Effect of Cysteine with Essential Oils on Quality Attributes and Functional Properties of ‘Blanca de Tudela’ Fresh-Cut Artichoke
Abstract
:1. Introduction
2. Materials and Methods
2.1. Plant Material and Experimental Design
2.2. Artichoke Quality Parameters
2.3. Total Antioxidant Activity
2.4. Total Phenolic Content
2.5. Descriptive Sensory Analysis
2.6. Statistical Analysis
3. Results and Discussion
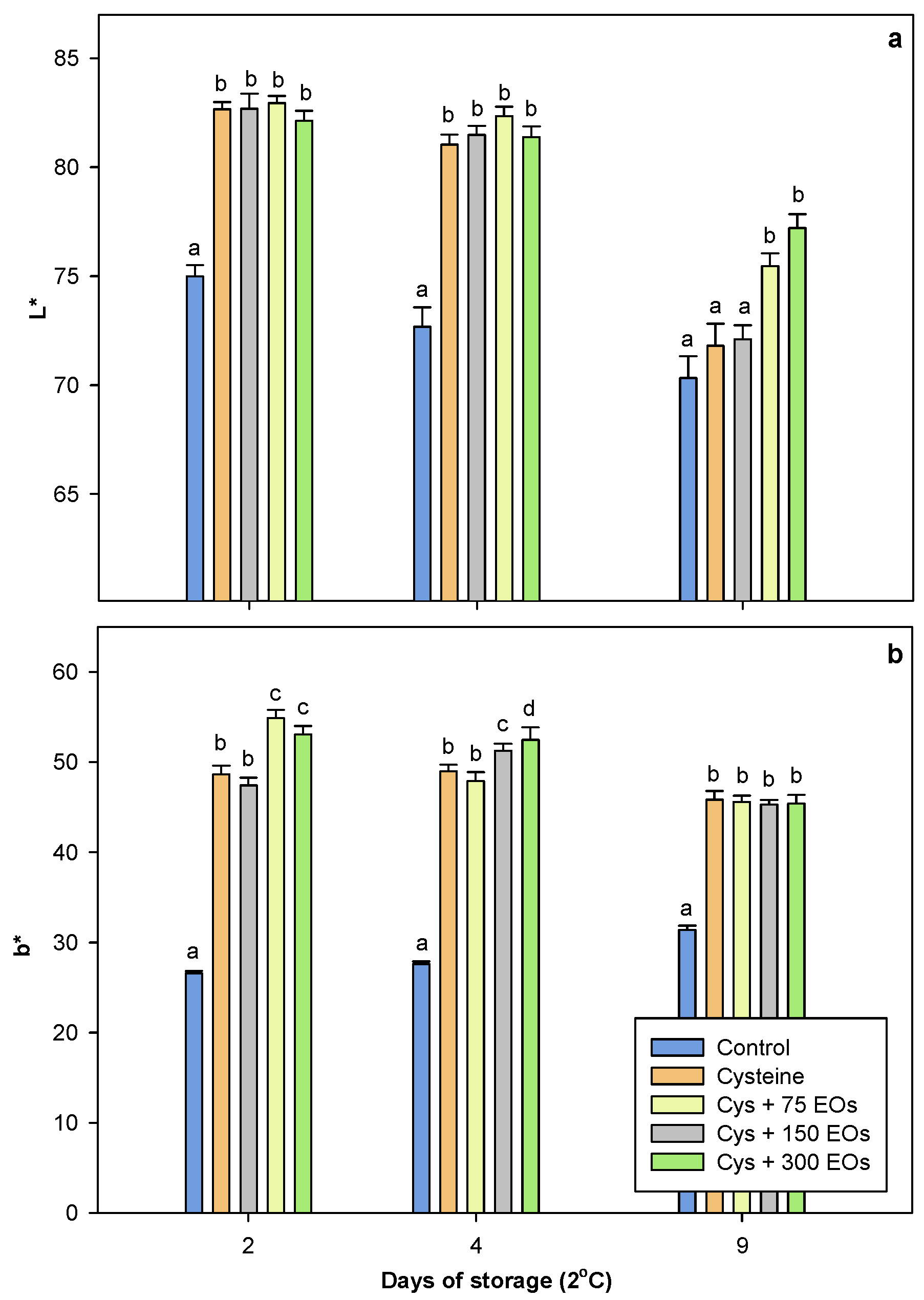
3.1. Effect of the Application of Cysteine and EOs on Artichoke Browning
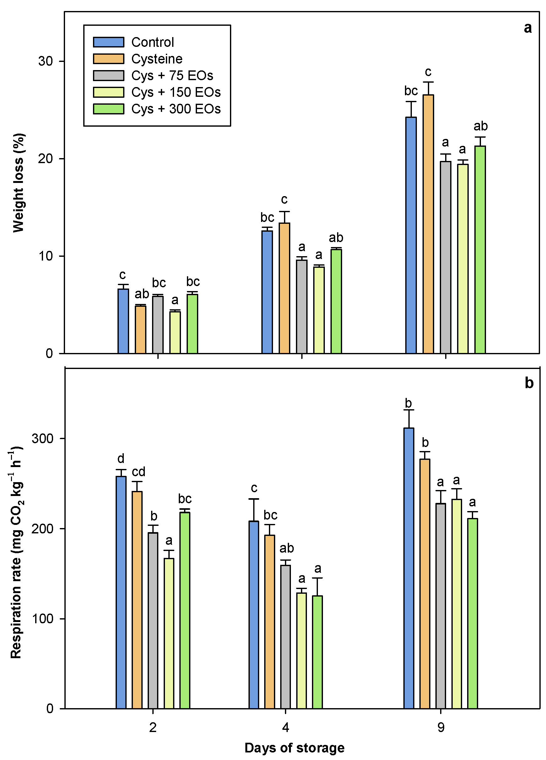
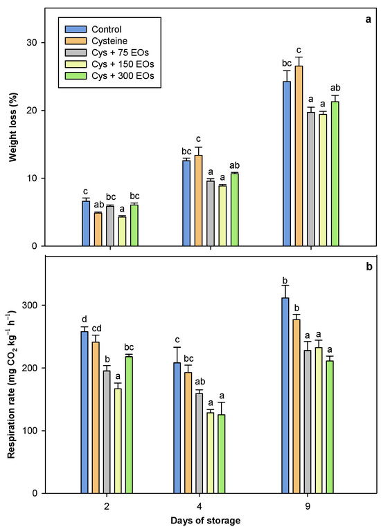
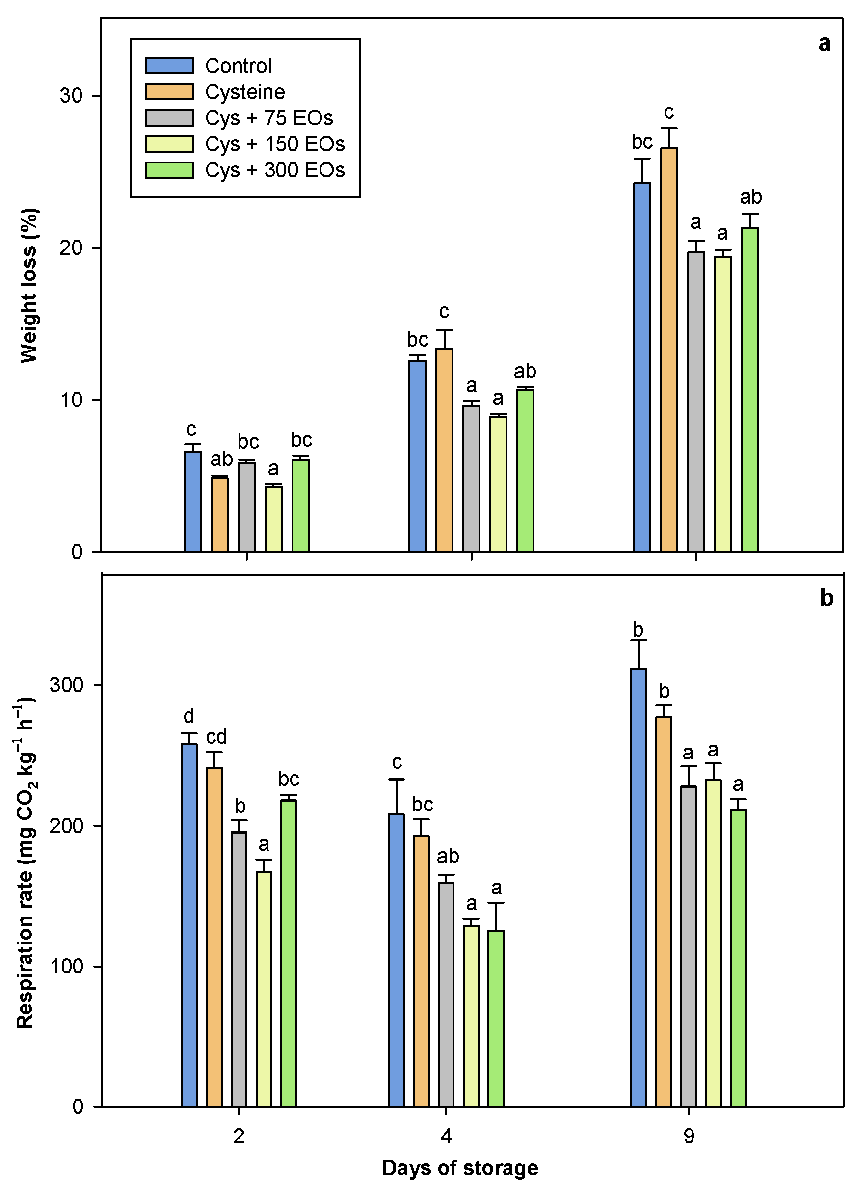
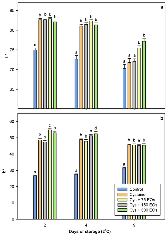
3.2. Effect of the Application of Cysteine and EOs on Quality Parameters of Fresh-Cut Artichokes
3.3. Functional Parameters of Fresh-Cut Artichokes
3.4. Sensory Evaluation
4. Conclusions
Author Contributions
Funding
Informed Consent Statement
Data Availability Statement
Acknowledgments
Conflicts of Interest
References
- FAOSTAT. Production Statistics. 2021. Available online: https://www.fao.org/faostat/en/#data/QCL (accessed on 13 September 2023).
- Lattanzio, V.; Kroon, P.A.; Linsalata, V.; Cardinali, A. Globe Artichoke: A Functional Food and Source of Nutraceutical Ingredients. J. Funct. Foods 2009, 1, 131–144. [Google Scholar] [CrossRef]
- Amodio, M.L.; la Zazzera, M.; Colelli, G. Floral Vegetables: Fresh-Cut Artichokes. In Controlled and Modified Atmospheres for Fresh and Fresh-Cut Produce; Elsevier: Amsterdam, The Netherlands, 2020; pp. 567–576. ISBN 9780128045992. [Google Scholar]
- Lattanzio, V.; Cardinali, A.; Di Venere, D.; Linsalata, V.; Palmieri, S. Browning Phenomena in Stored Artichoke (Cynara scolymus L.) Heads: Enzymic or Chemical Reactions? Food Chem. 1994, 50, 1–7. [Google Scholar] [CrossRef]
- Taranto, F.; Pasqualone, A.; Mangini, G.; Tripodi, P.; Miazzi, M.M.; Pavan, S.; Montemurro, C. Polyphenol Oxidases in Crops: Biochemical, Physiological and Genetic Aspects. Int. J. Mol. Sci. 2017, 18, 377. [Google Scholar] [CrossRef] [PubMed]
- Constabel, C.P.; Barbehenn, R. Defensive Roles of Polyphenol Oxidase in Plants. In Induced Plant Resistance to Herbivory; Schaller, A., Ed.; Springer: Dordrecht, The Netherlands, 2008. [Google Scholar] [CrossRef]
- Ricceri, J.; Barbagallo, R.N. Role of protease and oxidase activities involved in some technological aspects of the globe artichoke processing and storage. LWT 2016, 71, 196–201. [Google Scholar] [CrossRef]
- Cabezas-Serrano, A.B.; Amodio, M.L.; Cornacchia, R.; Rinaldi, R.; Colelli, G. Screening Quality and Browning Susceptibility of Five Artichoke Cultivars for Fresh-Cut Processing. J. Sci. Food Agric. 2009, 89, 2588–2594. [Google Scholar] [CrossRef]
- Giménez-Berenguer, M.; García-Pastor, M.E.; García-Martínez, S.; Giménez, M.J.; Zapata, P.J. Evaluation of “Lorca” Cultivar Aptitude for Minimally Processed Artichoke. Agronomy 2022, 12, 515. [Google Scholar] [CrossRef]
- Calabrese, N.; Cefola, M.; Carito, A.; Pace, B.; Baruzzi, F.; Vanadia, S. Effects of dipping treatments on quality of fresh cut artichoke. Acta Hortic. 2012, 942, 407–412. [Google Scholar] [CrossRef]
- Licciardello, F.; Pandino, G.; Barbagallo, R.N.; Lombardo, S.; Restuccia, C.; Muratore, G.; Mazzaglia, A.; Strano, M.G.; Mauromicale, G. Quality Traits of Ready-to-Use Globe Artichoke Slices as Affected by Genotype, Harvest Time and Storage Time. Part II: Physiological, Microbiological and Sensory Aspects. LWT 2017, 79, 554–560. [Google Scholar] [CrossRef]
- Ricci, I.; Amodio, M.L.; Colelli, G. Influence of Pre-Cutting Operations on Quality of Fresh-Cut Artichokes (Cynara scolymus L.): Effect of Storage Time and Temperature Before Cutting. Postharvest Biol. Technol. 2013, 85, 124–131. [Google Scholar] [CrossRef]
- Ricci, I.; Amodio, M.L.; Colelli, G. Influence of Pre-Cutting Operations on Quality of Fresh-Cut Artichokes (Cynara scolymus L.): Effect of Harvest Dates. Postharvest Biol. Technol. 2013, 83, 90–96. [Google Scholar] [CrossRef]
- Di Salvo, R.; Fadda, C.; Sanguinetti, A.M.; Naes, T.; Del Caro, A. Effect of Harvest Time and Geographical Area on Sensory and Instrumental Texture Profile of a PDO Artichoke. Int. J. Food Sci. Technol. 2014, 49, 1231–1237. [Google Scholar] [CrossRef]
- Capotorto, I.; Innamorato, V.; Cefola, M.; Cervellieri, S.; Lippolis, V.; Longobardi, F.; Logrieco, A.F.; Pace, B. High CO2 Short-Term Treatment to Preserve Quality and Volatiles Profile of Fresh-Cut Artichokes during Cold Storage. Postharvest Biol. Technol. 2020, 160, 111056. [Google Scholar] [CrossRef]
- García-Martínez, N.; Andreo-Martínez, P.; Almela, L.; Guardiola, L.; Gabaldón, J.A. Microbiological and Sensory Quality of Fresh Ready-to-Eat Artichoke Hearts Packaged under Modified Atmosphere. J. Food Prot. 2017, 80, 740–749. [Google Scholar] [CrossRef] [PubMed]
- la Zazzera, M.; Rinaldi, R.; Amodio, M.L.; Colelli, G. Influence of high CO2 atmosphere composition on fresh-cut artichoke quality attributes. Acta Hortic. 2012, 934, 633–640. [Google Scholar] [CrossRef]
- Ghidelli, C.; Mateos, M.; Rojas-Argudo, C.; Pérez-Gago, M.B. Novel Approaches to Control Browning of Fresh-Cut Artichoke: Effect of a Soy Protein-Based Coating and Modified Atmosphere Packaging. Postharvest Biol. Technol. 2015, 99, 105–113. [Google Scholar] [CrossRef]
- Giménez, M.; Olarte, C.; Sanz, S.; Lomas, C.; Echávarri, J.F.; Ayala, F. Relation Between Spoilage and Microbiological Quality in Minimally Processed Artichoke Packaged with Different Films. Food Microbiol. 2003, 20, 231–242. [Google Scholar] [CrossRef]
- Gómez di Marco, P.; Robles, P.; Braun, J.; Artés Hernández, F.; Fernández, J.A.; Artés, F. Combined technologies to inhibit enzymatic browning and preserve quality of fresh-cut artichoke hearts. Acta Hortic. 2012, 942, 385–390. [Google Scholar] [CrossRef]
- Muratore, G.; Restuccia, C.; Licciardello, F.; Lombardo, S.; Pandino, G.; Mauromicale, G. Effect of Packaging Film and Antibrowning Solution on Quality Maintenance of Minimally Processed Globe Artichoke Heads. IFSET 2015, 31, 97–104. [Google Scholar] [CrossRef]
- El-Mogy, M.M.; Parmar, A.; Ali, M.R.; Abdel-Aziz, M.E.; Abdeldaym, E.A. Improving Postharvest Storage of Fresh Artichoke Bottoms by and Edible Coating of Cordia myxa gum. Postharvest Biol. Technol. 2020, 163, 111143. [Google Scholar] [CrossRef]
- Amodio, M.L.; Cabezas-Serrano, A.B.; Peri, G.; Colelli, G. Post-Cutting Quality Changes of Fresh-Cut Artichokes Treated with Different Anti-Browning Agents as Evaluated by Image Analysis. Postharvest Biol. Technol. 2011, 62, 213–220. [Google Scholar] [CrossRef]
- Cabezas-Serrano, A.B.; Amodio, M.L.; Colelli, G. Effect of Solution PH of Cysteine-Based Pre-Treatments to Prevent Browning of Fresh-Cut Artichokes. Postharvest Biol. Technol. 2013, 75, 17–23. [Google Scholar] [CrossRef]
- Del Nobile, M.A.; Conte, A.; Scrocco, C.; Laverse, J.; Brescia, I.; Conversa, G.; Elia, A. New Packaging Strategies to Preserve Fresh-Cut Artichoke Quality During Refrigerated Storage. IFSET 2009, 10, 128–133. [Google Scholar] [CrossRef]
- Ruíz-Jiménez, J.M.; Zapata, P.J.; Serrano, M.; Valero, D.; Martínez-Romero, D.; Castillo, S.; Guillén, F. Effect of Oxalic Acid on Quality Attributes of Artichokes Stored at Ambient Temperature. Postharvest Biol. Technol. 2014, 95, 60–63. [Google Scholar] [CrossRef]
- Richard-Forget, F.C.; Goupy, P.M.; Nicolas, J.J. Cysteine as an Inhibitor of Enzymic Browning. 2. Kinetic Studies. J. Agric. Food Chem. 1992, 40, 2108–2113. [Google Scholar] [CrossRef]
- Pompili, V.; Mazzocchi, E.; Moglia, A.; Acquadro, A.; Comino, C.; Rotino, G.L.; Lanteri, S. Structural and expression analysis of polyphenol oxidases potentially involved in globe artichoke (C. cardunculus var. scolymus L.) tissue browning. Sci. Rep. 2023, 13, 12288. [Google Scholar] [CrossRef]
- Ghidelli, C.; Mateos, M.; Rojas-Argudo, C.; Pérez-Gago, M.B. Antibrowning Effect of Antioxidants on Extract, Precipitate, and Fresh-Cut Tissue of Artichokes. LWT 2013, 51, 462–468. [Google Scholar] [CrossRef]
- Salvatore, M.M.; Nicoletti, R.; Andolfi, A. Essential Oils in Citrus Fruit Ripening and Postharvest Quality. Horticulturae 2022, 8, 396. [Google Scholar] [CrossRef]
- Serrano, M.; Martínez-Romero, D.; Guillén, F.; Valverde, J.M.; Zapata, P.J.; Castillo, S.; Valero, D. The Addition of Essential Oils to MAP as a Tool to Maintain the Overall Quality of Fruits. Trends Food Sci. Technol. 2008, 19, 464–471. [Google Scholar] [CrossRef]
- Bakkali, F.; Averbeck, S.; Averbeck, D.; Idaomar, M. Biological Effects of Essential Oils—A Review. Food Chem. Toxicol. 2008, 46, 446–475. [Google Scholar] [CrossRef]
- Burt, S. Essential Oils: Their Antibacterial Properties and Potential Applications in Foods—A Review. Int. J. Food Microbiol. 2004, 94, 223–253. [Google Scholar] [CrossRef]
- Fisher, K.; Phillips, C. Potential Antimicrobial Uses of Essential Oils in Food: Is Citrus the Answer? Trends Food Sci. Technol. 2008, 19, 156–164. [Google Scholar] [CrossRef]
- Alvarez, M.V.; Palou, L.; Taberner, V.; Fernández-Catalán, A.; Argente-Sanchis, M.; Pitta, E.; Pérez-Gago, M.B. Natural Pectin-Based Edible Composite Coatings with Antifungal Properties to Control Green Mold and Reduce Losses of ‘Valencia’ Oranges. Foods 2022, 11, 1083. [Google Scholar] [CrossRef] [PubMed]
- Cháfer, M.; Sánchez-González, L.; González-Martínez, C.; Chiralt, A. Fungal Decay and Shelf Life of Oranges Coated with Chitosan and Bergamot, Thyme, and Tea Tree Essential Oils. J. Food Sci. 2012, 77, E182–E187. [Google Scholar] [CrossRef] [PubMed]
- Pérez-Alfonso, C.O.; Martínez-Romero, D.; Zapata, P.J.; Serrano, M.; Valero, D.; Castillo, S. The Effects of Essential Oils Carvacrol and Thymol on Growth of Penicillium digitatum and P. italicum Involved in Lemon Decay. Int. J. Food Microbiol. 2012, 158, 101–106. [Google Scholar] [CrossRef] [PubMed]
- Regnier, T.; Combrinck, S.; Veldman, W.; Du Plooy, W. Application of Essential Oils as Multi-Target Fungicides for the Control of Geotrichum citri-Aurantii and Other Postharvest Pathogens of Citrus. Ind. Crops Prod. 2014, 61, 151–159. [Google Scholar] [CrossRef]
- Sánchez-González, L.; Vargas, M.; González-Martínez, C.; Chiralt, A.; Cháfer, M. Use of Essential Oils in Bioactive Edible Coatings: A Review. Food Eng. Rev. 2011, 3, 1–16. [Google Scholar] [CrossRef]
- Yan, J.; Zhang, J.; Hu, C.; Deng, L.; Ritenour, M.A. Use of Carvacrol and Thymol in Shellac Coating to Control Stem-End Rot on ‘Ruby Red’ Grapefruit and Maintain Fruit Quality During Simulated Storage and Marketing. Sci. Hortic. 2020, 272, 109606. [Google Scholar] [CrossRef]
- Nikkhah, M.; Hashemi, M.; Najafi, M.B.H.; Farhoosh, R. Synergistic effects of some essential oils against fungal spoilage on pear fruit. Int. J. Food Microbiol. 2017, 257, 285–294. [Google Scholar] [CrossRef]
- Rojas-Graü, M.A.; Raybaudi-Massilia, R.M.; Soliva-Fortuny, R.C.; Avena-Bustillos, R.J.; McHugh, T.H.; Martín-Belloso, O. Apple Puree-Alginate Edible Coating as Carrier of Antimicrobial Agents to Prolong Shelf-Life of Fresh-Cut Apples. Postharvest Biol. Technol. 2007, 45, 254–264. [Google Scholar] [CrossRef]
- Raybaudi-Massilia, R.M.; Mosqueda-Melgar, J.; Martín-Belloso, O. Edible Alginate-Based Coating as Carrier of Antimicrobials to Improve Shelf-Life and Safety of Fresh-Cut Melon. Int. J. Food Microbiol. 2008, 121, 313–327. [Google Scholar] [CrossRef]
- Rizzo, V.; Lombardo, S.; Pandino, G.; Barbagallo, R.N.; Mazzaglia, A.; Restuccia, C.; Mauromicale, G.; Muratore, G. Active Packaging-Releasing System with Foeniculum vulgare Essential Oil for the Quality Preservation of Ready-to-Cook (Rtc) Globe Artichoke Slices. Foods 2021, 10, 517. [Google Scholar] [CrossRef] [PubMed]
- Valero, D.; Díaz-Mula, H.M.; Zapata, P.J.; Castillo, S.; Guillén, F.; Martínez-Romero, D.; Serrano, M. Postharvest Treatments with Salicylic Acid, Acetylsalicylic Acid or Oxalic Acid Delayed Ripening and Enhanced Bioactive Compounds and Antioxidant Capacity in Sweet Cherry. J. Agric. Food Chem. 2011, 59, 5483–5489. [Google Scholar] [CrossRef] [PubMed]
- Re, R.; Pellegrini, N.; Proteggente, A.; Pannala, A.; Yang, M.; Rice-Evans, C. Antioxidant Activity Applying an Improved ABTS Radical Cation Decolorization Assay. Free Radic. Biol. Med. 1999, 26, 1231–1237. [Google Scholar] [CrossRef] [PubMed]
- Giménez, M.J.; Giménez-Berenguer, M.; García-Pastor, M.E.; Castillo, S.; Valverde, J.M.; Serrano, M.; Valero, D.; Zapata, P.J. Influence of Flower Head Order on Phenolic Content and Quality of Globe Artichoke at Harvest and during Twenty-One Days of Cold Storage. Sci. Hortic. 2022, 295, 110846. [Google Scholar] [CrossRef]
- Swain, T.; Hillis, W.E. The Phenolic Constituents of Prunus Domestica. I.—The Quantitative Analysis of Phenolic Constituents. J. Sci. Food Agric. 1959, 10, 63–68. [Google Scholar] [CrossRef]
- Martínez-Esplá, A.; García-Pastor, M.E.; Zapata, P.J.; Guillén, F.; Serrano, M.; Valero, D.; Gironés-Vilaplana, A. Preharvest application of oxalic acid improves quality and phytochemical content of artichoke (Cynara scolymus L.) at harvest and during storage. Food Chem. 2017, 230, 343–349. [Google Scholar] [CrossRef]
- Cefola, M.; D’Antuono, I.; Pace, B.; Calabrese, N.; Carito, A.; Linsalata, V.; Cardinali, A. Biochemical Relationships and Browning Index for Assessing the Storage Suitability of Artichoke Genotypes. Food Res. Int. 2012, 48, 397–403. [Google Scholar] [CrossRef]
- Rizzo, V.; Lombardo, S.; Pandino, G.; Barbagallo, R.N.; Mazzaglia, A.; Restuccia, C.; Mauromicale, G.; Muratore, G. Shelf-Life Study of Ready-to-Cook Slices of Globe Artichoke ‘Spinoso Sardo’: Effects of Anti-Browning Solutions and Edible Coating Enriched with Foeniculum vulgare Essential Oil. J. Sci. Food Agric. 2019, 99, 5219–5228. [Google Scholar] [CrossRef]
- Arias, E.; López-Buesa, P.; Oria, R. Extension of Fresh-Cut “Blanquilla” Pear (Pyrus communis L.) Shelf-Life by 1-MCP Treatment after Harvest. Postharvest Biol. Technol. 2009, 54, 53–58. [Google Scholar] [CrossRef]
- Chung, H.S.; Kim, H.S.; Lee, Y.G.; Seong, J.H. Effect of Deastringency Treatment of Intact Persimmon Fruits on the Quality of Fresh-Cut Persimmons. Food Chem. 2015, 166, 192–197. [Google Scholar] [CrossRef]
- Leroy, G.; Grongnet, J.F.; Mabeau, S.; le Corre, D.; Baty-Julien, Ć. Changes in Inulin and Soluble Sugar Concentration in Artichokes (Cynara scolymus L.) during Storage. J. Sci. Food Agric. 2010, 90, 1203–1209. [Google Scholar] [CrossRef] [PubMed]
- Li, G.; Wang, X.; Zhu, H.; Li, G.; Du, J.; Song, X.; Erihemu, X. Use of Different Food Additives to Control Browning in Fresh-Cut Potatoes. Food Sci. Nutr. 2023, 1–7. [Google Scholar] [CrossRef]
- Ali, S.; Khan, A.S.; Malik, A.U. Postharvest L-Cysteine Application Delayed Pericarp Browning, Suppressed Lipid Peroxidation and Maintained Antioxidative Activities of Litchi Fruit. Postharvest Biol. Technol. 2016, 121, 135–142. [Google Scholar] [CrossRef]
- Shemy, M. Effect of Some Essential Oils, Salts And Salicylic Acid On Reducing Decay, Keeping Quality And Prolonging Shelf-Life Of Canino Apricot Fruits. J. Plant Prod. 2020, 5, 125–142. [Google Scholar] [CrossRef]
- Abd, S.M.; Wahab, E. Maintain Postharvest Quality of Nectarine Fruits by Using Some Essential Oils. Middle East. J. App. Sci. Tech. 2015, 5, 855–868. [Google Scholar]
- Salimi, L.; Arshad, M.; Rahimi, A.R.; Rokhzadi, A.; Amini, S.; Azzi, M. Effect of Some Essential Oils on Post Harvest Quality of Grapevine (Vitis vinifera Cv Rasha (Siah-e-Sardasht)) during Cold Storage. Int. J. Biosci. 2013, 3, 75–83. [Google Scholar] [CrossRef]
- Saleh, M.A.; Zaied, N.S.; Maksoud, M.A.; Hafez, O.M. Application of Arabic Gum and Essential Oils as the Postharvest Treatments of Le Conte Pear Fruits during Cold Storage. Asian J. Agric. Hort. Res. 2019, 3, 1–11. [Google Scholar] [CrossRef]
- Gil-Izquierdo, A.; Conesa, M.A.; Ferreres, F.; Gil, M.I. Influence of Modified Atmosphere Packaging on Quality, Vitamin C and Phenolic Content of Artichokes (Cynara scolymus L.). Eur. Food Res. Technol. 2002, 215, 21–27. [Google Scholar] [CrossRef]
- Valverde, J.M.; Guillén, F.; Martínez-Romero, D.; Castillo, S.; Serrano, M.; Valero, D. Improvement of Table Grapes Quality and Safety by the Combination of Modified Atmosphere Packaging (MAP) and Eugenol, Menthol, or Thymol. J. Agric. Food Chem. 2005, 53, 7458–7464. [Google Scholar] [CrossRef]
- Gil-Izquierdo, A.; Gil, M.I.; Conesa, M.A.; Ferreres, F. The Effect of Storage Temperatures on Vitamin C and Phenolics Content of Artichoke (Cynara scolymus L.) Heads. IFSET 2001, 2, 199–202. [Google Scholar] [CrossRef]
- Gutiérrez-Pozo, M.; Serna-Escolano, V.; Giménez-Berenguer, M.; Giménez, M.J.; Zapata, P.J. The Preharvest Application of Essential Oils (Carvacrol, Eugenol, and Thymol) Reduces Fungal Decay in Lemons. Agriculture 2023, 13, 1437. [Google Scholar] [CrossRef]
- Valero, D.; Valverde, J.M.; Martínez-Romero, D.; Guillén, F.; Castillo, S.; Serrano, M. The Combination of Modified Atmosphere Packaging with Eugenol or Thymol to Maintain Quality, Safety and Functional Properties of Table Grapes. Postharvest Biol. Technol. 2006, 41, 317–327. [Google Scholar] [CrossRef]
- Lutz, M.; Henríquez, C.; Escobar, M. Chemical Composition and Antioxidant Properties of Mature and Baby Artichokes (Cynara scolymus L), Raw and Cooked. J. Food Compos. Anal. 2011, 24, 49–54. [Google Scholar] [CrossRef]
- Romo-Hualde, A.; Sáiz-Abajo, M.J.; Yetano-Cunchillos, A.I.; González-Ferrero, C.; Alonso-Santibañez, D.; Salvadó-Casadevall, M.; Lahoz, I.; Macua, J.I.; Urmeneta, I. Characterization of Bioactive Susbtances in Various Artichoke Varieties. Acta Hortic. 2012, 942, 401–406. [Google Scholar] [CrossRef]
- Nabavi, S.F.; Braidy, N.; Gortzi, O.; Sobarzo-Sanchez, E.; Daglia, M.; Skalicka-Woźniak, K.; Nabavi, S.M. Luteolin as an Anti-Inflammatory and Neuroprotective Agent: A Brief Review. Brain Res. Bull. 2015, 119, 1–11. [Google Scholar] [CrossRef]
- Del Rio, D.; Rodriguez-Mateos, A.; Spencer, J.P.E.; Tognolini, M.; Borges, G.; Crozier, A. Dietary (Poly)Phenolics in Human Health: Structures, Bioavailability, and Evidence of Protective Effects Against Chronic Diseases. Antioxid. Redox Signal 2013, 18, 1818–1892. [Google Scholar] [CrossRef]






| Sensory Attribute | Description |
|---|---|
| Visual appearance | |
| Colour | Colours ranging from White to yellow |
| Browning in cut areas | Presence of black areas in cut zones |
| Dehydrated | High moisture loss |
| Odour | |
| General odour | Smell due to volatile compounds identified with a cardoon odour |
| EOs odour | Smell due to residual volatile compounds from the EOs applied |
| Taste | |
| Sweet | Primary tastes produced by substances |
| Bitter | such as sucrose (sweet), caffeine |
| Sour, acid | (bitter), and citric acid (sour or acid) |
| Texture | |
| Firmness | Force necessary to break the product and sound generated from frostbite |
| General acceptability | General impression of the sample |
Disclaimer/Publisher’s Note: The statements, opinions and data contained in all publications are solely those of the individual author(s) and contributor(s) and not of MDPI and/or the editor(s). MDPI and/or the editor(s) disclaim responsibility for any injury to people or property resulting from any ideas, methods, instructions or products referred to in the content. |
© 2023 by the authors. Licensee MDPI, Basel, Switzerland. This article is an open access article distributed under the terms and conditions of the Creative Commons Attribution (CC BY) license (https://creativecommons.org/licenses/by/4.0/).
Share and Cite
Giménez, M.J.; Giménez-Berenguer, M.; Guillén, F.; Serna-Escolano, V.; Gutiérrez-Pozo, M.; Zapata, P.J. Effect of Cysteine with Essential Oils on Quality Attributes and Functional Properties of ‘Blanca de Tudela’ Fresh-Cut Artichoke. Foods 2023, 12, 4414. https://doi.org/10.3390/foods12244414
Giménez MJ, Giménez-Berenguer M, Guillén F, Serna-Escolano V, Gutiérrez-Pozo M, Zapata PJ. Effect of Cysteine with Essential Oils on Quality Attributes and Functional Properties of ‘Blanca de Tudela’ Fresh-Cut Artichoke. Foods. 2023; 12(24):4414. https://doi.org/10.3390/foods12244414
Chicago/Turabian StyleGiménez, María J., Marina Giménez-Berenguer, Fabián Guillén, Vicente Serna-Escolano, María Gutiérrez-Pozo, and Pedro J. Zapata. 2023. "Effect of Cysteine with Essential Oils on Quality Attributes and Functional Properties of ‘Blanca de Tudela’ Fresh-Cut Artichoke" Foods 12, no. 24: 4414. https://doi.org/10.3390/foods12244414
APA StyleGiménez, M. J., Giménez-Berenguer, M., Guillén, F., Serna-Escolano, V., Gutiérrez-Pozo, M., & Zapata, P. J. (2023). Effect of Cysteine with Essential Oils on Quality Attributes and Functional Properties of ‘Blanca de Tudela’ Fresh-Cut Artichoke. Foods, 12(24), 4414. https://doi.org/10.3390/foods12244414
