Physical, Chemical, and Sensory Properties of a Turmeric-Fortified Pineapple Juice Beverage
Abstract
1. Introduction
2. Materials and Methods
2.1. Materials and Juice Preparation
2.2. Color and pH
2.3. Total Soluble Solids (TSS) and Titratable Acidity (TA)
2.4. Volatiles
2.5. Total Antioxidant Capacity
2.6. DPPH (1,1-Diphenyl-2-Picryl-Hydrazyl) Assay
2.7. Phenolic Compounds
2.8. Sensory Evaluation
2.9. Statistical Analysis
3. Results
3.1. Physicochemical Properties
3.2. Volatiles
3.3. Total Antioxidant Capacity and DPPH Inhibition
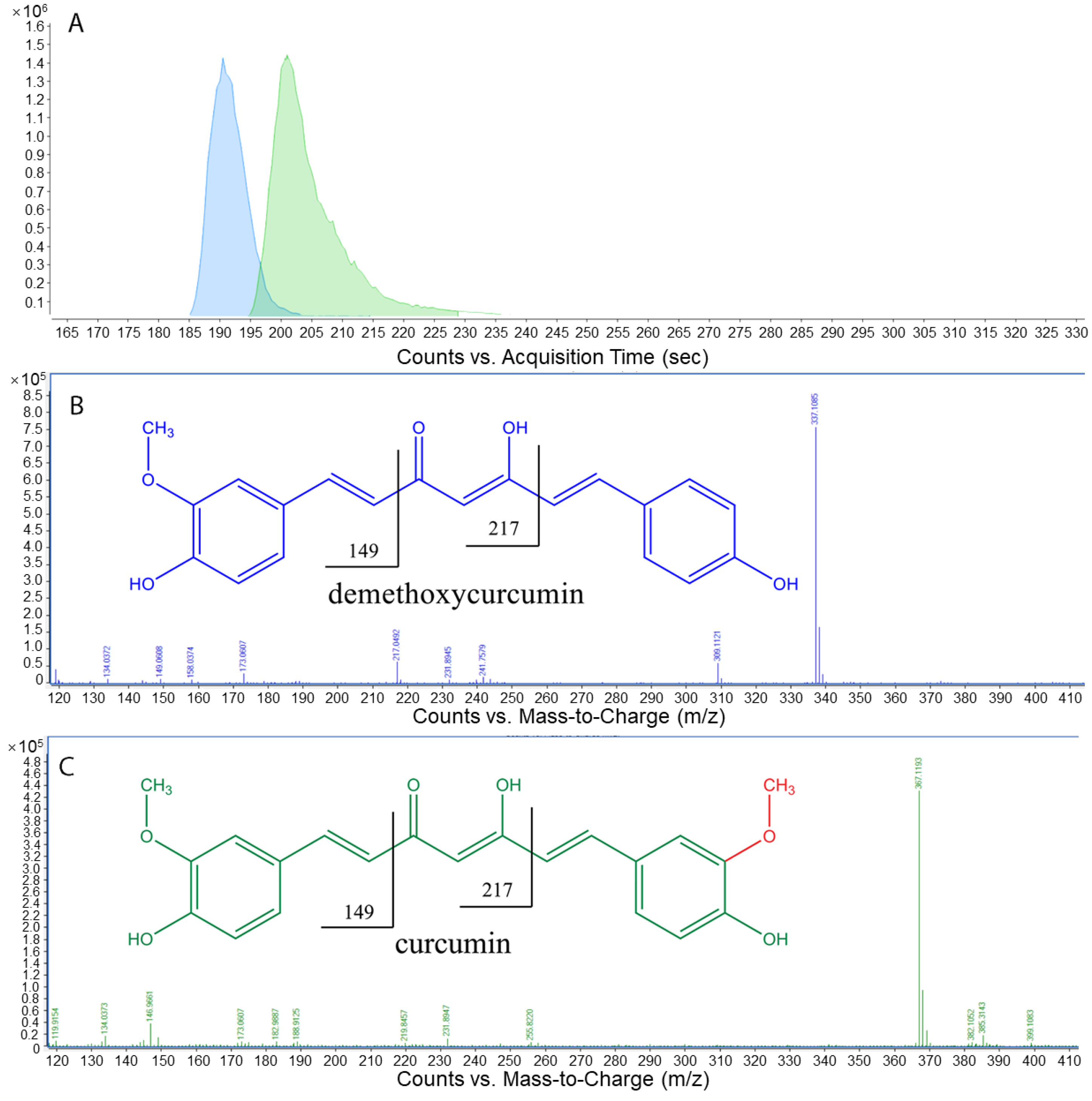
3.4. Phenolic Compounds
3.5. Sensory Evaluation
4. Conclusions
Author Contributions
Funding
Data Availability Statement
Acknowledgments
Conflicts of Interest
References
- Akaberi, M.; Sahebkar, A.; Emami, S.A. Turmeric and curcumin: From traditional to modern medicine. Adv. Exp. Med. Biol. 2021, 1291, 15–39. [Google Scholar] [CrossRef] [PubMed]
- USDA’s National Agricultural Statistics Service Hawaii Field Office. Available online: https://www.nass.usda.gov/Statistics_by_State/Hawaii/Publications/Sugarcane_and_Specialty_Crops/Tropical/TropSpec_Feb2023.pdf (accessed on 14 February 2023).
- Ahmad, R.S.; Hussain, M.B.; Sultan, M.T.; Arshad, M.S.; Waheed, M.; Shariati, M.A.; Plygun, S.; Hashempur, M.H. Biochemistry, safety, pharmacological activities, and clinical applications of turmeric: A mechanistic review. Evid. Based Complement. Altern. Med. 2020, 2020, 7656919. [Google Scholar] [CrossRef] [PubMed]
- Ajanaku, C.O.; Ademosun, O.T.; Atohengbe, P.O.; Ajayi, S.O.; Obafemi, Y.D.; Owolabi, O.A.; Akinduti, P.A.; Ajanaku, K.O. Functional bioactive compounds in ginger, turmeric, and garlic. Front. Nutr. 2022, 9, 1012023. [Google Scholar] [CrossRef] [PubMed]
- Yousefsani, B.S.; Dadmehr, M.; Shirani, K.; Jamshidi, A.; Sathyapalan, T.; Sahebkar, A. Health benefits of turmeric and curcumin against food contaminants. Adv. Exp. Med. Biol. 2021, 1328, 171–197. [Google Scholar] [CrossRef] [PubMed]
- Sharma, D.; Chaubey, P.; Suvarna, V. Role of natural products in alleviation of rheumatoid arthritis—A review. J. Food Biochem. 2021, 45, e13673. [Google Scholar] [CrossRef] [PubMed]
- Farhood, B.; Mortezaee, K.; Goradel, N.H.; Khanlarkhani, N.; Salehi, E.; Nashtaei, M.S.; Najafi, M.; Sahebkar, A. Curcumin as an anti-inflammatory agent: Implications to radiotherapy and chemotherapy. J. Cell. Physiol. 2019, 234, 5728–5740. [Google Scholar] [CrossRef]
- Giordano, A.; Tommonaro, G. Curcumin and cancer. Nutrients 2019, 11, 2376. [Google Scholar] [CrossRef]
- Hatcher, H.; Planalp, R.; Cho, J.; Torti, F.M.; Torti, S.V. Curcumin: From ancient medicine to current clinical trials. Cell. Mol. Life Sci. 2008, 65, 1631–1652. [Google Scholar] [CrossRef]
- Basnet, P.; Skalko-Basnet, N. Curcumin: An anti-inflammatory molecule from a curry spice on the path to cancer treatment. Molecules 2011, 16, 4567–4598. [Google Scholar] [CrossRef]
- Chainani-Wu, N. Safety and anti-inflammatory activity of curcumin: A component of tumeric (Curcuma longa). J. Altern. Complement. Med. 2003, 9, 161–168. [Google Scholar] [CrossRef]
- Hewlings, S.J.; Kalman, D.S. Curcumin: A review of its effects on human health. Foods 2017, 6, 92. [Google Scholar] [CrossRef] [PubMed]
- Lao, C.D.; Ruffin, M.T., IV; Normolle, D.; Heath, D.D.; Murray, S.I.; Bailey, J.M.; Boggs, M.E.; Crowell, J.; Rock, C.L.; Brenner, D.E. Dose escalation of a curcuminoid formulation. BMC Complement. Altern. Med. 2006, 6, 10. [Google Scholar] [CrossRef] [PubMed]
- Hossain, M.F. World pineapple production: An overview. Afr. J. Food Agric. Nutr. Dev. 2016, 16, 11444–11456. [Google Scholar] [CrossRef]
- Shaik, L.; Chakraborty, S. Nonthermal pasteurization of pineapple juice: A review on the potential of achieving microbial safety and enzymatic stability. Compr. Rev. Food Sci. Food Saf. 2022, 21, 4716–4737. [Google Scholar] [CrossRef]
- Anjaly, M.G.; Prince, M.V.; Warrier, A.S.; Lal, A.M.N.; Mahanti, N.K.; Pandiselvam, R.; Thirumdas, R.; Sreeja, R.; Rusu, A.V.; Trif, M.; et al. Design consideration and modelling studies of ultrasound and ultraviolet combined approach for shelf-life enhancement of pineapple juice. Ultrason. Sonochem. 2022, 90, 106166. [Google Scholar] [CrossRef]
- Narh Mensah, D.L.; Addo, P.; Dzomeku, M.; Obodai, M. Bioprospecting of powdered pineapple rind as an organic supplement of composted sawdust for Pleurotus ostreatus mushroom cultivation. Food Sci. Nutr. 2018, 6, 280–286. [Google Scholar] [CrossRef]
- Roobab, U.; Khan, A.; Irfan, M.; Madni, G.; Zeng, X.; Nawaz, A.; Walayat, N.; Manzoor, M.; Aadil, R. Recent developments in ohmic technology for clean label fruit and vegetable processing: An overview. J. Food Process. Eng. 2022, 45, e14045. [Google Scholar] [CrossRef]
- Roobab, U.; Shabbir, M.; Khan, W.; Arshad, R.; Bekhit, A.; Zeng, X.; Inam-Ur-Raheem, M.; Aadil, R. High-pressure treatments for better quality clean label juices and beverages: Overview and advances. LWT-Food Sci. Technol. 2021, 141, 111828. [Google Scholar] [CrossRef]
- Dhar, R.; Bhalerao, P.P.; Chakraborty, S. Formulation of a mixed fruit beverage using fuzzy logic optimization of sensory data and designing its batch thermal pasteurization process. J. Food Sci. 2021, 86, 463–474. [Google Scholar] [CrossRef]
- Sun, X.; Baldwin, E.A.; Ritenour, M.; Hagenmaier, R.; Bai, J. Formulating a natural colorant containing wax for a one-step color-add application for fresh citrus. HortScience 2017, 52, 408–412. [Google Scholar] [CrossRef]
- Sun, X.; Wall, M.; Follett, P.; Liang, P.; Xu, S.; Zhong, T. Effect of pectin coatings containing trans-cinnamaldehyde on the postharvest quality of rambutan. HortScience 2023, 58, 11–15. [Google Scholar] [CrossRef]
- Sun, X.; Baldwin, E.A.; Plotto, A.; Manthey, J.A.; Duan, Y.; Bai, J. Effects of thermal processing and pulp filtration on physical, chemical and sensory properties of winter melon juice. J. Sci. Food Agric. 2017, 97, 543–550. [Google Scholar] [CrossRef] [PubMed]
- Sun, X.; Cameron, R.G.; Bai, J. Microencapsulation and antimicrobial activity of carvacrol in a pectinalginate matrix. Food Hydrocoll. 2019, 92, 69–73. [Google Scholar] [CrossRef]
- Yang, K.Y.; Lin, L.C.; Tseng, T.Y.; Wang, S.C.; Tsai, T.H. Oral bioavailability of curcumin in rat and the herbal analysis from Curcuma longa by LC-MS/MS. J. Chromatogr. B Anal. Technol. Biomed. Life Sci. 2007, 853, 183–189. [Google Scholar] [CrossRef]
- Guerra, A.S.; Hoyos, C.G.; Velasquez-Cock, J.; Velez, L.; Ganan, P.; Zuluaga, R. The effects of adding a gel-alike Curcuma longa L. suspension as color agent on some quality and sensory properties of yogurt. Molecules 2022, 27, 946. [Google Scholar] [CrossRef] [PubMed]
- Rashid, S.N.A.A.; Hasham, R.; Rashid, Z.I.A.; Cheng, K.; Aziz, A.; Shafin, N.; Kaprawi, A.A. Formulation and characterization of the physicochemical, antioxidant activity and sensory attributes of curcuma-based herbal drink. Mater. Today Proc. 2022, 57, 1061–1066. [Google Scholar] [CrossRef]
- Ogori, A.F.; Amove, J.; Aduloju, P.; Sardo, G.; Okpala, C.O.R.; Bono, G.; Korzeniowska, M. Functional and quality characteristics of ginger, pineapple, and turmeric juice mix as influenced by blend variations. Foods 2021, 10, 525. [Google Scholar] [CrossRef]
- Danyluk, M.D.; Friedrich, L.M.; Jouquand, C.; Goodrich-Schneider, R.; Parish, M.E.; Rouseff, R. Prevalence, concentration, spoilage, and mitigation of Alicyclobacillus spp. in tropical and subtropical fruit juice concentrates. Food Microbiol. 2011, 28, 472–477. [Google Scholar] [CrossRef]
- Poudel, D.K.; Ojha, P.K.; Rokaya, A.; Satyal, R.; Satyal, P.; Setzer, W.N. Analysis of volatile constituents in Curcuma species, viz. C. aeruginosa, C. zedoaria, and C. longa, from Nepal. Plants 2022, 11, 1932. [Google Scholar] [CrossRef]
- Dosoky, N.S.; Setzer, W.N. Chemical composition and biological activities of essential oils of Curcuma species. Nutrients 2018, 10, 1196. [Google Scholar] [CrossRef]
- Lu, Y.; Wang, J.; Shen, G.; Liu, J.; Zhu, H.; Zhao, J.; He, S. Rapid Determination and quality control of pharmacological volatiles of turmeric (Curcuma longa L.) by fast gas chromatography-surface acoustic wave sensor. Molecules 2021, 26, 5797. [Google Scholar] [CrossRef] [PubMed]
- Kulyal, P.; Acharya, S.; Ankari, A.B.; Kokkiripati, P.K.; Tetali, S.D.; Raghavendra, A.S. Variable secondary metabolite profiles across cultivars of Curcuma longa L. and C. aromatica Salisb. Front. Pharm. 2021, 12, 659546. [Google Scholar] [CrossRef] [PubMed]
- Idowu-Adebayo, F.; Fogliano, V.; Linnemann, A. Turmeric-fortified cow and soya milk: Golden milk as a street food to support consumer health. Foods 2022, 11, 558. [Google Scholar] [CrossRef] [PubMed]
- Singh, K.; Srichairatanakool, S.; Chewonarin, T.; Prommaban, A.; Samakradhamrongthai, R.S.; Brennan, M.A.; Brennan, C.S.; Utama-Ang, N. Impact of green extraction on curcuminoid content, antioxidant activities and anti-cancer efficiency (in vitro) from turmeric rhizomes (Curcuma longa L.). Foods 2022, 11, 3633. [Google Scholar] [CrossRef]
- Inoue, K.; Nomura, C.; Ito, S.; Nagatsu, A.; Hino, T.; Oka, H. Purification of curcumin, demethoxycurcumin, and bisdemethoxycurcumin by high-speed countercurrent chromatography. J. Agric. Food Chem. 2008, 56, 9328–9336. [Google Scholar] [CrossRef]
- Maisetta, G.; Batoni, G.; Caboni, P.; Esin, S.; Rinaldi, A.C.; Zucca, P. Tannin profile, antioxidant properties, and antimicrobial activity of extracts from two Mediterranean species of parasitic plant Cytinus. BMC Complement. Altern. Med. 2019, 19, 82. [Google Scholar] [CrossRef]
- Ghiamati Yazdi, F.; Soleimanian-Zad, S.; van den Worm, E.; Folkerts, G. Turmeric extract: Potential use as a prebiotic and anti-inflammatory compound? Plant. Foods Hum. Nutr. 2019, 74, 293–299. [Google Scholar] [CrossRef]
- Lu, B.; Chen, X.; Chen, H.; Li, Q.; Li, H.; Xu, Y.; Li, Y.; Shen, X.; Jiang, R. Demethoxycurcumin mitigates inflammatory responses in lumbar disc herniation via MAPK and NF-kappaB pathways in vivo and in vitro. Int. Immunopharmacol. 2022, 108, 108914. [Google Scholar] [CrossRef]
- Jiang, H.; Somogyi, A.; Jacobsen, N.E.; Timmermann, B.N.; Gang, D.R. Analysis of curcuminoids by positive and negative electrospray ionization and tandem mass spectrometry. Rapid Commun. Mass. Spectrom. 2006, 20, 1001–1012. [Google Scholar] [CrossRef]
- Tsai, S.; Huang, S.; Chyau, C.; Tsai, C.; Weng, C.; Mau, J. Composition and antioxidant properties of essential oils from Curcuma rhizome. Asian J. Arts Sci. 2011, 2, 57–66. [Google Scholar]
- Yeh, H.; Chuang, C.; Chen, H.; Wan, C.; Chen, T.; Lin, L. Bioactive components analysis of two various gingers (Zingiber officinale Roscoe) and antioxidant effect of ginger extracts. LWT-Food Sci. Technol. 2014, 55, 329–334. [Google Scholar] [CrossRef]




| Samples | Color | pH | TSS (°Brix) | TA (%) | |||
|---|---|---|---|---|---|---|---|
| L* | a* | b* | ∆E | ||||
| Control | 27.29 ± 0.79 e | −1.73 ± 0.34 e | 4.59 ± 0.49 e | 3.64 ± 0.02 d | 13.10 ± 0.02 a | 0.52 ± 0.02 d | |
| 5%T | 31.86 ± 0.16 d | −0.70 ± 0.05 d | 11.59 ± 0.22 d | 8.43 ± 0.24 d | 3.77 ± 0.01 c | 12.67 ± 0.06 ab | 0.56 ± 0.01 cd | 
| 10%T | 33.54 ± 0.31 c | 1.74 ± 0.06 c | 14.36 ± 0.16 c | 12.11 ± 0.26 c | 3.79 ± 0.01 bc | 12.03 ± 0.64 bc | 0.59 ± 0.01 bc | 
| 15%T | 34.78 ± 0.10 b | 3.97 ± 0.05 b | 15.56 ± 0.10 b | 14.46 ± 0.09 b | 3.81 ± 0.01 b | 11.80 ± 0.35 bc | 0.61 ± 0.02 b | 
| 20%T | 36.29 ± 0.52 a | 5.41 ± 0.10 a | 16.56 ± 0.12 a | 16.61 ± 0.25 a | 3.90 ± 0.01 a | 11.70 ± 0.02 c | 0.67 ± 0.02 a | 
| Average Abundance (Total Ion Current × 106) | |||||||
|---|---|---|---|---|---|---|---|
| Pk# | RT | Compound Name | Control | 5%T | 10%T | 15%T | 20%T | 
| 1 | 3.28 | Methyl butyrate | 2.99 ± 0.17 ab | 3.52 ± 0.43 a | 3.53 ± 0.28 a | 2.57 ± 0.17 b | 2.58 ± 0.19 b | 
| 2 | 4.09 | Methyl 2-methylbutyrate | 7.22 ± 0.40 b | 8.69 ± 0.13 ab | 7.44 ± 0.20 b | 5.57 ± 0.47 c | 5.18 ± 0.40 c | 
| 3 | 5.01 | Furfural | 2.50 ± 0.11 a | 2.52 ± 0.16 a | 2.38 ± 0.13 ab | 2.29 ± 0.05 ab | 2.11 ± 0.06 b | 
| 4 | 6.61 | Methyl hexanoate | 5.41 ± 0.39 a | 4.56 ± 0.14 b | 3.53 ± 0.09 c | 2.55 ± 0.20 d | 2.01 ± 0.20 d | 
| 5 | 6.78 | α-Pinene | ND d | 2.21 ± 0.01 c | 3.19 ± 0.12 c | 4.32 ± 0.36 b | 5.77 ± 0.76 a | 
| 6 | 7.76 | β-Myrcene | ND e | 2.06 ± 0.05 d | 2.97 ± 0.11 c | 3.76 ± 0.16 b | 4.96 ± 0.59 a | 
| 7 | 7.89 | Ethyl hexanoate | 2.76 ± 0.36 a | 2.20 ± 0.09 b | 2.14 ± 0.08 b | 1.90 ± 0.15 b | 1.76 ± 0.02 b | 
| 8 | 8.00 | α-Phellandrene | ND e | 65.03 ± 0.88 d | 91.81 ± 3.97 c | 120.57 ± 9.55 b | 153.56 ± 14.38 a | 
| 9 | 8.10 | 3-Carene | ND e | 1.03 ± 0.04 d | 1.56 ± 0.10 c | 2.14 ± 0.17 b | 2.79 ± 0.30 a | 
| 10 | 8.21 | α-Terpinene | ND e | 2.04 ± 0.14 d | 2.94 ± 0.12 c | 3.66 ± 0.16 b | 4.47 ± 0.36 a | 
| 11 | 8.34 | p-Cymene | ND e | 7.19 ± 0.20 d | 10.27 ± 0.50 c | 13.73 ± 0.99 b | 16.98 ± 0.76 a | 
| 12 | 8.41 | d-Limonene | ND e | 4.35 ± 0.20 d | 6.08 ± 0.23 c | 7.63 ± 0.43 b | 9.47 ± 0.91 a | 
| 13 | 8.46 | Eucalyptol | ND e | 23.12 ± 0.78 d | 40.49 ± 1.07 c | 51.31 ± 3.48 b | 65.67 ± 6.32 a | 
| 14 | 8.91 | γ-Terpinene | ND e | 2.82 ± 0.09 d | 3.79 ± 0.11 c | 4.72 ± 0.28 b | 5.88 ± 0.57 a | 
| 15 | 9.39 | Terpinolene | ND e | 17.28 ± 0.35 d | 24.83 ± 0.82 c | 32.48 ± 2.21 b | 41.01 ± 3.88 a | 
| 16 | 10.80 | 4-Carvomenthenol | ND e | 0.51 ± 0.03 d | 1.00 ± 0.08 c | 1.20 ± 0.06 b | 1.94 ± 0.04 a | 
| 17 | 10.99 | α-Terpineol | ND e | 0.61 ± 0.02 d | 1.17 ± 0.03 c | 1.46 ± 0.09 b | 2.05 ± 0.21 a | 
| 18 | 11.46 | 5-Hydroxymethylfurfural | 5.42 ± 1.73 b | 11.44 ± 2.61 a | 12.38 ± 1.62 a | 10.07 ± 1.02 a | 8.91 ± 0.27 ab | 
| 19 | 14.26 | β-Caryophyllene | ND d | 0.72 ± 0.07 cd | 1.18 ± 0.03 bc | 1.86 ± 0.07 ab | 2.64 ± 0.79 a | 
| 20 | 14.60 | (Z)- β-Farnesene | ND c | 0.41 ± 0.02 c | 0.69 ± 0.04 bc | 1.11 ± 0.05 ab | 1.48 ± 0.57 a | 
| 21 | 14.98 | ar-Curcumene | ND d | 5.24 ± 0.17 cd | 8.19 ± 0.35 bc | 12.30 ± 0.44 ab | 17.51 ± 5.26 a | 
| 22 | 15.14 | α-Zingiberene | ND d | 104.98 ± 2.81 c | 142.89 ± 3.91 bc | 209.75 ± 8.35 ab | 273.72 ± 60.92 a | 
| 23 | 15.29 | β-Bisabolene | ND d | 9.93 ± 0.40 c | 14.21 ± 0.47 bc | 21.32 ± 0.90 ab | 28.99 ± 7.55 a | 
| 24 | 15.49 | β-Sesquiphellandrene | ND d | 43.47 ± 1.21 c | 60.63 ± 2.27 bc | 91.12 ± 3.72 ab | 122.31 ± 30.95 a | 
| 25 | 15.59 | (E)-γ-Bisabolene | ND d | 0.97 ± 0.09 cd | 1.83 ± 0.01 bc | 2.74 ± 0.11 ab | 3.73 ± 1.00 a | 
| 26 | 16.77 | γ-Muurolene | ND c | 5.55 ± 0.68 b | 8.40 ± 0.20 ab | 8.79 ± 0.60 a | 10.16 ± 2.35 a | 
| 27 | 17.15 | ar-Turmerone | ND d | 27.72 ± 2.27 c | 43.88 ± 0.85 b | 52.49 ± 1.57 b | 64.32 ± 8.06 a | 
| 28 | 17.22 | α-Turmerone | ND d | 79.24 ± 4.74 c | 114.15 ± 3.55 bc | 138.56 ± 3.39 ab | 177.39 ± 32.03 a | 
| 29 | 17.58 | β-Turmerone | ND d | 21.26 ± 1.52 c | 32.60 ± 1.19 bc | 40.32 ± 1.28 ab | 53.11 ± 10.74 a | 
| 30 | 18.07 | (6R,7R)-Bisabolone | ND d | 2.63 ± 0.26 c | 4.32 ± 0.20 bc | 5.19 ± 0.25 ab | 6.76 ± 1.58 a | 
| Samples | Total Antioxidant Capacity (Trolox (μM)) | DPPH Assay (%DPPH) | 
|---|---|---|
| Control | 766.13 ± 26.03 b | 71.51 ± 2.66 c | 
| 5%T | 972.38 ± 33.08 a | 82.13 ± 2.15 b | 
| 10%T | 986.94 ± 33.24 a | 87.22 ± 2.53 a | 
| 15%T | 1002.63 ± 28.05 a | 88.79 ± 0.71 a | 
| 20%T | 1032.25 ± 42.35 a | 90.80 ± 0.99 a | 
| Samples | Demethoxycurcumin (mg/L) | Curcumin (mg/L) | 
|---|---|---|
| Control | ND e | ND e | 
| 5%T | 2.38 ± 0.07 d | 19.40 ± 0.56 d | 
| 10%T | 5.63 ± 0.23 c | 30.10 ± 0.64 c | 
| 15%T | 9.97 ± 0.05 b | 41.71 ± 0.16 b | 
| 20%T | 11.85 ± 0.13 a | 47.50 ± 0.39 a | 
| Total Antioxidant Capacity | DPPH Inhibition | |
|---|---|---|
| Demethoxycurcumin | 0.76 * | 0.90 * | 
| Curcumin | 0.87 * | 0.96 * | 
| Flavor | Sweetness | Sourness | Mouthfeel | Aftertaste | Overall Quality | |
|---|---|---|---|---|---|---|
| L | −0.77 | −0.81 | 0.95 * | −0.88 * | 0.95 * | −0.39 | 
| a | −0.89 * | −0.84 | 0.98 * | −0.98 ** | 0.84 | −0.66 | 
| b | −0.72 | −0.77 | 0.93 * | −0.85 | 0.97 ** | −0.30 | 
| pH | −0.74 | −0.78 | 0.89 * | −0.84 | 0.88 * | −0.38 | 
| TSS | 0.79 | 0.78 | −0.98 ** | 0.96 ** | −0.96 * | 0.47 | 
| TA | −0.81 | −0.79 | 0.93 * | −0.92 * | 0.84 | −0.55 | 
| Demethoxycurcumin | −0.91 * | −0.87 | 0.99 ** | −0.96 ** | 0.85 | −0.67 | 
| Curcumin | −0.84 | −0.85 | 0.98 ** | −0.93 * | 0.93 * | −0.51 | 
| Methyl butyrate | 0.83 | 0.70 | −0.60 | 0.60 | −0.17 | 1.00 ** | 
| Methyl 2-methylbutyrate | 0.86 | 0.71 | −0.78 | 0.85 | −0.48 | 0.91 * | 
| Furfural | 0.82 | 0.73 | −0.88 * | 0.94 * | −0.71 | 0.70 | 
| Methyl hexanoate | 0.88 * | 0.85 | −0.99 ** | 0.97 ** | −0.89 * | 0.61 | 
| α-Pinene | −0.84 | −0.84 | 0.96 ** | −0.92 * | 0.89 * | −0.51 | 
| β-Myrcene | −0.81 | −0.83 | 0.96 ** | −0.91 * | 0.91 * | −0.47 | 
| Ethyl hexanoate | 0.81 | 0.86 | −0.94 ** | 0.84 | −0.91 * | 0.43 | 
| α-Phellandrene | −0.82 | −0.84 | 0.96 ** | −0.91 * | 0.91 * | −0.48 | 
| 3-Carene | −0.84 | −0.85 | 0.97 ** | −0.93 * | 0.90 * | −0.53 | 
| α-Terpinene | −0.80 | −0.82 | 0.96 ** | −0.90 * | 0.94 * | −0.44 | 
| p-Cymene | −0.83 | −0.85 | 0.97 ** | −0.91 * | 0.92 * | −0.49 | 
| d-Limonene | −0.80 | −0.83 | 0.96 ** | −0.90 * | 0.93 * | −0.44 | 
| Eucalyptol | −0.82 | −0.82 | 0.97 ** | −0.94 * | 0.92 * | −0.50 | 
| γ-Terpinene | −0.80 | −0.83 | 0.95 * | −0.89 * | 0.93 * | −0.43 | 
| Terpinolene | −0.82 | −0.84 | 0.97 ** | −0.91 * | 0.92 * | −0.48 | 
| 4-Carvomenthenol | −0.80 | −0.77 | 0.93 * | −0.93 * | 0.86 | −0.52 | 
| α-Terpineol | −0.82 | −0.80 | 0.96 ** | −0.95 * | 0.90 * | −0.52 | 
| 5-Hydroxymethylfurfural | −0.05 | −0.22 | 0.38 | −0.27 | 0.72 | 0.45 | 
| β-Caryophyllene | −0.88 | −0.85 | 0.96 * | −0.93 * | 0.84 | −0.61 | 
| (Z)-β-Farnesene | −0.89 * | −0.87 | 0.97 * | −0.94 * | 0.85 | −0.62 | 
| ar-Curcumene | −0.86 | −0.85 | 0.96 * | −0.93 * | 0.85 | −0.59 | 
| α-Zingiberene | −0.86 | −0.87 | 0.97 ** | −0.91 * | 0.88 * | −0.55 | 
| β-Bisabolene | −0.87 | −0.86 | 0.96 ** | −0.92 * | 0.86 | −0.57 | 
| β-Sesquiphellandrene | −0.87 | −0.86 | 0.96 ** | −0.92 * | 0.87 | −0.57 | 
| (E)-γ-Bisabolene | −0.87 | −0.84 | 0.97 ** | −0.95 * | 0.86 | −0.60 | 
| γ-Muurolene | −0.70 | −0.74 | 0.92 * | −0.87 | 0.98 ** | −0.29 | 
| ar-Turmerone | −0.79 | −0.81 | 0.96 ** | −0.92 * | 0.95 * | −0.43 | 
| α-Turmerone | −0.79 | −0.81 | 0.96 * | −0.90 * | 0.93 * | −0.43 | 
| β-Turmerone | −0.81 | −0.82 | 0.96 ** | −0.92 * | 0.92 * | −0.47 | 
| (6R,7R)-Bisabolone | −0.80 | −0.80 | 0.96 ** | −0.93 * | 0.93 * | −0.46 | 
| Disclaimer/Publisher’s Note: The statements, opinions and data contained in all publications are solely those of the individual author(s) and contributor(s) and not of MDPI and/or the editor(s). MDPI and/or the editor(s) disclaim responsibility for any injury to people or property resulting from any ideas, methods, instructions or products referred to in the content. | 
© 2023 by the authors. Licensee MDPI, Basel, Switzerland. This article is an open access article distributed under the terms and conditions of the Creative Commons Attribution (CC BY) license (https://creativecommons.org/licenses/by/4.0/).
Share and Cite
Sun, X.; Follett, P.A.; Wall, M.M.; Duff, K.S.; Wu, X.; Shu, C.; Plotto, A.; Liang, P.; Stockton, D.G. Physical, Chemical, and Sensory Properties of a Turmeric-Fortified Pineapple Juice Beverage. Foods 2023, 12, 2323. https://doi.org/10.3390/foods12122323
Sun X, Follett PA, Wall MM, Duff KS, Wu X, Shu C, Plotto A, Liang P, Stockton DG. Physical, Chemical, and Sensory Properties of a Turmeric-Fortified Pineapple Juice Beverage. Foods. 2023; 12(12):2323. https://doi.org/10.3390/foods12122323
Chicago/Turabian StyleSun, Xiuxiu, Peter A. Follett, Marisa M. Wall, Keegan S. Duff, Xiaohua Wu, Chang Shu, Anne Plotto, Peishih Liang, and Dara G. Stockton. 2023. "Physical, Chemical, and Sensory Properties of a Turmeric-Fortified Pineapple Juice Beverage" Foods 12, no. 12: 2323. https://doi.org/10.3390/foods12122323
APA StyleSun, X., Follett, P. A., Wall, M. M., Duff, K. S., Wu, X., Shu, C., Plotto, A., Liang, P., & Stockton, D. G. (2023). Physical, Chemical, and Sensory Properties of a Turmeric-Fortified Pineapple Juice Beverage. Foods, 12(12), 2323. https://doi.org/10.3390/foods12122323
 
        






 
       