Predicting the Glycemic Index of Biscuits Using Static In Vitro Digestion Protocols
Abstract
1. Introduction
2. Materials and Methods
2.1. Materials
2.2. Sample Preparation
2.3. Chemical Compositions
2.4. Content of Monosaccharides and Oligosaccharides in Biscuits
2.5. In Vitro Digestion
2.5.1. Digestion Using the INFOGEST Protocol
2.5.2. Digestion Using Single Enzyme
2.6. Logarithm-of-Slope (LOS) Plot Analysis
2.7. Fitting to the First-Order Kinetics Models
2.8. Data Analysis
3. Results and Discussion
3.1. Chemical Compositions of Biscuits
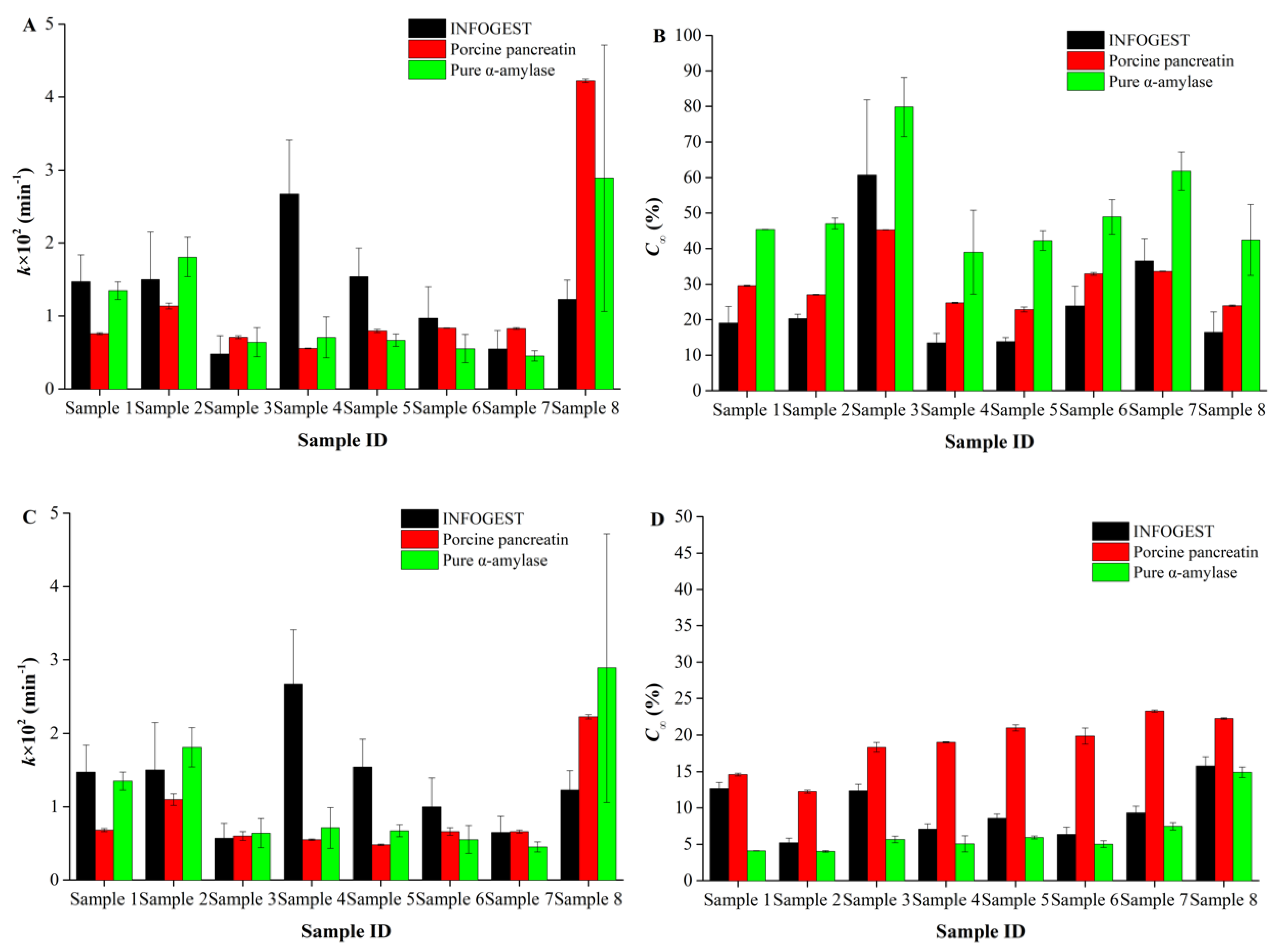
3.2. In Vitro Digestion Results Using Different Models
3.3. LOS Plot Analysis of Starch In Vitro Digestograms
3.4. Pearson’s Correlations between Experimental Data and Clinical GI Values
- (1)
- When digested using only porcine pancreatin:
- (2)
- When digested using pure α-amylase:
3.5. Digestion Results of the Other Six Commercial Biscuits
4. Conclusions
Supplementary Materials
Author Contributions
Funding
Data Availability Statement
Acknowledgments
Conflicts of Interest
References
- Mathers, J.; Wolever, T. Digestion and metabolism of carbohydrates. In Introduction to Human Nutrition; John Wiley & Sons: Hoboken, NJ, USA, 2002; pp. 236–243. [Google Scholar]
- Priyadarshini, S.R.; Moses, J.A.; Anandharamakrishnan, C. Prediction of in-vitro glycemic responses of biscuits in an engineered small intestine system. Food Res. Int. 2021, 147, 110459. [Google Scholar] [CrossRef]
- Reyniers, S.; De Brier, N.; Ooms, N.; Matthijs, S.; Piovesan, A.; Verboven, P.; Brijs, K.; Gilbert, R.G.; Delcour, J.A. Amylose molecular fine structure dictates water–oil dynamics during deep-frying and the caloric density of potato crisps. Nat. Food 2020, 1, 736–745. [Google Scholar] [CrossRef]
- Okpala, L.C.; Okoli, E.C. Optimization of composite flour biscuits by mixture response surface methodology. Food Sci. Technol. Int. 2013, 19, 343–350. [Google Scholar] [CrossRef]
- Sudha, M.L.; Vetrimani, R.; Leelavathi, K. Influence of fibre from different cereals on the rheological characteristics of wheat flour dough and on biscuit quality. Food Chem. 2007, 100, 1365–1370. [Google Scholar] [CrossRef]
- Goñi, I.; Garcia-Alonso, A.; Saura-Calixto, F. A starch hydrolysis procedure to estimate glycemic index. Nutr. Res. 1997, 17, 427–437. [Google Scholar] [CrossRef]
- Reynolds, A.; Mann, J.; Cummings, J.; Winter, N.; Mete, E.; Te Morenga, L. Carbohydrate quality and human health: A series of systematic reviews and meta-analyses. Lancet 2019, 393, 434–445. [Google Scholar] [CrossRef] [PubMed]
- Saeedi, P.; Petersohn, I.; Salpea, P.; Malanda, B.; Karuranga, S.; Unwin, N.; Colagiuri, S.; Guariguata, L.; Motala, A.A.; Ogurtsova, K.; et al. Global and regional diabetes prevalence estimates for 2019 and projections for 2030 and 2045: Results from the International Diabetes Federation Diabetes Atlas, 9th edition. Diabetes Res. Clin. Pract. 2019, 157, 107843. [Google Scholar] [CrossRef] [PubMed]
- Seah, J.Y.H.; Koh, W.-P.; Yuan, J.-M.; van Dam, R.M. Rice intake and risk of type 2 diabetes: The Singapore Chinese Health Study. Eur. J. Nutr. 2019, 58, 3349–3360. [Google Scholar] [CrossRef] [PubMed]
- Zafar, M.I.; Mills, K.E.; Zheng, J.; Regmi, A.; Hu, S.Q.; Gou, L.; Chen, L.-L. Low-glycemic index diets as an intervention for diabetes: A systematic review and meta-analysis. Am. J. Clin. Nutr. 2019, 110, 891–902. [Google Scholar] [CrossRef]
- Clar, C.; Al-Khudairy, L.; Loveman, E.; Kelly, S.A.; Hartley, L.; Flowers, N.; Germanò, R.; Frost, G.; Rees, K. Low glycaemic index diets for the prevention of cardiovascular disease. Cochrane Database Syst. Rev. 2017, 2021, CD004467. [Google Scholar] [CrossRef]
- Livesey, G.; Taylor, R.; Livesey, H.F.; Buyken, A.E.; Jenkins, D.J.A.; Augustin, L.S.A.; Sievenpiper, J.L.; Barclay, A.W.; Liu, S.; Wolever, T.M.S.; et al. Dietary Glycemic Index and Load and the Risk of Type 2 Diabetes: A Systematic Review and Updated Meta-Analyses of Prospective Cohort Studies. Nutrients 2019, 11, 1280. [Google Scholar] [CrossRef]
- Papakonstantinou, E.; Orfanakos, N.; Farajian, P.; Kapetanakou, A.E.; Makariti, I.P.; Grivokostopoulos, N.; Ha, M.-A.; Skandamis, P.N. Short-term effects of a low glycemic index carob-containing snack on energy intake, satiety, and glycemic response in normal-weight, healthy adults: Results from two randomized trials. Nutrition 2017, 42, 12–19. [Google Scholar] [CrossRef]
- Turati, F.; Galeone, C.; Augustin, L.S.A.; La Vecchia, C. Glycemic Index, Glycemic Load and Cancer Risk: An Updated Meta-Analysis. Nutrients 2019, 11, 2342. [Google Scholar] [CrossRef]
- Zhu, H.; Mo, Q.; Shen, H.; Wang, S.; Liu, B.; Xu, X. Carbohydrates, Glycemic Index, and Glycemic Load in Relation to Bladder Cancer Risk. Front. Oncol. 2020, 10, 530382. [Google Scholar] [CrossRef]
- Augustin, L.S.; Kendall, C.W.; Jenkins, D.J.; Willett, W.C.; Astrup, A.; Barclay, A.W.; Björck, I.; Brand-Miller, J.C.; Brighenti, F.; Buyken, A.E.; et al. Glycemic index, glycemic load and glycemic response: An International Scientific Consensus Summit from the International Carbohydrate Quality Consortium (ICQC). Nutr. Metab. Cardiovasc. Dis. 2015, 25, 795–815. [Google Scholar] [CrossRef]
- Jenkins, D.J.; Wolever, T.M.; Taylor, R.H.; Barker, H.; Fielden, H.; Baldwin, J.M.; Bowling, A.C.; Newman, H.C.; Jenkins, A.L.; Goff, D.V. Glycemic index of foods: A physiological basis for carbohydrate exchange. Am. J. Clin. Nutr. 1981, 34, 362–366. [Google Scholar] [CrossRef]
- ISO 26642:2010; Food Products—Determination of the Glycaemic Index (GI) and Recommendation for Food Classification. ISO: Geneva, Switzerland, 2010.
- Brodkorb, A.; Egger, L.; Alminger, M.; Alvito, P.; Assunção, R.; Ballance, S.; Bohn, T.; Bourlieu-Lacanal, C.; Boutrou, R.; Carrière, F.; et al. INFOGEST static in vitro simulation of gastrointestinal food digestion. Nat. Protoc. 2019, 14, 991–1014. [Google Scholar] [CrossRef] [PubMed]
- Edwards, C.H.; Cochetel, N.; Setterfield, L.; Perez-Moral, N.; Warren, F.J. A single-enzyme system for starch digestibility screening and its relevance to understanding and predicting the glycaemic index of food products. Food Funct. 2019, 10, 4751–4760. [Google Scholar] [CrossRef]
- Garsetti, M.; Vinoy, S.; Lang, V.; Holt, S.; Loyer, S.; Brand-Miller, J.C. The Glycemic and Insulinemic Index of Plain Sweet Biscuits: Relationships to in Vitro Starch Digestibility. J. Am. Coll. Nutr. 2005, 24, 441–447. [Google Scholar] [CrossRef] [PubMed]
- Li, C.; Yu, W.; Wu, P.; Chen, X.D. Current in vitro digestion systems for understanding food digestion in human upper gastrointestinal tract. Trends Food Sci. Technol. 2020, 96, 114–126. [Google Scholar] [CrossRef]
- Zou, W.; Butardo, V.M.; Toutounji, M.; Luo, J.; Farahnaky, A.; Blanchard, C. Harnessing particle disintegration of cooked rice grains for predicting glycaemic index. Carbohydr. Polym. 2020, 248, 116789. [Google Scholar] [CrossRef]
- Atkinson, F.S.; Brand-Miller, J.C.; Foster-Powell, K.; Buyken, A.E.; Goletzke, J. International tables of glycemic index and glycemic load values 2021: A systematic review. Am. J. Clin. Nutr. 2021, 114, 1625–1632. [Google Scholar] [CrossRef]
- Dodd, H.; Williams, S.; Brown, R.; Venn, B. Calculating meal glycemic index by using measured and published food values compared with directly measured meal glycemic index. Am. J. Clin. Nutr. 2011, 94, 992–996. [Google Scholar] [CrossRef] [PubMed]
- Galant, A.L.; Kaufman, R.C.; Wilson, J.D. Glucose: Detection and analysis. Food Chem. 2015, 188, 149–160. [Google Scholar] [CrossRef] [PubMed]
- Robinson, J.E.; Singh, R.; Kays, S.E. Evaluation of an automated hydrolysis and extraction method for quantification of total fat, lipid classes and trans fat in cereal products. Food Chem. 2008, 107, 1144–1150. [Google Scholar] [CrossRef]
- Sáez-Plaza, P.; Navas, M.J.; Wybraniec, S.; Michałowski, T.; Asuero, A.G. An Overview of the Kjeldahl Method of Nitrogen Determination. Part II. Sample Preparation, Working Scale, Instrumental Finish, and Quality Control. Crit. Rev. Anal. Chem. 2013, 43, 224–272. [Google Scholar] [CrossRef]
- Hu, S.; Deng, H.; Liu, R.; Yu, W. Molecular brewing: The molecular structural effects of starch adjuncts on barley malt brewing performances. Int. J. Biol. Macromol. 2021, 193, 661–671. [Google Scholar] [CrossRef] [PubMed]
- Moretti, R.; Thorson, J.S. A comparison of sugar indicators enables a universal high-throughput sugar-1-phosphate nucleotidyltransferase assay. Anal. Biochem. 2008, 377, 251–258. [Google Scholar] [CrossRef]
- Li, M.; Daygon, V.D.; Solah, V.; Dhital, S. Starch granule size: Does it matter? Crit. Rev. Food Sci. Nutr. 2021, 1–21. [Google Scholar] [CrossRef]
- Mahasukhonthachat, K.; Sopade, P.A.; Gidley, M.J. Kinetics of starch digestion in sorghum as affected by particle size. J. Food Eng. 2010, 96, 18–28. [Google Scholar] [CrossRef]
- Ranawana, V.; Monro, J.A.; Mishra, S.; Henry, C.J.K. Degree of particle size breakdown during mastication may be a possible cause of interindividual glycemic variability. Nutr. Res. 2010, 30, 246–254. [Google Scholar] [CrossRef]
- Zhou, X.; Yu, W.; Li, C. Protein content correlates with the in vitro starch digestibility of raw barley flour. Food Biosci. 2021, 43, 101292. [Google Scholar] [CrossRef]
- Li, C.; Gong, B.; Huang, T.; Yu, W.-W. In vitro digestion rate of fully gelatinized rice starches is driven by molecular size and amylopectin medium-long chains. Carbohydr. Polym. 2021, 254, 117275. [Google Scholar] [CrossRef]
- Yu, W.; Zou, W.; Dhital, S.; Wu, P.; Gilbert, R.G. The adsorption of α-amylase on barley proteins affects the in vitro digestion of starch in barley flour. Food Chem. 2018, 241, 493–501. [Google Scholar] [CrossRef] [PubMed]
- Butterworth, P.J.; Warren, F.J.; Grassby, T.; Patel, H.; Ellis, P.R. Analysis of starch amylolysis using plots for first-order kinetics. Carbohydr. Polym. 2012, 87, 2189–2197. [Google Scholar] [CrossRef]
- Edwards, C.H.; Warren, F.J.; Milligan, P.J.; Butterworth, P.J.; Ellis, P.R. A novel method for classifying starch digestion by modelling the amylolysis of plant foods using first-order enzyme kinetic principles. Food Funct. 2014, 5, 2751–2758. [Google Scholar] [CrossRef]
- Yu, W.; Zhou, X.; Li, C. Application of first-order kinetics modeling to reveal the nature of starch digestion characteristics. Food Funct. 2021, 12, 6652–6663. [Google Scholar] [CrossRef] [PubMed]
- Zou, W.; Sissons, M.; Gidley, M.J.; Gilbert, R.G.; Warren, F.J. Combined techniques for characterising pasta structure reveals how the gluten network slows enzymic digestion rate. Food Chem. 2015, 188, 559–568. [Google Scholar] [CrossRef] [PubMed]
- Li, C.; Hu, Y. Combination of parallel and sequential digestion kinetics reveals the nature of digestive characteristics of short-term retrograded rice starches. Food Hydrocoll. 2020, 108, 106071. [Google Scholar] [CrossRef]
- Delamare, G.Y.F.; Butterworth, P.J.; Ellis, P.R.; Hill, S.; Warren, F.J.; Edwards, C.H. Incorporation of a novel leguminous ingredient into savoury biscuits reduces their starch digestibility: Implications for lowering the Glycaemic Index of cereal products. Food Chem. X 2020, 5, 100078. [Google Scholar] [CrossRef]
- Ng, S.H.; Robert, S.D.; Ahmad, W.A.N.W.; Ishak, W.R.W. Incorporation of dietary fibre-rich oyster mushroom (Pleurotus sajor-caju) powder improves postprandial glycaemic response by interfering with starch granule structure and starch digestibility of biscuit. Food Chem. 2017, 227, 358–368. [Google Scholar] [CrossRef] [PubMed]
- Greenwood, D.C.; Threapleton, D.E.; Evans, C.E.L.; Cleghorn, C.L.; Nykjaer, C.; Woodhead, C.; Burley, V.J. Glycemic Index, Glycemic Load, Carbohydrates, and Type 2 Diabetes: Systematic review and dose-response meta-analysis of prospective studies. Diabetes Care 2013, 36, 4166–4171. [Google Scholar] [CrossRef] [PubMed]
- Zhou, X.; Wang, C.; Yue, S.; Zheng, Y.; Li, C.; Yu, W. Mutual interactions between α-amylase and amyloglucosidase in the digestion of starch with distinct chain-length distributions at a fully gelatinized state. Food Funct. 2022, 13, 3453–3464. [Google Scholar] [CrossRef] [PubMed]
- Lu, X.; Ma, R.; Zhan, J.; Wang, F.; Tian, Y. The role of protein and its hydrolysates in regulating the digestive properties of starch: A review. Trends Food Sci. Technol. 2022, 125, 54–65. [Google Scholar] [CrossRef]
- Zou, W.; Schulz, B.L.; Tan, X.; Sissons, M.; Warren, F.J.; Gidley, M.J.; Gilbert, R.G. The role of thermostable proteinaceous α-amylase inhibitors in slowing starch digestion in pasta. Food Hydrocoll. 2019, 90, 241–247. [Google Scholar] [CrossRef]
- Zou, W.; Sissons, M.; Warren, F.J.; Gidley, M.J.; Gilbert, R.G. Compact structure and proteins of pasta retard in vitro digestive evolution of branched starch molecular structure. Carbohydr. Polym. 2016, 152, 441–449. [Google Scholar] [CrossRef]






| g/L | M | SSF mL | SGF mL | SIF mL | |
|---|---|---|---|---|---|
| KCL | 37.3 | 0.5 | 30.2 | 13.8 | 13.6 |
| KH2PO4 | 68 | 0.5 | 7.4 | 1.8 | 1.6 |
| NaHCO3 | 84 | 1 | 13.6 | 25.0 | 85 |
| NaCL | 117 | 2 | 23.6 | 19.2 | |
| MgCL2 (H2O)6 | 30.5 | 0.15 | 1.0 | 0.8 | 2.2 |
| (NH4)2CO3 | 48 | 0.5 | 0.12 | 1.0 | - |
| HCL | 6 | 0.18 | 2.6 | 1.4 | |
| CaCL2 (H2O)2 | 44.1 | 0.3 |
| Procedures | Details |
|---|---|
| Oral |
|
| Gastric |
|
| Intestinal |
|
| Sample ID | GI Values | GL Values | Moisture Content 1 | Protein Content 2 | Fat Content 2 | Total Carbohydrates | Total Starch (%, db) 1 | Free Sugar (%) |
|---|---|---|---|---|---|---|---|---|
| 1 | 9 | 1.27 | 4.48 ± 1.09 d | 9.81 ± 0.41 c | 42.85 ± 1.74 ab | 14.15 ± 0.35 c | 7.33 ± 0.67 c | 21.57 ± 0.04 a |
| 2 | 9 | 2.00 | 4.59 ± 0.50 cd | 10.91 ± 0.57 c | 43.24 ± 0.98 a | 22.24 ± 1.59 a | 8.10 ± 0.31 c | 21.27 ± 0.03 b |
| 3 | 11 | 2.44 | 5.42 ± 0.05 bc | 15.29 ± 0.66 ab | 39.56 ± 1.09 abc | 22.14 ± 1.07 a | 6.45 ± 1.38 d | 15.81 ± 0.02 f |
| 4 | 13 | 2.37 | 5.43 ± 0.29 bc | 16.09 ± 0.56 ab | 35.83 ± 1.02 c | 18.21 ± 0.67 b | 11.91 ± 0.67 a | 17.08 ± 0.02 c |
| 5 | 13 | 2.35 | 6.62 ± 0.14 a | 14.00 ± 0.74 b | 36.00 ± 1.17 c | 18.10 ± 0.98 b | 11.65 ± 0.13 a | 16.17 ± 0.04 e |
| 6 | 13 | 2.34 | 6.69 ± 0.37 a | 16.00 ± 0.91 ab | 39.00 ± 0.73 bc | 18.00 ± 0.92 b | 8.93 ± 0.34 bc | 16.24 ± 0.03 e |
| 7 | 16 | 2.98 | 5.23 ± 0.16 bcd | 16.78 ± 1.02 a | 39.17 ± 0.95 bc | 18.65 ± 0.89 b | 9.57 ± 1.13 b | 16.80 ± 0.01 d |
| 8 | 30 | 4.76 | 5.80 ± 0.19 b | 13.59 ± 0.62 b | 39.65 ± 1.08 abc | 15.86 ± 0.51 bc | 9.95 ± 0.25 b | 15.84 ± 0.02 f |
| Digestion Models | Kinetics Parameters | Correlations | ||
|---|---|---|---|---|
| GI | GL | |||
| Starch | INFOGEST | −0.626 | −0.634 | |
| −0.554 | −0.563 | |||
| −0.433 | −0.443 | |||
| −0.104 | −0.1 | |||
| −0.191 | −0.199 | |||
| Porcine pancreatin | 0.753 * | 0.751 * | ||
| 0.673 | 0.671 | |||
| 0.496 | 0.492 | |||
| 0.915 ** | 0.916 ** | |||
| −0.314 | −0.33 | |||
| α-amylase | 0.279 | 0.275 | ||
| 0.224 | 0.22 | |||
| 0.136 | 0.13 | |||
| 0.627 | 0.626 | |||
| −0.203 | −0.21 | |||
| Reducing sugar | INFOGEST | 0.574 | 0.535 | |
| 0.57 | 0.53 | |||
| 0.578 | 0.536 | |||
| −0.113 | −0.11 | |||
| 0.601 | 0.555 | |||
| Porcine pancreatin | 0.974 ** | 0.973 ** | ||
| 0.978 ** | 0.976 ** | |||
| 0.979 ** | 0.976 ** | |||
| 0.832 * | 0.833 * | |||
| 0.653 | 0.65 | |||
| α-amylase | 0.955 ** | 0.951 ** | ||
| 0.956 ** | 0.951 ** | |||
| 0.957 ** | 0.953 ** | |||
| 0.627 | 0.626 | |||
| 0.987 ** | 0.982 ** | |||
| Sample ID | GI Values | Digestion Model | Equation | eGI | Error Rate | Digestion Model | Equation | eGI | Error Rate |
|---|---|---|---|---|---|---|---|---|---|
| 1 | 13 | Pancreatin | GI = 0.009 + 1.834 = 0.952 p = 0.000 | 9.49 ± 5.55 | 27.02% | α-amylase | GI = 0.009 + 6.101 = 0.902 p = 0.001 | 10.72 ± 6.30 | 17.52% |
| 2 | 13 | 12.63 ± 5.39 | 2.87% | 13.18 ± 6.19 | 1.37% | ||||
| 3 | 9 | 8.78 ± 5.61 | 2.47% | 11.22 ± 6.27 | 24.72% | ||||
| 4 | 11 | 12.08 ± 5.41 | 9.85% | 12.36 ± 6.21 | 12.35% | ||||
| 5 | 16 | 15.67 ± 5.38 | 2.05% | 13.19 ± 6.19 | 17.55% | ||||
| 6 | 13 | 13.82 ± 5.37 | 6.28% | 11.23 ± 6.27 | 13.61% | ||||
| 7 | 30 | 29.44 ± 6.98 | 1.85% | 30.05 ± 8.20 | 0.16% | ||||
| 8 | 9 | 12.30 ± 5.40 | 36.67% | 12.32 ± 6.22 | 36.87% | ||||
| 9 | 52 | 39.96 ± 9.26 | 23.15% | 28.74 ± 7.92 | 44.74% | ||||
| 10 | 53 | 38.43 ± 8.90 | 27.48% | 31.75 ± 8.60 | 40.09% | ||||
| 11 | 44 | 39.66 ± 9.19 | 9.87% | 26.38 ± 7.44 | 40.05% | ||||
| 12 | 30 | 49.11 ± 11.55 | 63.70% | 41.20 ± 11.09 | 37.33% | ||||
| 13 | 28 | 20.81 ± 5.70 | 25.68% | 20.54 ± 6.54 | 26.65% | ||||
| 14 | 19 | 13.87 ± 5.37 | 27.01% | 19.07 ± 6.39 | 0.37% |
Disclaimer/Publisher’s Note: The statements, opinions and data contained in all publications are solely those of the individual author(s) and contributor(s) and not of MDPI and/or the editor(s). MDPI and/or the editor(s) disclaim responsibility for any injury to people or property resulting from any ideas, methods, instructions or products referred to in the content. |
© 2023 by the authors. Licensee MDPI, Basel, Switzerland. This article is an open access article distributed under the terms and conditions of the Creative Commons Attribution (CC BY) license (https://creativecommons.org/licenses/by/4.0/).
Share and Cite
Peng, X.; Liu, H.; Li, X.; Wang, H.; Zhang, K.; Li, S.; Bao, X.; Zou, W.; Yu, W. Predicting the Glycemic Index of Biscuits Using Static In Vitro Digestion Protocols. Foods 2023, 12, 404. https://doi.org/10.3390/foods12020404
Peng X, Liu H, Li X, Wang H, Zhang K, Li S, Bao X, Zou W, Yu W. Predicting the Glycemic Index of Biscuits Using Static In Vitro Digestion Protocols. Foods. 2023; 12(2):404. https://doi.org/10.3390/foods12020404
Chicago/Turabian StylePeng, Xingguang, Hongsheng Liu, Xuying Li, Huaibin Wang, Kejia Zhang, Shuangqi Li, Xianyang Bao, Wei Zou, and Wenwen Yu. 2023. "Predicting the Glycemic Index of Biscuits Using Static In Vitro Digestion Protocols" Foods 12, no. 2: 404. https://doi.org/10.3390/foods12020404
APA StylePeng, X., Liu, H., Li, X., Wang, H., Zhang, K., Li, S., Bao, X., Zou, W., & Yu, W. (2023). Predicting the Glycemic Index of Biscuits Using Static In Vitro Digestion Protocols. Foods, 12(2), 404. https://doi.org/10.3390/foods12020404

