Comparative Assessment of Lignan, Tocopherol, Tocotrienol and Carotenoids in 40 Selected Varieties of Flaxseed (Linum usitatissimum L.)
Abstract
:1. Introduction
2. Materials and Methods
2.1. A Collection of 40 Varieties of Flaxseed
2.2. Extraction and Analysis of Lignan
2.3. Extraction and Analysis of Tocopherol, Tocotrienols and Carotenoids
2.4. Statistical Analysis
3. Results and Discussion
3.1. Lignans in Flaxseed of 40 Selected Varieties
3.2. Tocopherols and Tocotrienols in 40 Selected Varieties of Flaxseed
3.3. Carotenoids in Selected 40 Varieties of Flaxseeds
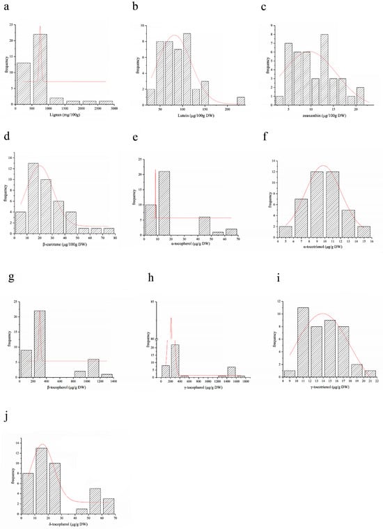
3.4. Frequency Distribution Analysis of Phytochemicals in 40 Varieties of Flaxseeds
3.5. Principle Components Analysis (PCA)
4. Conclusions
Supplementary Materials
Author Contributions
Funding
Data Availability Statement
Conflicts of Interest
References
- Deng, S.; Li, J.; Luo, T.; Deng, Z.; Deng, S.; Li, J.; Luo, T.; Deng, Z. Flaxseed Cyclic Peptide [1-9-NαC]-Linusorb B3 (CLA) Improves Oxidative Stability of Flaxseed Oil by Chelating Metal Ions and Intermediate Oxidative Products. J. Agric. Food Chem. 2022, 3, 15776–15786. [Google Scholar] [CrossRef]
- Khan, N.A.; Booker, H.; Yu, P. Molecular Structures and Metabolic Characteristics of Protein in Brown and Yellow Flaxseed with Altered Nutrient Traits. J. Agric. Food Chem. 2014, 62, 6556–6564. [Google Scholar] [CrossRef]
- De Silva, S.F.; Alcorn, J. Flaxseed Lignans as Important Dietary Polyphenols for Cancer Prevention and Treatment: Chemistry, Pharmacokinetics, and Molecular Targets. Pharmaceuticals 2019, 12, 68. [Google Scholar] [CrossRef]
- Kajla, P.; Sharma, A.; Sood, D.R. Flaxseed—A Potential Functional Food Source. J. Food Sci. Technol. 2015, 52, 1857–1871. [Google Scholar] [CrossRef]
- Kargar, R.; Forouzanfar, M.; Ghalamkari, G.; Nasr Esfahani, M.H. Dietary Flax Seed Oil and/or Vitamin E Improve Sperm Parameters of Cloned Goats Following Freezing-Thawing. Cryobiology 2017, 74, 110–114. [Google Scholar] [CrossRef]
- Goyal, A.; Sharma, V.; Upadhyay, N.; Gill, S.; Sihag, M. Flax and Flaxseed Oil: An Ancient Medicine & Modern Functional Food. J. Food Sci. Technol. 2014, 51, 1633–1653. [Google Scholar] [CrossRef]
- Miret, J.A.; Munné-Bosch, S. Abscisic Acid and Pyrabactin Improve Vitamin C Contents in Raspberries. Food Chem. 2016, 203, 216–223. [Google Scholar] [CrossRef]
- Xie, L.; Yu, Y.; Mao, J.; Liu, H.; Hu, J.G.; Li, T.; Guo, X.; Liu, R.H. Evaluation of Biosynthesis, Accumulation and Antioxidant Activityof Vitamin E in Sweet Corn (Zea Mays L.) during Kernel Development. Int. J. Mol. Sci. 2017, 18, 2780. [Google Scholar] [CrossRef]
- Guo, X.; Wu, Y.; Xiang, N.; Gao, F.; Qiu, C. Effect of Ultrasonic Pretreatment on the Biosynthesis of Tocopherols, Tocotrienols and Carotenoids in Flax Sprouts (Linum Usitatissimum L.). J. Nat. Fibers 2022, 19, 9904–9913. [Google Scholar] [CrossRef]
- Wang, H.; Wang, J.; Guo, X.; Brennan, C.S.; Li, T.; Fu, X.; Chen, G.; Liu, R.H. Effect of Germination on Lignan Biosynthesis, and Antioxidant and Antiproliferative Activities in Flaxseed (Linum Usitatissimum L.). Food Chem. 2016, 205, 170–177. [Google Scholar] [CrossRef] [PubMed]
- Sertse, D.; You, F.M.; Cloutier, S. Genome-Wide Signatures in Flax Pinpoint to Adaptive Evolution along Its Ecological Gradient. Front. Biosci. Landmark 2021, 26, 1559–1571. [Google Scholar] [CrossRef]
- Imran, M.; Ahmad, N.; Anjum, F.M.; Khan, M.K.; Mushtaq, Z.; Nadeem, M.; Hussain, S. Potential Protective Properties of Flax Lignan Secoisolariciresinol Diglucoside. Nutr. J. 2015, 14, 71. [Google Scholar] [CrossRef]
- Hwang, J.K.; Moinuddin, S.G.A.; Davin, L.B.; Lewis, N.G. Pinoresinol-Lariciresinol Reductase: Substrate Versatility, Enantiospecificity, and Kinetic Properties. Chirality 2020, 32, 770–789. [Google Scholar] [CrossRef]
- Wu, Z.; Luo, J.; Han, Y.; Hua, Y.; Guan, C.; Zhang, Z. Low Nitrogen Enhances Nitrogen Use Efficiency by Triggering NO3− Uptake and Its Long-Distance Translocation. J. Agric. Food Chem. 2019, 67, 6736–6747. [Google Scholar] [CrossRef]
- Cheng, C.; Yu, X.; Huang, F.; Peng, D.; Chen, H.; Chen, Y.; Huang, Q.; Deng, Q. Effect of Different Structural Flaxseed Lignans on the Stability of Flaxseed Oil-in-Water Emulsion: An Interfacial Perspective. Food Chem. 2021, 357, 129522. [Google Scholar] [CrossRef]
- Aqeel, T.; Gurumallu, S.C.; Bhaskar, A.; Hashimi, S.M.; Javaraiah, R. Secoisolariciresinol Diglucoside Protects against Cadmium-Induced Oxidative Stress-Mediated Renal Toxicity in Rats. J. Trace Elem. Med. Biol. 2020, 61, 126552. [Google Scholar] [CrossRef]
- Pietrofesa, R.A.; Velalopoulou, A.; Arguiri, E.; Menges, C.W.; Testa, J.R.; Hwang, W.T.; Albelda, S.M.; Christofidou-Solomidou, M. Flaxseed Lignans Enriched in Secoisolariciresinol Diglucoside Prevent Acute Asbestos-Induced Peritoneal Inflammation in Mice. Carcinogenesis 2015, 37, 177–187. [Google Scholar] [CrossRef]
- Truan, J.S.; Chen, J.M.; Thompson, L.U. Comparative Effects of Sesame Seed Lignan and Flaxseed Lignan in Reducing the Growth of Human Breast Tumors (MCF-7) at High Levels of Circulating Estrogen in Athymic Mice. Nutr. Cancer 2012, 64, 65–71. [Google Scholar] [CrossRef]
- Oomah, B.D.; Kenaschuk, E.O.; Mazza, G. Tocopherols in Flaxseed. J. Agric. Food Chem. 1997, 45, 2076–2080. [Google Scholar] [CrossRef]
- Mène-Saffrané, L. Vitamin E Biosynthesis and Its Regulation in Plants. Antioxidants 2018, 7, 2. [Google Scholar] [CrossRef]
- Ponnampalam, E.N.; Burnett, V.F.; Norng, S.; Hopkins, D.L.; Plozza, T.; Jacobs, J.L. Muscle Antioxidant (Vitamin E) and Major Fatty Acid Groups, Lipid Oxidation and Retail Colour of Meat from Lambs Fed a Roughage Based Diet with Flaxseed or Algae. Meat Sci. 2016, 111, 154–160. [Google Scholar] [CrossRef] [PubMed]
- Hu, G.; Ge, L.; Li, Y.; Mukhtar, M.; Shen, B.; Yang, D.; Li, J. Carbon Dots Derived from Flax Straw for Highly Sensitive and Selective Detections of Cobalt, Chromium, and Ascorbic Acid. J. Colloid Interface Sci. 2020, 579, 96–108. [Google Scholar] [CrossRef] [PubMed]
- Mayengbam, S.; Raposo, S.; Aliani, M.; House, J.D. Oral Exposure to the Anti-Pyridoxine Compound 1-Amino d-Proline Further Perturbs Homocysteine Metabolism through the Transsulfuration Pathway in Moderately Vitamin B6 Deficient Rats. J. Nutr. Biochem. 2015, 26, 241–249. [Google Scholar] [CrossRef]
- Mayengbam, S.; Raposo, S.; Aliani, M.; House, J.D. A Vitamin B-6 Antagonist from Flaxseed Perturbs Amino Acid Metabolism in Moderately Vitamin B-6-Deficient Male Rats. J. Nutr. 2016, 146, 14–20. [Google Scholar] [CrossRef]
- Boba, A.; Kostyn, K.; Preisner, M.; Wojtasik, W.; Szopa, J.; Kulma, A. Expression of Heterologous Lycopene β-Cyclase Gene in Flax Can Cause Silencing of Its Endogenous Counterpart by Changes in Gene-Body Methylation and in ABA Homeostasis Mechanism. Plant Physiol. Biochem. 2018, 127, 143–151. [Google Scholar] [CrossRef] [PubMed]
- Rahimzadeh, S.; Pirzad, A. Arbuscular Mycorrhizal Fungi and Pseudomonas in Reduce Drought Stress Damage in Flax (Linum Usitatissimum L.): A Field Study. Mycorrhiza 2017, 27, 537–552. [Google Scholar] [CrossRef] [PubMed]
- Borghesi, E.; González-Miret, M.L.; Escudero-Gilete, M.L.; Malorgio, F.; Heredia, F.J.; Meléndez-Martínez, A.J. Effects of Salinity Stress on Carotenoids, Anthocyanins, and Color of Diverse Tomato Genotypes. J. Agric. Food Chem. 2011, 59, 11676–11682. [Google Scholar] [CrossRef]
- Cui, W.; Kenaschuk, E.; Mazza, G. Influence of Genotype on Chemical Composition and Rheological Properties of Flaxseed Gums. Food Hydrocoll. 1996, 10, 221–227. [Google Scholar] [CrossRef]


| Varieties | Accession Name or Number | Petal Color | Type | Fiber Content in Straw (%) | Seed Yield (kg/ha) | Vegetation Period (d) | Plant Natural Height (cm) |
|---|---|---|---|---|---|---|---|
| 2 | Argentin 2195 | light blue | linseed | 9.17% | 2119.50 | 159 | 63.92 |
| 16 | F2004035 | white | intermediate | 11.28% | 2073.50 | 126 | 60.35 |
| 20 | BETHUE | light blue | linseed | 6.25% | 2360.00 | 128 | 64.32 |
| 22 | F20070121 | light blue | flax | 14.55% | 1443.00 | 152 | 91.95 |
| 27 | YJ005721 | light blue | flax | 22.17% | 2067.50 | 145 | 79.15 |
| 58 | F2010083 | blue | flax | 13.84% | 1281.50 | 152 | 90.03 |
| 84 | F2004024 | light blue | linseed | 12.10% | 1994.50 | 152 | 74.18 |
| 121 | F20070004 | light blue | flax | 20.24% | 1529.25 | 149 | 90.08 |
| 147 | F2004012 | light blue | linseed | 12.87% | 2385.25 | 151 | 70.05 |
| 148 | F2004013 | light blue | linseed | 12.39% | 2296.75 | 142 | 59.42 |
| 164 | F2004035 | white | linseed | 12.10% | 2343.50 | 141 | 70.12 |
| 165 | F2004037 | light blue | linseed | 13.45% | 2194.75 | 144 | 72.23 |
| 167 | F2004045 | light blue | linseed | 12.11% | 2369.00 | 141 | 68.79 |
| 168 | F2004047 | light blue | linseed | 9.93% | 2365.00 | 145 | 70.16 |
| 169 | F2004052 | light blue | linseed | 12.57% | 2518.00 | 150 | 68.32 |
| 217 | USPEA | white | linseed | 16.96% | 2500.00 | 148 | 68.58 |
| 221 | r8607-4-1-3 | light blue | flax | 15.05% | 978.25 | 148 | 93.85 |
| 225 | 89156-12-10-14 | white | flax | 16.54% | 1653.75 | 145 | 106.81 |
| 238 | baxuan3 | light blue | linseed | 15.94% | 2066.50 | 149 | 77.43 |
| 240 | dingya22 | light blue | linseed | 13.11% | 2201.75 | 151 | 70.15 |
| 241 | tongya10 | light blue | linseed | 12.63% | 1995.50 | 151 | 70.76 |
| 269 | shuangya12 | light blue | flax | 19.08% | 1007.00 | 140 | 91.68 |
| 299 | 0407-8-14 | violet | flax | 22.00% | 1193.00 | 151 | 83.76 |
| 306 | siziwangqi | blue | linseed | 10.22% | 2246.25 | 150 | 54.26 |
| 314 | lunxuan3 | light blue | linseed | 13.62% | 2400.00 | 151 | 76.63 |
| 315 | 2012GYSTS | light blue | linseed | 14.80% | 2024.75 | 142 | 55.26 |
| 318 | 2012GYFX-16 | light blue | linseed | 6.17% | 2600.00 | 147 | 62.74 |
| 462 | 0325-2-2-8 | light blue | flax | 22.21% | 1612.00 | 147 | 90.27 |
| 543 | Y4S164-2-25-16 | light blue | flax | 19.91% | 1623.50 | 148 | 90.46 |
| 547 | 0419-2-4 | light blue | flax | 20.43% | 1466.00 | 149 | 101.19 |
| 549 | 0419-2-8 | light blue | flax | 18.92% | 1452.50 | 159 | 92.16 |
| 603 | 0420-2-9 | light blue | flax | 8.78% | 961.25 | 149 | 98.86 |
| 611 | 0325-30-22-7 | light blue | flax | 20.71% | 1102.75 | 149 | 100.72 |
| 627 | 0325-3-9-5 | light blue | flax | 25.91% | 1305.50 | 148 | 93.28 |
| 629 | 0325-2-26-5 | light blue | flax | 22.98% | 1229.75 | 150 | 95.82 |
| 643 | 0325-3-32-9 | light blue | flax | 21.75% | 1053.75 | 148 | 89.65 |
| 648 | Y5S038-10-4 | light blue | flax | 18.30% | 1121.00 | 149 | 101.27 |
| 649 | Y5S038-10-2 | light blue | flax | 15.06% | 993.00 | 150 | 95.64 |
| 650 | Y4S185-7-9 | light blue | flax | 15.84% | 956.00 | 148 | 99.97 |
| 651 | Y5S038-10-4 | light blue | flax | 16.83% | 1041.25 | 150 | 93.79 |
| Flax Type | Component | Average | Stdev | CV/% | Percent of Total Phytochemical Content/% |
|---|---|---|---|---|---|
| Flax | Secoisolarisiresinol diglucoside | 774.48 | 631.19 | 81.50 | / |
| Linseed | 646.38 | 265.91 | 41.14 | / | |
| Intermediate | 513.58 | 19.67 | 3.83 | / | |
| Total | 710.31 | 494.04 | 69.55 | / |
| Flax Type | Component | Average | Stdev | CV/% | Percent of Total Phytochemical Content/% |
|---|---|---|---|---|---|
| Flax | α-T | 17.03 | 15.33 | 90.02 | 1.87 |
| α-T3 | 9.65 | 3.26 | 33.81 | 1.06 | |
| β-T | 356.37 | 338.29 | 94.93 | 39.11 | |
| γ-T | 491.73 | 519.48 | 105.64 | 53.97 | |
| γ-T3 | 14.74 | 4.39 | 29.76 | 1.62 | |
| δ-T | 21.62 | 18.46 | 85.35 | 2.37 | |
| Linseed | α-T | 20.14 | 16.39 | 81.37 | 1.90 |
| α-T3 | 9.97 | 2.12 | 21.28 | 0.94 | |
| β-T | 429.98 | 377.91 | 87.89 | 40.65 | |
| γ-T | 556.51 | 452.77 | 81.36 | 52.61 | |
| γ-T3 | 13.60 | 3.42 | 25.13 | 1.29 | |
| δ-T | 27.57 | 15.98 | 57.97 | 2.61 | |
| Intermediate | α-T | 64.16 | 3.17 | 4.94 | 2.26 |
| α-T3 | 13.70 | 1.18 | 8.60 | 0.48 | |
| β-T | 1184.09 | 53.54 | 4.52 | 41.79 | |
| γ-T | 1491.67 | 56.38 | 3.78 | 52.65 | |
| γ-T3 | 15.53 | 1.07 | 6.87 | 0.55 | |
| δ-T | 64.02 | 1.45 | 2.27 | 2.26 | |
| Total | α-T | 19.61 | 17.21 | 87.73 | 1.91 |
| α-T3 | 9.90 | 2.82 | 28.54 | 0.97 | |
| β-T | 410.18 | 374.29 | 91.25 | 40.01 | |
| γ-T | 545.88 | 506.08 | 92.71 | 53.25 | |
| γ-T3 | 14.25 | 3.95 | 27.73 | 1.39 | |
| δ-T | 25.36 | 18.40 | 72.56 | 2.47 |
| Flax Type | Component | Average | Stdev | CV/% | Percent of Total Phytochemical Content/% |
|---|---|---|---|---|---|
| Flax | Lut. | 86.03 | 31.66 | 36.80 | 70.08 |
| Zea. | 9.95 | 4.42 | 44.39 | 8.11 | |
| β-Car. | 26.78 | 14.04 | 52.43 | 21.81 | |
| Total Car. | 122.75 | 46.67 | 38.02 | / | |
| Linseed | Lut. | 96.34 | 42.38 | 43.99 | 71.14 |
| Zea. | 12.56 | 4.68 | 37.25 | 9.27 | |
| β-Car. | 26.52 | 15.63 | 58.93 | 19.58 | |
| Total Car. | 135.42 | 56.94 | 42.05 | / | |
| Intermediate | Lut. | 36.29 | 2.68 | 7.39 | 80.28 |
| Zea. | 2.99 | 0.09 | 3.09 | 6.62 | |
| β-Car. | 5.92 | 0.30 | 5.01 | 13.10 | |
| Total Car. | 45.20 | 3.03 | 6.70 | / | |
| Total | Lut. | 89.42 | 37.70 | 42.16 | 70.68 |
| Zea. | 10.95 | 4.82 | 43.99 | 8.65 | |
| β-Car. | 26.14 | 14.90 | 57.01 | 20.66 | |
| Total Car. | 126.52 | 52.81 | 41.74 | / |
Disclaimer/Publisher’s Note: The statements, opinions and data contained in all publications are solely those of the individual author(s) and contributor(s) and not of MDPI and/or the editor(s). MDPI and/or the editor(s) disclaim responsibility for any injury to people or property resulting from any ideas, methods, instructions or products referred to in the content. |
© 2023 by the authors. Licensee MDPI, Basel, Switzerland. This article is an open access article distributed under the terms and conditions of the Creative Commons Attribution (CC BY) license (https://creativecommons.org/licenses/by/4.0/).
Share and Cite
Wu, Z.; Li, Y.; Qiu, H.; Long, S.; Zhao, X.; Wang, Y.; Guo, X.; Baitelenova, A.; Qiu, C. Comparative Assessment of Lignan, Tocopherol, Tocotrienol and Carotenoids in 40 Selected Varieties of Flaxseed (Linum usitatissimum L.). Foods 2023, 12, 4250. https://doi.org/10.3390/foods12234250
Wu Z, Li Y, Qiu H, Long S, Zhao X, Wang Y, Guo X, Baitelenova A, Qiu C. Comparative Assessment of Lignan, Tocopherol, Tocotrienol and Carotenoids in 40 Selected Varieties of Flaxseed (Linum usitatissimum L.). Foods. 2023; 12(23):4250. https://doi.org/10.3390/foods12234250
Chicago/Turabian StyleWu, Zhimin, Yazhi Li, Huajiao Qiu, Songhua Long, Xinlin Zhao, Yufu Wang, Xinbo Guo, Aliya Baitelenova, and Caisheng Qiu. 2023. "Comparative Assessment of Lignan, Tocopherol, Tocotrienol and Carotenoids in 40 Selected Varieties of Flaxseed (Linum usitatissimum L.)" Foods 12, no. 23: 4250. https://doi.org/10.3390/foods12234250
APA StyleWu, Z., Li, Y., Qiu, H., Long, S., Zhao, X., Wang, Y., Guo, X., Baitelenova, A., & Qiu, C. (2023). Comparative Assessment of Lignan, Tocopherol, Tocotrienol and Carotenoids in 40 Selected Varieties of Flaxseed (Linum usitatissimum L.). Foods, 12(23), 4250. https://doi.org/10.3390/foods12234250

