Combined Effect of High Hydrostatic Pressure and Proteolytic Fraction P1G10 from Vasconcellea cundinamarcensis Latex against Botrytis cinerea in Grape Juice
Abstract
:1. Introduction
2. Materials and Methods
2.1. Samples
2.2. High Hydrostatic Pressure (HHP) and Combined HHP + P1G10 Treatments
2.3. Microbiological Analysis
2.4. Proximate Composition and Physicochemical Analyses
2.5. Total Flavonoid Content
2.6. Phenolic Compounds Extraction and Determination
2.7. Antioxidant Potential
2.8. Sensory Evaluation
2.9. Statistical Analysis
3. Results
3.1. Inactivation of Conidia of B. cinerea by HHP and HHP-P1G10 Treatments
3.2. Determination of Physicochemical Parameters
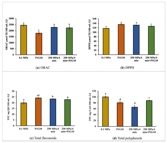
3.3. Antioxidant Potential and Phenolic Profile
3.4. Sensory Evaluation of Grape Juice Treated by HHP and Combined HHP + P1G10
4. Discussion
5. Conclusions
Supplementary Materials
Author Contributions
Funding
Data Availability Statement
Acknowledgments
Conflicts of Interest
References
- Zhu, H.; Xu, Y.; Qi, G.; Wang, S.; Wang, H. Modeling the Combined Effect of High Hydrostatic Pressure and Mild Heat on the Sub-Lethal Injury of Listeria Monocytogenes by Box–Behnken Design. J. Food Process Eng. 2020, 43, e13480. [Google Scholar] [CrossRef]
- Shahbaz, H.M.; Kim, J.U.; Kim, S.-H.; Park, J. Advances in Nonthermal Processing Technologies for Enhanced Microbiological Safety and Quality of Fresh Fruit and Juice Products. In Food Processing for Increased Quality and Consumption; Elsevier: Amsterdam, The Netherlands, 2018; pp. 179–217. ISBN 9780128114476. [Google Scholar]
- Huang, H.-W.; Hsu, C.-P.; Wang, C.-Y. Healthy Expectations of High Hydrostatic Pressure Treatment in Food Processing Industry. J. Food Drug Anal. 2020, 28, 1–13. [Google Scholar] [CrossRef] [PubMed]
- Janowicz, M.; Lenart, A. The Impact of High Pressure and Drying Processing on Internal Structure and Quality of Fruit. Eur. Food Res. Technol. 2018, 244, 1329–1340. [Google Scholar] [CrossRef]
- Augusto, P.E.D.; Tribst, A.A.L.; Cristianini, M. High Hydrostatic Pressure and High-Pressure Homogenization Processing of Fruit Juices. In Fruit Juices; Elsevier: Amsterdam, The Netherlands, 2018; pp. 393–421. ISBN 9780128024911. [Google Scholar]
- Silva, F.V.M. Evelyn Resistant Moulds as Pasteurization Target for Cold Distributed High Pressure and Heat Assisted High Pressure Processed Fruit Products. J. Food Eng. 2020, 282, 109998. [Google Scholar] [CrossRef]
- Abid, M.; Jabbar, S.; Hu, B.; Hashim, M.M.; Wu, T.; Wu, Z.; Khan, M.A.; Zeng, X. Synergistic Impact of Sonication and High Hydrostatic Pressure on Microbial and Enzymatic Inactivation of Apple Juice. LWT-Food Sci. Technol. 2014, 59, 70–76. [Google Scholar] [CrossRef]
- Alpas, H.; Alma, L.; Bozoglu, F. Inactivation of Alicyclobacillus Acidoterrestris Vegetative Cells in Model System, Apple, Orange and Tomato Juices by High Hydrostatic Pressure. World J. Microbiol. Biotechnol. 2003, 19, 619–623. [Google Scholar] [CrossRef]
- Lavinas, F.C.; Miguel, M.A.L.; Lopes, M.L.M.; Valente Mesquita, V.L. Effect of High Hydrostatic Pressure on Cashew Apple (Anacardium occidentale L.) Juice Preservation. J. Food Sci. 2008, 73, M273–M277. [Google Scholar] [CrossRef]
- Huang, Y.; Ye, M.; Chen, H. Inactivation of Escherichia Coli O157:H7 and Salmonella Spp. in Strawberry Puree by High Hydrostatic Pressure with/without Subsequent Frozen Storage. Int. J. Food Microbiol. 2013, 160, 337–343. [Google Scholar] [CrossRef]
- Mukhopadhyay, S.; Sokorai, K.; Ukuku, D.; Fan, X.; Juneja, V. Effect of High Hydrostatic Pressure Processing on the Background Microbial Loads and Quality of Cantaloupe Puree. Food Res. Int. 2017, 91, 55–62. [Google Scholar] [CrossRef]
- Georget, E.; Sevenich, R.; Reineke, K.; Mathys, A.; Heinz, V.; Callanan, M.; Rauh, C.; Knorr, D. Inactivation of Microorganisms by High Isostatic Pressure Processing in Complex Matrices: A Review. Innov. Food Sci. Emerg. Technol. 2015, 27, 1–14. [Google Scholar] [CrossRef]
- Leistner, L. Basic Aspects of Food Preservation by Hurdle Technology. Int. J. Food Microbiol. 2000, 55, 181–186. [Google Scholar] [CrossRef] [PubMed]
- Coutinho de Oliveira, T.L.; Ramos, A.L.S.; Ramos, E.M.; Piccoli, R.H.; Cristianini, M. Natural Antimicrobials as Additional Hurdles to Preservation of Foods by High Pressure Processing. Trends Food Sci. Technol. 2015, 45, 60–85. [Google Scholar] [CrossRef]
- Sanz-Puig, M.; Moreno, P.; Pina-Pérez, M.C.; Rodrigo, D.; Martínez, A. Combined Effect of High Hydrostatic Pressure (HHP) and Antimicrobial from Agro-Industrial by-Products against S. Typhimurium. LWT 2017, 77, 126–133. [Google Scholar] [CrossRef]
- Ng, K.R.; Lyu, X.; Mark, R.; Chen, W.N. Antimicrobial and Antioxidant Activities of Phenolic Metabolites from Flavonoid-Producing Yeast: Potential as Natural Food Preservatives. Food Chem. 2019, 270, 123–129. [Google Scholar] [CrossRef] [PubMed]
- Ribes, S.; Fuentes, A.; Talens, P.; Barat, J.M. Prevention of Fungal Spoilage in Food Products Using Natural Compounds: A Review. Crit. Rev. Food Sci. Nutr. 2018, 58, 2002–2016. [Google Scholar] [CrossRef]
- Ribes, S.; Fuentes, A.; Talens, P.; Barat, J.M. Application of Cinnamon Bark Emulsions to Protect Strawberry Jam from Fungi. LWT-Food Sci. Technol. 2017, 78, 265–272. [Google Scholar] [CrossRef]
- Teixeira, R.D.; Ribeiro, H.A.L.; Gomes, M.T.R.; Lopes, M.T.P.; Salas, C.E. The Proteolytic Activities in Latex from Carica Candamarcensis. Plant Physiol. Biochem. 2008, 46, 956–961. [Google Scholar] [CrossRef]
- Konno, K. Phytochemistry Plant Latex and Other Exudates as Plant Defense Systems: Roles of Various Defense Chemicals and Proteins Contained Therein. Phytochemistry 2011, 72, 1510–1530. [Google Scholar] [CrossRef]
- Liu, Z.; Zeng, M.; Dong, S.; Xu, J.; Song, H.; Zhao, Y. Effect of an Antifungal Peptide from Oyster Enzymatic Hydrolysates for Control of Gray Mold (Botrytis Cinerea) on Harvested Strawberries. Postharvest Biol. Technol. 2007, 46, 95–98. [Google Scholar] [CrossRef]
- Ralph, M.T.; Silva, A.F.B.; da Silva, D.L.; do Nascimento, D.C.O.; da Silva, D.M.F.; Gomes-Filho, M.A.; Souza, P.R.E.; Evêncio-Neto, J.; Ramos, M.V.; Salas, C.E.; et al. Peptidases from Latex of Carica Candamarcensis Upregulate COX-2 and IL-1 MRNA Transcripts against Salmonella Enterica Ser. Typhimurium-Mediated Inflammation. Mediators Inflamm. 2014, 2014, 819731. [Google Scholar] [CrossRef]
- Salas, C.E.; Dittz, D.; Torres, M.J. Plant Proteolytic Enzymes: Their Role as Natural Pharmacophores. In Biotechnological Applications of Plant Proteolytic Enzymes; Springer: Cham, Swizterland, 2018; pp. 107–127. ISBN 9783319971322. [Google Scholar]
- Ramos, M.V.; Souza, D.P.; Gomes, M.T.R.; Freitas, C.D.T.; Carvalho, C.P.S.; Júnior, P.A.V.R.; Salas, C.E. A Phytopathogenic Cysteine Peptidase from Latex of Wild Rubber Vine Cryptostegia Grandiflora. Protein J. 2014, 33, 199–209. [Google Scholar] [CrossRef] [PubMed]
- Freitas, C.D.T.; Cesar, S.; Vasconcelos, I.M.; José, A.; Barbosa, G.; Ramos, M.V. Plant Physiology and Biochemistry Osmotin Puri Fi Ed from the Latex of Calotropis Procera: Biochemical Characterization, Biological Activity and Role in Plant Defense. Plant Physiol. Biochem. 2011, 49, 738–743. [Google Scholar] [CrossRef] [PubMed]
- Torres-Ossandón, M.J.; Vega-Gálvez, A.; Salas, C.E.; Rubio, J.; Silva-Moreno, E.; Castillo, L. Antifungal Activity of Proteolytic Fraction (P1G10) from (Vasconcellea Cundinamarcensis) Latex Inhibit Cell Growth and Cell Wall Integrity in Botrytis Cinerea. Int. J. Food Microbiol. 2019, 289, 7–16. [Google Scholar] [CrossRef]
- Baeza, G.; Correa, D.; Salas, C. Proteolytic Enzymes in Carica Candamarcensis. J. Sci. Food Agric. 1990, 51, 1–9. [Google Scholar] [CrossRef]
- Olmedo, G.M.; Cerioni, L.; González, M.M.; Cabrerizo, F.M.; Rapisarda, V.A.; Volentini, S.I. Antifungal Activity of β-Carbolines on Penicillium Digitatum and Botrytis Cinerea. Food Microbiol. 2016, 62, 9–14. [Google Scholar] [CrossRef] [PubMed]
- Morales, H.; Paterson, R.R.M.; Venâncio, A.; Lima, N. Interaction with Penicillium Expansum Enhances Botrytis Cinerea Growth in Grape Juice Medium and Prevents Patulin Accumulation in Vitro. Lett. Appl. Microbiol. 2013, 56, 356–360. [Google Scholar] [CrossRef]
- da Silva, R.R. Enzyme Technology in Food Preservation: A Promising and Sustainable Strategy for Biocontrol of Post-Harvest Fungal Pathogens. Food Chem. 2019, 277, 531–532. [Google Scholar] [CrossRef]
- Echenique-Martínez, A.A.; Ramos-Parra, P.A.; Rodríguez-Sánchez, D.G.; Troncoso-Rojas, R.; Islas-Rubio, A.R.; del Carmen Montoya-Ballesteros, L.; Hernández-Brenes, C. Botrytis Cinerea Induced Phytonutrient Degradation of Strawberry Puree: Effects of Combined Preservation Approaches with High Hydrostatic Pressure and Synthetic or Natural Antifungal Additives. CyTA-J. Food 2023, 21, 451–463. [Google Scholar] [CrossRef]
- Reyes, J.E.; Tabilo-Munizaga, G.; Pérez-Won, M.; Maluenda, D.; Roco, T. Effect of High Hydrostatic Pressure (HHP) Treatments on Microbiological Shelf-Life of Chilled Chilean Jack Mackerel (Trachurus Murphyi). Innov. Food Sci. Emerg. Technol. 2015, 29, 107–112. [Google Scholar] [CrossRef]
- AOAC (Association of Official Analytical Chemists). Official Method of Analysis; Association of Official Analytical Chemists: Washington, DC, USA, 1990; Volume 1. [Google Scholar]
- Jia, Z.; Tang, M.; Wu, J. The Determination of Flavonoid Contents in Mulberry and Their Scavenging Effects on Superoxide Radicals. Food Chem. 1999, 64, 555–559. [Google Scholar] [CrossRef]
- Moreno-Montoro, M.; Olalla-Herrera, M.; Gimenez-Martinez, R.; Navarro-Alarcon, M.; Rufián-Henares, J.A. Phenolic Compounds and Antioxidant Activity of Spanish Commercial Grape Juices. J. Food Compos. Anal. 2015, 38, 19–26. [Google Scholar] [CrossRef]
- Singleton, V.L.; Rossi, J.A. Colorimetry to Total Phenolics with Phosphomolybdic Acid Reagents. Am. J. Enol. Vinic. 1965, 16, 144–158. [Google Scholar] [CrossRef]
- Brand-Williams, W.; Cuvelier, M.E.; Berset, C. Use of a Free Radical Method to Evaluate Antioxidant Activity. LWT-Food Sci. Technol. 1995, 28, 25–30. [Google Scholar] [CrossRef]
- Torres-Ossandón, M.J.; López, J.; Vega-Gálvez, A.; Galotto, M.J.; Perez-Won, M.; Di Scala, K. Impact of High Hydrostatic Pressure on Physicochemical Characteristics, Nutritional Content and Functional Properties of Cape Gooseberry Pulp (Physalis peruviana L.). J. Food Process. Preserv. 2015, 39, 2844–2855. [Google Scholar] [CrossRef]
- Włodarska, K.; Pawlak-Lemańska, K.; Górecki, T.; Sikorska, E. Perception of Apple Juice: A Comparison of Physicochemical Measurements, Descriptive Analysis and Consumer Responses. J. Food Qual. 2016, 39, 351–361. [Google Scholar] [CrossRef]
- CXS 247-2005; General Standard for Fruit Juices and Nectars. Codex Alimentarius: International Food Standards; FAO: Roma, Italy; WHO: Geneva, Switzerland, 2022; pp. 1–19.
- Torres-Ossandón, M.J.; Castillo, L.; Ah-Hen, K.S.; Vega-Gálvez, A. Effect of High Hydrostatic Pressure Processing on Phytochemicals, Antioxidant Activity, and Behavior of Botrytis Cinerea in White Grape Juice Concentrate. J. Food Process. Preserv. 2020, 44, e14864. [Google Scholar] [CrossRef]
- Pina-Pérez, M.C.; Silva-Angulo, A.B.; Muguerza-Marquínez, B.; Aliaga, D.R.; López, A.M. Synergistic Effect of High Hydrostatic Pressure and Natural Antimicrobials on Inactivation Kinetics of Bacillus Cereus in a Liquid Whole Egg and Skim Milk Mixed Beverage. Foodborne Pathog. Dis. 2009, 6, 649–656. [Google Scholar] [CrossRef]
- Yuste, J.; Capellas, M.; Fung, D.Y.C.; Mor-Mur, M. Inactivation and Sublethal Injury of Foodborne Pathogens by High Pressure Processing: Evaluation with Conventional Media and Thin Agar Layer Method. Food Res. Int. 2004, 37, 861–866. [Google Scholar] [CrossRef]
- Samoticha, J.; Wojdylo, A.; Golis, T. Phenolic Composition, Physicochemical Properties and Antioxidant Activity of Interspecific Hybrids of Grapes Growing in Poland. Food Chem. 2017, 215, 263–273. [Google Scholar] [CrossRef]
- Chaves, N.; Santiago, A.; Alías, J.C. Quantification of the Antioxidant Activity of Plant Extracts: Analysis of Sensitivity and Hierarchization Based on the Method Used. Antioxidants 2020, 9, 76. [Google Scholar] [CrossRef]
- Barba, F.J.; Esteve, M.J.; Frigola, A. Physicochemical and Nutritional Characteristics of Blueberry Juice after High Pressure Processing. Food Res. Int. 2013, 50, 545–549. [Google Scholar] [CrossRef]
- Liu, F.; Wang, Y.; Corke, H.; Zhu, H. Dynamic Changes in Flavonoids Content during Congou Black Tea Processing. LWT 2022, 170, 114073. [Google Scholar] [CrossRef]
- Deliza, R.; Rosenthal, A.; Abadio, F.B.D.; Silva, C.H.O.; Castillo, C. Application of High Pressure Technology in the Fruit Juice Processing: Benefits Perceived by Consumers. J. Food Eng. 2005, 67, 241–246. [Google Scholar] [CrossRef]
- Polydera, A.C.; Stoforos, N.G.; Taoukis, P.S. Quality Degradation Kinetics of Pasteurised and High Pressure Processed Fresh Navel Orange Juice: Nutritional Parameters and Shelf Life. Innov. Food Sci. Emerg. Technol. 2005, 6, 1–9. [Google Scholar] [CrossRef]
- Laboissière, L.H.E.S.; Deliza, R.; Barros-Marcellini, A.M.; Rosenthal, A.; Camargo, L.M.A.Q.; Junqueira, R.G. Effects of High Hydrostatic Pressure (HHP) on Sensory Characteristics of Yellow Passion Fruit Juice. Innov. Food Sci. Emerg. Technol. 2007, 8, 469–477. [Google Scholar] [CrossRef]
- Huang, H.W.; Lung, H.M.; Yang, B.B.; Wang, C.Y. Responses of Microorganisms to High Hydrostatic Pressure Processing. Food Control 2014, 40, 250–259. [Google Scholar] [CrossRef]
- Aganovic, K.; Hertel, C.; Vogel, R.F.; Johne, R.; Schlüter, O.; Schwarzenbolz, U.; Jäger, H.; Holzhauser, T.; Bergmair, J.; Roth, A.; et al. Aspects of High Hydrostatic Pressure Food Processing: Perspectives on Technology and Food Safety. Compr. Rev. Food Sci. Food Saf. 2021, 20, 3225–3266. [Google Scholar] [CrossRef]
- Daher, D.; Le Gourrierec, S.; Pérez-Lamela, C. Effect of High Pressure Processing on the Microbial Inactivation in Fruit Preparations and Other Vegetable Based Beverages. Agriculture 2017, 7, 72. [Google Scholar] [CrossRef]
- Qi, W.; Qian, P.; Yu, J.; Zhang, X.; Zhang, C.; Lu, R. Synergistic Inactivation of Bacillus Subtilis by High Hydrostatic Pressure and Nisin at Neutral PH. Wei Sheng Wu Xue Bao 2011, 51, 35–42. [Google Scholar]
- Somolinos, M.; García, D.; Pagán, R.; Mackey, B. Relationship between Sublethal Injury and Microbial Inactivation by the Combination of High Hydrostatic Pressure and Citral or Tert-Butyl Hydroquinone. Appl. Environ. Microbiol. 2008, 74, 7570–7577. [Google Scholar] [CrossRef]
- Espina, L.; García-Gonzalo, D.; Laglaoui, A.; Mackey, B.M.; Pagán, R. Synergistic Combinations of High Hydrostatic Pressure and Essential Oils or Their Constituents and Their Use in Preservation of Fruit Juices. Int. J. Food Microbiol. 2013, 161, 23–30. [Google Scholar] [CrossRef] [PubMed]
- Zhao, L.; Wang, S.; Liu, F.; Dong, P.; Huang, W.; Xiong, L.; Liao, X. Comparing the Effects of High Hydrostatic Pressure and Thermal Pasteurization Combined with Nisin on the Quality of Cucumber Juice Drinks. Innov. Food Sci. Emerg. Technol. 2013, 17, 27–36. [Google Scholar] [CrossRef]
- Nelson, D.L.; Cox, M.M. Principles of Bio-Chemistry, 5th ed.; W.H. Freeman and Company: New York, NY, USA, 2009. [Google Scholar]
- Albuquerque, R.M.; Pizzitola, M.P.; Araújo e Silva, A.C.; Dittz, D.; Freitas, K.M.; Ferreira, Ê.; Salas, C.E.; Lopes, M.T.P. The Proteolytic Fraction From Vasconcellea Cundinamarcensis Latex Displays Anti-Inflammatory Effect in A Mouse Model of Acute TNBS-Induced Colitis. Sci. Rep. 2020, 10, 3074. [Google Scholar] [CrossRef] [PubMed]
- El-Saber Batiha, G.; Hussein, D.E.; Algammal, A.M.; George, T.T.; Jeandet, P.; Al-Snafi, A.E.; Tiwari, A.; Pagnossa, J.P.; Lima, C.M.; Thorat, N.D.; et al. Application of Natural Antimicrobials in Food Preservation: Recent Views. Food Control 2021, 126, 108066. [Google Scholar] [CrossRef]
- Buitimea-Cantúa, G.V.; Rico-Alderete, I.A.; Rostro-Alanís, M.d.J.; Welti-Chanes, J.; Escobedo-Avellaneda, Z.J.; Soto-Caballero, M.C. Effect of High Hydrostatic Pressure and Pulsed Electric Fields Processes on Microbial Safety and Quality of Black/Red Raspberry Juice. Foods 2022, 11, 2342. [Google Scholar] [CrossRef] [PubMed]
- Zhang, W.; Liang, L.; Pan, X.; Lao, F.; Liao, X.; Wu, J. Alterations of Phenolic Compounds in Red Raspberry Juice Induced by High-Hydrostatic-Pressure and High-Temperature Short-Time Processing. Innov. Food Sci. Emerg. Technol. 2021, 67, 102569. [Google Scholar] [CrossRef]
- Hartmann, R.; Meisel, H. Food-Derived Peptides with Biological Activity: From Research to Food Applications. Curr. Opin. Biotechnol. 2007, 18, 163–169. [Google Scholar] [CrossRef]
- Wen, C.; Zhang, J.; Zhang, H.; Duan, Y.; Ma, H. Plant Protein-Derived Antioxidant Peptides: Isolation, Identification, Mechanism of Action and Application in Food Systems: A Review. Trends Food Sci. Technol. 2020, 105, 308–322. [Google Scholar] [CrossRef]
- Sarmadi, B.H.; Ismail, A. Antioxidative Peptides from Food Proteins: A Review. Peptides 2010, 31, 1949–1956. [Google Scholar] [CrossRef]




| Physicochemical Analysis | Treatments | |||
|---|---|---|---|---|
| g/100 mL | 0.1 MPa | P1G10 | 250 MPa/ 4 min | 250 MPa/ 4 min + P1G10 |
| Moisture | 80.56 ± 0.36 a | 80.42 ± 0.21 a | 80.80 ± 0.16 a | 80.78 ± 0.10 a |
| Lipid | 0.08 ± 0.05 ab | 0.20 ± 0.08 a | 0.05 ± 0.00 b | 0.20 ± 0.07 a |
| Protein | 0.46 ± 0.07 a | 0.47 ± 0.05 a | 0.46 ± 0.04 a | 0.46 ± 0.04 a |
| Ash | 0.15 ± 0.02a | 0.13 ± 0.05 a | 0.16 ± 0.02 a | 0.14 ± 0.03 a |
| Total carbohydrates | 18.66 ± 0.36 a | 80.42 ± 0.21 a | 18.54 ± 0.10 a | 18.6 ± 0.55 a |
| %Acidity | 0.13 ± 0.01 a | 0.12 ± 0.01 a | 0.11 ± 0.01 a | 0.12 ± 0.01 a |
| Soluble solid (°Brix) | 15.6 ± 0.50 a | 15.5 ± 0.30 a | 15.8 ± 0.50 a | 15.3 ± 0.50 a |
| pH | 3.45 ± 0.01 c | 3.46 ± 0.01 c | 4.03 ± 0.01 a | 3.96 ± 0.01 b |
| aw | 0.980 ± 0.011 a | 0.987 ± 0.010 a | 0.976 ± 0.010 a | 0.987 ± 0.010 a |
| Chromatic parameters | ||||
| L* | 64.50 ± 0.05 c | 65.56 ± 0.32 b | 65.88 ± 0.23 a | 62.52 ± 0.15 d |
| a* | −0.05 ± 0.03 b | −0.68 ± 0.03 d | 0.97 ± 0.02 a | −0.25 ± 0.02 c |
| b* | 14.15 ± 0.21 a | 11.96 ± 0.76 a | 12.55 ± 5.30 a | 11.47 ± 0.12 a |
| ∆E | 0 | 28.36 ± 0.80 a | 26.78 ± 4.39 a | 28.52 ± 1.69 a |
| Phenolic Compounds | Treatments | |||
|---|---|---|---|---|
| mg/L | 0.1 MPa | P1G10 | 250 MPa/ 4 min | 250 MPa/ 4 min + P1G10 |
| Gallic acid | 32.02 ± 2.83 a | 31.82 ± 2.77 a | 26.42 ± 1.56 b | 30.23 ± 2.39 a |
| Protocatechuic acid | 38.54 ± 3.03 a | 33.04 ± 3.11 b | 28.69 ± 1.87 b | 32.25 ± 2.83 b |
| Vanillic acid | 12.77 ± 0.51 a | 12.63 ± 0.94 a | 9.70 ± 0.23 b | 10.76 ± 0.95 b |
| Caffeic acid | 13.59 ± 0.56 a | 12.19 ± 1.43 ab | 10.93 ± 1.24 b | 12.38 ± 1.35 ab |
| p-coumaric acid | 15.14 ± 0.51 a | 13.46 ± 0.78 b | 11.54 ± 0.74 c | 12.20 ± 0.71 bc |
| Tyrosol | 37.51 ± 3.59 a | 34.84 ± 4.48 b | 29.82 ± 1.67 ab | 34.39 ± 3.39 ab |
| Ferulic acid | 12.93 ± 0.64 a | 11.55 ± 1.19 ab | 10.53 ± 0.67 b | 11.08 ± 0.63 b |
| Ellagic acid | 15.21 ± 1.08 a | 11.91 ± 1.60 b | 12.45 ± 1.17 b | 11.71 ± 1.02 b |
| Catechin | 240.40 ± 20.9 a | 212.51 ± 13.62 ab | 178.11 ± 14.70 b | 199.82 ± 10.65 ab |
| Quercetin | 37.90 ± 2.72 a | 33.70 ± 1.88 a | 28.44 ± 3.11 b | 26.50 ± 2.11 b |
Disclaimer/Publisher’s Note: The statements, opinions and data contained in all publications are solely those of the individual author(s) and contributor(s) and not of MDPI and/or the editor(s). MDPI and/or the editor(s) disclaim responsibility for any injury to people or property resulting from any ideas, methods, instructions or products referred to in the content. |
© 2023 by the authors. Licensee MDPI, Basel, Switzerland. This article is an open access article distributed under the terms and conditions of the Creative Commons Attribution (CC BY) license (https://creativecommons.org/licenses/by/4.0/).
Share and Cite
Torres-Ossandón, M.J.; Castillo, L.; Uribe, E.; Bilbao-Sainz, C.; Ah-Hen, K.S.; Vega-Gálvez, A. Combined Effect of High Hydrostatic Pressure and Proteolytic Fraction P1G10 from Vasconcellea cundinamarcensis Latex against Botrytis cinerea in Grape Juice. Foods 2023, 12, 3400. https://doi.org/10.3390/foods12183400
Torres-Ossandón MJ, Castillo L, Uribe E, Bilbao-Sainz C, Ah-Hen KS, Vega-Gálvez A. Combined Effect of High Hydrostatic Pressure and Proteolytic Fraction P1G10 from Vasconcellea cundinamarcensis Latex against Botrytis cinerea in Grape Juice. Foods. 2023; 12(18):3400. https://doi.org/10.3390/foods12183400
Chicago/Turabian StyleTorres-Ossandón, María José, Luis Castillo, Elsa Uribe, Cristina Bilbao-Sainz, Kong Shun Ah-Hen, and Antonio Vega-Gálvez. 2023. "Combined Effect of High Hydrostatic Pressure and Proteolytic Fraction P1G10 from Vasconcellea cundinamarcensis Latex against Botrytis cinerea in Grape Juice" Foods 12, no. 18: 3400. https://doi.org/10.3390/foods12183400
APA StyleTorres-Ossandón, M. J., Castillo, L., Uribe, E., Bilbao-Sainz, C., Ah-Hen, K. S., & Vega-Gálvez, A. (2023). Combined Effect of High Hydrostatic Pressure and Proteolytic Fraction P1G10 from Vasconcellea cundinamarcensis Latex against Botrytis cinerea in Grape Juice. Foods, 12(18), 3400. https://doi.org/10.3390/foods12183400

