Characterization and Stability of a Novel Toxin in Scallop Mantle Tissue
Abstract
:1. Introduction
2. Materials and Methods
2.1. Materials
2.2. Extract from the Scallop Mantle Tissue
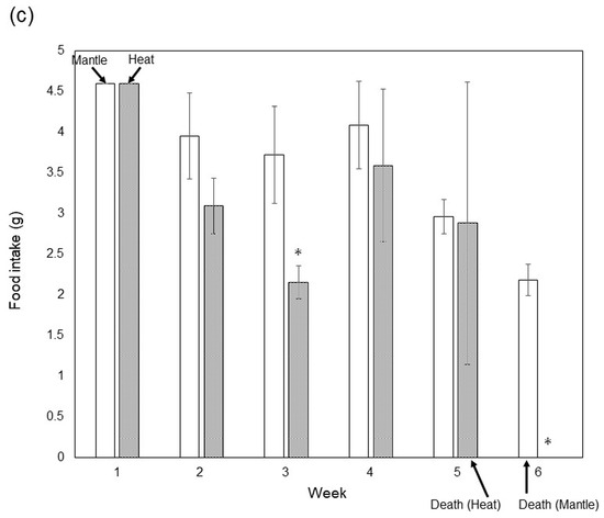
2.3. Stability of Toxicity of the Mantle Tissue or Mantle Extract
2.4. Stability of Toxicity of the Mantle Extract against Pepsin or Pancreatin Treatments
2.5. Evaluation of Toxicity of Mantle Tissues
2.6. Electrophoresis
2.7. Real-Time Polymerase Chain Reaction
2.8. Measurement of Lipid Peroxidation
2.9. Measurements of Short-Chain Fatty Acids (SCFAs)
2.10. Statistical Analysis
3. Results
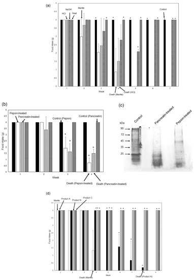
3.1. Stability of Toxicity in the Mantle Tissue or Extract
3.2. Toxicity of the Mantle Tissue under Different Conditions
3.3. Toxicity of the Mantle Tissue in the Small Intestine
4. Discussion
5. Conclusions
Author Contributions
Funding
Institutional Review Board Statement
Data Availability Statement
Acknowledgments
Conflicts of Interest
References
- Wang, D.Z. Neurotoxins from marine dinoflagellates: A brief review. Mar. Drugs 2008, 6, 349–371. [Google Scholar] [CrossRef] [PubMed]
- Kumar, T.; Ghosh, A.; Nandi, J. Seafood and shellfish poisoning: A review. Int. J. Sci. Dev. Res. 2021, 6, 2455–2631. [Google Scholar]
- Matsushima, R.; Uchida, H.; Nagai, S.; Watanabe, R.; Kamio, M.; Kaneiwa, M.; Suzuki, T. Assimilation, accumulation, and metabolism of dinophysistoxins (DTXs) and pectenotoxins (PTXs) in the several tissues of Japanese scallop patinopecten yessoensis. Toxins 2015, 7, 5141–5154. [Google Scholar] [CrossRef] [PubMed]
- Young, N.; Sharpe, R.A.; Barciela, R.; Nichols, G.; Davidson, K.; Berdalet, E.; Fleming, L.E. Marine harmful algal blooms and human health: A systematic scoping review. Harmful Algae 2020, 98, 11901. [Google Scholar] [CrossRef] [PubMed]
- Pradhan, B.; Kim, H.; Abassi, S.; Ki, J.S. Toxic effects and tumor promotion activity of marine phytoplankton toxins: A review. Toxins 2022, 14, 397. [Google Scholar] [CrossRef] [PubMed]
- Hasegawa, Y.; Inoue, T.; Fujita, M.; Kawaminami, S. Effects of scallop shell extract on scopolamine-induced memory impairment and MK801-induced locomotor activity. Asian Pac. J. Trop. Med. 2016, 9, 662–667. [Google Scholar] [CrossRef]
- Liu, Y.C.; Hasegawa, Y. Reducing effect of feeding powdered scallop shell on the body fat mass of rats. Biosci. Biotechnol. Biochem. 2006, 70, 86–92. [Google Scholar] [CrossRef]
- Takahashi, K.; Hasegawa, Y. Glycoproteins isolated from scallop shell inhibit differentiation of 3T3-L1 preadipocyte cells. Fish. Sci. 2014, 80, 1301–1310. [Google Scholar] [CrossRef]
- Fukuda, M.; Takahashi, K.; Ohkawa, C.; Sasaki, Y.; Hasegawa, Y. Identification of a resistant protein from scallop shell extract and its bile acid-binding activity. Fish. Sci. 2013, 79, 1017–1025. [Google Scholar] [CrossRef]
- Fukuda, M.; Hasegawa, Y. Protease activity of a 90-kDa protein isolated from scallop shells. Turk. J. Fish. Aquat. Sci. 2014, 14, 247–254. [Google Scholar] [CrossRef]
- Hasegawa, Y.; Itagaki, D.; Konno, K.; Hasegawa, C. Feeding of scallop mantle epithelial cell layer causes subacute toxicity against rodents. Fish. Sci. 2018, 84, 91–100. [Google Scholar] [CrossRef]
- Kariya, T.; Hasegawa, Y. Scallop mantle toxin induces apoptosis in liver tissues of mice. Food Sci. Nutr. 2020, 8, 3308–3316. [Google Scholar] [CrossRef]
- Kariya, T.; Takahashi, K.; Itagaki, D.; Hasegawa, Y. Scallop mantle extract inhibits insulin signaling in HepG2 cells. Food Sci. Nutr. 2019, 7, 2159–2166. [Google Scholar] [CrossRef]
- Maeda, N.; Yoshida, F.; Matsumoto, K.; Takahashi, S.; Geng, X.; Hasegawa, Y. Isolation and identification of a novel toxin in scallop mantle tissue. Front. Mar. Sci. 2023, 10, 1202437. [Google Scholar] [CrossRef]
- Sandvig, K.; Torgersen, M.L.; Engedal, N.; Skotland, T.; Iversen, T.G. Protein toxins from plants and bacteria: Probes for intracellular transport and tools in medicine. FEBS Lett. 2010, 584, 2626–2634. [Google Scholar] [CrossRef]
- Janik, E.; Ceremuga, M.; Saluk-Bijak, J.; Bijak, M. Biological toxins as the potential tools for bioterrorism. Int. J. Mol. Sci. 2019, 20, 1181. [Google Scholar] [CrossRef] [PubMed]
- Polito, L.; Bortolotti, M.; Battelli, M.G.; Calafato, G.; Bolognesi, A. Ricin: An ancient story for a timeless plant toxin. Toxins 2019, 11, 324. [Google Scholar] [CrossRef] [PubMed]
- Garber, E.A. Toxicity and detection of ricin and abrin in beverages. J. Food Prot. 2008, 71, 1875–1883. [Google Scholar] [CrossRef]
- Family Income and Expenditure Survey; Ministry of Internal Affairs and Communications: Tokyo, Japan, 2020.
- Bligh, E.G.; Dyer, W.J. A rapid method of total lipid extraction and purification. Can. J. Biochem. Physiol. 1959, 37, 911–917. [Google Scholar] [CrossRef] [PubMed]
- Laemmli, U.K. Cleavage of structural proteins during the assembly of the head of bacteriophage T4. Nature 1970, 227, 680–685. [Google Scholar] [CrossRef]
- Yamagami, H.; Fuji, T.; Wako, M.; Hasegawa, Y. Sulfated polysaccharide isolated from the nacre of pearl oyster improves scopolamine-induced memory impairment. Antioxidants 2021, 1, 505. [Google Scholar] [CrossRef]
- Omachi, T.; Matsuyama, N.; Hasegawa, Y. Nacre extract from pearl oyster suppresses LPS-induced depression and anxiety. J. Funct. Foods 2023, 10, 15373. [Google Scholar] [CrossRef]
- Du, X.; Xiang, Y.; Lou, F.; Tu, P.; Zhang, X.; Hu, X.; Lyu, W.; Xiao, Y. Microbial community and short-chain fatty acid mapping in the intestinal tract of quail. Animals 2020, 1, 106. [Google Scholar] [CrossRef]
- Troublesome variability in mouse studies. Nat. Neurosci. 2009, 12, 1075. [CrossRef]
- Jones, J.M. CODEX-aligned dietary fiber definitions help to bridge the ‘fiber gap’. Nutr. J. 2014, 13, 34. [Google Scholar] [CrossRef]
- Shiomi, K.; Arita, J.; Nagashima, Y.; Shinagawa, A. Detection of a proteinaceous toxin in the brackishwater clam (Corbicula japonica). Toxicon 1995, 33, 699–702. [Google Scholar] [CrossRef]
- Brown, T.D.; Whitehead, K.A.; Mitragotri, S. Materials for oral delivery of proteins and peptides. Nat. Rev. Mater. 2020, 5, 127–148. [Google Scholar] [CrossRef]
- Olsnes, S.; Refsnes, K.; Christensen, T.B.; Pihl, A. Studies on the structure and properties of the lectins from Abrus precatorius and Ricinus communis. Biochim. Biophys. Acta (BBA)-Protein Struct. 1975, 405, 1–10. [Google Scholar] [CrossRef]
- Ishigro, M.; Mitarai, M.; Harada, H.; Sekine, I.; Nishimori, I.; Kikutani, M. Biochemical Studies on Oral Toxicity of Ricin. I. Ricin Administered Orally Can Impair Sugar Absorption by Rat Small Intestine. Chem. Pharm. Bull. 1983, 31, 3222–3227. [Google Scholar] [CrossRef]
- Davidson, M.H.; McDonald, A. Fiber: Forms and functions. In Proceedings of the Nutrition Research; Elsevier: Amsterdam, The Netherlands, 1998; Volume 18, pp. 617–624. [Google Scholar]
- Zannini, E.; Sahin, A.W.; Arendt, E.K. Resistant protein: Forms and functions. Foods 2022, 11, 2759. [Google Scholar] [CrossRef] [PubMed]
- Murray, M.; Coughlan, M.T.; Gibbon, A.; Kumar, V.; Marques, F.Z.; Selby-Pham, S.; Snelson, M.; Tsyganov, K.; Williamson, G.; Woodruff, T.M.; et al. Reduced growth, altered gut microbiome and metabolite profile, and increased chronic kidney disease risk in young pigs consuming a diet containing highly resistant protein. Front. Nutr. 2022, 9, 816749. [Google Scholar] [CrossRef] [PubMed]
- Morrison, D.J.; Preston, T. Formation of short chain fatty acids by the gut microbiota and their impact on human metabolism. Gut Microbes 2016, 7, 189–200. [Google Scholar] [CrossRef] [PubMed]
- Chambers, E.S.; Preston, T.; Frost, G.; Morrison, D.J. Role of gut microbiota-generated short-chain fatty acids in metabolic and cardiovascular health. Curr. Nutr. Rep. 2018, 7, 198–206. [Google Scholar] [CrossRef] [PubMed]
- Portincasa, P.; Bonfrate, L.; Vacca, M.; De Angelis, M.; Farella, I.; Lanza, E.; Khalil, M.; Wang, D.Q.-H.; Sperandio, M.; Di Ciaula, A. Gut microbiota and short chain fatty acids: Implications in glucose homeostasis. Int. J. Mol. Sci. 2022, 23, 1105. [Google Scholar] [CrossRef] [PubMed]
- Lin, R.; Sun, Y.; Ye, W.; Zheng, T.; Wen, J.; Deng, Y. T-2 toxin inhibits the production of mucin via activating the IRE1/XBP1 pathway. Toxicology 2019, 424, 152230. [Google Scholar] [CrossRef]
- Alexandrov, P.N.; Hill, J.M.; Zhao, Y.; Bond, T.; Taylor, C.M.; Percy, M.E.; Li, W.; Lukiw, W.J. Aluminum-induced generation of lipopolysaccharide (LPS) from the human gastrointestinal (GI)-tract microbiome-resident Bacteroides fragilis. J. Inorg. Biochem. 2020, 203, 11886. [Google Scholar] [CrossRef]
- Bobo, L.D.; El Feghaly, R.E.; Chen, Y.S.; Dubberke, E.R.; Han, Z.; Baker, A.H.; Li, J.; Burnham, C.A.; Haslam, D.B. MAPK-activated protein kinase 2 contributes to Clostridium difficile-associated inflammation. Infect. Immun. 2013, 81, 713–722. [Google Scholar] [CrossRef] [PubMed]
- Shen, A. Clostridium difficile Toxins: Mediators of inflammation. J. Innate Immun. 2012, 4, 149–158. [Google Scholar] [CrossRef]








| Control Diet (%) | 1% Mantle Diet (%) | |
|---|---|---|
| Casein | 20.3 | 20 |
| Corn starch | 15.55 | 15 |
| Cellulose | 5.1 | 5 |
| Mineral mixture | 3.5 | 3.5 |
| Vitamin mixture | 1 | 1 |
| L-cysteine | 0.3 | 0.3 |
| Choline bitartrate | 0.2 | 0.2 |
| Sucrose | 50 | 50 |
| Soybean oil | 5.05 | 5 |
| Mantle tissue or extract, treated mantle or extract | 0 | 1 |
| 101 | 101 |
| Control Diet (%) | 20% Mantle Diet (%) | Control Diet (%) | 10% Mantle Diet (%) | ||
|---|---|---|---|---|---|
| Casein | 26 | 20 | Casein | 23 | 20 |
| Corn starch | 26 | 15 | Corn starch | 20.5 | 15 |
| Cellulose | 7 | 5 | Cellulose | 6 | 5 |
| Mineral mixture | 3.5 | 3.5 | Mineral mixture | 3.5 | 3.5 |
| Vitamin mixture | 1 | 1 | Vitamin mixture | 1 | 1 |
| L-cysteine | 0.3 | 0.3 | L-cysteine | 0.3 | 0.3 |
| Choline bitartrate | 0.2 | 0.2 | Choline bitartrate | 0.2 | 0.2 |
| Sucrose | 50 | 50 | Sucrose | 50 | 50 |
| Soybean oil | 6 | 5 | Soybean oil | 5.5 | 5 |
| Mantle tissue | 0 | 20 | Mantle tissue | 0 | 10 |
| 120 | 120 | 110 | 110 | ||
| Control Diet (%) | 5% Mantle Diet (%) | Control Diet (%) | 3% Mantle Diet (%) | ||
| Casein | 21.5 | 20 | Casein | 20.9 | 20 |
| Corn starch | 17.75 | 15 | Corn starch | 16.65 | 15 |
| Cellulose | 5.5 | 5 | Cellulose | 5.3 | 5 |
| Mineral mixture | 3.5 | 3.5 | Mineral mixture | 3.5 | 3.5 |
| Vitamin mixture | 1 | 1 | Vitamin mixture | 1 | 1 |
| L-cysteine | 0.3 | 0.3 | L-cysteine | 0.3 | 0.3 |
| Choline bitartrate | 0.2 | 0.2 | Choline bitartrate | 0.2 | 0.2 |
| Sucrose | 50 | 50 | Sucrose | 50 | 50 |
| Soybean oil | 5.25 | 5 | Soybean oil | 5.15 | 5 |
| Mantle tissue | 0 | 5 | Mantle tissue | 0 | 3 |
| 105 | 105 | 103 | 103 |
| Gene Name | Sequence (5′ to 3′) |
|---|---|
| Actin | F-GGC TGT ATT CCC CTC CAT CG |
| R-CCA GTT GGT AAC AAT GCC ATG T | |
| Mn-SOD | F-GGC CAA GGG AGA TGT TAC AA |
| R-GCT TGA TAG CCT CCA GCA AC | |
| CuZn-SOD | F-CGG ATG AAG AGA GGC ATG TT |
| R-CAC CTT TGC CCA AGT CAT CT | |
| catalase | F-AGG TGT TGA ACG AGG AGG AG |
| R-TGC GTG TAG GTG TGA ATT GC | |
| HO-1 | F-CAG GTG ATG CTG ACA GAG GA |
| R-ACA GGA AGC TGA GAG TGA GG | |
| ATF4 | F-GAG CTT CCT GAA CAG CGA AGT |
| R-TGG CCA CCT CCA GAT AGT CAT | |
| CHOP | F-TCA CTA CTC TTG ACC CTG CG |
| R-ACT GAC CAC TCT GTT TCC GT | |
| Bip | F-CTG GGT ACA TTT GAT CTG ACT GG |
| R-GCA TCC TGG TGG CTT TCC AGC CAT TC | |
| IL-1α | F-GGG CCT CAA AGG AAA GAA TC |
| R-TAC CAG TTG GGG AAC TCT GC | |
| IL-6 | F-AGA CTT CCA TCC AGT TGC CT |
| R-CAG GTC TGT TGG GAG TGG TA | |
| TGF-β | F-CAA CTT CTG TCT GGG ACC CT |
| R-TAG TAG ACG ATG GGC AGT GG | |
| TNF-α | F-ACG GCA TGG ATC TCA AAG AC |
| R-GTG GGT GAG GAG CAC GTA GT | |
| COX | F-AGA AGG AAA TGG CTG CAG AA |
| R-GCT CGG CTT CCA GTA TTG AG | |
| iNOS | F-CCC CGC TAC TAC TCC ATC AG |
| R-CCA CTG ACA CTT CGC ACA AA |
Disclaimer/Publisher’s Note: The statements, opinions and data contained in all publications are solely those of the individual author(s) and contributor(s) and not of MDPI and/or the editor(s). MDPI and/or the editor(s) disclaim responsibility for any injury to people or property resulting from any ideas, methods, instructions or products referred to in the content. |
© 2023 by the authors. Licensee MDPI, Basel, Switzerland. This article is an open access article distributed under the terms and conditions of the Creative Commons Attribution (CC BY) license (https://creativecommons.org/licenses/by/4.0/).
Share and Cite
Maeda, N.; Yumoto, T.; Xiong, G.; Hasegawa, Y. Characterization and Stability of a Novel Toxin in Scallop Mantle Tissue. Foods 2023, 12, 3224. https://doi.org/10.3390/foods12173224
Maeda N, Yumoto T, Xiong G, Hasegawa Y. Characterization and Stability of a Novel Toxin in Scallop Mantle Tissue. Foods. 2023; 12(17):3224. https://doi.org/10.3390/foods12173224
Chicago/Turabian StyleMaeda, Nabuki, Takahiro Yumoto, Geng Xiong, and Yasushi Hasegawa. 2023. "Characterization and Stability of a Novel Toxin in Scallop Mantle Tissue" Foods 12, no. 17: 3224. https://doi.org/10.3390/foods12173224
APA StyleMaeda, N., Yumoto, T., Xiong, G., & Hasegawa, Y. (2023). Characterization and Stability of a Novel Toxin in Scallop Mantle Tissue. Foods, 12(17), 3224. https://doi.org/10.3390/foods12173224
