Natural Pectin-Based Edible Composite Coatings with Antifungal Properties to Control Green Mold and Reduce Losses of ‘Valencia’ Oranges
Abstract
:1. Introduction
2. Materials and Methods
2.1. Commercial Essential Oils (EOs) and Natural Extracts
2.2. Fugal Pathogen and Inoculum Preparation
2.3. In Vitro Antifungal Activity of Natural Agents against P. digitatum
2.4. Preparation of Antifungal Edible Coatings
2.5. Fruit
2.6. In Vivo Green Mold Control by Antifungal Coatings
2.7. Effect of Selected Antifungal Coatings on Decay and Quality of Cold-Stored Oranges
2.7.1. Green Mold Control on Cold-Stored Fruit
2.7.2. Quality of Cold-Stored Fruit
2.8. Statistical Analysis
3. Results
3.1. In Vitro Antifungal Activity
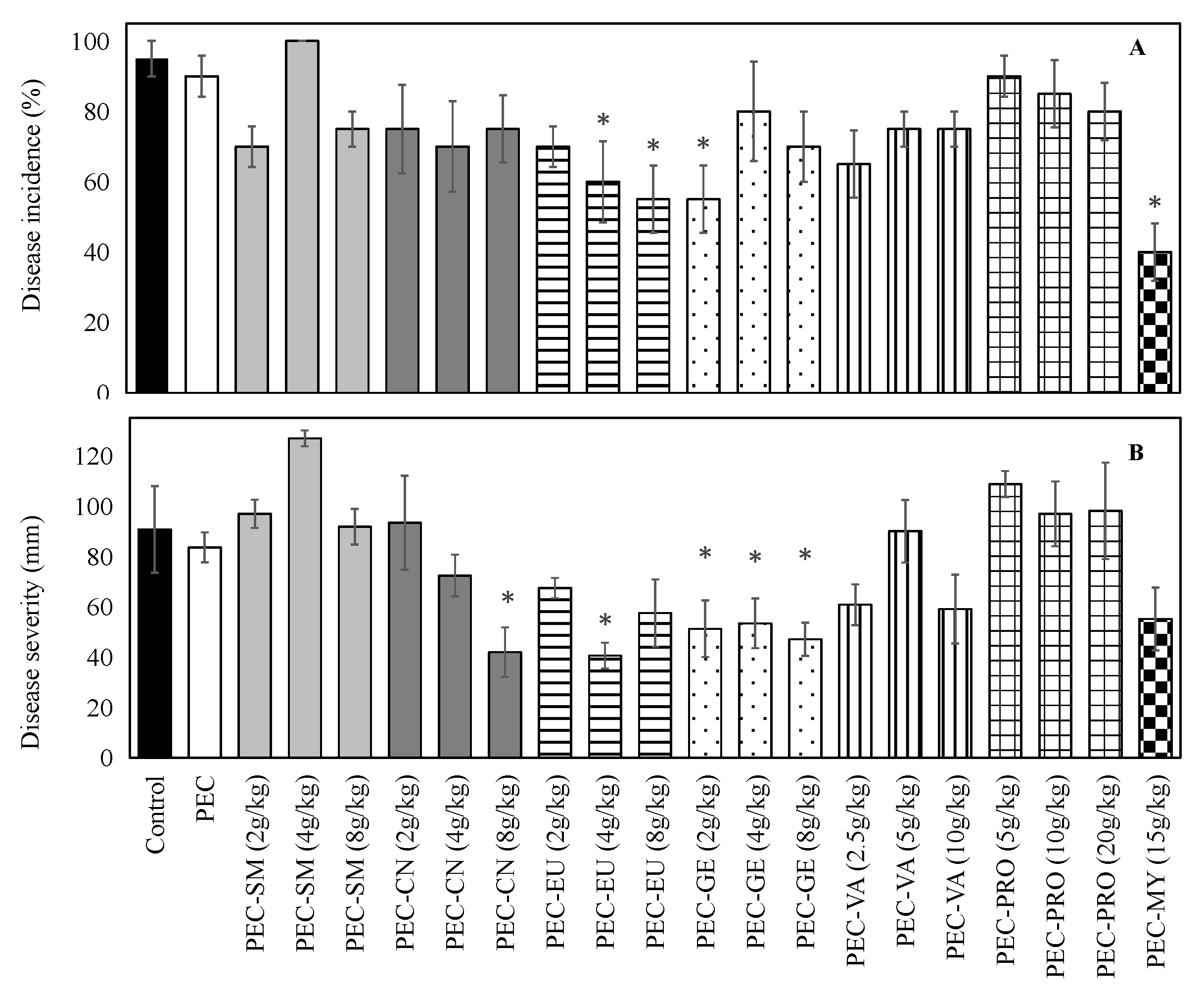
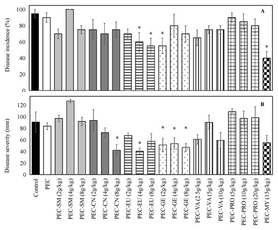
3.2. In Vivo Green Mold Control
3.3. Impact of Selected Coatings on Decay and Quality of Cold-Stored Oranges
3.3.1. Green Mold Control
3.3.2. Physicochemical and Sensory Quality
4. Discussion
5. Conclusions
Author Contributions
Funding
Data Availability Statement
Acknowledgments
Conflicts of Interest
References
- Kharchoufi, S.; Parafati, L.; Licciardello, F.; Muratore, G.; Hamdi, M.; Cirvilleri, G.; Restuccia, C. Edible coatings incorporating pomegranate peel extract and biocontrol yeast to reduce Penicillium digitatum postharvest decay of oranges. Food Microbiol. 2018, 74, 107–112. [Google Scholar] [CrossRef] [PubMed]
- Soto-Muñoz, L.; Martínez-Blay, V.; Pérez-Gago, M.B.; Fernández-Catalán, A.; Argente-Sanchis, M.; Palou, L. Starch-glyceryl monostearate edible coatings formulated with sodium benzoate control postharvest citrus diseases caused by Penicillium digitatum and Penicillium italicum. Phytopathol. Mediterr. 2021, 60, 265–279. [Google Scholar] [CrossRef]
- Papoutsis, K.; Mathioudakis, M.M.; Hasperué, J.H.; Ziogas, V. Non-chemical treatments for preventing the postharvest fungal rotting of citrus caused by Penicillium digitatum (green mold) and Penicillium italicum (blue mold). Trends Food Sci. Technol. 2019, 86, 479–491. [Google Scholar] [CrossRef]
- Palou, L.; Valencia-Chamorro, S.A.; Pérez-Gago, M.B. Antifungal edible coatings for fresh citrus fruit: A review. Coatings 2015, 5, 962–986. [Google Scholar] [CrossRef] [Green Version]
- Panahirad, S.; Dadpour, M.; Peighambardoust, S.H.; Soltanzadeh, M.; Gullón, B.; Alirezalu, K.; Lorenzo, J.M. Applications of carboxymethyl cellulose- and pectin-based active edible coatings in preservation of fruits and vegetables: A review. Trends Food Sci. Technol. 2021, 110, 663–673. [Google Scholar] [CrossRef]
- Duan, X.; OuYang, Q.; Tao, N. Effect of applying cinnamaldehyde incorporated in wax on green mould decay in citrus fruits. J. Sci. Food Agric. 2018, 98, 527–533. [Google Scholar] [CrossRef]
- Guimarães, J.E.R.; de la Fuente, B.; Pérez-Gago, M.B.; Andradas, C.; Carbó, R.; Mattiuz, B.H.; Palou, L. Antifungal activity of GRAS salts against Lasiodiplodia theobromae in vitro and as ingredients of hydroxypropyl methylcellulose-lipid composite edible coatings to control Diplodia stem-end rot and maintain postharvest quality of citrus fruit. Int. J. Food Microbiol. 2019, 301, 9–18. [Google Scholar] [CrossRef]
- Martínez-Blay, V.; Pérez-Gago, M.B.; de la Fuente, B.; Carbó, R.; Palou, L. Edible coatings formulated with antifungal GRAS salts to control citrus anthracnose caused by Colletotrichum gloeosporioides and preserve postharvest fruit quality. Coatings 2020, 10, 730. [Google Scholar] [CrossRef]
- Palou, L.; Ali, A.; Fallik, E.; Romanazzi, G. GRAS, plant- and animal-derived compounds as alternatives to conventional fungicides for the control of postharvest diseases of fresh horticultural produce. Postharvest Biol. Technol. 2016, 122, 41–52. [Google Scholar] [CrossRef]
- Prakash, B.; Singh, P.; Kedia, A.; Dubey, N.K. Assessment of some essential oils as food preservatives based on antifungal, antiaflatoxin, antioxidant activities and in vivo efficacy in food system. Food Res. Int. 2012, 49, 201–208. [Google Scholar] [CrossRef]
- Plaza, P.; Torres, R.; Usall, J.; Lamarca, N.; Viñas, I. Evaluation of the potential of commercial post-harvest application of essential oils to control citrus decay. J. Hortic. Sci. Biotechnol. 2004, 79, 935–940. [Google Scholar] [CrossRef]
- Chen, C.; Cai, N.; Chen, J.; Wan, C. Clove essential oil as an alternative approach to control postharvest blue mold caused by Penicillium italicum in citrus fruit. Biomolecules 2019, 9, 197. [Google Scholar] [CrossRef] [PubMed] [Green Version]
- Regnier, T.; Combrinck, S.; Veldman, W.; Du Plooy, W. Application of essential oils as multi-target fungicides for the control of Geotrichum citri-aurantii and other postharvest pathogens of citrus. Ind. Crops Prod. 2014, 61, 151–159. [Google Scholar] [CrossRef]
- Shao, X.; Cao, B.; Xu, F.; Xie, S.; Yu, D.; Wang, H. Effect of postharvest application of chitosan combined with clove oil against citrus green mold. Postharvest Biol. Technol. 2015, 99, 37–43. [Google Scholar] [CrossRef]
- du Plooy, W.; Regnier, T.; Combrinck, S. Essential oil amended coatings as alternatives to synthetic fungicides in citrus postharvest management. Postharvest Biol. Technol. 2009, 53, 117–122. [Google Scholar] [CrossRef]
- Kamel, H.M. Impact of garlic oil, seaweed extract and imazalil on keeping quality of Valencia orange fruits during cold storage. J. Hortic. Sci. Ornam. Plants 2014, 6, 116–125. [Google Scholar] [CrossRef]
- Yang, S.; Peng, L.; Cheng, Y.; Chen, F.; Pan, S. Control of citrus green and blue molds by Chinese propolis. Food Sci. Biotechnol. 2010, 19, 1303–1308. [Google Scholar] [CrossRef]
- Jhalegar, M.J.; Sharma, R.R.; Singh, D. Antifungal efficacy of botanicals against major postharvest pathogens of Kinnow mandarin and their use to maintain postharvest quality. Fruits 2014, 69, 223–237. [Google Scholar] [CrossRef] [Green Version]
- Matny, O.N. Efficacy evaluation of iraqi propolis against gray mold of stored orange caused by Penicillium digitatum. Plant Pathol. J. 2015, 14, 153–157. [Google Scholar] [CrossRef] [Green Version]
- Fan, F.; Tao, N.; Jia, L.; He, X. Use of citral incorporated in postharvest wax of citrus fruit as a botanical fungicide against Penicillium digitatum. Postharvest Biol. Technol. 2014, 90, 52–55. [Google Scholar] [CrossRef]
- OuYang, Q.; Okwong, R.O.; Chen, Y.; Tao, N. Synergistic activity of cinnamaldehyde and citronellal against green mold in citrus fruit. Postharvest Biol. Technol. 2020, 162, 111095. [Google Scholar] [CrossRef]
- Zeng, R.; Zhang, A.; Chen, J.; Fu, Y. Impact of carboxymethyl cellulose coating enriched with extract of Impatiens balsamina stems on preservation of “Newhall” navel orange. Sci. Hortic. 2013, 160, 44–48. [Google Scholar] [CrossRef]
- Cháfer, M.; Sánchez-González, L.; González-Martínez, C.; Chiralt, A. Fungal decay and shelf life of oranges coated with chitosan and bergamot, thyme, and tea tree essential oils. J. Food Sci. 2012, 77, E182–E187. [Google Scholar] [CrossRef] [PubMed] [Green Version]
- Martínez-Blay, V.; Taberner, V.; Pérez-Gago, M.B.; Palou, L. Control of major citrus postharvest diseases by sulfur-containing food additives. Int. J. Food Microbiol. 2020, 330, 108713. [Google Scholar] [CrossRef] [PubMed]
- Valencia-Chamorro, S.A.; Pérez-Gago, M.B.; del Río, M.A.; Palou, L. Effect of antifungal hydroxypropyl methylcellulose (HPMC)-lipid edible composite coatings on postharvest decay development and quality attributes of cold-stored ‘Valencia’ oranges. Postharvest Biol. Technol. 2009, 54, 72–79. [Google Scholar] [CrossRef]
- Verdeguer, M.; Roselló, J.; Castell, V.; Llorens, J.A.; Santamarina, M.P. Cherry tomato and persimmon kaki conservation with a natural and biodegradable film. Curr. Res. Food Sci. 2020, 2, 33–40. [Google Scholar] [CrossRef]
- Combrinck, S.; Regnier, T.; Kamatou, G.P.P. In vitro activity of eighteen essential oils and some major components against common postharvest fungal pathogens of fruit. Ind. Crops Prod. 2011, 33, 344–349. [Google Scholar] [CrossRef]
- Reygaert, W.C. The antimicrobial possibilities of green tea. Front. Microbiol. 2014, 5, 1–8. [Google Scholar] [CrossRef]
- Romani, A.; Simone, G.; Campo, M.; Moncini, L.; Bernini, R. Sweet chestnut standardized fractions from sustainable circular process and green tea extract: In vitro inhibitory activity against phytopathogenic fungi for innovative applications in green agriculture. PLoS ONE 2021, 16, e0247298. [Google Scholar] [CrossRef]
- Moreno, M.A.; Vallejo, A.M.; Ballester, A.R.; Zampini, C.; Isla, M.I.; López-Rubio, A.; Fabra, M.J. Antifungal edible coatings containing Argentinian propolis extract and their application in raspberries. Food Hydrocoll. 2020, 107, 105973. [Google Scholar] [CrossRef]
- Dudoit, A.; Mertz, C.; Chillet, M.; Cardinault, N.; Brat, P. Antifungal activity of Brazilian red propolis extract and isolation of bioactive fractions by thin-layer chromatography-bioautography. Food Chem. 2020, 327, 127060. [Google Scholar] [CrossRef] [PubMed]
- Rattanapitigorn, P.; Arakawa, M.; Tsuro, M. Vanillin enhances the antifungal effect of plant essential oils against Botrytis cinerea. Int. J. Aromather. 2006, 16, 193–198. [Google Scholar] [CrossRef]
- Valencia-Chamorro, S.A.; Pérez-Gago, M.B.; del Río, M.A.; Palou, L. Curative and preventive activity of hydroxypropyl methylcellulose-lipid edible composite coatings containing antifungal food additives to control citrus postharvest green and blue molds. J. Agric. Food Chem. 2009, 57, 2770–2777. [Google Scholar] [CrossRef] [PubMed]
- Kouassi, K.H.S.; Bajji, M.; Jijakli, H. The control of postharvest blue and green molds of citrus in relation with essential oil-wax formulations, adherence and viscosity. Postharvest Biol. Technol. 2012, 73, 122–128. [Google Scholar] [CrossRef]



| Volatile Exposure Method | Agar Dilution Method | ||||
|---|---|---|---|---|---|
| Natural Agent | Dose (µL) | Mycelial Growth Inhibition (%) | Natural Agent | Dose (g/kg) | Mycelial Growth Inhibition (%) |
| SM | 10 | 98.2 ± 1.1 a | GT | 5.00 | 25.6 ± 0.4 c |
| 20 | 100.0 ± 0.0 a | 10.00 | 58.1 ± 3.9 b | ||
| 40 | 100.0 ± 0.0 a | 20.00 | 76.2 ± 1.0 a | ||
| CN | 10 | 55.7 ± 4.8 b | VA | 0.62 | 82.9 ± 3.2 b |
| 20 | 98.6 ± 1.4 a | 1.25 | 100.0 ± 0.0 a | ||
| 40 | 100.0 ± 0.0 a | 2.50 | 100.0 ± 0.0 a | ||
| LG | 10 | 0.0 ± 0.0 b | MY | 1.25 | 42.3 ± 3.6 a |
| 20 | 1.9 ± 1.5 b | 2.50 | 41.6 ± 0.6 a | ||
| 40 | 49.6 ± 5.9 a | 5.00 | 43.6 ± 0.9 a | ||
| EU | 10 | 91.2 ± 0.5 a | PRO | 5.00 | 100.0 ± 0.0 a |
| 20 | 92.1 ± 2.4 a | 10.00 | 100.0 ± 0.0 a | ||
| 40 | 94.7 ± 1.4 a | ||||
| GE | 10 | 60.3 ± 14.3 b | |||
| 20 | 89.1 ± 0.0 a | ||||
| 40 | 89.9 ± 0.4 a | ||||
| Physicochemical Quality | Storage Conditions (Weeks at 5 °C + 1 Week at 20 °C) | Treatments | |||||
|---|---|---|---|---|---|---|---|
| Control | PEC | PEC-CN | PEC-EU | PEC-GE | PEC-MY | ||
| Firmness (% deformation) | At harvest | 3.01 ± 0.19 | |||||
| 4 weeks at 5 °C | 2.88 ± 0.09 a | 3.01 ± 0.13 a | 2.99 ± 0.18 a | 3.08 ± 0.14 a | 2.95 ± 0.13 a | 3.05 ± 0.14 a | |
| 8 weeks at 5 °C | 3.50 ± 0.20 ab | 4.00 ± 0.20 a | 2.40 ± 0.23 c | 3.33 ± 0.13 b | 3.12 ± 0.20 b | 3.37 ± 0.28 b | |
| Titratable acidity (g/L citric acid) | At harvest | 6.54 ± 0.43 | |||||
| 4 weeks at 5 °C | 6.70 ± 0.55 a | 8.12 ± 0.35 a | 7.58 ± 0.31 a | 8.19 ± 0.46 a | 7.44 ± 0.23 a | 7.13 ± 0.59 a | |
| 8 weeks at 5 °C | 7.17 ± 0.12 bc | 8.90 ± 0.12 a | 8.08 ± 0.52 ab | 7.93 ± 0.42 ab | 6.66 ± 0.26 c | 7.84 ± 0.31 bc | |
| Soluble solids content (°Brix) | At harvest | 10.3 ± 0.1 | |||||
| 4 weeks at 5 °C | 12.0 ± 0.3 a | 11.9 ± 0.1 a | 10.7 ± 0.3 b | 10.9 ± 0.1 b | 11.8 ± 0.0 a | 11.0 ± 0.2 b | |
| 8 weeks at 5 °C | 11.0 ± 0.1 a | 11.2 ± 0.1 a | 10.8 ± 0.2 a | 10.6 ± 0.3 a | 10.1 ± 0.4 a | 11.2 ± 0.5 a | |
| Ethanol (mg/L) | At harvest | 153.6 ± 20.1 | |||||
| 4 weeks at 5 °C | 316.1 ± 14.9 d | 534.2 ± 91.5 bc | 810.2 ± 105.2 a | 712.3 ± 44.7 ab | 544.0 ± 51.5 b | 328.5 ± 57.2 cd | |
| 8 weeks at 5 °C | 434.7 ± 86.9 d | 1039.7 ± 31.0 ab | 1148.9 ± 78.0 a | 905.9 ± 103.4 bc | 747.1 ± 11.6 c | 1011.6 ± 38.8 ab | |
| Acetaldehyde (mg/L) | At harvest | 5.0 ± 0.6 | |||||
| 4 weeks at 5 °C | 10.5 ± 0.5 c | 13.2 ± 1.1 abc | 14.5 ± 0.9 a | 15.0 ± 0.8 a | 13.8 ± 0.7 ab | 11.7 ± 1.2 bc | |
| 8 weeks at 5 °C | 10.5 ± 1.4 b | 18.4 ± 0.3 a | 20.5 ± 0.5 a | 18.6 ± 1.5 a | 19.1 ± 0.4 a | 19.3 ± 0.5 a | |
| Sensory Quality | |||||||
| Overall flavor | At harvest | 7.3 ± 0.3 | |||||
| 4 weeks at 5 °C | 6.8 ± 0.4 ns | 6.6 ± 0.5 | 6.9 ± 0.5 | 6.8 ± 0.3 | 7.0 ± 0.7 | 7.1 ± 0.4 | |
| 8 weeks at 5 °C | 4.4 ± 0.5 ns | 4.9 ± 0.2 | 5.4 ± 0.4 | 4.6 ± 0.4 | 4.0 ± 0.7 | 5.8 ± 0.4 | |
| Off-flavor | At harvest | 1.1 ± 0.1 | |||||
| 4 weeks at 5 °C | 1.2 ± 0.1 ns | 1.1 ± 0.1 | 1.1 ± 0.1 | 1.1 ± 0.1 | 1.1 ± 0.1 | 1.0 ± 0.0 | |
| 8 weeks at 5 °C | 1.8 ± 0.4 ns | 1.8 ± 0.4 | 1.5 ± 0.2 | 1.6 ± 0.3 | 2.0 ± 0.5 | 1.4 ± 0.3 | |
| Visual quality | At harvest | 3.0 ± 0.0 | |||||
| 4 weeks at 5 °C | 3.0 ± 0.0 ns | 3.0 ± 0.0 | 3.0 ± 0.0 | 3.0 ± 0.0 | 3.0 ± 0.0 | 3.0 ± 0.0 | |
| 8 weeks at 5 °C | 2.4 ± 0.2 ns | 2.5 ± 0.3 | 2.6 ± 0.2 | 2.5 ± 0.3 | 2.4 ± 0.3 | 2.4 ± 0.3 | |
| Gloss Rank | Storage Conditions | |
|---|---|---|
| 4 Weeks at 5 °C + 1 Week at 20 °C | 8 Weeks at 5 °C + 1 Week at 20 °C | |
| Glossier | PEC-EU a | PEC-CN ns |
| PEC-GE ab | PEC-EU | |
| PEC-CN abc | Control | |
| PEC-MY bc | PEC-GE | |
| Control bc | PEC-MY | |
| Less glossy | PEC c | PEC |
Publisher’s Note: MDPI stays neutral with regard to jurisdictional claims in published maps and institutional affiliations. |
© 2022 by the authors. Licensee MDPI, Basel, Switzerland. This article is an open access article distributed under the terms and conditions of the Creative Commons Attribution (CC BY) license (https://creativecommons.org/licenses/by/4.0/).
Share and Cite
Alvarez, M.V.; Palou, L.; Taberner, V.; Fernández-Catalán, A.; Argente-Sanchis, M.; Pitta, E.; Pérez-Gago, M.B. Natural Pectin-Based Edible Composite Coatings with Antifungal Properties to Control Green Mold and Reduce Losses of ‘Valencia’ Oranges. Foods 2022, 11, 1083. https://doi.org/10.3390/foods11081083
Alvarez MV, Palou L, Taberner V, Fernández-Catalán A, Argente-Sanchis M, Pitta E, Pérez-Gago MB. Natural Pectin-Based Edible Composite Coatings with Antifungal Properties to Control Green Mold and Reduce Losses of ‘Valencia’ Oranges. Foods. 2022; 11(8):1083. https://doi.org/10.3390/foods11081083
Chicago/Turabian StyleAlvarez, María Victoria, Lluís Palou, Verònica Taberner, Asunción Fernández-Catalán, Maricruz Argente-Sanchis, Eleni Pitta, and María Bernardita Pérez-Gago. 2022. "Natural Pectin-Based Edible Composite Coatings with Antifungal Properties to Control Green Mold and Reduce Losses of ‘Valencia’ Oranges" Foods 11, no. 8: 1083. https://doi.org/10.3390/foods11081083
APA StyleAlvarez, M. V., Palou, L., Taberner, V., Fernández-Catalán, A., Argente-Sanchis, M., Pitta, E., & Pérez-Gago, M. B. (2022). Natural Pectin-Based Edible Composite Coatings with Antifungal Properties to Control Green Mold and Reduce Losses of ‘Valencia’ Oranges. Foods, 11(8), 1083. https://doi.org/10.3390/foods11081083

