Multi-Analytical Approach to Study Fresh-Cut Apples Vacuum Impregnated with Different Solutions
Abstract
:1. Introduction
2. Materials and Methods
2.1. Raw Materials
2.2. Solutions for Impregnation
2.3. Vacuum Impregnation Procedure
2.4. Analytical Methods
2.4.1. Physico-Chemical Parameters
2.4.2. Color
2.4.3. Texture
2.4.4. Metabolic Heat Production
2.4.5. Respiration Rate
2.5. Microscopic Analysis
2.5.1. Fluorescein Diacetate (FDA) Staining
2.5.2. Methylene Blue Staining
2.6. Time-Domain Nuclear Magnetic Resonance (TD-NMR)
2.7. Statistical Analysis
3. Results and Discussion
3.1. Physico-Chemical Parameters
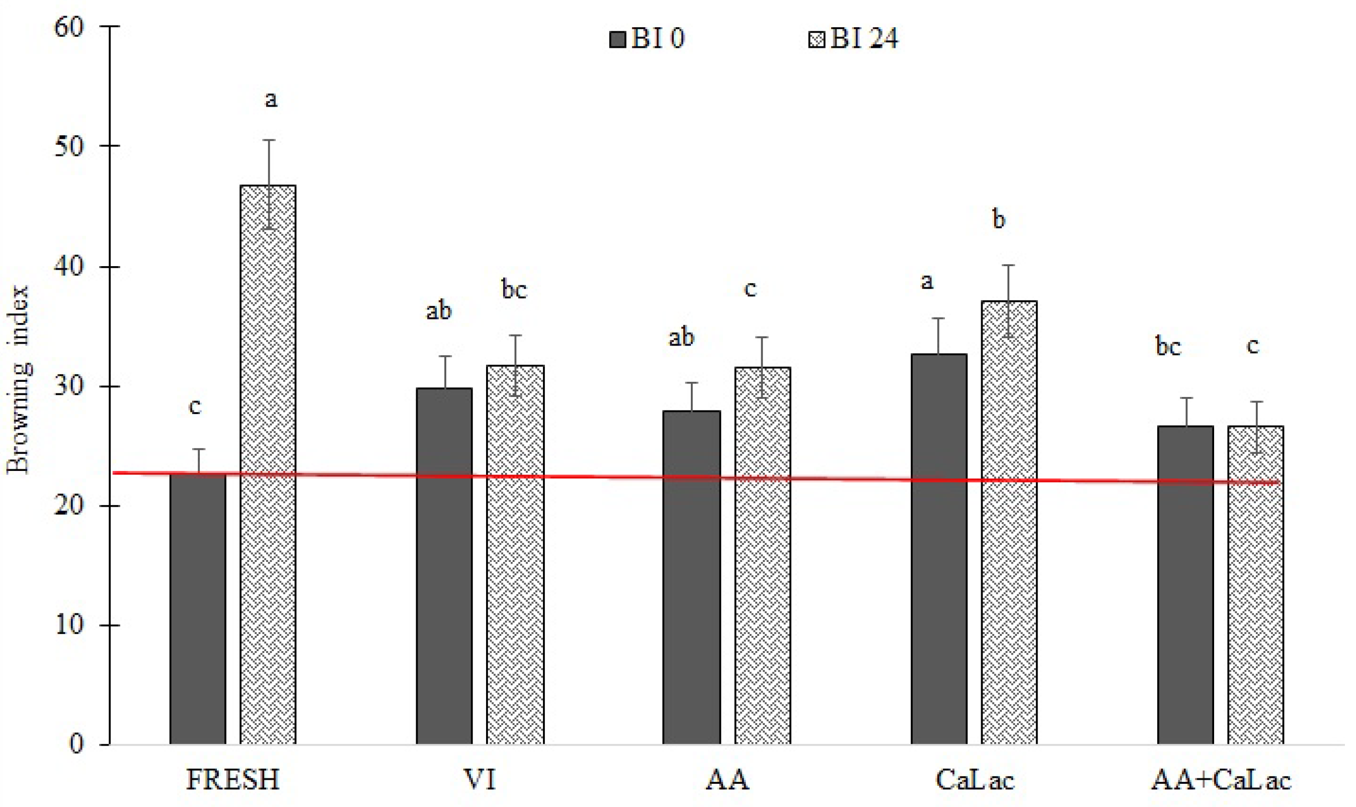
3.2. Color and Texture Parameters
3.3. Microscopic Analysis
3.4. Metabolic Heat Production and Respiration Rate
3.5. Time-Domain Nuclear Magnetic Resonance (TD-NMR)
4. Conclusions
Author Contributions
Funding
Institutional Review Board Statement
Informed Consent Statement
Data Availability Statement
Conflicts of Interest
References
- Señorans, F.J.; Ibáñez, E.; Cifuentes, A. New Trends in Food Processing. Crit. Rev. Food Sci. Nutr. 2003, 43, 507–526. [Google Scholar] [CrossRef] [PubMed]
- Velickova, E.; Winkelhausen, E.; Kuzmanova, S. Physical and Sensory Properties of Ready to Eat Apple Chips Produced by Osmo-Convective Drying. J. Food Sci. Technol. 2014, 51, 3691–3701. [Google Scholar] [CrossRef] [PubMed]
- Alves, M.M.; Gonçalves, M.P.; Rocha, C.M.R. Effect of Ferulic Acid on the Performance of Soy Protein Isolate-Based Edible Coatings Applied to Fresh-Cut Apples. LWT-Food Sci. Technol. 2017, 80, 409–415. [Google Scholar] [CrossRef]
- Akman, P.K.; Uysal, E.; Ozkaya, G.U.; Tornuk, F.; Durak, M.Z. Development of Probiotic Carrier Dried Apples for Consumption as Snack Food with the Impregnation of Lactobacillus Paracasei. LWT 2019, 103, 60–68. [Google Scholar] [CrossRef]
- Yan, S.; Luo, Y.; Zhou, B.; Ingram, D.T. Dual Effectiveness of Ascorbic Acid and Ethanol Combined Treatment to Inhibit Browning and Inactivate Pathogens on Fresh-Cut Apples. LWT-Food Sci. Technol. 2017, 80, 311–320. [Google Scholar] [CrossRef]
- Barrett, D.M.; Beaulieu, J.C.; Shewfelt, R. Color, Flavor, Texture, and Nutritional Quality of Fresh-Cut Fruits and Vegetables: Desirable Levels, Instrumental and Sensory Measurement, and the Effects of Processing. Crit. Rev. Food Sci. Nutr. 2010, 50, 369–389. [Google Scholar] [CrossRef] [PubMed]
- Li, Y.; Wills, R.B.H.; Golding, J.B. Sodium Chloride, a Cost Effective Partial Replacement of Calcium Ascorbate and Ascorbic Acid to Inhibit Surface Browning on Fresh-Cut Apple Slices. LWT-Food Sci. Technol. 2015, 64, 503–507. [Google Scholar] [CrossRef]
- Koushesh Saba, M.; Sogvar, O.B. Combination of Carboxymethyl Cellulose-Based Coatings with Calcium and Ascorbic Acid Impacts in Browning and Quality of Fresh-Cut Apples. LWT-Food Sci. Technol. 2016, 66, 165–171. [Google Scholar] [CrossRef]
- Ma, L.; Zhang, M.; Bhandari, B.; Gao, Z. Recent Developments in Novel Shelf Life Extension Technologies of Fresh-Cut Fruits and Vegetables. Trends Food Sci. Technol. 2017, 64, 23–28. [Google Scholar] [CrossRef]
- Rico, D.; Martín-Diana, A.B.; Barat, J.M.; Barry-Ryan, C. Extending and Measuring the Quality of Fresh-Cut Fruit and Vegetables: A Review. Trends Food Sci. Technol. 2007, 18, 373–386. [Google Scholar] [CrossRef]
- Buta, J.G.; Moline, H.E.; Spaulding, D.W.; Wang, C.Y. Extending Storage Life of Fresh-Cut Apples Using Natural Products and Their Derivatives. J. Agric. Food Chem. 1999, 47, 1–6. [Google Scholar] [CrossRef]
- Anino, S.V.; Salvatori, D.M.; Alzamora, S.M. Changes in Calcium Level and Mechanical Properties of Apple Tissue Due to Impregnation with Calcium Salts. Food Res. Int. 2006, 39, 154–164. [Google Scholar] [CrossRef]
- Mauro, M.A.; Dellarosa, N.; Tylewicz, U.; Tappi, S.; Laghi, L.; Rocculi, P.; Rosa, M.D. Calcium and Ascorbic Acid Affect Cellular Structure and Water Mobility in Apple Tissue during Osmotic Dehydration in Sucrose Solutions. Food Chem. 2016, 195, 19–28. [Google Scholar] [CrossRef] [PubMed]
- Tappi, S.; Mauro, M.A.; Tylewicz, U.; Dellarosa, N.; Dalla Rosa, M.; Rocculi, P. Effects of Calcium Lactate and Ascorbic Acid on Osmotic Dehydration Kinetics and Metabolic Profile of Apples. Food Bioprod. Process. 2017, 103, 1–9. [Google Scholar] [CrossRef]
- Assis, F.R.; Rodrigues, L.G.G.; Tribuzi, G.; de Souza, P.G.; Carciofi, B.A.M.; Laurindo, J.B. Fortified Apple (Malus Spp., Var. Fuji) Snacks by Vacuum Impregnation of Calcium Lactate and Convective Drying. LWT 2019, 113, 108298. [Google Scholar] [CrossRef]
- Fito, P.; Andrés, A.; Chiralt, A.; Pardo, P. Coupling of Hydrodynamic Mechanism and Deformation-Relaxation Phenomena during Vacuum Treatments in Solid Porous Food-Liquid Systems. J. Food Eng. 1996, 27, 229–240. [Google Scholar] [CrossRef]
- Fernández, P.R.; Mascheroni, R.H.; Ramallo, L.A. Ascorbic Acid and Calcium Uptake in Pineapple Tissue through Different Sucrose Concentrations of Impregnation Solution. J. Food Eng. 2019, 261, 150–157. [Google Scholar] [CrossRef]
- Abalos, R.A.; Naef, E.F.; Aviles, M.V.; Gómez, M.B. Vacuum Impregnation: A Methodology for the Preparation of a Ready-to-Eat Sweet Potato Enriched in Polyphenols. LWT 2020, 131, 109773. [Google Scholar] [CrossRef]
- Gras, M.L.; Vidal, D.; Betoret, N.; Chiralt, A.; Fito, P. Calcium Fortification of Vegetables by Vacuum Impregnation: Interactions with Cellular Matrix. J. Food Eng. 2003, 56, 279–284. [Google Scholar] [CrossRef]
- Xie, J.; Zhao, Y. Nutritional Enrichment of Fresh Apple (Royal Gala) by Vacuum Impregnation. Int. J. Food Sci. Nutr. 2003, 54, 387–398. [Google Scholar] [CrossRef] [PubMed]
- Ponappa, T.; Scheerens, J.C.; Miller, A.R. Vacuum Infiltration of Polyamines Increases Firmness of Strawberry Slices Under Various Storage Conditions. J. Food Sci. 1993, 58, 361–364. [Google Scholar] [CrossRef]
- Perez-Cabrera, L.; Chafer, M.; Chiralt, A.; Gonzalez-Martinez, C. Effectiveness of Antibrowning Agents Applied by Vacuum Impregnation on Minimally Processed Pear. LWT-Food Sci. Technol. 2011, 44, 2273–2280. [Google Scholar] [CrossRef]
- Degraeve, P.; Saurel, R.; Coutel, Y. Vacuum Impregnation Pretreatment with Pectinmethylesterase to Improve Firmness of Pasteurized Fruits. J. Food Sci. 2003, 68, 716–721. [Google Scholar] [CrossRef]
- Rocculi, P.; Panarese, V.; Tylewicz, U.; Santagapita, P.; Cocci, E.; Gómez Galindo, F.; Romani, S.; Dalla Rosa, M. The Potential Role of Isothermal Calorimetry in Studies of the Stability of Fresh-Cut Fruits. LWT-Food Sci. Technol. 2012, 49, 320–323. [Google Scholar] [CrossRef]
- Hills, B.P.; Duce, S.L. The Influence of Chemical and Diffusive Exchange on Water Proton Transverse Relaxation in Plant Tissues. Magn. Reson. Imaging 1990, 8, 321–331. [Google Scholar] [CrossRef]
- Panarese, V.; Laghi, L.; Pisi, A.; Tylewicz, U.; Rosa, M.D.; Rocculi, P. Effect of Osmotic Dehydration on Actinidia Deliciosa Kiwifruit: A Combined NMR and Ultrastructural Study. Food Chem. 2012, 132, 1706–1712. [Google Scholar] [CrossRef]
- Tylewicz, U.; Panarese, V.; Laghi, L.; Rocculi, P.; Nowacka, M.; Placucci, G.; Rosa, M.D. NMR and DSC Water Study During Osmotic Dehydration of Actinidia Deliciosa and Actinidia Chinensis Kiwifruit. Food Biophys. 2011, 6, 327–333. [Google Scholar] [CrossRef]
- Dellarosa, N.; Ragni, L.; Laghi, L.; Tylewicz, U.; Rocculi, P.; Dalla Rosa, M. Time Domain Nuclear Magnetic Resonance to Monitor Mass Transfer Mechanisms in Apple Tissue Promoted by Osmotic Dehydration Combined with Pulsed Electric Fields. Innov. Food Sci. Emerg. Technol. 2016, 37, 345–351. [Google Scholar] [CrossRef]
- Nowacka, M.; Tylewicz, U.; Laghi, L.; Dalla Rosa, M.; Witrowa-Rajchert, D. Effect of Ultrasound Treatment on the Water State in Kiwifruit during Osmotic Dehydration. Food Chem. 2014, 144, 18–25. [Google Scholar] [CrossRef]
- Cheng, X.F.; Zhang, M.; Adhikari, B.; Islam, M.N. Effect of Power Ultrasound and Pulsed Vacuum Treatments on the Dehydration Kinetics, Distribution, and Status of Water in Osmotically Dehydrated Strawberry: A Combined NMR and DSC Study. Food Bioprocess Technol. 2014, 7, 2782–2792. [Google Scholar] [CrossRef]
- Tylewicz, U.; Lundin, P.; Cocola, L.; Dymek, K.; Rocculi, P.; Svanberg, S.; Dejmek, P.; Gómez Galindo, F. Gas in Scattering Media Absorption Spectroscopy (GASMAS) Detected Persistent Vacuum in Apple Tissue After Vacuum Impregnation. Food Biophys. 2012, 7, 28–34. [Google Scholar] [CrossRef]
- Jalaee, F.; Fazeli, A.; Fatemian, H.; Tavakolipour, H. Mass Transfer Coefficient and the Characteristics of Coated Apples in Osmotic Dehydrating. Food Bioprod. Process. 2011, 89, 367–374. [Google Scholar] [CrossRef]
- Wadsö, L.; Gómez Galindo, F. Isothermal Calorimetry for Biological Applications in Food Science and Technology. Food Control 2009, 20, 956–961. [Google Scholar] [CrossRef]
- Galindo, F.G.; Toledo, R.T.; Sjöholm, I. Tissue Damage in Heated Carrot Slices. Comparing Mild Hot Water Blanching and Infrared Heating. J. Food Eng. 2005, 67, 381–385. [Google Scholar] [CrossRef]
- Scott, J.E. Conn’s Biological Stains. A Handbook of Dyes, Stains and Flurochromes for Use in Biology and Medicine. J. Anat. 2003, 203, 433. [Google Scholar] [CrossRef]
- Tappi, S.; Tylewicz, U.; Romani, S.; Siroli, L.; Patrignani, F.; Dalla Rosa, M.; Rocculi, P. Optimization of Vacuum Impregnation with Calcium Lactate of Minimally Processed Melon and Shelf-Life Study in Real Storage Conditions. J. Food Sci. 2016, 81, E2734–E2742. [Google Scholar] [CrossRef] [PubMed]
- Traffano-Schiffo, M.V.; Laghi, L.; Castro-Giraldez, M.; Tylewicz, U.; Rocculi, P.; Ragni, L.; Dalla Rosa, M.; Fito, P.J. Osmotic Dehydration of Organic Kiwifruit Pre-Treated by Pulsed Electric Fields and Monitored by NMR. Food Chem. 2017, 236, 87–93. [Google Scholar] [CrossRef]
- Muntada, V.; Gerschenson, L.N.; Alzamora, S.M.; Castro, M.A. Solute Infusion Effects on Texture of Minimally Processed Kiwifruit. J. Food Sci. 1998, 63, 616–620. [Google Scholar] [CrossRef]
- Salvatori, D.M.; González-Fesler, M.; Weisstaub, A.; Portela, M.L.; Alzamora, S.M. Uptake Kinetics and Absorption of Calcium in Apple Matrices. Food Sci. Technol. Int. 2007, 13, 333–340. [Google Scholar] [CrossRef]
- Tappi, S.; Tylewicz, U.; Romani, S.; Dalla Rosa, M.; Rizzi, F.; Rocculi, P. Study on the Quality and Stability of Minimally Processed Apples Impregnated with Green Tea Polyphenols during Storage. Innov. Food Sci. Emerg. Technol. 2017, 39, 148–155. [Google Scholar] [CrossRef]
- Landim, A.P.M.; Barbosa, M.I.M.J.; Júnior, J.L.B. Influence of Osmotic Dehydration on Bioactive Compounds, Antioxidant Capacity, Color and Texture of Fruits and Vegetables: A Review. Ciência Rural 2016, 46, 1714–1722. [Google Scholar] [CrossRef]
- Chen, C.; Trezza, T.A.; Wong, D.W.S.; Camirand, W.M.; Pavlath, A.E. Methods for Preserving Fresh Fruit and Product Thereof. USDA patent No. 5,939,117, 17 August 1999. [Google Scholar]
- Aguayo, E.; Requejo-Jackman, C.; Stanley, R.; Woolf, A. Effects of Calcium Ascorbate Treatments and Storage Atmosphere on Antioxidant Activity and Quality of Fresh-Cut Apple Slices. Postharvest Biol. Technol. 2010, 57, 52–60. [Google Scholar] [CrossRef]
- Tardelli, F.; Guidi, L.; Massai, R.; Toivonen, P.M. Effects of 1-Methylcyclopropene and Post-Controlled Atmosphere Air Storage Treatments on Fresh-Cut Ambrosia Apple Slices. J. Sci. Food Agric. 2013, 93, 262–270. [Google Scholar] [CrossRef]
- Martín-Diana, A.B.; Rico, D.; Frías, J.M.; Barat, J.M.; Henehan, G.T.M.; Barry-Ryan, C. Calcium for Extending the Shelf Life of Fresh Whole and Minimally Processed Fruits and Vegetables: A Review. Trends Food Sci. Technol. 2007, 18, 210–218. [Google Scholar] [CrossRef]
- Luna-Guzmán, I.; Barrett, D.M. Comparison of Calcium Chloride and Calcium Lactate Effectiveness in Maintaining Shelf Stability and Quality of Fresh-Cut Cantaloupes. Postharvest Biol. Technol. 2000, 19, 61–72. [Google Scholar] [CrossRef]
- Tappi, S.; Ragni, L.; Tylewicz, U.; Romani, S.; Ramazzina, I.; Rocculi, P. Browning Response of Fresh-Cut Apples of Different Cultivars to Cold Gas Plasma Treatment. Innov. Food Sci. Emerg. Technol. 2019, 53, 56–62. [Google Scholar] [CrossRef]
- Velickova, E.; Tylewicz, U.; Dalla Rosa, M.; Winkelhausen, E.; Kuzmanova, S.; Romani, S. Effect of Pulsed Electric Field Coupled with Vacuum Infusion on Quality Parameters of Frozen/Thawed Strawberries. J. Food Eng. 2018, 233, 57–64. [Google Scholar] [CrossRef]
- Tylewicz, U.; Romani, S.; Widell, S.; Gmez Galindo, F. Induction of Vesicle Formation by Exposing Apple Tissue to Vacuum Impregnation. Food Bioprocess Technol. 2013, 6, 1099–1104. [Google Scholar] [CrossRef]
- Panarese, V.; Dejmek, P.; Rocculi, P.; Gómez Galindo, F. Microscopic Studies Providing Insight into the Mechanisms of Mass Transfer in Vacuum Impregnation. Innov. Food Sci. Emerg. Technol. 2013, 18, 169–176. [Google Scholar] [CrossRef]
- Martín-Diana, A.B.; Rico, D.; Frías, J.; Henehan, G.T.M.; Mulcahy, J.; Barat, J.M.; Barry-Ryan, C. Effect of Calcium Lactate and Heat-Shock on Texture in Fresh-Cut Lettuce during Storage. J. Food Eng. 2006, 77, 1069–1077. [Google Scholar] [CrossRef]
- Zemke-White, W.L.; Clements, K.D.; Harris, P.J. Acid Lysis of Macroalgae by Marine Herbivorous Fishes: Effects of Acid PH on Cell Wall Porosity. J. Exp. Mar. Biol. Ecol. 2000, 245, 57–68. [Google Scholar] [CrossRef]
- Qian, H.F.; Peng, X.F.; Han, X.; Ren, J.; Zhan, K.Y.; Zhu, M. The Stress Factor, Exogenous Ascorbic Acid, Affects Plant Growth and the Antioxidant System in Arabidopsis Thaliana. Russ. J. Plant Physiol. 2014, 61, 467–475. [Google Scholar] [CrossRef]
- Panarese, V.; Rocculi, P.; Baldi, E.; Wadsö, L.; Rasmusson, A.G.; Gómez Galindo, F. Vacuum Impregnation Modulates the Metabolic Activity of Spinach Leaves. Innov. Food Sci. Emerg. Technol. 2014, 26, 286–293. [Google Scholar] [CrossRef]
- Yusof, N.L.; Wadsö, L.; Rasmusson, A.G.; Gómez Galindo, F. Influence of Vacuum Impregnation with Different Substances on the Metabolic Heat Production and Sugar Metabolism of Spinach Leaves. Food Bioprocess Technol. 2017, 10, 1907–1917. [Google Scholar] [CrossRef]
- Igual, M.; Castelló, M.L.; Ortolá, M.D.; Andrés, A. Influence of Vacuum Impregnation on Respiration Rate, Mechanical and Optical Properties of Cut Persimmon. J. Food Eng. 2008, 86, 315–323. [Google Scholar] [CrossRef]
- Dellarosa, N.; Laghi, L.; Ragni, L.; Dalla Rosa, M.; Galante, A.; Ranieri, B.; Florio, T.M.; Alecci, M. Pulsed Electric Fields Processing of Apple Tissue: Spatial Distribution of Electroporation by Means of Magnetic Resonance Imaging and Computer Vision System. Innov. Food Sci. Emerg. Technol. 2018, 47, 120–126. [Google Scholar] [CrossRef]
- Dymek, K.; Panarese, V.; Herremans, E.; Cantre, D.; Schoo, R.; Toraño, J.S.; Schluepmann, H.; Wadso, L.; Verboven, P.; Nicolai, B.M.; et al. Investigation of the Metabolic Consequences of Impregnating Spinach Leaves with Trehalose and Applying a Pulsed Electric Field. Bioelectrochemistry 2016, 112, 153–157. [Google Scholar] [CrossRef]






| Samples | CaLac (g/100 g) | AA (g/100 g) |
|---|---|---|
| FRESH | Control sample | |
| VI | VI sample with isotonic solution | |
| AA | 0 | 1 |
| CaLac | 2 | 0 |
| AA+CaLac | 2 | 1 |
| Solution | pH | SSC (Brix°) | Density (kg/m3) | Viscosity (cP) |
|---|---|---|---|---|
| Isotonic | 7.2 ± 0.1 a | 13.10 ± 0.01 d | 1.058 ± 0.003 b | 1.47 ± 0.01 d |
| AA | 2.5 ± 0.1 d | 14.00 ± 0.01 c | 1.059 ± 0.006 b | 1.52 ± 0.01 c |
| CaLac | 6.8 ± 0.1 b | 14.50 ± 0.01 b | 1.067 ± 0.002 ab | 1.62 ± 0.02 b |
| AA+CaLac | 4.0 ± 0.1 c | 15.60 ± 0.01 a | 1.074 ± 0.004 a | 1.74 ± 0.01 a |
| Sample | Weight Gain (%) | Dry Matter (g/100 g) | SSC (° Brix) | pH |
|---|---|---|---|---|
| Immediately after treatment (0 h) | ||||
| FRESH | - | 9.8 ± 0.7 ab | 13.2 ± 0.3 a | 3.4 ± 0.01 c |
| VI | 23.4 ± 0.5 a | 11.2 ± 0.2 a | 13.4 ± 0.1 a | 3.3 ± 0.03 c |
| AA | 20.1 ± 3.6 a | 7.5 ± 1.6 b | 14.2 ± 1.1 a | 3.4 ± 0.06 c |
| CaLac | 21.5 ± 5.2 a | 9.9 ± 0.6 ab | 13.6 ± 0.6 a | 3.9 ± 0.02 a |
| AA+CaLac | 20.8 ± 1.3 a | 7.9 ± 1.3 b | 14.2 ± 1.3 a | 3.8 ± 0.06 b |
| After 24 h | ||||
| FRESH | 9.9 ± 1.6 ab | 13.8 ± 0.5 ab | 3.5 ± 0.05 c | |
| VI | 11.6 ± 0.3 a | 13.1 ± 0.1 b | 3.4 ± 0.05 c | |
| AA | 8.9 ± 0.8 b | 14.2 ± 0.7 ab | 3.4 ± 0.04 c | |
| CaLac | 9.5 ± 0.3 ab | 14.0 ± 0.1 ab | 3.9 ± 0.02 a | |
| AA+CaLac | 10.7 ± 0.0 ab | 14.6 ± 0.3 a | 3.8 ± 0.02 b | |
| Sample | L | a | b |
|---|---|---|---|
| Immediately after treatment (0 h) | |||
| FRESH | 70.7 ± 1.7 a | −1.07 ± 0.15 d | 15.1 ± 1.2 b |
| VI | 49.7 ± 1.8 cd | −0.55 ± 0.16 c | 13.5 ± 0.7 cd |
| AA | 49.3 ± 2.3 cde | −1.28 ± 0.21 de | 13.1 ± 2.2 cd |
| CaLac | 48.4 ± 2.4 cdef | −0.26 ± 0.395 b | 13.7 ± 1.6 bcd |
| AA+CaLac | 50.0 ± 1.8 c | −1.17 ± 0.22 de | 12.7 ± 0.9 d |
| After 24 h | |||
| FRESH | 65.2 ± 1.1 b | 2.9 ± 0.2 a | 24.1 ± 1.3 a |
| VI | 47.8 ± 1.6 cdef | 0.01 ± 0.11 b | 13.1 ± 0.9 cd |
| AA | 46.8 ± 1.4 ef | −0.97 ± 0.25 cde | 13.5 ± 1.8 cd |
| CaLac | 47.0 ± 2.6 f | −0.03 ± 0.37 b | 14.8 ± 2.1 bc |
| AA+CaLac | 47.1 ± 1.8 def | −1.37 ± 0.150 e | 12.1 ± 0.6 d |
| Sample | 0 h | 24 h | ||
|---|---|---|---|---|
| Vacuoles | Cytoplasm/ Extracellular Space | Vacuoles | Cytoplasm/ Extracellular Space | |
| Peak intensity (a.u.) | ||||
| FRESH | 65 ± 5 a | 35 ± 4 bc | 70 ± 2 a | 30 ± 3 c |
| VI | 63 ± 1 ab | 37 ± 1 ab | 62 ± 2 b | 38 ± 2 b |
| AA | 60 ± 2 b | 40 ± 2 a | 58 ± 1 c | 42 ± 1 a |
| CaLac | 66 ± 2 a | 33 ± 2 c | 68 ± 1 a | 32 ± 2 c |
| AA+CaLac | 61 ± 2 b | 39 ± 2 a | 61 ± 2 b | 39 ± 1 ab |
| T2 (ms) | ||||
| FRESH | 1231 ± 20 d | 302 ± 16 b | 1284 ± 54 b | 309 ± 19 b |
| VI | 1459 ± 25 ab | 298 ± 10 b | 1279 ± 45 b | 320 ± 10 b |
| AA | 1422 ± 47 b | 272 ± 16 c | 1256 ± 74 b | 277 ± 11 bc |
| CaLac | 1514 ± 58 a | 369 ± 12 a | 1479 ± 31 a | 371 ± 9 a |
| AA+CaLac | 1347 ± 48 c | 276 ± 9 c | 1234 ± 34 b | 39 ± 1 ab |
Publisher’s Note: MDPI stays neutral with regard to jurisdictional claims in published maps and institutional affiliations. |
© 2022 by the authors. Licensee MDPI, Basel, Switzerland. This article is an open access article distributed under the terms and conditions of the Creative Commons Attribution (CC BY) license (https://creativecommons.org/licenses/by/4.0/).
Share and Cite
Tappi, S.; Velickova, E.; Mannozzi, C.; Tylewicz, U.; Laghi, L.; Rocculi, P. Multi-Analytical Approach to Study Fresh-Cut Apples Vacuum Impregnated with Different Solutions. Foods 2022, 11, 488. https://doi.org/10.3390/foods11030488
Tappi S, Velickova E, Mannozzi C, Tylewicz U, Laghi L, Rocculi P. Multi-Analytical Approach to Study Fresh-Cut Apples Vacuum Impregnated with Different Solutions. Foods. 2022; 11(3):488. https://doi.org/10.3390/foods11030488
Chicago/Turabian StyleTappi, Silvia, Elena Velickova, Cinzia Mannozzi, Urszula Tylewicz, Luca Laghi, and Pietro Rocculi. 2022. "Multi-Analytical Approach to Study Fresh-Cut Apples Vacuum Impregnated with Different Solutions" Foods 11, no. 3: 488. https://doi.org/10.3390/foods11030488
APA StyleTappi, S., Velickova, E., Mannozzi, C., Tylewicz, U., Laghi, L., & Rocculi, P. (2022). Multi-Analytical Approach to Study Fresh-Cut Apples Vacuum Impregnated with Different Solutions. Foods, 11(3), 488. https://doi.org/10.3390/foods11030488

