Effect of Adding Fermented Proso Millet Bran Dietary Fiber on Micro-Structural, Physicochemical, and Digestive Properties of Gluten-Free Proso Millet-Based Dough and Cake
Abstract
1. Introduction
2. Materials and Methods
2.1. Chemicals and Reagents
2.2. Preparations of F-DF
2.3. Cake-Making Process
2.3.1. Recipes
2.3.2. Batter Preparation and Cake Baking
2.4. Dough Properties Analysis
2.4.1. Mixing and Pasting Properties of Dough
2.4.2. Dynamic Rheological Properties of Dough
2.4.3. Confocal Laser Scanning Microscopy (CLSM) of Dough
2.5. Characterization of Cakes
2.5.1. Analysis of Cake Properties
2.5.2. Textural Analysis of Cakes
2.5.3. Antioxidant Properties
2.5.4. Digestive Properties
2.6. Statistical Analyses
3. Results
3.1. Dough Properties
3.1.1. Analysis of Mixing and Pasting Properties
3.1.2. Rheological Properties
3.1.3. Microstructure Analysis
3.2. Cake Properties
3.2.1. Chroma Analysis of Crumb and Crust of Cakes
3.2.2. Analysis of Cake Textures
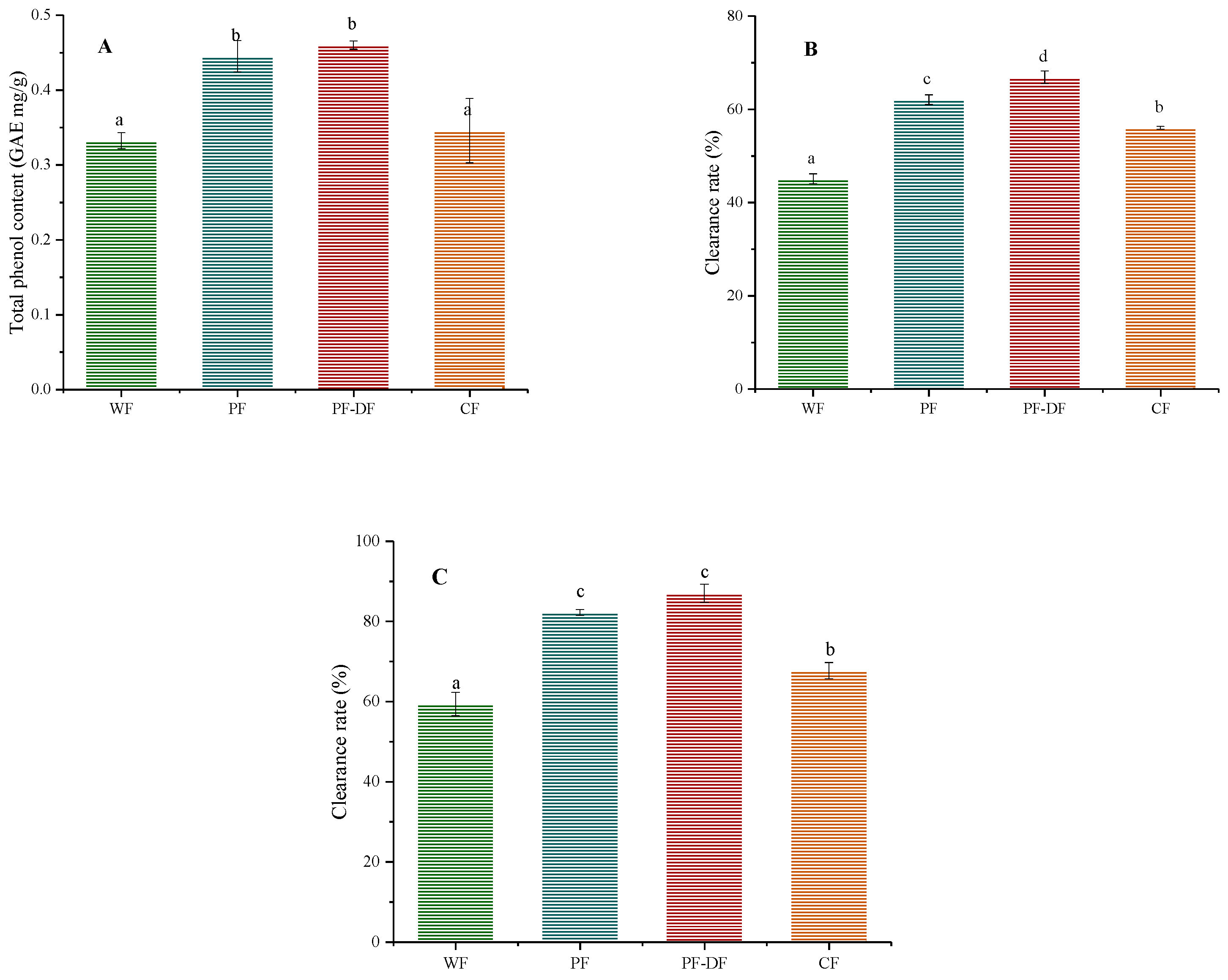
3.2.3. Analysis of Antioxidant Properties
3.2.4. Analysis of Digestive Properties
4. Conclusions
Author Contributions
Funding
Data Availability Statement
Conflicts of Interest
References
- Drabinska, N.; Ciska, E.; Szmatowicz, B.; Krupa-Kozak, U. Broccoli by-products improve the nutraceutical potential of gluten-free mini sponge cakes. Food Chem. 2018, 267, 170–177. [Google Scholar] [CrossRef]
- Catassi, C.; Verdu, E.F.; Bai, J.C.; Lionetti, E. Coeliac disease. Lancet 2022, 399, 2413–2426. [Google Scholar] [CrossRef] [PubMed]
- Hamdani, A.M.; Wani, I.A.; Bhat, N.A. Gluten free cookies from rice-chickpea composite flour using exudate gums from acacia, apricot and karaya. Food Biosci. 2020, 35, 100541. [Google Scholar] [CrossRef]
- Das, A.B.; Bhattacharya, S. Characterization of the batter and gluten-free cake from extruded red rice flour. LWT Food Sci. 2019, 102, 197–204. [Google Scholar] [CrossRef]
- Punia Bangar, S.; Sharma, N.; Singh, A.; Phimolsiripol, Y.; Brennan, C.S. Glycaemic response of pseudocereal-based gluten-free food products: A review. Int. J. Food Sci. Technol. 2022, 57, 4936–4944. [Google Scholar] [CrossRef]
- Zou, C.; Li, L.; Miki, D.; Li, D.; Tang, Q.; Xiao, L.; Rajput, S.; Deng, P.; Peng, L.; Jia, W.; et al. The genome of broomcorn millet. Nat. Commun. 2019, 10, 436. [Google Scholar] [CrossRef]
- Chang, L.; Zhao, N.; Jiang, F.; Ji, X.; Feng, B.; Liang, J.; Yu, X.; Du, S.K. Structure, physicochemical, functional and in vitro digestibility properties of non-waxy and waxy proso millet starches. Int. J. Biol. Macromo. 2023, 224, 594–603. [Google Scholar] [CrossRef]
- Shen, R.; Ma, Y.; Jiang, L.; Dong, J.; Zhu, Y.; Ren, G. Chemical composition, antioxidant, and antiproliferative activities of nine Chinese proso millet varieties. Food Agric. Immunol. 2018, 29, 625–637. [Google Scholar] [CrossRef]
- Barber, T.M.; Kabisch, S.; Pfeiffer, A.F.H.; Weickert, M.O. The Health Benefits of Dietary Fibre. Nutrients 2020, 12, 3209. [Google Scholar] [CrossRef]
- Zhu, Y.; Ji, X.; Yuen, M.; Yuen, T.; Yuen, H.; Wang, M.; Smith, D.; Peng, Q. Effects of Ball Milling Combined with Cellulase Treatment on Physicochemical Properties and in vitro Hypoglycemic Ability of Sea Buckthorn Seed Meal Insoluble Dietary Fiber. Front. Nutr. 2021, 8, 820672. [Google Scholar] [CrossRef]
- Mao, T.; Huang, F.; Zhu, X.; Wei, D.; Chen, L. Effects of dietary fiber on glycemic control and insulin sensitivity in patients with type 2 diabetes: A systematic review and meta-analysis. J. Funct. Foods 2021, 82, 104500. [Google Scholar] [CrossRef]
- Kiumarsi, M.; Shahbazi, M.; Yeganehzad, S.; Majchrzak, D.; Lieleg, O.; Winkeljann, B. Relation between structural, mechanical and sensory properties of gluten-free bread as affected by modified dietary fibers. Food Chem. 2019, 277, 664–673. [Google Scholar] [CrossRef]
- Arslan, M.; Rakha, A.; Xiaobo, Z.; Mahmood, M.A. Complimenting gluten free bakery products with dietary fiber: Opportunities and constraints. Trends Food Sci. Technol. 2019, 83, 194–202. [Google Scholar] [CrossRef]
- Arslan, M.; Rakha, A.; Khan, M.R.; Zou, X. Complementing the dietary fiber and antioxidant potential of gluten free bread with guava pulp powder. J. Food Meas. Charact. 2017, 11, 1959–1968. [Google Scholar] [CrossRef]
- Li, Y.; Niu, L.; Guo, Q.; Shi, L.; Deng, X.; Liu, X.; Xiao, C. Effects of fermentation with lactic bacteria on the structural characteristics and physicochemical and functional properties of soluble dietary fiber from prosomillet bran. LWT Food Sci. 2022, 154, 112609. [Google Scholar] [CrossRef]
- Xu, J.; Zhang, Y.; Wang, W.; Li, Y. Advanced properties of gluten-free cookies, cakes, and crackers: A review. Trends Food Sci. Technol. 2020, 103, 200–213. [Google Scholar] [CrossRef]
- Brunt, K.; Sanders, P. Improvement of the AOAC 2009.01 total dietary fibre method for bread and other high starch containing matrices. Food Chem. 2013, 140, 574–580. [Google Scholar] [CrossRef]
- Sharma, B.; Gujral, H.S.; Solah, V. Effect of incorporating finger millet in wheat flour on mixolab behavior, chapatti quality and starch digestibility. Food Chem. 2017, 231, 156–164. [Google Scholar] [CrossRef]
- Zhao, M.; Yang, Q.; Zhang, H.; Yuan, C.; Li, J.; Gao, W.; Li, Z.; Nishinari, K.; Cui, B. Foaming properties of the complex of chitooligosaccharides and bovine serum albumin and its application in angel cake. Food Hydrocol. 2022, 133, 108024. [Google Scholar] [CrossRef]
- Niu, M.; Hou, G.G.; Kindelspire, J.; Krishnan, P.; Zhao, S. Microstructural, textural, and sensory properties of whole-wheat noodle modified by enzymes and emulsifiers. Food Chem. 2017, 223, 16–24. [Google Scholar] [CrossRef]
- Silva, E.; Birkenhake, M.; Scholten, E.; Sagis, L.M.C.; van der Linden, E. Controlling rheology and structure of sweet potato starch noodles with high broccoli powder content by hydrocolloids. Food Hydrocol. 2013, 30, 42–52. [Google Scholar] [CrossRef]
- Jia, J.; Xiong, D.; Bai, J.; Yuan, Y.; Song, Q.; Lan, T.; Tian, L.; Guo, C.; Liu, X.; Wang, C.; et al. Investigation on flavor and physicochemical properties of angel food cakes prepared by lactic acid fermented egg white. LWT Food Sci. 2022, 164, 113659. [Google Scholar] [CrossRef]
- Jia, M.; Yu, Q.; Chen, J.; He, Z.; Chen, Y.; Xie, J.; Nie, S.; Xie, M. Physical quality and in vitro starch digestibility of biscuits as affected by addition of soluble dietary fiber from defatted rice bran. Food Hydrocol. 2020, 99, 105349. [Google Scholar] [CrossRef]
- Rosell, C.M.; Marco, C.; GarcÍA-AlvÁRez, J.; Salazar, J. Rheological Properties of Rice-Soybean Protein Composite Flours Assessed by Mixolab and Ultrasound. J. Food Process Eng. 2011, 34, 1838–1859. [Google Scholar] [CrossRef]
- Lambrecht, M.A.; Rombouts, I.; Nivelle, M.A.; Delcour, J.A. The Role of Wheat and Egg Constituents in the Formation of a Covalent and Non-covalent Protein Network in Fresh and Cooked Egg Noodles. J. Food Sci. 2017, 82, 24–35. [Google Scholar] [CrossRef]
- Sissons, M.; Cutillo, S.; Marcotuli, I.; Gadaleta, A. Impact of durum wheat protein content on spaghetti in vitro starch digestion and technological properties. J. Cereal Sci. 2021, 98, 103156. [Google Scholar] [CrossRef]
- Yegin, S.; Altinel, B.; Tuluk, K. A novel extremophilic xylanase produced on wheat bran from Aureobasidium pullulans NRRL Y-2311-1: Effects on dough rheology and bread quality. Food Hydrocol. 2018, 81, 389–397. [Google Scholar] [CrossRef]
- Ahmed, J.; Almusallam, A.S.; Al-Salman, F.; AbdulRahman, M.H.; Al-Salem, E. Rheological properties of water insoluble date fiber incorporated wheat flour dough. LWT Food Sci. 2013, 51, 409–416. [Google Scholar] [CrossRef]
- Graca, C.; Raymundo, A.; Sousa, I. Yogurt and curd cheese as alternative ingredients to improve the gluten-free breadmaking. Front. Nutr. 2022, 9, 934602. [Google Scholar] [CrossRef]
- Ma, Y.; Wu, D.; Guo, L.; Yao, Y.; Yao, X.; Wang, Z.; Wu, K.; Cao, X.; Gao, X. Effects of Quinoa Flour on Wheat Dough Quality, Baking Quality, and in vitro Starch Digestibility of the Crispy Biscuits. Front. Nutr. 2022, 9, 846808. [Google Scholar] [CrossRef]
- Chakraborty, I.; N, P.; Mal, S.S.; Paul, U.C.; Rahman, M.H.; Mazumder, N. An Insight into the Gelatinization Properties Influencing the Modified Starches Used in Food Industry: A review. Food Bioprocess Technol. 2022, 15, 1195–1223. [Google Scholar] [CrossRef]
- Kaur, H.; Gill, B.S.; Karwasra, B.L. In vitro digestibility, pasting, and structural properties of starches from different cereals. Int. J. Food Prop. 2018, 21, 70–85. [Google Scholar] [CrossRef]
- Dai, T.; He, X.; Xu, J.; Geng, Q.; Li, C.; Sun, J.; Liu, C.; Chen, J.; He, X. Effects of Betanin on Pasting, Rheology and Retrogradation Properties of Different Starches. Foods. 2022, 11, 1600. [Google Scholar] [CrossRef] [PubMed]
- Adams, V.; Ragaee, S.M.; Abdel-Aal, E.M. Rheological properties and bread quality of frozen yeast-dough with added wheat fiber. J. Sci Food. Agric. 2017, 97, 191–198. [Google Scholar] [CrossRef]
- Rosell, C.M.; Collar, C.; Haros, M. Assessment of hydrocolloid effects on the thermo-mechanical properties of wheat using the Mixolab. Food Hydrocol. 2007, 21, 452–462. [Google Scholar] [CrossRef]
- Liu, Y.; Zhang, Q.; Wang, Y.; Xu, P.; Wang, L.; Liu, L.; Rao, Y. Enrichment of Wheat Bread with Platycodon grandiflorus Root (PGR) Flour: Rheological Properties and Microstructure of Dough and Physicochemical Characterization of Bread. Foods. 2023, 12, 580. [Google Scholar] [CrossRef] [PubMed]
- Van de Velde, F.; Weinbreck, F.; Edelman, M.W.; van der Linden, E.; Tromp, R.H. Visualisation of biopolymer mixtures using confocal scanning laser microscopy (CSLM) and covalent labelling techniques. Colloids Surf. B Biointerfaces 2003, 31, 159–168. [Google Scholar] [CrossRef]
- Patino-Rodriguez, O.; Agama-Acevedo, E.; Pacheco-Vargas, G.; Alvarez-Ramirez, J.; Bello-Perez, L.A. Physicochemical, microstructural and digestibility analysis of gluten-free spaghetti of whole unripe plantain flour. Food Chem. 2019, 298, 125085. [Google Scholar] [CrossRef]
- Dan, H.; Gu, Z.; Li, C.; Fang, Z.; Hu, B.; Wang, C.; Chen, S.; Tang, X.; Ren, Y.; Wu, W.; et al. Effect of fermentation time and addition amount of rice sourdoughs with different microbial compositions on the physicochemical properties of three gluten-free rice breads. Food Res. Int. 2022, 161, 111889. [Google Scholar] [CrossRef]
- Millar, K.A.; Barry-Ryan, C.; Burke, R.; Hussey, K.; McCarthy, S.; Gallagher, E. Effect of pulse flours on the physiochemical characteristics and sensory acceptance of baked crackers. Int. J. Food Sci. Tech. 2017, 52, 1155–1163. [Google Scholar] [CrossRef]
- Paesani, C.; Bravo-Núñez, Á.; Gómez, M. Effect of stabilized wholegrain maize flours on the quality characteristics of gluten-free layer cakes. LWT Food Sci. 2021, 135, 109959. [Google Scholar] [CrossRef]
- Guy, R.C.E. Factors affecting the staling of madeira slab cake. J. Sci. Food Agric. 1983, 34, 477–491. [Google Scholar] [CrossRef]
- GÓMez, M.; Ruiz-ParÍS, E.; Oliete, B.; Pando, V. Modeling of Texture Evolution of Cakes during Storage. J. Texture Stud. 2010, 41, 17–33. [Google Scholar] [CrossRef]
- Aboshora, W.; Yu, J.; Omar, K.A.; Li, Y.; Hassanin, H.A.M.; Navicha, W.B.; Zhang, L. Preparation of Doum fruit (Hyphaene thebaica) dietary fiber supplemented biscuits: Influence on dough characteristics, biscuits quality, nutritional profile and antioxidant properties. J. Food Sci. Technol. 2019, 56, 1328–1336. [Google Scholar] [CrossRef]
- Dawidowicz, A.L.; Olszowy, M. The importance of solvent type in estimating antioxidant properties of phenolic compounds by ABTS assay. Eur. Food Res. 2013, 236, 1099–1105. [Google Scholar] [CrossRef]
- Wu, J.; Ren, L.; Zhao, N.; Wu, T.; Liu, R.; Sui, W.; Zhang, M. Solid-state fermentation by Rhizopus oryzae improves flavor of wheat bran for application in food. J. Cereal Sci. 2022, 107, 103536. [Google Scholar] [CrossRef]
- Krishna, K.S.; Thayumanavan, B. Characterization of starches of proso, foxtail, barnyard, kodo, and little millets. Plant Food Hum. Nutr. 1998, 53, 47–56. [Google Scholar] [CrossRef]
- Di Cairano, M.; Condelli, N.; Cela, N.; Sportiello, L.; Caruso, M.C.; Galgano, F. Formulation of gluten-free biscuits with reduced glycaemic index: Focus on in vitro glucose release, physical and sensory properties. LWT Food Sci. 2022, 154, 112654. [Google Scholar] [CrossRef]
- Vázquez-Gutiérrez, J.L.; Johansson, D.; Langton, M. Effects of added inulin and wheat gluten on structure of rye porridge. LWT Food Sci. 2016, 66, 211–216. [Google Scholar] [CrossRef]




| Ingredients | WF | PF | PF-DF | CF |
|---|---|---|---|---|
| Egg (g) | 110 | 110 | 110 | 110 |
| Cake flour (g) | 50 | - | - | - |
| Non-waxy proso millet flour (g) | - | 10 | 9.4 | - |
| Waxy proso millet flour (g) | - | 40 | 37.6 | - |
| Fermented proso millet dietary fiber flour (g) | - | - | 3 | - |
| Corn flour (g) | - | - | - | 50 |
| Sugar (g) | 30 | 30 | 30 | 30 |
| Salt (g) | 0.5 | 0.5 | 0.5 | 0.5 |
| Cake oil (g) | 8 | 8 | 8 | 8 |
| Water (mL) | 10 | 10 | 10 | 10 |
| Baking Powder (g) | 0.5 | 0.5 | 0.5 | 0.5 |
| WF | PF | PF-DF | CF | |
|---|---|---|---|---|
| C (%) | 57.4 b | 50.5 a | 50.5 a | - |
| Water absorption (%) | 12.7 c | 12.1 b | 11.4 a | - |
| Dough development time (min) | 1.22 a | 1.85 b | 2.20 c | - |
| Dough stability (min) | 8.3 c | 5.9 b | 4.0 a | - |
| Protein weakening degree (N/m) | 0.495 c | 0.388 b | 0.341 a | - |
| Pasting property of starch (N/m) | 1.50 b | 1.37 a | 1.39 a | - |
| Thermal stability of starch gelatinization (N/m) | −0.497 c | −0.183 b | −0.176 a | - |
| Starch regeneration characteristic (N/m) | 1.99 c | 0.70 a | 0.80 b | - |
| Sample | Crust Color | Crumb Color | ||||||
|---|---|---|---|---|---|---|---|---|
| L* | a* | b* | ΔE | L* | a* | b* | ΔE | |
| WF | 52.95 ± 0.68 a | 21.19 ± 0.28 d | 36.24 ± 0.10 b | - | 83.78 ± 0.32 c | 0.39 ± 0.035 b | 31.32 ± 0.18 b | - |
| PF | 57.25 ± 0.54 c | 10.80 ± 0.25 b | 41.76 ± 0.0.31 c | 12.54 ± 0.1 b | 78.92 ± 0.21 b | 2.167 ± 0.021 c | 39.09 ± 0.15 d | 9.33 ± 0.07 b |
| PF-DF | 58.29 ± 1.40 c | 7.58 ± 0.27 a | 37.35 ± 0.56 b | 14.71 ± 0.32 a | 71.65 ± 0.49 a | 4.06 ± 0.21 d | 37.10 ± 0.77 c | 13.93 ± 0.77 a |
| CF | 53.97 ± 0.56 b | 18.33 ± 0.11 c | 33.26 ± 0.31 a | 4.29 ± 0.18 c | 83.57 ± 0.28 c | −0.387 ± 0.060 a | 27.35 ± 0.50 a | 4.06 ± 0.49 c |
| WF | PF | PF-DF | CF | |
|---|---|---|---|---|
| Hardness (g) | 201.51 ± 5.64 a | 306.28 ± 5.06 b | 338.72 ± 16.44 b | 1875.81 ± 174.87 c |
| Adhesiveness (g·s) | −0.36 ± 0.21 a | 0.11 ± 0.21 a | −0.36 ± 0.21 a | 0.00 ± 0.00 a |
| Springiness (-) | 0.96 ± 0.20 a | 1.02 ± 0.02 a | 0.97 ± 0.02 a | 0.88 ± 0.02 a |
| Cohesiveness (-) | 0.83 ± 0.30 a | 0.82 ± 0.03 a | 0.82 ± 0.04 a | 0.88 ± 0.03 a |
| Gumminess (g) | 167.94 ± 5.16 a | 251.96 ± 10.44 a | 278.61 ± 15.87 b | 1647.64 ± 200.31 c |
| Chewiness (g) | 160.53 ± 5.05 a | 257.73 ± 37.02 b | 270.85 ± 18.07 b | 1450.58 ± 191.77 c |
| Resilience (-) | 0.46 ± 0.03 a | 0.46 ± 0.03 a | 0.46 ± 0.03 a | 0.47 ± 0.03 a |
Disclaimer/Publisher’s Note: The statements, opinions and data contained in all publications are solely those of the individual author(s) and contributor(s) and not of MDPI and/or the editor(s). MDPI and/or the editor(s) disclaim responsibility for any injury to people or property resulting from any ideas, methods, instructions or products referred to in the content. |
© 2023 by the authors. Licensee MDPI, Basel, Switzerland. This article is an open access article distributed under the terms and conditions of the Creative Commons Attribution (CC BY) license (https://creativecommons.org/licenses/by/4.0/).
Share and Cite
Xiao, J.; Li, Y.; Niu, L.; Chen, R.; Tang, J.; Tong, Z.; Xiao, C. Effect of Adding Fermented Proso Millet Bran Dietary Fiber on Micro-Structural, Physicochemical, and Digestive Properties of Gluten-Free Proso Millet-Based Dough and Cake. Foods 2023, 12, 2964. https://doi.org/10.3390/foods12152964
Xiao J, Li Y, Niu L, Chen R, Tang J, Tong Z, Xiao C. Effect of Adding Fermented Proso Millet Bran Dietary Fiber on Micro-Structural, Physicochemical, and Digestive Properties of Gluten-Free Proso Millet-Based Dough and Cake. Foods. 2023; 12(15):2964. https://doi.org/10.3390/foods12152964
Chicago/Turabian StyleXiao, Jing, Yinxia Li, Li Niu, Ronghui Chen, Jiayu Tang, Zongbo Tong, and Chunxia Xiao. 2023. "Effect of Adding Fermented Proso Millet Bran Dietary Fiber on Micro-Structural, Physicochemical, and Digestive Properties of Gluten-Free Proso Millet-Based Dough and Cake" Foods 12, no. 15: 2964. https://doi.org/10.3390/foods12152964
APA StyleXiao, J., Li, Y., Niu, L., Chen, R., Tang, J., Tong, Z., & Xiao, C. (2023). Effect of Adding Fermented Proso Millet Bran Dietary Fiber on Micro-Structural, Physicochemical, and Digestive Properties of Gluten-Free Proso Millet-Based Dough and Cake. Foods, 12(15), 2964. https://doi.org/10.3390/foods12152964

