Impact of Nitrite Supplementation on Bioactive Peptides during Sausage Processing
Abstract
1. Introduction
2. Materials and Methods
2.1. Materials
2.2. Preparation of Sausage
2.3. Physicochemical Analysis of Sausage
2.4. Extraction of the Crude Peptide from Sausage
2.5. Determination of Peptide Concentration from Sausage
2.6. Determination of the Antioxidative Capacity of Peptides in Sausage
2.6.1. Diphenyl-2-picrylhydrazyl (DPPH) Free Radical Scavenging Ability (FRSA)
2.6.2. Azino-bis(3-ethylbenzothiazoline-6-sulfonic acid) (ABTS) FRSA
2.6.3. Hydroxyl FRSA
2.6.4. Superoxide Anion () FRSA
2.7. Iron-(II) Chelating Assay
2.8. LC-MS Mass Spectrometry
2.9. Data Analysis
3. Results and Discussion
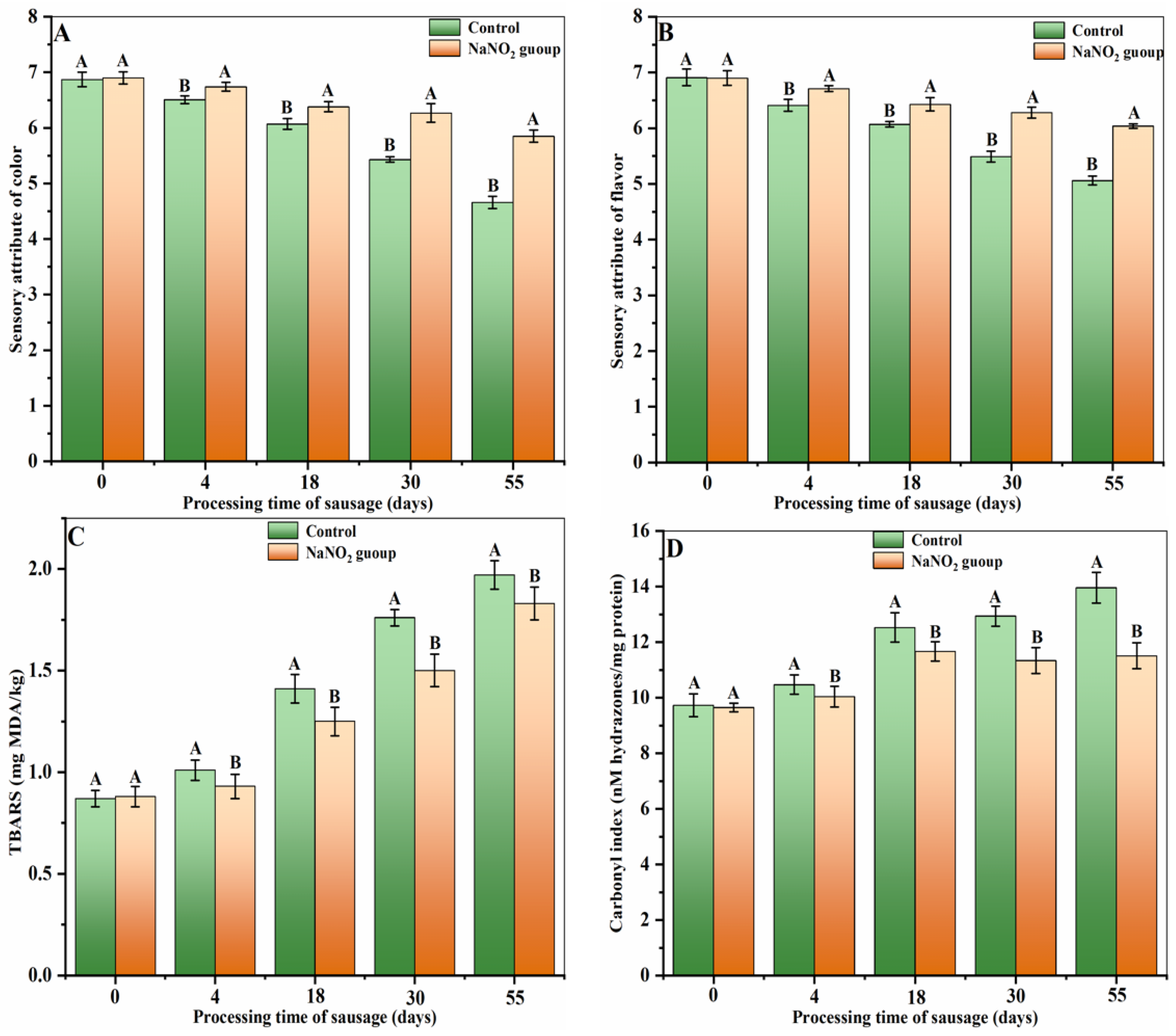
3.1. Effect of Nitrite Addition Physicochemical Properties
3.2. Effect of Nitrite Addition on Peptide Concentration in Sausage Processing
3.3. Effect of Nitrite Addition on Antioxidative Capacity
3.4. Influence of Nitrite Supplementation on Peptide Iron-Chelating Activity during Sausage Processing
3.5. Mass Spectrometric Determination of Peptide Sequences during Sausage Processing
4. Conclusions
Author Contributions
Funding
Data Availability Statement
Conflicts of Interest
References
- Ruusunen, M.; Puolanne, E. Reducing sodium intake from meat products. Meat Sci. 2005, 70, 531–541. [Google Scholar] [CrossRef] [PubMed]
- Hu, Y.; Li, Y.; Li, X.; Zhang, H.; Chen, Q.; Kong, B. Application of lactic acid bacteria for improving the quality of reduced-salt dry fermented sausage: Texture, color, and flavor profiles. LWT-Food Sci. Technol. 2022, 154, 112723. [Google Scholar] [CrossRef]
- De, M.; De, M.; Paelinck, H.; Fraeye, I. Volatile N-nitrosamines in meat products: Potential precursors, influence of processing, and mitigation strategies. Crit. Rev. Food Sci. 2015, 57, 2909–2923. [Google Scholar]
- Xin, K.Q.; Ji, X.Y.; Guo, Z.L.; Han, L.; Yu, Q.L.; Hu, B. Pitaya peel extract and lemon seed essential oil as effective sodium nitrite replacement in cured mutton. LWT-Food Sci. Technol. 2022, 160, 113283. [Google Scholar] [CrossRef]
- Xu, Y.; Zhu, Y. Complete replacement of nitrite with a lactobacillus fermentum on the quality and safety of Chinese fermented sausages. Front. Microbiol. 2021, 12, 704302. [Google Scholar] [CrossRef]
- Zhu, Y.; Wang, P.; Guo, L.; Wang, J.; Han, R.; Sun, J.; Yang, Q. Effects of partial replacement of sodium nitrite with Lactobacillus pentosus inoculation on quality of fermented sausages. J. Food Process Pres. 2019, 43, 13932. [Google Scholar] [CrossRef]
- Sindelar, J.; Milkowski, A. Human safety controversies surrounding nitrate and nitrite in the diet. Nitric. Oxide-Bio CH 2012, 26, 259–266. [Google Scholar] [CrossRef]
- Greene, B.E.; Price, L.G. Oxidation-induced color and flavor changes in meat. J. Agr. Food Chem. 1975, 23, 164–167. [Google Scholar] [CrossRef]
- Brender, J.D.; Olive, J.M.; Felkner, M.; Suarez, L.; Marckwardt, W.; Hendricks, K.A. Dietary nitrites and nitrates, nitrosatable drugs, and neural tube defects. Epidemiology 2004, 15, 330–336. [Google Scholar] [CrossRef] [PubMed]
- Gassara, F.; Kouassi, A.P.; Brar, S.K.; Belkacemi, K. Green alternatives to nitrates and nitrites in meat-based products–a review. Crit. Rev. Food Sci. 2016, 56, 2133–2148. [Google Scholar] [CrossRef] [PubMed]
- Honikel, K.O. The use and control of nitrate and nitrite for the processing of meat products. Meat Sci. 2008, 78, 68–76. [Google Scholar] [CrossRef] [PubMed]
- Kanner, J.; Harel, S.; Shagalovich, J.; Berman, S. Antioxidative effect of nitrite in cured meat products: Nitric oxide-iron complexes of low molecular weight. J. Agr. Food Chem. 1984, 32, 512–515. [Google Scholar] [CrossRef]
- Igene, J.O.; King, J.A.; Pearson, A.M.; Gray, J.I. Influence of heme pigments, nitrite, and nonheme iron on development of warmed-over flavor (WOF) in cooked meat. J. Agr. Food Chem. 1979, 27, 838–842. [Google Scholar] [CrossRef]
- Møller, J.K.; Sosniecki, L.; Skibsted, L.H. Effect of nitrosylmyoglobin and saturated fatty acid anions on metmyoglobin-catalyzed oxidation of aqueous methyl linoleate emulsions. BBA-Gen Subj. 2002, 1570, 129–134. [Google Scholar] [CrossRef] [PubMed]
- Kanner, J. Nitric oxide and metal-catalyzed reactions. Method Enzym. 1996, 269, 218–229. [Google Scholar]
- Toldrá, F.; Flores, M. The role of muscle proteases and lipases in flavor development during the processing of dry-cured ham. Crit. Rev. Food Sci. Nutr. 1998, 38, 331–352. [Google Scholar] [CrossRef]
- Zhou, G.; Zhao, G. Biochemical changes during processing of traditional Jinhua ham. Meat Sci. 2007, 77, 114–120. [Google Scholar] [CrossRef]
- Zhou, C.Y.; Pan, D.D.; Bai, Y.; Li, C.B.; Xu, X.L.; Zhou, G.H. Evaluating endogenous protease of salting exudates during the salting process of Jinhua ham. LWT-Food Sci. Technol. 2019, 101, 76–82. [Google Scholar] [CrossRef]
- Li, C.; Mora, L.; Gallego, M.; Aristoy, M.; ToldrÃ, F. Evaluation of main post-translational modifications occurring in naturally generated peptides during the ripening of Spanish dry-cured ham. Food Chem. 2020, 332, 127388. [Google Scholar] [CrossRef] [PubMed]
- Pugliese, C.; Sirtori, F.; Skrlep, M.; Piasentier, E.; Calamai, L.; Franci, O. The effect of ripening time on the chemical, textural, volatile and sensorial traits of Bicep femoris and Semimembranosus muscles of the Slovenian dry-cured ham Kraski prsut. Meat Sci. 2015, 100, 58–68. [Google Scholar] [CrossRef] [PubMed]
- Zhu, C.Z.; Zhang, W.G.; Kang, Z.L.; Zhou, G.H.; Xu, X.L. Stability of an antioxidant peptide extracted from Jinhua jam. Meat Sci. 2014, 96, 783–789. [Google Scholar] [CrossRef] [PubMed]
- Bersuder, P.; Hole, M.; Smith, G. Antioxidants from heated histidine-glucose model system. I. Investigation of the antioxidant role of histidine and isolation of antioxidants by high performance liquid chromatography. J. Amer. Oil. Chem. Soc. 1998, 75, 181–187. [Google Scholar] [CrossRef]
- Re, R.; Pellegrini, N.; Proteggente, A.; Pannala, A.; Yang, M.; Rice-Evans, C. Antioxidant activity applying an improved ABTS radical cation decolorization assay. Free. Radic. Bio. Med. 1999, 26, 1231–1237. [Google Scholar] [CrossRef] [PubMed]
- Alrahmany, R.; Tsopmo, A. Role of carbohydrases on the release of reducing sugar, total phenolics and on antioxidant properties of oat bran. Food Chem. 2012, 132, 413–418. [Google Scholar] [CrossRef] [PubMed]
- Canabady-Rochelle, L.L.S.; Harscoat-Schiavo, C.; Kessler, V.; Aymes, A.; Fournier, F.; Girardet, J.M. Determination of reducing power and metal chelating ability of antioxidant peptides: Revisited methods. Food Chem. 2015, 183, 129–135. [Google Scholar] [CrossRef] [PubMed]
- Zhu, C.Z.; Tian, W.; Li, M.Y.; Liu, Y.X.; Zhao, G.M. Separation and identification of peptides from dry-cured Jinhua ham. Int. J. Food Prop. 2017, 20, 2980–2989. [Google Scholar] [CrossRef]
- Zhao, G.M.; Zhou, G.H.; Wang, Y.L.; Xu, X.L.; Huan, Y.J.; Wu, J.Q. Time related changes in cathepsin B and L activities during processing of Jinhua ham as a function of pH, salt and temperature. Meat Sci. 2005, 70, 381–388. [Google Scholar] [CrossRef]
- Ma, G.; Chen, H.; Zhang, Q.; Ma, J.; Yu, Q.; Han, L.; Chen, C.; Song, R. Protective characterization of low dose sodium nitrite on yak meat myoglobin in a hydroxy radical oxidation environment: Fourier Transform Infrared spectroscopy and laser Micro-Raman spectroscopy. LWT-Food Sci. Technol. 2019, 116, 108556. [Google Scholar] [CrossRef]
- Liang, L.; Wang, C.; Li, S.; Chu, X.; Sun, K. Nutritional compositions of Indian Moringa oleifera seed and antioxidant activity of its polypeptides. Food Sci. Nut. 2019, 7, 1754–1760. [Google Scholar] [CrossRef]
- Zhao, Q.; Zhao, J.; Ahn, D.; Jin, Y.; Huang, X. Separation and Identification of Highly Efficient Antioxidant Peptides from Eggshell Membrane. Antioxidants 2019, 8, 495. [Google Scholar] [CrossRef]
- Nan, X.; Sun, L.; Song, X.; Wu, M.; Chen, G.; Yao, Y. Antioxidant activity of silk peptide and co-initiation behavior in free radical photopolymerization of acrylamide. Fiber. Polym. 2019, 20, 1555–1563. [Google Scholar] [CrossRef]
- María, J.B.; Manuel, J.S.; Santiago, R.; Alberto, M.; Francisco, P.; María, C. Rapid differentiation of lactic acid bacteria from autochthonous fermentation of Iberian dry-fermented sausages. Meat Sci. 2008, 80, 656–661. [Google Scholar]
- Gallego, M.; Mora, L.; Toldrá, F. New approaches based on comparative proteomics for the assessment of food quality. Curr. Opin. Food Sci. 2018, 22, 22–27. [Google Scholar]
- Xing, L.J.; Hu, Y.Y.; Hu, H.Y.; Ge, Q.F.; Zhou, G.H.; Zhang, W.G. Purification and identification of antioxidative peptides from dry-cured Xuanwei ham. Food Chem. 2016, 194, 951–958. [Google Scholar] [CrossRef] [PubMed]
- Xie, Z.; Wang, X.; Yu, S.; He, M.; Yu, S.; Xiao, H.; Song, Y. Antioxidant and functional properties of cowhide collagen peptides. J. Food Sci. 2021, 86, 1802–1818. [Google Scholar] [CrossRef] [PubMed]
- Wang, B.; Li, Z.R.; Chi, C.F.; Zhang, Q.H.; Luo, H.Y. Preparation and evaluation of antioxidant peptides from ethanol-soluble proteins hydrolysate of Sphyrna lewini muscle. Peptide 2012, 36, 240–250. [Google Scholar] [CrossRef]
- Tong, L.M.; Sasaki, S.; McClements, D.J.; Decker, E.A. Mechanisms of the antioxidant activity of a high molecular weight fraction of whey. J. Agr. Food Chem. 2000, 48, 1473–1478. [Google Scholar] [CrossRef]
- Vanvi, A.; Tsopmo, A. Pepsin digested oat bran proteins: Separation, anti-oxidant activity, and identification of new peptides. J. Chem. 2016, 16, 1–8. [Google Scholar] [CrossRef]
- Choe, E.; Min, D.B. Mechanisms of antioxidants in the oxidation of foods. Crit. Rev. Food Sci. 2009, 8, 345–358. [Google Scholar] [CrossRef]
- Esfandi, R.; Willmore, W.; Tsopmo, A. Peptidomic analysis of hydrolyzed oat bran proteins, and their in vitro antioxidant and metal chelating properties. Food Chem. 2019, 279, 49–57. [Google Scholar] [CrossRef]
- Walters, M.E.; Esfandi, R.; Tsopmo, A. Potential of food hydrolyzed proteins and peptides to chelate iron or calcium and enhance their absorption. Food 2018, 7, 172. [Google Scholar] [CrossRef]
- Carrasco-Castilla, J.; Hernández-Álvarez, A.J.; Jiménez-Martínez, C.; Jacinto-Hernández, C.; Alaiz, M.; Girón-Calle, J.; Dávila-Ortiz, G. Antioxidant and metal chelating activities of peptide fractions from phaseolin and bean protein hydrolysates. Food Chem. 2012, 135, 1789–1795. [Google Scholar] [CrossRef] [PubMed]
- Baakdah, M.M.; Tsopmo, A. Identification of peptides, metal binding and lipid peroxidation activities of HPLC fractions of hydrolyzed oat bran proteins. J. Food Sci. Techno. 2016, 53, 3593–3601. [Google Scholar] [CrossRef] [PubMed]
- Samaranayaka, A.G.P.; Li-Chan, E.C.Y. Food-derived peptidic antioxidants: A review of their production, assessment, and potential applications. J. Fun. Food 2011, 3, 229–254. [Google Scholar] [CrossRef]
- Zhu, C.Z.; Zhang, W.G.; Zhou, G.H.; Xu, X.L. Identification of antioxidant peptides of Jinhua ham generated in the products and through the simulated gastrointestinal digestion system. J. Sc. Food Agr. 2016, 96, 99–108. [Google Scholar] [CrossRef]
- Escudero, E.; Mora, L.; Fraser, P.D.; Aristoy, M.C.; Arihara, K.; Toldrá, F. Purification and identification of antihypertensive peptides in Spanish dry-cured ham. J. Proteom. 2013, 78, 499–507. [Google Scholar] [CrossRef] [PubMed]
- Gallego, M.; Mora, L.; Toldrá, F. Potential cardioprotective peptides generated in Spanish dry-cured ham. J. Food Bioact. 2019, 6, 110–117. [Google Scholar] [CrossRef]
- Hsu, K.C. Purification of antioxidant peptides prepared from enzymatic hydrolysates of tuna dark muscle by-product. Food Chem. 2010, 122, 42–48. [Google Scholar] [CrossRef]
- You, L.; Zhao, M.; Regenstein, J.M.; Ren, J. Purification and identification of antioxidant peptides from loach (Misgurnus anguillicaudatus) protein hydrolysate by consecutive chromatography and electrospray ionization-mass spectrometry. Food Res. Int. 2010, 43, 1167–1173. [Google Scholar] [CrossRef]





| Treatment Group | Control Group | ||
|---|---|---|---|
| Peptide Sequence | Peptide Sequence | ||
| Day 0 | |||
| PGPGPAPGPGPAS | Transcription factor MafF | RACCPGWGG | SCO-spondin |
| AQSVGGGCC | Ras-related protein Rab-21 | GPGSGG | Myozenin-1 (Calsarcin-2) |
| ACPALGTKSC | Reticulon-3 | SRVAGVLGF | N-terminal kinase-like protein |
| GGGGGGGDM | U1 small nuclear ribonucleoprotein 70 kDa | VVGDGAVGKTCLL | Cell division control protein 42 homolog |
| GPAGDGDAGGR | Envelope glycoprotein B | EGPQGPPGPVG | Collagen alpha-1(XI) chain |
| LLLLLLP | Protein shisa-5 | VGAVLPGPLLQ | Glycerate kinase |
| KGIGKMGLGALVLT | Genome polyprotein | PGAAGGAEDGFF | Coatomer subunit alpha |
| AHKILPVLCGLT | N-terminal kinase-like protein | GPGYYNPNGH | O(6)-methylguanine-induced apoptosis 2 |
| SQLSLHLPPR | TLD domain-containing protein 2 | KDTPRLSLLLVIL | Melanoma-associated antigen D4 |
| MADPR | Tubulin-specific chaperone A | GGGGGGGDM | U1 small nuclear ribonucleoprotein 70 kDa |
| AGPEPEPPL | Palmitoyltransferase ZDHHC5 | MCGGGLVCC | Claudin-5 |
| LPGGGHGDL | Actin-related protein 10 | AHKILPVLCGLT | N-terminal kinase-like protein |
| Day 4 | |||
| SGAGGGGGGGGGGGGGGGG | Calpain small subunit 1 | PGAAGGAEDGFF | Coatomer subunit alpha |
| PGPMGPPGLAGP | Collagen alpha-1(I) chain | ALAPGHLGGLVL | Homeobox protein PKNOX1 |
| PGGGGGGAGGRLA | Neurexin-1-beta | KDTPRLSLLLVIL | Melanoma-associated antigen D4 |
| KDTPRLSLLLVIL | Melanoma-associated antigen D4 | GGGGGGGDM | U1 small nuclear ribonucleoprotein 70 kDa |
| GRFKRFRKKFKKLFKKLSP | Cathelicidin-6 | LVPPPTLLVP | Sine oculis-binding protein homolog |
| TKYRVP | Titin | VGDGAVGKTCLL | Cell division control protein 42 homolog |
| FLKMN | Histone deacetylase 8 | TSNRYHSYPWG | Serine/threonine protein kinase |
| SAGNPN | Integrin α-3 | PTGAPPGGGAL | D site-binding protein |
| EEPSSCSAMAMGR | DNA-(apurinic or apyrimidinic site) lyase 2 | VGAVLPGPLLQ | Glycerate kinase |
| PPHGEAKAGSSTLPP | Brefeldin A-inhibited guanine nucleotide-exchange protein 1 | KDTPRLSLLLVIL | Melanoma-associated antigen D4 |
| VNGFGR | Glyceraldehyde-3-phosphate dehydrogenase | ||
| EEPSSCSAMAMGR | DNA-(apurinic or apyrimidinic site) lyase 2 | ||
| Day 18 | |||
| GKVEADVAGH | Myoglobin | DVIQTGVDNPGHPF | Creatine kinase M-type |
| PFGNTHNKY | Creatine kinase m-chain | LGVTKDAGDEDL | DnaJ homolog subfamily B member 14 |
| DVGDWRKNV | Troponin-I | GTDSALHRIMEVIDAITTT | 6-phosphofructo-kinase |
| VHIITHGEEK | Myosin light chain 2 | ASHHDINDASRGTLSS | Poly(A) RNA polymerase GLD2 |
| HAKHPSDFGA | Myoglobin | DSVNAQADRAF | Testis-specific Y-en-coded-like protein 1 |
| VGGRWK | Troponin-T | PQGALSLEADGHPAAR | Uncharacterized protein KIAA1462 homolog |
| FAGDDAPRAVFPS | Actin | AGPNSPTGGGGGGGSGGTR | Zinc finger SWIM domain-containing protein KIAA0913 |
| EAAPYLRKSEKERIEAQN | Myosin-1 | KPVSPLLL | Creatine kinase M-type |
| GLAGA | Collagen VII | MCGGGLVCC | Claudin-5 |
| LPGGGHGDL | Actin-related protein 10 | AHKILPVLCGLT | N-terminal kinase-like protein |
| LPGGGT | LIM domain-containing protein 1 | LPGGGHGDL | Actin-related protein 10 |
| SAGNPN | Integrin α-3 | LPGGGT | LIM domain-containing protein 1 |
| TKYRVP | Titin | SAGNPN | Integrin α-3 |
| Day 30 | |||
| IPGAPGAIPGIG | Elastin | GVKPAKPGVGGLVGPG | Elastin |
| APGTAGLP | Collagen alpha-1(I) chain | KGIGKMGLGALVLT | Genome polyprotein |
| PEGGCCN | ETS translocation variant 1 | RACCPGWGG | SCO-spondin |
| LVDGGGPCGGRV | Antigen WC1.1 | AEEEYPDL | Creatine kinase |
| AAPGGKSLALLQCAYP | Putative methyltransferase NSUN3 | SNAAC | Myosin heavy chain |
| GKFNV | Reticulon-3 | TKYRVP | Titin |
| GLAGA | Collagen VII | MDPKYR | Titin |
| LPGGGHGDL | Actin-related protein 10 | HCNKKYRSEM | Dynein heavy chain |
| LPGGGT | LIM domain-containing protein 1 | GGGGGGGGGGGSSLRMSSN | Calcium-activated potassium channel subunit alpha-1 |
| SAGNPN | Integrin α-3 | SEPGCP | Mitogen-activated protein kinase 7 |
| AEEEYPDL | Creatine kinase | ||
| VIGGLLLVVALGPG | Surfeit locus protein 4 | ||
| IIFLLVIGTLL | Transmembrane protein 245 | ||
| Day 55 | |||
| DLEE | Protein CNPPD1 | LPGGGHGDL | Actin-related protein 10 |
| FLKMN | Histone deacetylase 8 | LPGGGT | LIM domain-containing protein 1 |
| GKFNV | Reticulon-3 | SAGNPN | Integrin α-3 |
| GLAGA | Collagen VII | AEEEYPDL | Creatine kinase |
| SNAAC | Myosin heavy chain | ||
| LPGGGT | LIM domain-containing protein 1 | TKYRVP | Titin |
| SAGNPN | Integrin α-3 | PGGGGGGAGGRLA | Neurexin-1-beta |
| AEEEYPDL | Creatine kinase | KDTPRLSLLLVIL | Melanoma-associated antigen D4 |
| SNAAC | Myosin heavy chain | ENPFAC | Zinc finger protein OZF |
| HCNKKYRSEM | Dynein heavy chain | EEPSSCSAMAMGR | DNA-(apurinic or apyrimidinic site) lyase 2 |
| TSNRYHSYPWG | Serine/threonine-protein kinase | KLLSLGKHGRL | Telomerase reverse transcriptase |
| DPPFQIT | Prolyl endopeptidase FAP | VVGDGAVGKTCLL | Cell division control protein 42 homolog |
| APPPPAEVP | Troponin T, fast skeletal muscle | PTGAPPGGGAL | D site-binding protein |
| QPPLLL | Cyclin-dependent kinase 13 | PGLIGARGPPGP | Collagen alpha-1(III) chain |
| KDTPRLSLLLVIL | Melanoma-associated antigen D4 | ||
Disclaimer/Publisher’s Note: The statements, opinions and data contained in all publications are solely those of the individual author(s) and contributor(s) and not of MDPI and/or the editor(s). MDPI and/or the editor(s) disclaim responsibility for any injury to people or property resulting from any ideas, methods, instructions or products referred to in the content. |
© 2023 by the authors. Licensee MDPI, Basel, Switzerland. This article is an open access article distributed under the terms and conditions of the Creative Commons Attribution (CC BY) license (https://creativecommons.org/licenses/by/4.0/).
Share and Cite
Zang, R.; Yu, Q.; Guo, Z. Impact of Nitrite Supplementation on Bioactive Peptides during Sausage Processing. Foods 2023, 12, 407. https://doi.org/10.3390/foods12020407
Zang R, Yu Q, Guo Z. Impact of Nitrite Supplementation on Bioactive Peptides during Sausage Processing. Foods. 2023; 12(2):407. https://doi.org/10.3390/foods12020407
Chicago/Turabian StyleZang, Rongyu, Qunli Yu, and Zonglin Guo. 2023. "Impact of Nitrite Supplementation on Bioactive Peptides during Sausage Processing" Foods 12, no. 2: 407. https://doi.org/10.3390/foods12020407
APA StyleZang, R., Yu, Q., & Guo, Z. (2023). Impact of Nitrite Supplementation on Bioactive Peptides during Sausage Processing. Foods, 12(2), 407. https://doi.org/10.3390/foods12020407
