Effects of Tremella fuciformis Mushroom Polysaccharides on Structure, Pasting, and Thermal Properties of Chinese Chestnuts (Castanea henryi) Starch Granules under Different Freeze–Thaw Cycles
Abstract
:1. Introduction
2. Materials and Methods
2.1. Materials
2.2. Preparation of Castanea henryi Starch
2.3. Preparation of Frozen–Thawed Starch
2.4. Preparation of Tremella fuciformis Polysaccharide
2.5. Particle Size Distribution Determination
2.6. Measurement of Fourier Transform Infrared Spectroscopy (FT-IR)
2.7. X-ray Diffraction Determination (XRD)
2.8. Thermal Properties of Starch (TGA)
2.9. Low-Field Nuclear Magnetic Resonance (LF-NMR)
2.10. Determination of Retrogradation
2.11. Determination of Pasting Properties of Starch
2.12. Determination of Shear Thinning
2.12.1. Determination of Thixotropy
2.12.2. Frequency Scanning
2.13. Textural Properties (TPA)
2.14. Statistical Analysis
3. Results and Discussion
3.1. Effects of the Freeze–Thaw Cycle on the Particle Size Distribution of Castanea henryi Starch
3.2. FT-IR Analysis of Castanea henryi Starch Treated by Different Freeze–Thaw Cycles
3.3. X-ray Analysis of Castanea henryi Starch Treated by Different Freeze–Thaw Cycles
3.4. Thermal Properties Analysis (TGA) of Castanea henryi Starch Treated by Different Freeze–Thaw Cycles
3.5. Moisture Distribution of Castanea henryi Starch with Freeze–Thaw Cycles
3.6. Effects of the Freeze–Thaw Cycle on the Retrogradation Characteristics of Castanea henryi Starch
3.7. Rapid Viscosity Analysis (RVA) of Castanea henryi Starch Treated with Different Freeze–Thaw Cycles
3.8. Effect of Adding Tremella polysaccharide on the Rheological Properties of Castanea henryi Starch after the Freeze–Thaw Cycle
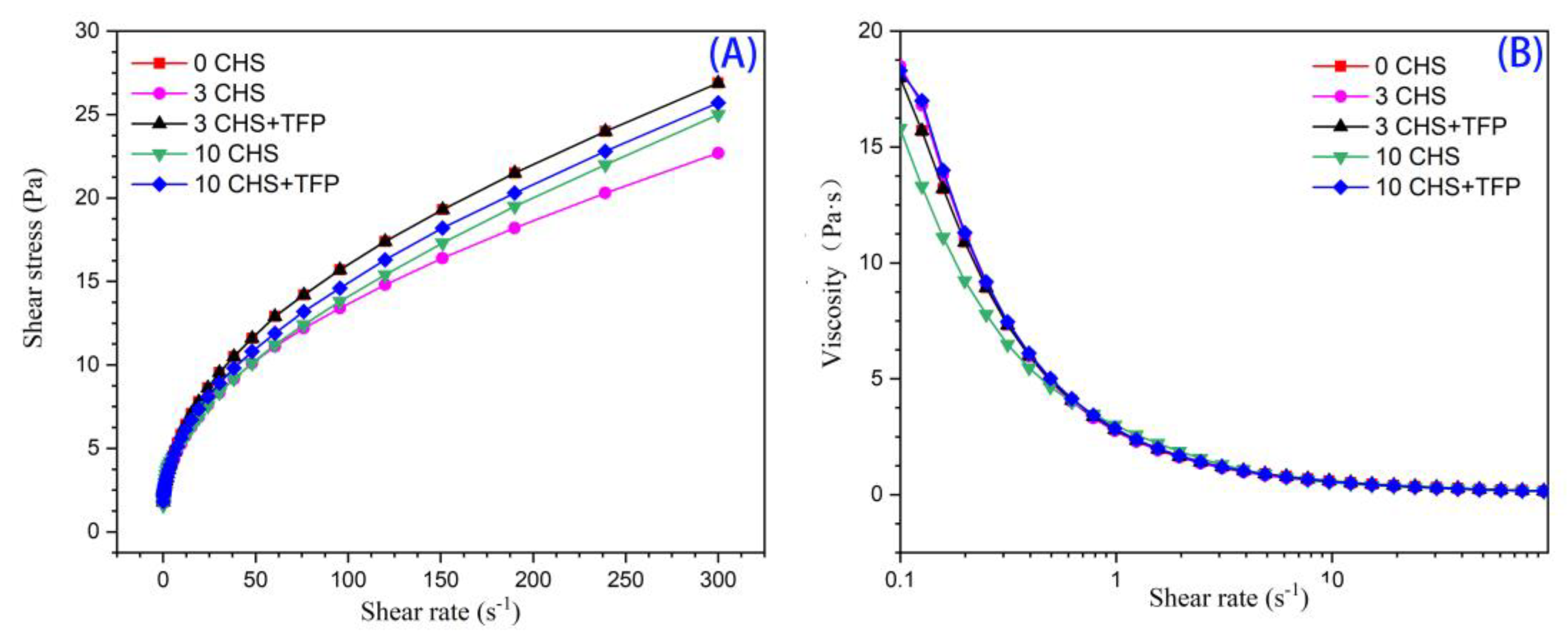
3.8.1. Shear Thinning Characteristics
3.8.2. Dynamic Frequency Scanning
3.9. The Effect of Adding Tremella fuciformis Crude Polysaccharide on the Texture of Chestnut Starch after Freeze–Thaw Cycles
4. Conclusions
Author Contributions
Funding
Data Availability Statement
Conflicts of Interest
References
- Wang, Z.; Han, M.; Liu, Y.; Wu, Y.; Ouyang, J. Insights into the multiscale structure and thermal characteristics of chestnut starch. J. Food Compos. Anal. 2023, 115, 104973. [Google Scholar] [CrossRef]
- FAO. Available online: https://www.fao.org/faostat/zh/#data/qcl (accessed on 17 February 2022).
- Zhu, F. Effect of processing on quality attributes of chestnut. Food Bioprocess Technol. 2016, 9, 1429–1443. [Google Scholar] [CrossRef]
- Hao, H.; Li, Q.; Bao, W.; Wu, Y.; Ouyang, J. Relationship between physicochemical characteristics and in vitro digestibility of chestnut (Castanea mollissima) starch. Food Hydrocoll. 2018, 84, 193–199. [Google Scholar] [CrossRef]
- Zhang, L.; Liu, T.; Hu, G.; Guo, K.; Wei, C. Comparison of physicochemical properties of starches from nine chinese chestnut varieties. Molecules 2018, 23, 3248. [Google Scholar] [CrossRef]
- Pizzoferrato, L.; Rotilio, G.; Paci, M. Modification of structure and digestibility of chestnut starch upon cooking: A solid state 13c cp mas nmr and enzymatic degradation study. J. Agric. Food Chem. 1999, 47, 4060–4063. [Google Scholar] [CrossRef] [PubMed]
- Lee, J.W.; Choi, H.W.; Seo, D.-H.; Park, J.D.; Kum, J.S.; Kim, B.-Y.; Baik, M.-Y. Isolation and characterization of starches from chestnuts cultivated in three regions of korea. Starch Starke 2015, 67, 585–594. [Google Scholar] [CrossRef]
- Pongsawatmanit, R.; Chantaro, P.; Nishinari, K. Thermal and rheological properties of tapioca starch gels with and without xanthan gum under cold storage. J. Food Eng. 2013, 117, 333–341. [Google Scholar] [CrossRef]
- Cui, C.; Jia, Y.; Sun, Q.; Yu, M.; Ji, N.; Dai, L.; Wang, Y.; Qin, Y.; Xiong, L.; Sun, Q. Recent advances in the preparation, characterization, and food application of starch-based hydrogels. Carbohydr. Polym. 2022, 291, 119624. [Google Scholar] [CrossRef]
- Sievert, D.; Würsch, P. Thermal behavior of potato amylose and enzyme-resistant starch from maize. Cereal Chem. 1993, 70, 333–338. [Google Scholar]
- Miles, M.J.; Morris, V.J.; Orford, P.D.; Ring, S.G. The roles of amylose and amylopectin in the gelation and retrogradation of starch. Carbohydr. Res. 1985, 135, 271–281. [Google Scholar] [CrossRef]
- Liu, H.; Ramsden, L.; Corke, H. Physical properties and enzymatic digestibility of hydroxypropylated ae, wx, and normal maize starch. Carbohydr. Polym. 1999, 40, 175–182. [Google Scholar] [CrossRef]
- An, D. Study on the Synergistic Regulation of Polyphenols on the Digestion and Retrogradation of Chestnut Starch. Master’s Thesis, South China University of Technology, Guangzhou, China, 2021. [Google Scholar]
- Luo, Y.; Xiao, Y.; Shen, M.; Wen, H.; Ren, Y.; Yang, J.; Han, X.; Xie, J. Effect of mesona chinensis polysaccharide on the retrogradation properties of maize and waxy maize starches during storage. Food Hydrocoll. 2020, 101, 105538. [Google Scholar] [CrossRef]
- Zeng, X.; Zheng, B.; Xiao, G.; Chen, L. Synergistic effect of extrusion and polyphenol molecular interaction on the short/long-term retrogradation properties of chestnut starch. Carbohydr. Polym. 2022, 276, 118731. [Google Scholar] [CrossRef]
- Tao, H.; Wang, P.; Ali, B.; Wu, F.; Jin, Z.; Xu, X. Fractionation and reconstitution experiments provide insight into the role of wheat starch in frozen dough. Food Chem. 2016, 190, 588–593. [Google Scholar] [CrossRef]
- Eliasson, A.-C.; Kim, H.R. Changes in rheological properties of hydroxypropyl potato starch pastes during freeze–thaw treatments i. A rheological approach for evaluation of freeze–thaw stability. J. Texture Stud. 1992, 23, 279–295. [Google Scholar] [CrossRef]
- Lozinsky, V.I.; Damshkaln, L.G. Study of cryostructuration of polymer systems. Xvii. Poly(vinyl alcohol) cryogels: Dynamics of the cryotropic gel formation. J. Appl. Polym. Sci. 2000, 77, 2017–2023. [Google Scholar] [CrossRef]
- Yong, Z. Low Temperature Freeze–Thawing Behavior of Corn Starch Granule. Master’s Thesis, Qiqihar University, Qiqihar, China, 2015. [Google Scholar]
- Fu, Y.; Zhou, J.; Liu, D.; Castagnini, J.M.; Barba, F.J.; Yan, Y.; Liu, X.; Wang, X. Effect of mulberry leaf polysaccharides on the physicochemical, rheological, microstructure properties and in vitro starch digestibility of wheat starch during the freeze–thaw cycles. Food Hydrocoll. 2023, 144, 109057. [Google Scholar] [CrossRef]
- Santamaria, M.; Garzon, R.; Rosell, C.M. Impact of starch-hydrocolloid interaction on pasting properties and enzymatic hydrolysis. Food Hydrocoll. 2023, 142, 108764. [Google Scholar] [CrossRef]
- Xiao, W.; Shen, M.; Ren, Y.; Wen, H.; Li, J.; Rong, L.; Liu, W.; Xie, J. Controlling the pasting, rheological, gel, and structural properties of corn starch by incorporation of debranched waxy corn starch. Food Hydrocoll. 2022, 123, 107136. [Google Scholar] [CrossRef]
- Liu, C.; Zhang, H.; Chen, R.; Chen, J.; Liu, X.; Luo, S.; Chen, T. Effects of creeping fig seed polysaccharide on pasting, rheological, textural properties and in vitro digestibility of potato starch. Food Hydrocoll. 2021, 118, 106810. [Google Scholar] [CrossRef]
- Pongsawatmanit, R.; Srijunthongsiri, S. Influence of xanthan gum on rheological properties and freeze–thaw stability of tapioca starch. J. Food Eng. 2008, 88, 137–143. [Google Scholar] [CrossRef]
- Charoenrein, S.; Tatirat, O.; Rengsutthi, K.; Thongngam, M. Effect of konjac glucomannan on syneresis, textural properties and the microstructure of frozen rice starch gels. Carbohydr. Polym. 2011, 83, 291–296. [Google Scholar] [CrossRef]
- Hu, J.; Zhao, T.; Li, S.; Wang, Z.; Wen, C.; Wang, H.; Yu, C.; Ji, C. Stability, microstructure, and digestibility of whey protein isolate—Tremella fuciformis polysaccharide complexes. Food Hydrocoll. 2019, 89, 379–385. [Google Scholar] [CrossRef]
- Li, D.; Wei, Z.; Sun, J.; Xue, C. Tremella polysaccharides-coated zein nanoparticles for enhancing stability and bioaccessibility of curcumin. Curr. Res. Food Sci. 2022, 5, 611–618. [Google Scholar] [CrossRef]
- Yang, F.; Du, Q.; Miao, T.; Zhang, X.; Xu, W.; Jia, D. Interaction between potato starch and tremella fuciformis polysaccharide. Food Hydrocoll. 2022, 127, 107509. [Google Scholar] [CrossRef]
- Su, H.; Tu, J.; Zheng, M.; Deng, K.; Miao, S.; Zeng, S.; Zheng, B.; Lu, X. Effects of oligosaccharides on particle structure, pasting and thermal properties of wheat starch granules under different freezing temperatures. Food Chem. 2020, 315, 126209. [Google Scholar] [CrossRef]
- Zhang, Y.; Lei, Y.; Qi, S.; Fan, M.; Zheng, S.; Huang, Q.; Lu, X. Ultrasonic-microwave-assisted extraction for enhancing antioxidant activity of dictyophora indusiata polysaccharides: The difference mechanisms between single and combined assisted extraction. Ultrason. Sonochem. 2023, 95, 106356. [Google Scholar] [CrossRef]
- Charoenrein, S.; Preechathammawong, N. Effect of waxy rice flour and cassava starch on freeze–thaw stability of rice starch gels. Carbohydr. Polym. 2012, 90, 1032–1037. [Google Scholar] [CrossRef]
- Qiu, Z.; Chen, L.; Rao, C.; Zheng, B. Starch-guar gum-ferulic acid molecular interactions alter the ordered structure and ultimate retrogradation properties and in vitro digestibility of chestnut starch under extrusion treatment. Food Chem. 2023, 416, 135803. [Google Scholar] [CrossRef]
- Zhang, Y.; Xu, Y.; Wang, Q.; Zhang, J.; Dai, X.; Miao, S.; Lu, X. The antioxidant capacity and nutrient composition characteristics of lotus (nelumbo nucifera gaertn.) seed juice and their relationship with color at different storage temperatures. Food Chem. X 2023, 18, 100669. [Google Scholar] [CrossRef]
- Guo, Z.; Li, X.; Yang, D.; Lei, A.; Zhang, F. Structural and functional properties of chestnut starch based on high-pressure homogenization. LWT 2022, 154, 112647. [Google Scholar] [CrossRef]
- Ding, Y.; Kan, J. Optimization and characterization of high pressure homogenization produced chemically modified starch nanoparticles. J. Food Sci. Technol. 2017, 54, 4501–4509. [Google Scholar] [CrossRef]
- Zhong, Y.; Xiang, X.; Zhao, J.; Wang, X.; Chen, R.; Xu, J.; Luo, S.; Wu, J.; Liu, C. Microwave pretreatment promotes the annealing modification of rice starch. Food Chem. 2020, 304, 125432. [Google Scholar] [CrossRef]
- González-Cruz, L.; Montañez-Soto, J.L.; Conde-Barajas, E.; Negrete-Rodríguez, M.d.l.L.X.; Flores-Morales, A.; Bernardino-Nicanor, A. Spectroscopic, calorimetric and structural analyses of the effects of hydrothermal treatment of rice beans and the extraction solvent on starch characteristics. Int. J. Biol. Macromol. 2018, 107, 965–972. [Google Scholar] [CrossRef] [PubMed]
- Yu, H.; Cheng, L.; Yin, J.; Yan, S.; Liu, K.; Zhang, F.; Xu, B.; Li, L. Structure and physicochemical properties of starches in lotus (nelumbo nucifera gaertn.) rhizome. Food Sci. Nutr. 2013, 1, 273–283. [Google Scholar] [CrossRef] [PubMed]
- Abbasian, A.; Ahang, M. Isolation, purification and structural characterization of a new water-soluble polysaccharide from eremurus stenophyllus (boiss. & buhse) baker roots. Carbohydr. Polym. 2017, 178, 386–393. [Google Scholar] [CrossRef]
- Rodriguez-Garcia, M.E.; Hernandez-Landaverde, M.A.; Delgado, J.M.; Ramirez-Gutierrez, C.F.; Ramirez-Cardona, M.; Millan-Malo, B.M.; Londoño-Restrepo, S.M. Crystalline structures of the main components of starch. Curr. Opin. Food Sci. 2021, 37, 107–111. [Google Scholar] [CrossRef]
- He, W.; Wei, C. Progress in c-type starches from different plant sources. Food Hydrocoll. 2017, 73, 162–175. [Google Scholar] [CrossRef]
- Wang, S.; Li, C.; Copeland, L.; Niu, Q.; Wang, S. Starch retrogradation: A comprehensive review. Compr. Rev. Food Sci. Food Saf. 2015, 14, 568–585. [Google Scholar] [CrossRef]
- Wang, Y.; Zhan, J.; Lu, H.; Chang, R.; Qiu, L.; Tian, Y. Amylopectin crystal seeds: Characterization and their effect on amylopectin retrogradation. Food Hydrocoll. 2021, 111, 106409. [Google Scholar] [CrossRef]
- Zhu, L.; Wu, G.; Cheng, L.; Zhang, H.; Wang, L.; Qian, H.; Qi, X. Investigation on molecular and morphology changes of protein and starch in rice kernel during cooking. Food Chem. 2020, 316, 126262. [Google Scholar] [CrossRef]
- Yang, C.; Zhong, F.; Douglas Goff, H.; Li, Y. Study on starch-protein interactions and their effects on physicochemical and digestible properties of the blends. Food Chem. 2019, 280, 51–58. [Google Scholar] [CrossRef]
- Zhang, X.; Shen, Y.; Zhang, N.; Bao, J.; Wu, D.; Shu, X. The effects of internal endosperm lipids on starch properties: Evidence from rice mutant starches. J. Cereal Sci. 2019, 89, 102804. [Google Scholar] [CrossRef]
- Pigłowska, M.; Kurc, B.; Rymaniak, Ł.; Lijewski, P.; Fuć, P. Kinetics and thermodynamics of thermal degradation of different starches and estimation the oh group and h2o content on the surface by tg/dtg-dta. Polymers 2020, 12, 357. [Google Scholar] [CrossRef]
- Sánchez-Alonso, I.; Martinez, I.; Sánchez-Valencia, J.; Careche, M. Estimation of freezing storage time and quality changes in hake (Merluccius merluccius, L.) by low field nmr. Food Chem. 2012, 135, 1626–1634. [Google Scholar] [CrossRef] [PubMed]
- Roach, R.R.; Hoseney, R.C. Effect of certain surfactants on the swelling, solubility and amylograph consistency of starch. Cereal Chem. 1995, 72, 571–577. [Google Scholar]
- Li, C. Recent progress in understanding starch gelatinization—An important property determining food quality. Carbohydr. Polym. 2022, 293, 119735. [Google Scholar] [CrossRef] [PubMed]
- Waigh, T.A.; Gidley, M.J.; Komanshek, B.U.; Donald, A.M. The phase transformations in starch during gelatinisation: A liquid crystalline approach. Carbohydr. Res. 2000, 328, 165–176. [Google Scholar] [CrossRef]
- Li, E.; Lv, J.; Huo, D.; Jia, B.; Li, C. Importance of amylose chain-length distribution in determining starch gelatinization and retrogradation property of wheat flour in the presence of different salts. Carbohydr. Polym. 2023, 308, 120648. [Google Scholar] [CrossRef]
- Balet, S.; Guelpa, A.; Fox, G.; Manley, M. Rapid visco analyser (rva) as a tool for measuring starch-related physiochemical properties in cereals: A review. Food Anal. Methods 2019, 12, 2344–2360. [Google Scholar] [CrossRef]
- Zhang, C.; Wang, Z.-J.; Liu, Q.-Q.; Qian, J.-Y.; Lim, S.-T. Improvement of pasting and gelling behaviors of waxy maize starch by partial gelatinization and freeze–thawing treatment with xanthan gum. Food Chem. 2022, 375, 131656. [Google Scholar] [CrossRef]
- BeMiller, J.N. Effect of hydrocolloids on normal and waxy maize starches cross-linked with epichlorohydrin. Food Hydrocoll. 2021, 112, 106260. [Google Scholar] [CrossRef]
- Zhang, C.; Han, J.-A.; Lim, S.-T. Characteristics of some physically modified starches using mild heating and freeze–thawing. Food Hydrocoll. 2018, 77, 894–901. [Google Scholar] [CrossRef]
- Ferrero, C.; Martino, M.N.; Zaritzky, N.E. Stability of frozen starch pastes: Effect of freezing, storage and xanthan gum addition. J. Food Process. Preserv. 1993, 17, 191–211. [Google Scholar] [CrossRef]
- Lin, L.; Huang, J.; Zhao, L.; Wang, J.; Wang, Z.; Wei, C. Effect of granule size on the properties of lotus rhizome c-type starch. Carbohydr. Polym. 2015, 134, 448–457. [Google Scholar] [CrossRef] [PubMed]
- Singh, A.; Geveke, D.J.; Yadav, M.P. Improvement of rheological, thermal and functional properties of tapioca starch by using gum arabic. LWT 2017, 80, 155–162. [Google Scholar] [CrossRef]
- Viturawong, Y.; Achayuthakan, P.; Suphantharika, M. Gelatinization and rheological properties of rice starch/xanthan mixtures: Effects of molecular weight of xanthan and different salts. Food Chem. 2008, 111, 106–114. [Google Scholar] [CrossRef]
- Angioloni, A.; Collar, C. Impact of high hydrostatic pressure on protein aggregation and rheological properties of legume batters. Food Bioprocess Technol. 2013, 6, 3576–3584. [Google Scholar] [CrossRef]
- He, H.; Hao, Y.; Ai, C.; Wang, K.; Liao, W.; Shen, J. Isolation of dictyophora indusiata polysaccharide and its effects on the multi-structure characteristics and in vitro digestion of extruded rice starch. LWT 2022, 162, 113446. [Google Scholar] [CrossRef]
- Wang, M.; Shen, Y.; Wang, B.; Liu, S.; Zhu, P. Effect of starch type on the physicochemical and emulsifying properties of amorphous starch–whey protein isolate mixtures. LWT 2023, 185, 115134. [Google Scholar] [CrossRef]
- Nijdam, J.J.; LeCorre-Bordes, D.; Delvart, A.; Schon, B.S. A rheological test to assess the ability of food inks to form dimensionally stable 3d food structures. J. Food Eng. 2021, 291, 110235. [Google Scholar] [CrossRef]
- Hedayati, S.; Shahidi, F.; Majzoobi, M.; Koocheki, A.; Farahnaky, A. Structural, rheological, pasting and textural properties of granular cold water swelling maize starch: Effect of NaCl and CaCl2. Carbohydr. Polym. 2020, 242, 116406. [Google Scholar] [CrossRef] [PubMed]
- Zhang, H.; Sun, B.; Zhang, S.; Zhu, Y.; Tian, Y. Inhibition of wheat starch retrogradation by tea derivatives. Carbohydr. Polym. 2015, 134, 413–417. [Google Scholar] [CrossRef] [PubMed]
- Zhang, C.; Lim, S.-T.; Chung, H.-J. Physical modification of potato starch using mild heating and freezing with minor addition of gums. Food Hydrocoll. 2019, 94, 294–303. [Google Scholar] [CrossRef]









| Sample | T21 (ms) | A21 (%) | T22 (ms) | A22 (%) | T23 (ms) | A23 (%) |
|---|---|---|---|---|---|---|
| 0 CHS | 0.25 | 98.15 | 32.75 | 1.70 | 10,000 | 0.14 |
| 3 CHS | 0.50 | 97.70 | 43.29 | 2.30 | ||
| 3 CHS + TFP | 0.43 | 98.28 | 43.29 | 1.73 | ||
| 10 CHS | 0.50 | 97.57 | 43.29 | 2.35 | 613.59 | 0.08 |
| 10 CHS + TFP | 0.57 | 99.04 | 57.22 | 0.96 |
| Sample | Pasting Temperature (°C) | PV (cP) | BD (cP) | SB (cP) |
|---|---|---|---|---|
| 0 CHS | 80.40 ± 7.09 a | 5117.01 ± 396.33 a | 795.90 ± 20.01 a | 897.11 ± 43.62 a |
| 3 CHS | 82.81 ± 9.15 a | 4977.90 ± 171.47 a | 568.63 ± 19.12 b | 874.14 ± 44.73 a |
| 3 CHS+TFP | 76.40 ± 2.27 b | 5902.21 ± 340.92 b | 1884.52 ± 144.55 c | 711.53 ± 32.64 b |
| 10 CHS | 74.11 ± 3.31 b | 5041.21 ± 598.28 a | 605.04 ± 44.51 b | 752.59 ± 31.88 c |
| 10 CHS + TFP | 75.62 ± 4.60 b | 4916.42 ± 333.88 a | 733.36 ± 61.70 c | 539.09 ± 28.83 d |
| Sample | K | n | R2 |
|---|---|---|---|
| 0 CHS | 2.33 | 0.42 | 0.99 |
| 3 CHS | 2.27 | 0.40 | 0.99 |
| 3 CHS + TFP | 2.33 | 0.42 | 0.99 |
| 10 CHS | 2.15 | 0.42 | 0.99 |
| 10 CHS + TFP | 2.26 | 0.42 | 0.99 |
| Sample | Hardness/g | Springiness | Cohesiveness | Gumminess | Resilience |
|---|---|---|---|---|---|
| 0 CHS | 169.25 ± 2.00 d | 1.10 ± 0.22 b | 0.76 ± 0.04 a | 127.75 ± 4.20 c | 0.52 ± 0.04 c |
| 3 CHS | 148.38 ± 2.10 b | 0.91 ± 0.05 a | 0.72 ± 0.08 a | 116.06 ± 5.70 b | 0.40 ± 0.02 a |
| 3 CHS + TFP | 152.74 ± 3.21 c | 1.09 ± 0.01 b | 0.83 ± 0.03 b | 122.11 ± 2.42 c | 0.45 ± 0.02 b |
| 10 CHS | 139.22 ± 1.18 a | 1.23 ± 0.24 c | 0.85 ± 0.05 b | 109.82 ± 3.45 a | 0.61 ± 0.04 d |
| 10 CHS + TFP | 154.50 ± 4.18 c | 1.39 ± 0.10 d | 0.99 ± 0.06 c | 126.89 ± 4.36 c | 0.70 ± 0.08 e |
Disclaimer/Publisher’s Note: The statements, opinions and data contained in all publications are solely those of the individual author(s) and contributor(s) and not of MDPI and/or the editor(s). MDPI and/or the editor(s) disclaim responsibility for any injury to people or property resulting from any ideas, methods, instructions or products referred to in the content. |
© 2023 by the authors. Licensee MDPI, Basel, Switzerland. This article is an open access article distributed under the terms and conditions of the Creative Commons Attribution (CC BY) license (https://creativecommons.org/licenses/by/4.0/).
Share and Cite
Zhuang, W.; Zheng, S.; Chen, F.; Gao, S.; Zhong, M.; Zheng, B. Effects of Tremella fuciformis Mushroom Polysaccharides on Structure, Pasting, and Thermal Properties of Chinese Chestnuts (Castanea henryi) Starch Granules under Different Freeze–Thaw Cycles. Foods 2023, 12, 4118. https://doi.org/10.3390/foods12224118
Zhuang W, Zheng S, Chen F, Gao S, Zhong M, Zheng B. Effects of Tremella fuciformis Mushroom Polysaccharides on Structure, Pasting, and Thermal Properties of Chinese Chestnuts (Castanea henryi) Starch Granules under Different Freeze–Thaw Cycles. Foods. 2023; 12(22):4118. https://doi.org/10.3390/foods12224118
Chicago/Turabian StyleZhuang, Weijing, Shuyi Zheng, Feng Chen, Shujuan Gao, Meifang Zhong, and Baodong Zheng. 2023. "Effects of Tremella fuciformis Mushroom Polysaccharides on Structure, Pasting, and Thermal Properties of Chinese Chestnuts (Castanea henryi) Starch Granules under Different Freeze–Thaw Cycles" Foods 12, no. 22: 4118. https://doi.org/10.3390/foods12224118
APA StyleZhuang, W., Zheng, S., Chen, F., Gao, S., Zhong, M., & Zheng, B. (2023). Effects of Tremella fuciformis Mushroom Polysaccharides on Structure, Pasting, and Thermal Properties of Chinese Chestnuts (Castanea henryi) Starch Granules under Different Freeze–Thaw Cycles. Foods, 12(22), 4118. https://doi.org/10.3390/foods12224118

