Postharvest Quality Improvement of Tomato (Solanum lycopersicum L.) Fruit Using a Nanomultilayer Coating Containing Aloe vera
Abstract
:1. Introduction
2. Materials and Methods
2.1. Materials
2.2. Experimental Design
2.3. Coating Preparation
Zeta Potential
2.4. Nanomultilayer Coating Application on Tomato Fruit
2.5. Physicochemical Analyses
2.5.1. Weight Loss
2.5.2. Titratable Acidity (TA), pH, Soluble Solid Content (SSC)
2.5.3. Ascorbic Acid (AA) Determination
2.6. Color
2.7. Firmness
2.8. Microbiological Analyses
2.9. Gas Transfer Rate and Ethylene Production
2.10. Statistical Analyses
3. Results and Discussion
3.1. Physicochemical Analyses
3.1.1. Weight Loss
3.1.2. Titratable Acidity (TA), pH, Soluble Solid Content (SSC)
3.1.3. Ascorbic Acid (AA)
3.2. Color and Firmness
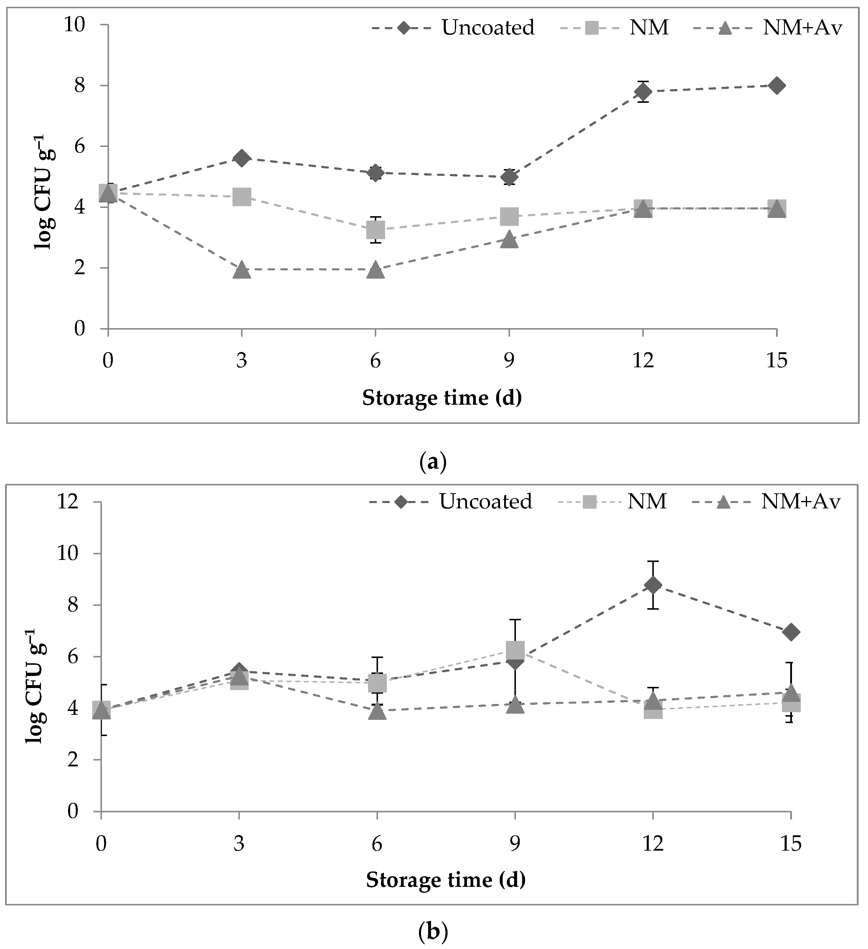
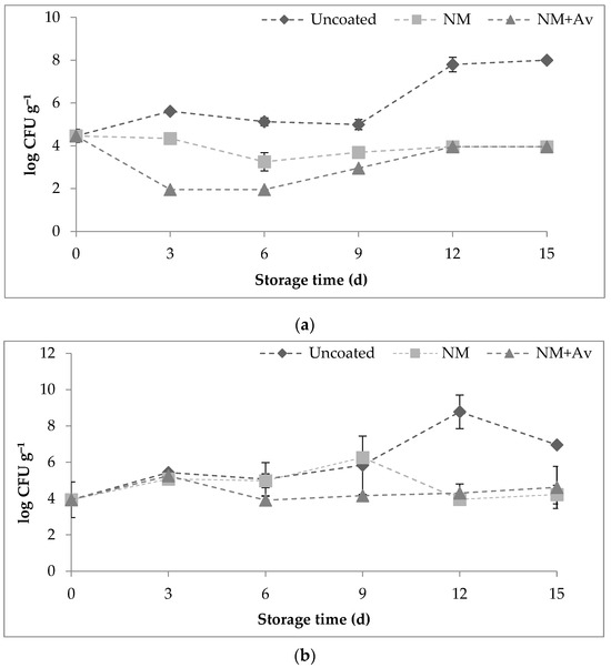
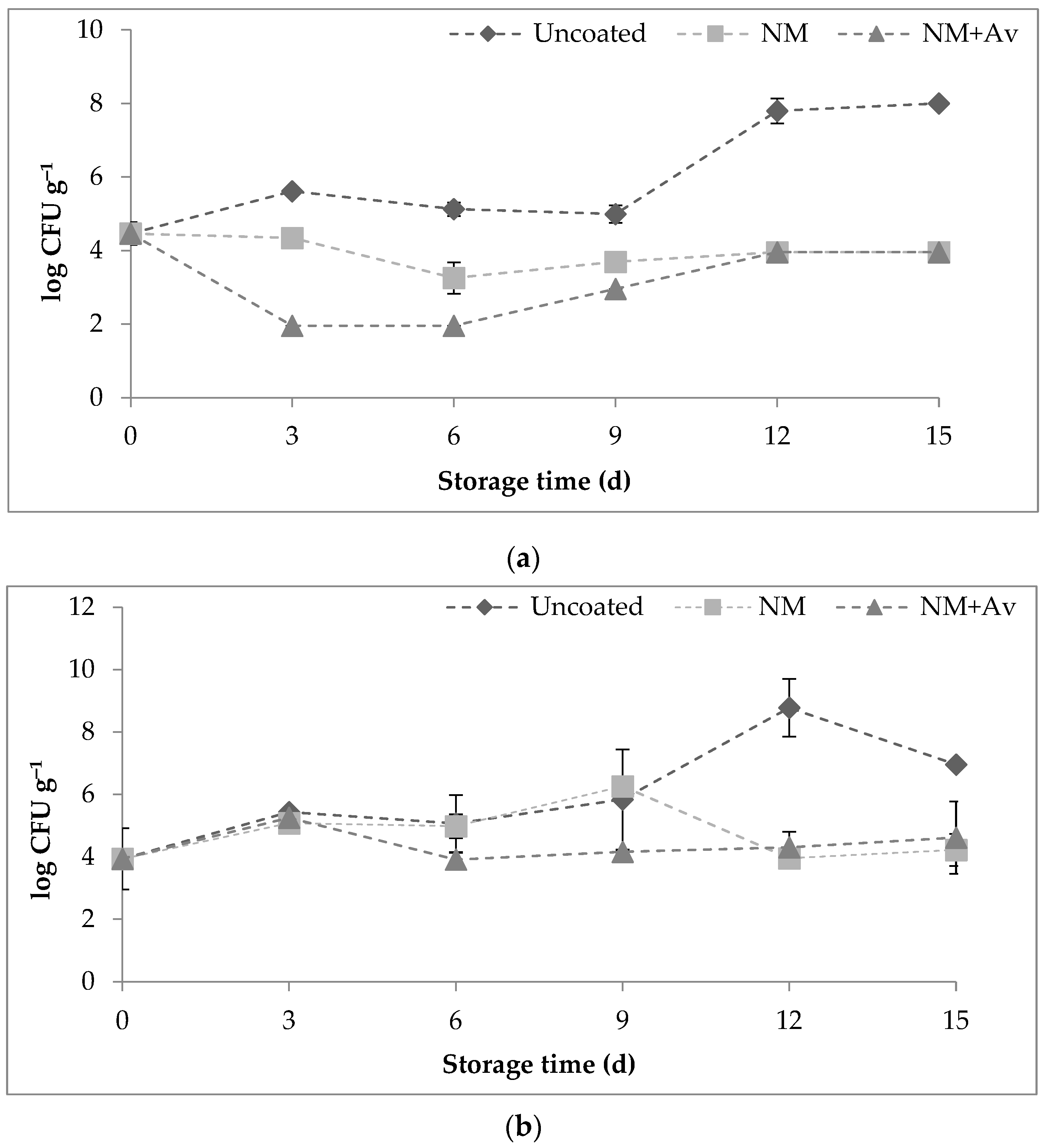
3.3. Microbial Analyses
3.4. Gas Transfer Rate and Ethylene Production
4. Conclusions
Author Contributions
Funding
Institutional Review Board Statement
Informed Consent Statement
Data Availability Statement
Acknowledgments
Conflicts of Interest
References
- FAO. Available online: https://www.fao.org/ (accessed on 6 June 2023).
- Salas-Méndez, E.D.J.; Vicente, A.; Pinheiro, A.C.; Ballesteros, L.F.; Silva, P.; Rodríguez-García, R.; Hernández-Castillo, F.D.; Díaz-Jiménez, M.D.L.V.; Flores-López, M.L.; Villarreal-Quintanilla, J.Á.; et al. Application of edible nanolaminate coatings with antimicrobial extract of Flourensia cernua to extend the shelf-life of tomato (Solanum lycopersicum L.) fruit. Postharvest Biol. Technol. 2019, 150, 19–27. [Google Scholar] [CrossRef]
- Garuba, T.; Mustapha, O.T.; Oyeyiola, G.P. Shelf life and proximate composition of tomato (Solanum lycopersicum L.) fruits as influenced by storage methods. Ceylon J. Sci. 2018, 47, 387. [Google Scholar] [CrossRef]
- Mama, S.; Yemer, J.; Woelore, W. Effect of hot water treatments on shelf life of tomato (Lycopersicon esculentum Mill). J. Nat. Sci. Res. 2016, 6, 69–77. [Google Scholar]
- Deng, H.; Pirrello, J.; Chen, Y.; Li, N.; Zhu, S.; Chirinos, X.; Bouzayen, M.; Liu, Y.; Liu, M. A novel tomato F-box protein, SlEBF3, is involved in tuning ethylene signaling during plant development and climacteric fruit ripening. Plant J. 2018, 95, 648–658. [Google Scholar] [CrossRef] [PubMed]
- Ali, A.; Maqbool, M.; Ramachandran, S.; Alderson, P.G. Gum arabic as a novel edible coating for enhancing shelf-life and improving postharvest quality of tomato (Solanum lycopersicum L.) fruit. Postharvest Biol. Technol. 2010, 58, 42–47. [Google Scholar] [CrossRef]
- Kandasamy, P.; Moitra, R.; Mukherjee, S. Measurement and modeling of respiration rate of tomato (Cultivar Roma) for modified atmosphere storage. Recent Pat. Food Nutr. Agric. 2015, 7, 62–69. [Google Scholar] [CrossRef] [PubMed]
- Damdam, A.; Al-Zahrani, A.; Salah, L.; Salama, K.N. Effect of Combining UV-C Irradiation and Vacuum Sealing on the Shelf Life of Fresh Strawberries and Tomatoes. J. Food Sci. 2023, 88, 595–607. [Google Scholar] [CrossRef] [PubMed]
- Bautista-Baños, S.; Velázquez-del Valle, M.G.; Hernández-Lauzardo, A.N.; Ait Barka, E. The Rhizopus stolonifer e tomato interaction. In Plant Microbe Interaction; Barka, E.A., Clément, C., Eds.; Research Signpost: Kerala, India, 2008; pp. 269–289. [Google Scholar]
- Ramos-García, M.; Bosquez-Molina, E.; Hernández-Romano, J.; Zavala-Padilla, G.; Terrés-Rojas, E.; Alia-Tejacal, I.; Barrera-Necha, L.; Hernández-López, M.; Bautista-Baños, S. Use of chitosan-based edible coatings in combination with other natural compounds, to control Rhizopus stolonifer and Escherichia coli DH5α in fresh tomatoes. Crop Prot. 2012, 38, 1–6. [Google Scholar] [CrossRef]
- Park, M.H.; Sangwanangkul, P.; Choi, J.W. Reduced chilling injury and delayed fruit ripening in tomatoes with modified atmosphere and humidity packaging. Sci. Hortic. (Amst.) 2018, 231, 66–72. [Google Scholar] [CrossRef]
- Mishra, R.K.; Bohra, A.; Kamaal, N.; Kumar, K.; Gandhi, K.; GK, S.; Saabale, P.R.; SJ, S.N.; Sarma, B.K.; Kumar, D.; et al. Utilization of Biopesticides as Sustainable Solutions for Management of Pests in Legume Crops: Achievements and Prospects. Egypt. J. Biol. Pest Control 2018, 28, 1–11. [Google Scholar] [CrossRef]
- Athmaselvi, K.A.; Sumitha, P.; Revathy, B. Development of Aloe vera based edible coating for tomato. Int. Agrophysics 2013, 27, 369–375. [Google Scholar] [CrossRef]
- Chauhan, O.P.; Nanjappa, C.; Ashok, N.; Ravi, N.; Roopa, N.; Raju, P.S. Shellac and Aloe vera gel based surface coating for shelf life extension of tomatoes. J. Food Sci. Technol. 2013, 52, 1200–1205. [Google Scholar] [CrossRef] [PubMed]
- Acevedo-Fani, A.; Salvia-Trujillo, L.; Rojas-Graü, M.A.; Martín-Belloso, O. Edible Films from Essential-Oil-Loaded Nanoemulsions: Physicochemical Characterization and Antimicrobial Properties. Food Hydrocoll. 2015, 47, 168–177. [Google Scholar] [CrossRef]
- Zhu, D.; Guo, R.; Li, W.; Song, J.; Cheng, F. Improved postharvest preservation effects of Pholiota nameko mushroom by sodium alginate–based edible Composite Coating. Food Bioprocess Technol. 2019, 12, 587–598. [Google Scholar] [CrossRef]
- Pinzon, M.I.; Sanchez, L.T.; Garcia, O.R.; Gutierrez, R.; Luna, J.C.; Villa, C.C. Increasing shelf life of strawberries (Fragaria ssp) by using a banana starch-chitosan-Aloe vera gel composite edible coating. Int. J. Food Sci. Technol. 2020, 55, 92–98. [Google Scholar] [CrossRef]
- Ainee, A.; Hussain, S.; Nadeem, M.; Al-Hilphy, A.R.; Siddeeg, A. Extraction, purification, optimization, and application of galactomannan-based edible coating formulations for guava using response surface methodology. J. Food Qual. 2022, 2022, 5613046. [Google Scholar] [CrossRef]
- Li, L.; Sun, J.; Gao, H.; Shen, Y.; Li, C.; Yi, P.; He, X.; Ling, D.; Sheng, J.; Li, J.; et al. Effects of Polysaccharide-Based Edible Coatings on Quality and Antioxidant Enzyme System of Strawberry during Cold Storage. Int. J. Polym. Sci. 2017, 2017, 1–8. [Google Scholar] [CrossRef]
- Pobiega, K.; Igielska, M.; Włodarczyk, P.; Gniewosz, M. The Use of Pullulan Coatings with Propolis Extract to Extend the Shelf Life of Blueberry (Vaccinium Corymbosum) Fruit. Int. J. Food Sci. Technol. 2021, 56, 1013–1020. [Google Scholar] [CrossRef]
- Aguilar-Veloz, L.M.; Calderón-Santoyo, M.; Carvajal-Millan, E.; Martínez-Robinson, K.; Ragazzo-Sánchez, J.A. Artocarpus heterophyllus Lam. Leaf Extracts Added to Pectin-Based Edible Coating for Alternaria Sp. Control in Tomato. Lwt 2022, 156, 1–9. [Google Scholar] [CrossRef]
- Fabra, M.J.; Flores-López, M.L.; Cerqueira, M.A.; Jasso de Rodríguez, D.; Lagaron, J.M.; Vicente, A.A. Layer-by-Layer technique to developing functional nanolaminate films with antifungal activity. Food Bioprocess Technol. 2016, 9, 471–480. [Google Scholar] [CrossRef]
- Medeiros, B.G.D.S.; Pinheiro, A.C.; Carneiro-Da-Cunha, M.G.; Vicente, A.A. Development and characterization of a nanomultilayer coating of pectin and chitosan—Evaluation of its gas barrier properties and application on “Tommy Atkins” mangoes. J. Food Eng. 2012, 110, 457–464. [Google Scholar] [CrossRef]
- Medeiros, B.G.D.S.; Pinheiro, A.C.; Teixeira, J.A.; Vicente, A.A.; Carneiro-da-Cunha, M.G. Polysaccharide/protein nanomultilayer coatings: Construction, characterization and evaluation of their effect on “Rocha” Pear (Pyrus communis L.) shelf-life. Food Bioprocess Technol. 2012, 5, 2435–2445. [Google Scholar] [CrossRef]
- Wei, F.; Ye, F.; Li, S.; Wang, L.; Li, J.; Zhao, G. Layer-by-Layer Coating of Chitosan/Pectin Effectively Improves the Hydration Capacity, Water Suspendability and Tofu Gel Compatibility of Okara Powder. Food Hydrocoll. 2018, 77, 465–473. [Google Scholar] [CrossRef]
- Li, K.; Zhu, J.; Guan, G.; Wu, H. Preparation of Chitosan-Sodium Alginate Films through Layer-by-Layer Assembly and Ferulic Acid Crosslinking: Film Properties, Characterization, and Formation Mechanism. Int. J. Biol. Macromol. 2019, 122, 485–492. [Google Scholar] [CrossRef] [PubMed]
- Tarangini, K.; Kavi, P.; Jagajjanani Rao, K. Application of sericin-based edible coating material for postharvest shelf-life extension and preservation of tomatoes. eFood 2022, 3, e36. [Google Scholar] [CrossRef]
- Firdous, N.; Khan, M.R.; Butt, M.S.; Ali, M.; Asim Shabbir, M.; Din, A.; Hussain, A.; Siddeeg, A.; Manzoor, M.F. Effect of Aloe vera gel-based edible coating on microbiological safety and quality of tomato. CYTA—J. Food 2022, 20, 355–365. [Google Scholar] [CrossRef]
- Flores-López, M.L.; Romaní, A.; Cerqueira, M.A.; Rodríguez-García, R.; Jasso de Rodríguez, D.; Vicente, A.A. Compositional features and bioactive properties of whole fraction from Aloe vera processing. Ind. Crops Prod. 2016, 91, 179–185. [Google Scholar] [CrossRef]
- Vieira, J.M.; Flores-López, M.L.; Jasso de Rodríguez, D.; Sousa, M.C.; Vicente, A.A.; Martins, J.T. Effect of chitosan–Aloe vera coating on postharvest quality of blueberry (Vaccinium corymbosum) fruit. Postharvest Biol. Technol. 2016, 116, 88–97. [Google Scholar] [CrossRef]
- Casariego, A.; Souza, B.W.S.; Vicente, A.A.; Teixeira, J.A.; Cruz, L.; Díaz, R. Chitosan coating surface properties as affected by plasticizer, surfactant and polymer concentrations in relation to the surface properties of tomato and carrot. Food Hydrocoll. 2008, 22, 1452–1459. [Google Scholar] [CrossRef]
- AOAC. Official Methods of Analysis of the Association of Official Analytical Chemists (AOAC), 16th ed.; AOAC International, W., Ed.; Association of Official Analytical Chemists: Washington, DC, USA, 1997. [Google Scholar]
- Ranggana, S. Manual Analysis of Fruit and Vegetable Products; Ltd., T.M., Ed.; Hill Publish. Comp. Ltd.: New Delhi, India, 1977. [Google Scholar]
- Batu, A. Determination of acceptable firmness and colour values of tomatoes. J. Food Eng. 2004, 61, 471–475. [Google Scholar] [CrossRef]
- Olivas, G.I.; Mattinson, D.S.; Barbosa-Cánovas, G.V. Alginate coatings for preservation of minimally processed ‘Gala’ apples. Postharvest Biol. Technol. 2007, 45, 89–96. [Google Scholar] [CrossRef]
- Cerqueira, M.A.; Lima, Á.M.; Souza, B.W.S.; Teixeira, J.A.; Moreira, R.A.; Vicente, A.A. Functional polysaccharides as edible coatings for cheese. J. Agric. Food Chem. 2009, 57, 1456–1462. [Google Scholar] [CrossRef] [PubMed]
- Olivares, S.E. Paquete de Diseños Experimentales; Autonomous University of Nuevo: León, Mexico, 2015. [Google Scholar]
- Aktas, H.; Bayindir, D.; Dilmaçünal, T.; Koyuncu, M.A. The effects of minerals, ascorbic acid, and salicylic acid on the bunch quality of tomatoes (Solanum lycopersicum) at high and low temperatures. HortScience 2012, 47, 1478–1483. [Google Scholar] [CrossRef]
- Khoshgozaran-Abras, S.; Azizi, M.H.; Hamidy, Z.; Bagheripoor-Fallah, N. Mechanical, physicochemical and color properties of chitosan based-films as a function of Aloe vera gel incorporation. Carbohydr. Polym. 2012, 87, 2058–2062. [Google Scholar] [CrossRef]
- Morad, M.M.; Abou EL -Yazied, A.; Abd El-Gawad, H.G.; Osman, H.S.; Abou-Elwafa, S.M.; Metwally, A.A. Extending storage life and maintaining the quality of tomato fruits by using postharvest exogenous edible coating of Aloe vera gel, starch, and casein. J. Pharm. Negat. Results 2022, 13, 1708–1727. [Google Scholar] [CrossRef]
- Zapata, P.J.; Guillén, F.; Martínez-Romero, D.; Salvador Castillo, D.V.; Serrano, M. Use of alginate or zein as edible coatings to delay postharvest ripening process and to maintain tomato (Solanum lycopersicon Mill) quality. J. Sci. Food Agric. 2008, 88, 1287–1293. [Google Scholar] [CrossRef]
- Javanmardi, J.; Kubota, C. Variation of lycopene, antioxidant activity, total soluble solids and weight loss of tomato during postharvest storage. Postharvest Biol. Technol. 2006, 41, 151–155. [Google Scholar] [CrossRef]
- Domínguez, I.; Lafuente, M.T.; Hernández-Muñoz, P.; Gavara, R. Influence of modified atmosphere and ethylene levels on quality attributes of fresh tomatoes (Lycopersicon esculentum Mill.). Food Chem. 2016, 209, 211–219. [Google Scholar] [CrossRef]
- Abushita, A.A.; Hebshi, E.A.; Daood, H.G.; Biacs, P.A. Determination of antioxidant vitamins in tomatoes. Food Chem. 1997, 60, 207–212. [Google Scholar] [CrossRef]
- Brasil, I.M.; Gomes, C.; Puerta-Gomez, A.; Castell-Perez, M.E.; Moreira, R.G. Polysaccharide-based multilayered antimicrobial edible coating enhances quality of fresh-cut papaya. LWT—Food Sci. Technol. 2012, 47, 39–45. [Google Scholar] [CrossRef]
- Mohebbi, M.; Ansarifar, E.; Hasanpour, N.; Amiryousefi, M.R. Suitability of Aloe vera and gum tragacanth as edible coatings for extending the shelf Life of button mushroom. Food Bioprocess Technol. 2012, 5, 3193–3202. [Google Scholar] [CrossRef]
- Valverde, J.M.; Valero, D.; Martínez-Romero, D.; Guillén, F.; Castillo, S.; Serrano, M. Novel edible coating based on Aloe vera gel to maintain table grape quality and safety. J. Agric. Food Chem. 2005, 53, 7807–7813. [Google Scholar] [CrossRef] [PubMed]
- Sogvar, O.B.; Koushesh Saba, M.; Emamifar, A. Aloe vera and ascorbic acid coatings maintain postharvest quality and reduce microbial load of strawberry fruit. Postharvest Biol. Technol. 2016, 114, 29–35. [Google Scholar] [CrossRef]
- Jasso de Rodríguez, D.; Hernández-Castillo, D.; Rodríguez-García, R.; Angulo-Sánchez, J.L. Antifungal activity in vitro of Aloe vera pulp and liquid fraction against plant pathogenic fungi. Ind. Crops Prod. 2005, 21, 81–87. [Google Scholar] [CrossRef]
- Chrysargyris, A.; Nikou, A.; Tzortzakis, N. Effectiveness of Aloe Vera Gel Coating for Maintaining Tomato Fruit Quality. New Zeal. J. Crop Hortic. Sci. 2016, 44, 203–217. [Google Scholar] [CrossRef]
- Paladines, D.; Valero, D.; Valverde, J.M.; Díaz-Mula, H.; Serrano, M.; Martínez-Romero, D. The addition of rosehip oil improves the beneficial effect of Aloe vera gel on delaying ripening and maintaining postharvest quality of several stonefruit. Postharvest Biol. Technol. 2014, 92, 23–28. [Google Scholar] [CrossRef]
- Chauhan, O.P.; Raju, P.S.; Singh, A.; Bawa, A.S. Shellac and Aloe-Gel-Based Surface Coatings for Maintaining Keeping Quality of Apple Slices. Food Chem. 2011, 126, 961–966. [Google Scholar] [CrossRef]






| Treatment | 1st Layer | 2nd Layer | 3rd Layer | 4th Layer | 5th Layer |
|---|---|---|---|---|---|
| Uncoated | |||||
| Nanomultilayer coating (NM) | Alg | Ch | Alg | Ch | Alg |
| Nanomultilayer coating + A. vera liquid fraction (NM+Av) | Alg/Av * | Ch/Av ** | Alg/Av * | Ch/Av ** | Alg/Av * |
| Minolta Color Values (a*/b*) | USDA Tomato Color Stages |
|---|---|
| −0.59 to −0.47 | Green |
| −0.47 to −0.27 | Breaker |
| −0.27 to 0.08 | Turning |
| 0.08 to 0.60 | Pink |
| 0.60 to 0.95 | Light red |
| 0.96 to 1.21 | Red |
| Storage Time (d) | 0 | 3 | 6 | 9 | 12 | 15 | |
|---|---|---|---|---|---|---|---|
| Uncoated | TA | 0.3 ± 0.0 Aa | 0.2 ± 0.0 Ba | 0.2 ± 0.1 Aa | 0.3 ± 0.0 Aa | 0.2 ± 0.1 Aa | 0.2 ± 0.0 Aa |
| pH | 4.5 ± 0.1 Aa | 4.5 ± 0.2 Aa | 4.5 ± 0.2 Aa | 4.5 ± 0.2 Aa | 4.5 ± 0.1 Aa | 4.6 ± 0.1 Aa | |
| SSC | 3.9 ± 0.2 Aa | 4.3 ± 0.2 Aa | 4.1 ± 0.2 Aa | 4.0 ± 0.4 Aa | 4.0 ± 0.3 Aa | 3.6 ± 0.1 Aa | |
| NM | TA | 0.3 ± 0.0 Aa | 0.2 ± 0.0 Aa | 0.2 ± 0.0 Ba | 0.2 ± 0.0 Bb | 0.2 ± 0.0 Ba | 0.2 ± 0.0 Ba |
| pH | 4.5 ± 0.1 Aa | 4.5 ± 0.2 Aa | 4.6 ± 0.1 Aa | 4.7 ± 0.1 Aa | 4.6 ± 0.0 Aa | 4.8 ± 0.0 Bb | |
| SSC | 3.9 ± 0.2 Aa | 4.6 ± 0.0 Ba | 3.9 ± 0.4 Aa | 3.9 ± 0.1 Aa | 4.0 ± 0.2 Aa | 3.8 ± 0.1 Aa | |
| NM+Av | TA | 0.3 ± 0.0 Aa | 0.3 ± 0.0 Aa | 0.3 ± 0.1 Aa | 0.2 ± 0.0 Bb | 0.2 ± 0.0 Ba | 0.2 ± 0.1 Aa |
| pH | 4.5 ± 0.1 Aa | 4.5 ± 0.2 Aa | 4.4 ± 0.2 Aa | 4.6 ± 0.2 Aa | 4.7 ± 0.1 Aa | 4.9 ± 0.1 Bb | |
| SSC | 3.9 ± 0.2 Aa | 4.0 ± 0.3 Aa | 4.0 ± 0.3 Aa | 4.0 ± 0.2 Aa | 3.9 ± 0.1 Aa | 4.5 ± 0.1 Ab |
Disclaimer/Publisher’s Note: The statements, opinions and data contained in all publications are solely those of the individual author(s) and contributor(s) and not of MDPI and/or the editor(s). MDPI and/or the editor(s) disclaim responsibility for any injury to people or property resulting from any ideas, methods, instructions or products referred to in the content. |
© 2023 by the authors. Licensee MDPI, Basel, Switzerland. This article is an open access article distributed under the terms and conditions of the Creative Commons Attribution (CC BY) license (https://creativecommons.org/licenses/by/4.0/).
Share and Cite
Flores-López, M.L.; Vieira, J.M.; Rocha, C.M.R.; Lagarón, J.M.; Cerqueira, M.A.; Jasso de Rodríguez, D.; Vicente, A.A. Postharvest Quality Improvement of Tomato (Solanum lycopersicum L.) Fruit Using a Nanomultilayer Coating Containing Aloe vera. Foods 2024, 13, 83. https://doi.org/10.3390/foods13010083
Flores-López ML, Vieira JM, Rocha CMR, Lagarón JM, Cerqueira MA, Jasso de Rodríguez D, Vicente AA. Postharvest Quality Improvement of Tomato (Solanum lycopersicum L.) Fruit Using a Nanomultilayer Coating Containing Aloe vera. Foods. 2024; 13(1):83. https://doi.org/10.3390/foods13010083
Chicago/Turabian StyleFlores-López, María L., Jorge M. Vieira, Cristina M. R. Rocha, José M. Lagarón, Miguel A. Cerqueira, Diana Jasso de Rodríguez, and António A. Vicente. 2024. "Postharvest Quality Improvement of Tomato (Solanum lycopersicum L.) Fruit Using a Nanomultilayer Coating Containing Aloe vera" Foods 13, no. 1: 83. https://doi.org/10.3390/foods13010083
APA StyleFlores-López, M. L., Vieira, J. M., Rocha, C. M. R., Lagarón, J. M., Cerqueira, M. A., Jasso de Rodríguez, D., & Vicente, A. A. (2024). Postharvest Quality Improvement of Tomato (Solanum lycopersicum L.) Fruit Using a Nanomultilayer Coating Containing Aloe vera. Foods, 13(1), 83. https://doi.org/10.3390/foods13010083

