.54 ± 0.11 b | 1.72 ± 0.05 a |
| 4 | 4-O-caffeoylquinic acid | 1.56 ± 0.06 b | 0.77 ± 0.07 c | 1.92 ± 0.06 a |
| 5 | Caffeic acid | 0.31 ± 0.04 c | 0.92 ± 0.12 a | 0.66 ± 0.11 b |
| 6 | 1,5-Di-O-caffeoylquinic acid | 7.13 ± 0.24 b | 7.86 ± 0.13 a | 7.83 ± 0.06 a |
| 7 | Ferulic Acid | 0.50 ± 0.09 b | 0.50 ± 0.07 b | 1.43 ± 0.06 a |
| 8 | Luteolin-7-O-glucoside | 12.79 ± 0.32 b | 10.82 ± 0.33 c | 17.56 ± 0.19 a |
| 9 | Luteolin derivative * | 6.04 ± 0.11 b | 5.12 ± 0.18 c | 6.53 ± 0.11 a |
| 10 | 4,5-Di-O-caffeoylquinic acid | 28.52 ± 0.56 a | 25.25 ± 0.65 b | 19.28 ± 0.45 c |
| 11 | Apigenin-7-O-glucoside | 3.75± 0.19 b | 2.60 ± 0.15 c | 6.23 ± 0.12 a |
| 12 | Apigenin derivative + | 0.87 ± 0.05 b | 0.84 ± 0.03 b | 1.40 ± 0.06 a |
| 13 | Quercetin-3-O-glucoside | 2.62 ± 0.18 c | 2.28 ± 0.07 b | 4.83 ± 0.10 a |
| 14 | Rosmarinic acid | 58.68 ± 1.42 a | 52.73 ± 1.86 b | 48.27 ± 1.92 c |
| 15 | Salvianolic acid B | 42.19 ± 0.71 ab | 40.09 ± 1.61 b | 43.19 ± 1.09 a |
| 16 | Lithospermic acid # | 4.64 ± 0.24 b | 4.48 ± 0.34 b | 6.30 ± 0.16 a |
| Total Phenolic Compounds | 173.05 | 157.31 | 169.53 | |
| Total Phenolic Acids | 146.98 | 135.65 | 132.98 | |
| Total Flavonoids | 26.07 | 21.66 | 36.55 | |
| Microorganism | 10 mg/mL | 5 mg/mL | 2.5 mg/mL | |||||||
|---|---|---|---|---|---|---|---|---|---|---|
| CE | UAE | MAE | CE | UAE | MAE | CE | UAE | MAE | ||
| Gram + | Bacillus cereus | 68.6 ± 2.2 b | 64.0 ± 1.3 c | 75.8 ± 1.6 a | 63.6 ± 2.4 c | 48.8 ± 0.8 e | 69.0 ± 1.4 b | 56.5 ± 1.3 d | 20.5 ± 1.4 f | 50.2 ± 1.3 e |
| Listeria monocytogenes | 47.1 ± 2.0 a | 43.7 ± 1.0 b | 47.1 ± 1.5 a | 42.5 ± 1.8 b | 38.1 ± 1.2 c | 41.0 ± 2.9 bc | 38.0 ± 2.0 c | 28.1 ± 1.3 d | 30.5 ± 0.9 d | |
| Staphylococcus aureus | 65.6 ± 2.4 a | 40.5 ± 2.1 d | 57.0 ± 2.3 b | 48.4 ± 1.1 c | 32.6 ± 1.0 d | 43.5 ± 2.1 e | ni | ni | ni | |
| Gram − | Escherichia coli | 40.5 ± 1.3 b | 39.4 ± 2.2 b | 59.0 ± 1.6 a | ni | ni | ni | ni | ni | ni |
| Salmonella enterica | 65.0 ± 1.5 a | 61.3 ± 3.0 ab | 64.6 ± 1.2 a | 57.5 ± 1.4 b | 50.3 ± 0.8 c | 48.2 ± 1.2 d | ni | ni | ni | |
| Pseudomonas aeruginosa | 60.7 ± 2.0 a | 57.1 ± 1.7 ab | 57.6 ± 1.8 a | 55.6 ± 1.7 bc | 44.0 ± 1.2 d | 52.5 ± 1.4 c | 45.9 ± 1.2 d | 28.3 ± 0.7 f | 40.6 ± 1.4 e | |
| Matrix | Extraction Method | iACE | |
|---|---|---|---|
| IC50 (mg Phenolic Compounds/mL) | IC50 (mg Extract/mL) | ||
| Lavandula pedunculata | CE | 0.19 ± 0.01 ab | 1.06 ± 0.05 b |
| UAE | 0.21 ± 0.01 a | 1.17± 0.04 a | |
| MAE | 0.18 ± 0.02 b | 0.98 ± 0.05 b | |
| Sample Test | TA 98 | |
|---|---|---|
| With S9 | Without S9 | |
| Solvent Control (water) | 11.51 ± 0.50 | 16.50 ± 1.50 |
| Positive Control | 303.00 ± 12.50 | 481.50 ± 3.50 |
| CE | 18.00 ± 2.00 a | 27.50 ± 0.50 a |
| MAE | 13.50 ± 3.00 ab | 20.00 ± 1.00 b |
| UAE | 10.00 ± 2.50 b | 18.50 ± 2.00 b |
Disclaimer/Publisher’s Note: The statements, opinions and data contained in all publications are solely those of the individual author(s) and contributor(s) and not of MDPI and/or the editor(s). MDPI and/or the editor(s) disclaim responsibility for any injury to people or property resulting from any ideas, methods, instructions or products referred to in the content. |
© 2023 by the authors. Licensee MDPI, Basel, Switzerland. This article is an open access article distributed under the terms and conditions of the Creative Commons Attribution (CC BY) license (https://creativecommons.org/licenses/by/4.0/).
Share and Cite
Vilas-Boas, A.A.; Goméz-García, R.; Machado, M.; Nunes, C.; Ribeiro, S.; Nunes, J.; Oliveira, A.L.S.; Pintado, M. Lavandula pedunculata Polyphenol-Rich Extracts Obtained by Conventional, MAE and UAE Methods: Exploring the Bioactive Potential and Safety for Use a Medicine Plant as Food and Nutraceutical Ingredient. Foods 2023, 12, 4462. https://doi.org/10.3390/foods12244462
Vilas-Boas AA, Goméz-García R, Machado M, Nunes C, Ribeiro S, Nunes J, Oliveira ALS, Pintado M. Lavandula pedunculata Polyphenol-Rich Extracts Obtained by Conventional, MAE and UAE Methods: Exploring the Bioactive Potential and Safety for Use a Medicine Plant as Food and Nutraceutical Ingredient. Foods. 2023; 12(24):4462. https://doi.org/10.3390/foods12244462
Chicago/Turabian StyleVilas-Boas, Ana A., Ricardo Goméz-García, Manuela Machado, Catarina Nunes, Sónia Ribeiro, João Nunes, Ana L. S. Oliveira, and Manuela Pintado. 2023. "Lavandula pedunculata Polyphenol-Rich Extracts Obtained by Conventional, MAE and UAE Methods: Exploring the Bioactive Potential and Safety for Use a Medicine Plant as Food and Nutraceutical Ingredient" Foods 12, no. 24: 4462. https://doi.org/10.3390/foods12244462
APA StyleVilas-Boas, A. A., Goméz-García, R., Machado, M., Nunes, C., Ribeiro, S., Nunes, J., Oliveira, A. L. S., & Pintado, M. (2023). Lavandula pedunculata Polyphenol-Rich Extracts Obtained by Conventional, MAE and UAE Methods: Exploring the Bioactive Potential and Safety for Use a Medicine Plant as Food and Nutraceutical Ingredient. Foods, 12(24), 4462. https://doi.org/10.3390/foods12244462

