Use of Food Spoilage and Safety Predictor for an “A Priori” Modeling of the Growth of Lactic Acid Bacteria in Fermented Smoked Fish Products
Abstract
1. Introduction
2. Materials and Methods
2.1. Software and Design
2.2. Modeling
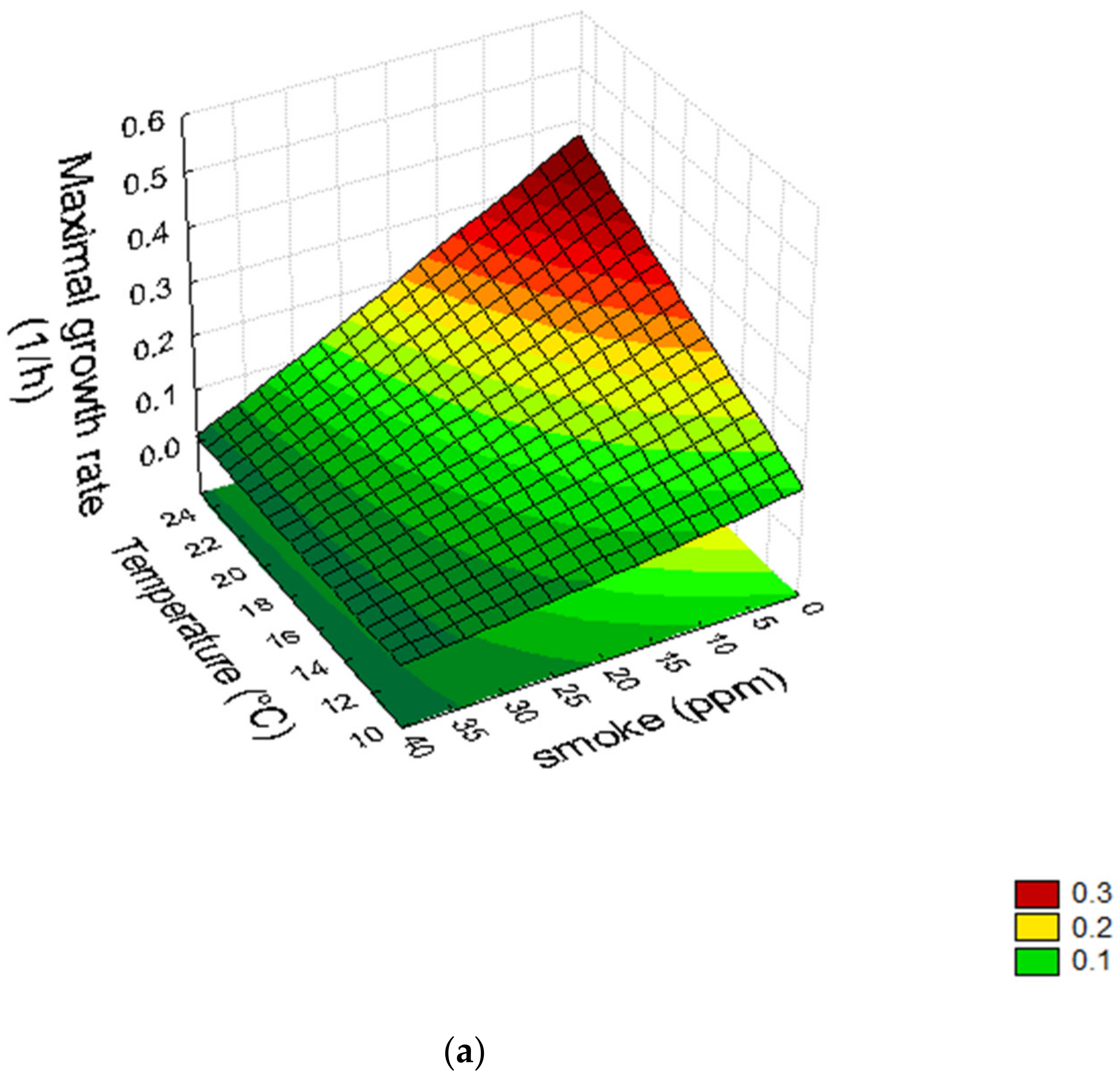
3. Results and Discussion
4. Conclusions
Supplementary Materials
Author Contributions
Funding
Data Availability Statement
Conflicts of Interest
References
- Zang, J.; Xu, Y.; Xia, W.; Regenstein, J.M. Quality, functionality, and microbiology of fermented fish: A review. Crit. Rev. Food Sci. Nut. 2020, 60, 1228–1242. [Google Scholar] [CrossRef] [PubMed]
- Martınez-Alvarez, O.; Lopez-Caballero, M.; Gomez-Guillen, M.; Montero, P. Fermented seafood products and health. In Fermented Foods in Health and Disease Prevention; Frias, J., Martinez-Villaluenga, C., Penãs, E., Eds.; Elsevier: Madrid, Spain, 2016; pp. 177–202. [Google Scholar] [CrossRef]
- Peralta, E.M.; Hatate, H.; Kawabe, D.; Kuwahara, R.; Wakamatsu, S.; Yuki, T.; Murata, H. Improving antioxidant activity and nutritional components of Philippine salt-fermented shrimp paste through prolonged fermentation. Food Chem. 2008, 111, 72–77. [Google Scholar] [CrossRef]
- Irianto, I.H.E. Produk Fermentasi Ikan; Penebar Swadaya Grup: Depok, Indonesia, 2012. [Google Scholar]
- Fujita, H.; Yamagami, T.; Ohshima, K. Effects of an ace-inhibitory agent, Katsuobushi oligopeptide, in the spontaneously hypertensive rat and in borderline and mildly hypertensive subjects1. Nut. Res. 2001, 21, 1149–1158. [Google Scholar] [CrossRef]
- Ichimura, T.; Hu, J.; Aita, D.Q.; Maruyama, S. Angiotensin I converting enzyme inhibitory activity and insulin secretion stimulative activity of fermented fish sauce. J. Biosci. Bioeng. 2003, 96, 496–499. [Google Scholar] [CrossRef]
- Kim, D.C.; Chae, H.J.; In, M.J. Existence of stable fibrin-clotting inhibitor in salt-fermented anchovy sauce. J. Food. Compos. Anal. 2004, 17, 113–118. [Google Scholar] [CrossRef]
- Lee, Y.G.; Lee, K.W.; Kim, J.Y.; Kim, K.H.; Lee, H.J. Induction of apoptosis in a human lymphoma cell line by hydrophobic peptide fraction separated from anchovy sauce. Biofactors 2004, 21, 63–67. [Google Scholar] [CrossRef]
- Je, J.Y.; Park, P.J.; Byun, H.G.; Jung, W.K.; Kim, S.K. Angiotensin I converting enzyme (ACE) inhibitory peptide derived from the sauce of fermented blue mussel, Mytilus edulis. Bioresour. Technol. 2005, 96, 1624–1629. [Google Scholar] [CrossRef]
- Thongthai, C.; Gildberg, A. Asian fish sauce as a source of nutrition. In Asian Functional Foods; Shi, J., Sahidi, F., Ho, C.T., Eds.; Marcel Dekker/CRC Press: Boca Raton, FL, USA, 2005; pp. 215–265. [Google Scholar]
- Duarte, J.; Vinderola, G.; Ritz, B.; Perdigon, G.; Matar, C. Immunomodulating capacity of commercial fish protein hydrolysate for diet supplementation. Immunobiology 2006, 211, 341–350. [Google Scholar] [CrossRef]
- Itou, K.; Nagahashi, R.; Saitou, M.; Akahane, Y. Antihypertensive effect of narezushi, a fermented mackerel product, on spontaneously hypertensive rats. Fish Sci. 2007, 73, 1344. [Google Scholar] [CrossRef]
- Binsan, W.; Benjakul, S.; Visessanguan, W.; Roytrakul, S.; Tanaka, M.; Kishimura, H. Antioxidative activity of Mungoong, an extract paste, from the cephalothorax of white shrimp (Litopenaeus vannamei). Food Chem. 2008, 106, 185–193. [Google Scholar] [CrossRef]
- Faithong, N.; Benjakul, S.; Phatcharat, S.; Binsan, W. Chemical composition and antioxidative activity of Thai traditional fermented shrimp and krill products. Food Chem. 2010, 119, 133–140. [Google Scholar] [CrossRef]
- Kleekayai, T.; Saetae, D.; Wattanachaiyingyong, O.; Tachibana, S.; Yasuda, M.; Suntornsuk, W. Characterization and in vitro biological activities of Thai traditional fermented shrimp pastes. J. Food Sci. Technol. 2014, 52, 1839–1848. [Google Scholar] [CrossRef] [PubMed]
- Rattanachaikunsopon, P.; Phumkhachorn, P. Lactic acid bacteria: Their antimicrobial compounds and their uses in food production. Ann. Biol. Res. 2010, 1, 218–228. [Google Scholar]
- O’Bryan, C.; Crandall, P.; Ricke, S.; Ndahetuye, J. Lactic acid bacteria (LAB) as antimicrobials in food products: Types and mechanisms of action. In Handbook of Natural Antimicrobials for Food Safety and Quality; Taylor, T.M., Ed.; Elsevier: Amsterdam, The Netherlands, 2015; pp. 117–129. [Google Scholar]
- Dittoe, D.K.; Ricke, S.C.; Kiess, A.S. Organic acids and potential for modifying the avian gastrointestinal tract and reducing pathogens and disease. Front. Vet. Sci. 2018, 5, 216. [Google Scholar] [CrossRef]
- Laranjo, M.; Potes, M.E.; Elias, M. Role of Starter Cultures on the Safety of Fermented Meat Products. Front. Microbiol. 2019, 26, 583. [Google Scholar] [CrossRef]
- Pereira, G.V.M.; De Carvalho Neto, D.P.; Junqueira, A.C.D.O.; Karp, S.G.; Letti, L.A.; Magalhães Júnior, A.I.; Soccol, C.R. A review of selection criteria for starter culture development in the food fermentation industry. Food Rev. Int. 2020, 36, 135–167. [Google Scholar] [CrossRef]
- Speranza, B.; Racioppo, A.; Beneduce, L.; Bevilacqua, A.; Sinigaglia, M.; Corbo, M.R. Autochthonous lactic acid bacteria with probiotic aptitudes as starter cultures for fish-based products. Food Microbiol. 2017, 65, 244–253. [Google Scholar] [CrossRef]
- Guillier, L. Predictive microbiology models and operational readiness. Procedia Food Sci. 2016, 7, 133–136. [Google Scholar] [CrossRef][Green Version]
- Speranza, B.; Racioppo, A.; Campaniello, D.; Altieri, C.; Sinigaglia, M.; Corbo, M.R.; Bevilacqua, A. Use of Autochthonous Lactiplantibacillus plantarum Strains to Produce Fermented Fish Products. Front. Microbiol. 2020, 11, 615904. [Google Scholar] [CrossRef]
- Speranza, B.; Bevilacqua, A.; Racioppo, A.; Campaniello, D.; Sinigaglia, M.; Corbo, M.R. Marinated Sea Bream Fillets Enriched with Lactiplantibacillus plantarum and Bifidobacterium animalis subsp. lactis: Brine Optimization and Product Design. Foods 2021, 10, 661. [Google Scholar] [CrossRef]
- Mejlholm, O.; Dalgaard, P. Development and validation of an extensive growth and growth boundary model for psychrotolerant Lactobacillus spp. in seafood and meat products. Int. J. Food Microbiol. 2013, 167, 244–260. [Google Scholar] [CrossRef] [PubMed]
- Dalgaard, P. Qualitative and quantitative characterization of spoilage bacteria from packed fish. Int. J. Food Microbiol. 1995, 26, 319–333. [Google Scholar] [CrossRef]
- Gram, L.; Dalgaard, P. Fish Spoilage Bacteria Problems and Solution. Curr. Opin. Biotechnol. 2002, 13, 262–266. [Google Scholar] [CrossRef]
- Mejlholm, O.; Gunvig, A.; Borggaard, C.; Blom-Hanssen, J.; Mellefont, L.; Ross, T.; Leroi, F.; Else, T.; Visser, D.; Dalgaard, P. Predicting growth rates and growth boundary of Listeria monocytogenes—An international validation study with focus on processed and ready-to-eat meat and seafood. Int. J. Food Microbiol. 2010, 141, 137–150. [Google Scholar] [CrossRef] [PubMed]
- Bolívar, A.; Costa, J.C.C.P.; Posada-Izquierdo, G.D.; Valero, A.; Zurera, G.; Pérez-Rodríguez, F. Modelling the growth of Listeria monocytogenes in Mediterranean fish species from aquaculture production. Int. J. Food Microbiol. 2018, 270, 14–21. [Google Scholar] [CrossRef]
- Borch, E.; Kant-Muermans, M.-L.; Blixt, Y. Bacterial spoilage of meat and cured meat products. Int. J. Food Microbiol. 1996, 33, 103–120. [Google Scholar] [CrossRef]
- Zhou, Y.; Wu, S.; Peng, Y.; Jin, Y.; Xu, D.; Xu, X. Effect of lactic acid bacteria on mackerel (Pneumatophorus japonicus) seasoning quality and flavor during fermentation. Food Biosci. 2021, 41, 100971. [Google Scholar] [CrossRef]
- McKellar, R.C.; Lu, X. Modeling Microbial Responses in Foods, 1st ed.; CRC Press: Boca Raton, FL, USA, 2003. [Google Scholar] [CrossRef]
- Baranyi, J.; Roberts, T.A. A dynamic approach to predicting bacterial growth in food. Int J. Food Microbiol. 1994, 23, 277–294. [Google Scholar] [CrossRef]
- Le Marc, Y.; Valík, L.; Medveďová, A. Modelling the effect of the starter culture on the growth of Staphylococcus aureus in milk. Int. J. Food Microbiol. 2009, 129, 306–311. [Google Scholar] [CrossRef]
- Bevilacqua, A.; Corbo, M.R.; Sinigaglia, M. Design of Experiments: A powerful tool in Food Microbiology. In Current Research, Technology and Education Topics in Applied Microbiology and Microbial Biotechnology; Microbiology Book Series; Mendez-Vilas, A., Ed.; Formatex Research Center: Badajoz, Spain, 2010; pp. 1419–1429. [Google Scholar]
- Giménez, B.; Dalgaard, P. Modelling and predicting the simultaneous growth of Listeria monocytogenes and spoilage micro-organisms in cold-smoked salmon. J. Appl. Microbiol. 2004, 96, 96–109. [Google Scholar] [CrossRef]
- Mejlholm, O.; Dalgaard, P. Modeling and predicting the growth of lactic acid bacteria in lightly preserved seafood and their inhibiting effect on Listeria monocytogenes. J. Food Prot. 2007, 70, 2485–2497. [Google Scholar] [CrossRef] [PubMed]
- Vermeulen, A.; Devlieghere, F.; De Loy-Hendricks, A.; Uyttendaele, M. Critical evaluation of the EU-technical guidance on shelf-life studies for Listeria monocytogenes on RTE-foods: A case study for smoked salmon. Int. J. Food Microbiol. 2011, 145, 176–185. [Google Scholar] [CrossRef] [PubMed]
- Speranza, B.; Bevilacqua, A.; Corbo, M.R.; Sinigaglia, M. A possible approach to assess acidification of meat starter cultures: A case study for some wild strains of Lactobacillus plantarum. J. Sci. Food Agric. 2017, 97, 2691–2698. [Google Scholar] [CrossRef] [PubMed]
- Gardini, F.; Özogul, Y.; Suzzi, G.; Tabanelli, G.; Özogul, F. Technological factors affecting biogenic amine content in food: A review. Front. Microbiol. 2016, 7, 1218. [Google Scholar] [CrossRef]
- Codex Alimentarius. Standard for Smoked Fish, Smoke-Flavoured Fish and Smoke-Dried Fish; FAO: Rome, Italy, 2013; pp. 1–7. Available online: https://www.fao.org/fao-who-codexalimentarius (accessed on 7 June 2021).
- Belichovska, K.; Belichovska, D.; Pejkovski, Z. Smoke and Smoked Fish Production. Meat Technol. 2019, 60, 37–43. [Google Scholar] [CrossRef]
- Utomo, B.S.B.; Singgih, W.; Tri Nugroho, W. Asap Cair: Cara Membuat & Aplikasinya Pada Pengolahan Ikan Asap; Penebar Swadaya Group: Depok, Indonesia, 2012. [Google Scholar]
- Lokollo, E.; Apituley, D.A.N.; Nendissa, D.M. Pengolahan ikan cakalang (Katsuwonus pelamis) asap dengan menggunakan teknologi asap cair. J. Commun. Serv. 2012, 1, 165–169. [Google Scholar]
- Rakhmayeni, D.A.; Yuniarti, T.; Sukarno, S. Application of liquid smoke from coconut shell in tandipang (Dussumeiria acutta) smoked fish to extend shelf life. J. Ilm. Perikan. Kelaut. 2020, 12, 315–323. [Google Scholar] [CrossRef]
- Hokkanen, M.; Luhtasela, U.; Kostamo, P.; Ritvanen, T.; Peltonen, K.; Jestoi, M. Critical effects of smoking parameters on the levels of polycyclic aromatic hydrocarbons in traditionally smoked fish and meat products in Finland. J. Chem. 2018, 2018, 2160958. [Google Scholar] [CrossRef]





| −1 | 0 | +1 | |
|---|---|---|---|
| RTL (days) | 0 | 2 | 4 |
| Temperature (°C) | 10 | 17.5 | 25 |
| NaCl (%) | 0 | 3 | 6 |
| pH | 5 | 6 | 7 |
| Smoke (ppm) | 0 | 20 | 40 |
| CO2 (%) | 0 | 15 | 30 |
| Nitrite (ppm) | 0 | 75 | 150 |
| μmax | tcrit | |
|---|---|---|
| (1) RTL (L) | - * | 5.030 |
| RTL (Q) | - | - |
| (2) T (L) | 29.729 | −7.516 |
| T (Q) | - | −3.191 |
| (3) NaCl (L) | −17.806 | - |
| NaCl (Q) | - | - |
| (4) pH (L) | 3.109 | - |
| pH (Q) | 2.455 | - |
| (5) Smoke (L) | −48.844 | 8.146 |
| smoke (Q) | - | −5.215 |
| (6) CO2 (L) | −2.502 | - |
| CO2 (Q) | - | - |
| (7) nit (L) | −2.943 | - |
| nit (Q) | - | - |
| 1L by 2L | - | −4.980 |
| 1L by 3L | - | - |
| 1L by 4L | - | - |
| 1L by 5L | - | 5.023 |
| 1L by 6L | - | - |
| 1L by 7L | - | - |
| 2L by 3L | −10.036 | - |
| 2L by 4L | - | - |
| 2L by 5L | −24.746 | −8.288 |
| 2L by 6L | - | - |
| 2L by 7L | - | - |
| 3L by 4L | −2.843 | - |
| 3L by 5L | 14.087 | - |
| μmax | tcrit | |
| 3L by 6L | - | - |
| 3L by 7L | - | - |
| 4L by 5L | −4.546 | - |
| 4L by 6L | - | - |
| 4L by 7L | - | - |
| 5L by 6L | - | - |
| 5L by 7L | 2.378 | - |
| 6L by 7L | - | - |
| R2ad | 0.947 | 0.551 |
Publisher’s Note: MDPI stays neutral with regard to jurisdictional claims in published maps and institutional affiliations. |
© 2022 by the authors. Licensee MDPI, Basel, Switzerland. This article is an open access article distributed under the terms and conditions of the Creative Commons Attribution (CC BY) license (https://creativecommons.org/licenses/by/4.0/).
Share and Cite
Racioppo, A.; Campaniello, D.; Sinigaglia, M.; Bevilacqua, A.; Speranza, B.; Corbo, M.R. Use of Food Spoilage and Safety Predictor for an “A Priori” Modeling of the Growth of Lactic Acid Bacteria in Fermented Smoked Fish Products. Foods 2022, 11, 946. https://doi.org/10.3390/foods11070946
Racioppo A, Campaniello D, Sinigaglia M, Bevilacqua A, Speranza B, Corbo MR. Use of Food Spoilage and Safety Predictor for an “A Priori” Modeling of the Growth of Lactic Acid Bacteria in Fermented Smoked Fish Products. Foods. 2022; 11(7):946. https://doi.org/10.3390/foods11070946
Chicago/Turabian StyleRacioppo, Angela, Daniela Campaniello, Milena Sinigaglia, Antonio Bevilacqua, Barbara Speranza, and Maria Rosaria Corbo. 2022. "Use of Food Spoilage and Safety Predictor for an “A Priori” Modeling of the Growth of Lactic Acid Bacteria in Fermented Smoked Fish Products" Foods 11, no. 7: 946. https://doi.org/10.3390/foods11070946
APA StyleRacioppo, A., Campaniello, D., Sinigaglia, M., Bevilacqua, A., Speranza, B., & Corbo, M. R. (2022). Use of Food Spoilage and Safety Predictor for an “A Priori” Modeling of the Growth of Lactic Acid Bacteria in Fermented Smoked Fish Products. Foods, 11(7), 946. https://doi.org/10.3390/foods11070946

