Plant and Dairy-Based Yogurts: A Comparison of Consumer Sensory Acceptability Linked to Textural Analysis
Abstract
:1. Introduction
2. Materials and Methods
2.1. Experimental Overview
- (a)
- Consumer-guided selection of available yogurt formulations using perceptual mapping (Section 2.2).
- (b)
- Rheological and microstructural analysis of test dairy and plant formulations identified in (a) (Section 2.3).
- (c)
- Blind consumer sensory analysis comparing dairy yogurts with the plant-based formulations identified in (a) (Section 2.4).
2.2. Selection of Test Formulations by Perceptual Mapping
2.2.1. Product Classification and Stimuli Selection
2.2.2. Focus Group Panels and Facilitation
2.2.3. Perceptual Mapping
2.2.4. Yogurt Descriptor Mapping
2.2.5. Analysis of Results, Selection of Top Descriptors and Test Formulations
2.3. Functional Properties of Yogurt Samples
2.3.1. Rheological and Textural Properties
2.3.2. Microstructure Analysis
2.4. Quantitative Sensory Analysis
2.4.1. Participants
2.4.2. Samples
2.4.3. Data Collection
2.5. Statistical Analysis
3. Results
3.1. Insights Generated from Preliminary Qualitative Study
- (a)
- Group A (Treat or dessert): The market has a high number of these products. These are sweet and indulgent products containing added sugar, fruits, and other flavorings.
- (b)
- Group B (Mid-morning snack): These are typically yogurts without any flavors or fruits, labeled with perceived health benefits, such as low sugar, low fat, lactose-free or probiotics.
- (c)
- Group C (Breakfast): A strong sour after-taste of the yogurt is considered an attribute that reinforces the perception of healthiness. These typically require an additional component (e.g., cereal or fruit) for consumption to mitigate the sour after-taste, resulting in a ritual type of behaviour.
- (d)
- Group D (Drinkable): An additional group, specific to Asian consumers, was identified for consumption after dinner or before bed.
3.2. Perceptual Mapping of Yogurts
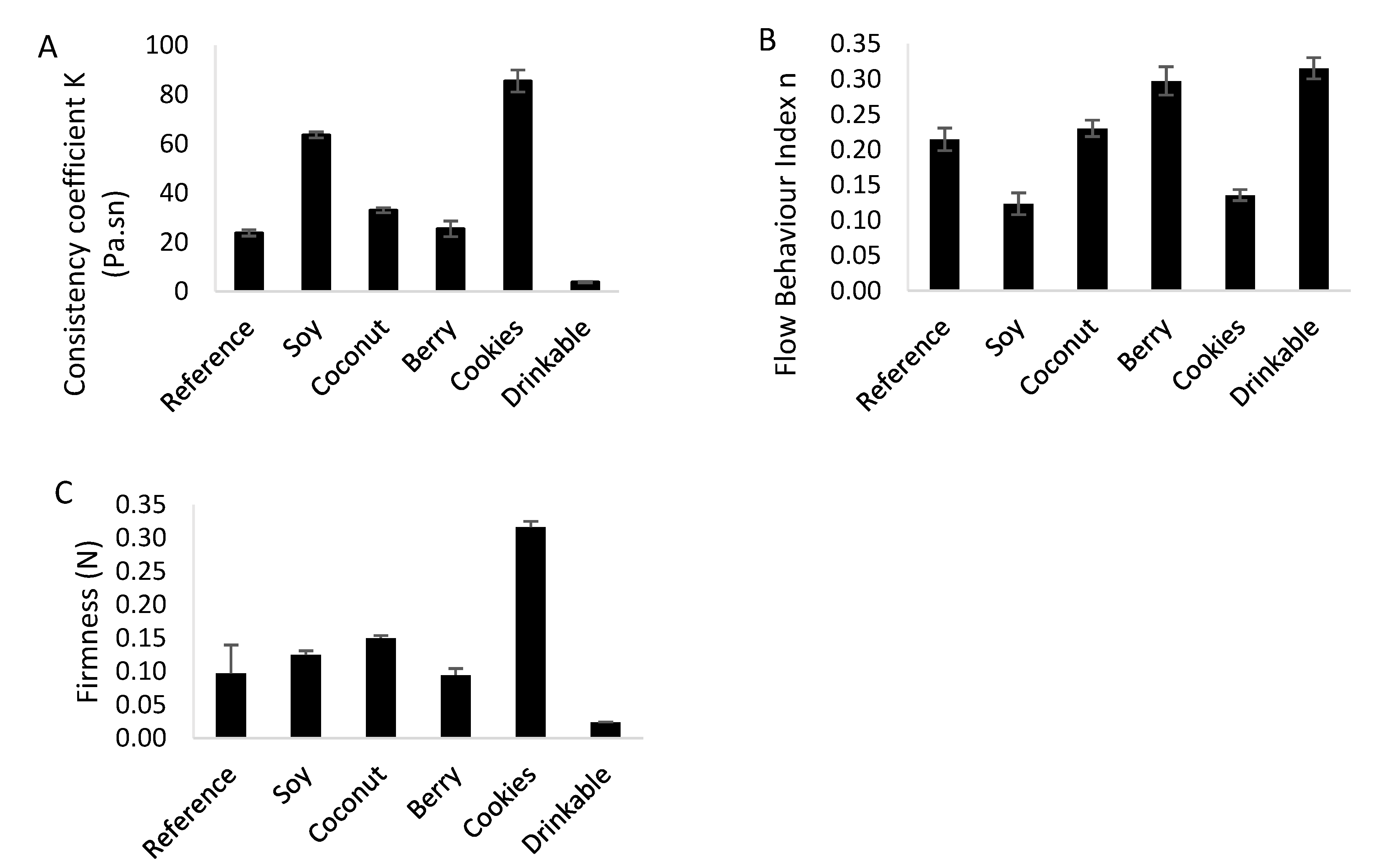
3.3. Differences in Yogurt Composition, Microstructure and Texture
3.4. Differences in Acceptability of the Samples
3.5. Effect of Overall Liking on Mouthfeel
3.6. Effect of Overall Liking on Emotions and Product Attributes
3.7. Comparing Rheology with Sensory Properties
4. Discussion
4.1. Sensory Attributes
4.2. Functional Attributes
4.3. Relationship between the Sensory and Textural Attributes
5. Conclusions
6. Limitations and Future Research
Supplementary Materials
Author Contributions
Funding
Institutional Review Board Statement
Informed Consent Statement
Data Availability Statement
Acknowledgments
Conflicts of Interest
References
- UN. Growing at a Slower Pace, World Population Is Expected to Reach 9.7 Billion in 2050 and Could Peak at Nearly 11 Billion around 2100. Available online: https://www.un.org/development/desa/en/news/population/world-population-prospects-2019.html (accessed on 14 August 2021).
- FIAL. Protein Market: Size of Prize Analysis for Australia. Available online: https://www.fial.com.au/blogs/post/protein-market-size-of-the-prize-analysis-for-australia (accessed on 13 July 2021).
- Clune, S.; Crossin, E.; Verghese, K. Systematic review of greenhouse gas emissions for different fresh food categories. J. Clean. Prod. 2017, 140, 766–783. [Google Scholar] [CrossRef] [Green Version]
- Aleksandrowicz, L.; Green, R.; Joy, E.J.; Smith, P.; Haines, A. The Impacts of Dietary Change on Greenhouse Gas Emissions, Land Use, Water Use, and Health: A Systematic Review. PLoS ONE 2016, 11, e0165797. [Google Scholar] [CrossRef] [PubMed] [Green Version]
- Nadathur, S.; Wanasundara, J.P.; Scanlin, L. Sustainable Protein Sources; Academic Press: Cambridge, MA, USA, 2016. [Google Scholar]
- Grocer, P. Category Spotlight: Plant-Based Yogurt. Available online: https://progressivegrocer.com/category-spotlight-plant-based-yogurt (accessed on 31 March 2021).
- Admassu, S.; Fox, T.; Heath, R.; McRobert, K. The Changing Landscape of Protein Production: Opportunities and Challenges for Australian Agriculture; AgriFutures Australia: Wagga, NSW, Australia, 2020. [Google Scholar]
- Jeske, S.; Zannini, E.; Arendt, E.K. Past, present and future: The strength of plant-based dairy substitutes based on gluten-free raw materials. Food Res. Int. 2018, 110, 42–51. [Google Scholar] [CrossRef] [PubMed]
- Fisberg, M.; Machado, R. History of yogurt and current patterns of consumption. Nutr. Rev. 2015, 73 (Suppl. 1), 4–7. [Google Scholar] [CrossRef] [PubMed] [Green Version]
- Lee, W.J.; Lucey, J.A. Structure and Physical Properties of Yogurt Gels: Effect of Inoculation Rate and Incubation Temperature. J. Dairy Sci. 2004, 87, 3153–3164. [Google Scholar] [CrossRef]
- Yang, X.; Ke, C.; Li, L. Physicochemical, rheological and digestive characteristics of soy protein isolate gel induced by lactic acid bacteria. J. Food Eng. 2021, 292, 110243. [Google Scholar] [CrossRef]
- Donkor, O.N.; Henriksson, A.; Vasiljevic, T.; Shah, N.P. Rheological Properties and Sensory Characteristics of Set-Type Soy Yogurt. J. Agric. Food Chem. 2007, 55, 9868–9876. [Google Scholar] [CrossRef]
- Hickisch, A.; Beer, R.; Vogel, R.F.; Toelstede, S. Influence of lupin-based milk alternative heat treatment and exopolysaccharide-producing lactic acid bacteria on the physical characteristics of lupin-based yogurt alternatives. Food Res. Int. 2016, 84, 180–188. [Google Scholar] [CrossRef]
- Brückner-Gühmann, M.; Benthin, A.; Drusch, S. Enrichment of yoghurt with oat protein fractions: Structure formation, textural properties and sensory evaluation. Food Hydrocoll. 2019, 86, 146–153. [Google Scholar] [CrossRef]
- Ben-Harb, S.; Panouillé, M.; Huc-Mathis, D.; Moulin, G.; Saint-Eve, A.; Irlinger, F.; Bonnarme, P.; Michon, C.; Souchon, I. The rheological and microstructural properties of pea, milk, mixed pea/milk gels and gelled emulsions designed by thermal, acid, and enzyme treatments. Food Hydrocoll. 2018, 77, 75–84. [Google Scholar] [CrossRef]
- Lorusso, A.; Coda, R.; Montemurro, M.; Rizzello, C.G. Use of Selected Lactic Acid Bacteria and Quinoa Flour for Manufacturing Novel Yogurt-Like Beverages. Foods 2018, 7, 51. [Google Scholar] [CrossRef] [PubMed] [Green Version]
- Mousavi, M.; Heshmati, A.; Daraei Garmakhany, A.; Vahidinia, A.; Taheri, M. Texture and sensory characterization of functional yogurt supplemented with flaxseed during cold storage. Food Sci. Nutr. 2019, 7, 907–917. [Google Scholar] [CrossRef] [PubMed] [Green Version]
- Greis, M.; Sainio, T.; Katina, K.; Kinchla, A.J.; Nolden, A.; Partanen, R.; Seppä, L. Dynamic texture perception in plant-based yogurt alternatives: Identifying temporal drivers of liking by TDS. Food Qual. Prefer. 2020, 86, 104019. [Google Scholar] [CrossRef]
- Grasso, N.; Alonso-Miravalles, L.; O’Mahony, J.A. Composition, Physicochemical and Sensorial Properties of Commercial Plant-Based Yogurts. Foods 2020, 9, 252. [Google Scholar] [CrossRef] [Green Version]
- Joel, N. Development and Comparative Evaluation of Storage Changes in Probiotic Soy-Yoghurt. J. Microbiol. Biotechnol. Food Sci. 2019, 9, 298–301. [Google Scholar] [CrossRef]
- Janiaski, D.R.; Pimentel, T.C.; Cruz, A.G.; Prudencio, S.H. Strawberry-flavored yogurts and whey beverages: What is the sensory profile of the ideal product? J. Dairy Sci. 2016, 99, 5273–5283. [Google Scholar] [CrossRef]
- Masia, C.; Geppel, A.; Jensen, P.E.; Buldo, P. Effect of Lactobacillus rhamnosus on Physicochemical Properties of Fermented Plant-Based Raw Materials. Foods 2021, 10, 573. [Google Scholar] [CrossRef]
- Torrico, D.D.; Tam, J.; Fuentes, S.; Gonzalez Viejo, C.; Dunshea, F.R. D-Tagatose as a Sucrose Substitute and Its Effect on the Physico-Chemical Properties and Acceptability of Strawberry-Flavored Yogurt. Foods 2019, 8, 256. [Google Scholar] [CrossRef] [Green Version]
- Sim, S.Y.J.; Hua, X.Y.; Henry, C.J. A Novel Approach to Structure Plant-Based Yogurts Using High Pressure Processing. Foods 2020, 9, 1126. [Google Scholar] [CrossRef]
- Szczesniak, A.S. Texture is a sensory property. Food Qual. Prefer. 2002, 13, 215–225. [Google Scholar] [CrossRef]
- Hastie, M.; Ashman, H.; Torrico, D.; Ha, M.; Warner, R. A Mixed Method Approach for the Investigation of Consumer Responses to Sheepmeat and Beef. Foods 2020, 9, 126. [Google Scholar] [CrossRef] [PubMed] [Green Version]
- Lopetcharat, K.; Beckley, J. Qualitative Multivariate Analysis. In Product Innovation Toolbox: A Field Guide to Consumer Understanding and Research; Beckley, J.H., Paredes, D., Lopetcharat, K., Eds.; John Wiley & Sons: Hoboken, NJ, USA, 2012. [Google Scholar]
- Sifferlin, A. How People around the World Eat Their Yogurt. Available online: https://time.com/3716717/global-greek-yogurt-preferences/ (accessed on 6 May 2021).
- Fernandez, M.A.; Marette, A. Potential Health Benefits of Combining Yogurt and Fruits Based on Their Probiotic and Prebiotic Properties. Adv. Nutr. 2017, 8, 155S–164S. [Google Scholar] [CrossRef] [PubMed]
- Nguyen, H.T.H.; Ong, L.; Kentish, S.E.; Gras, S.L. Homogenisation improves the microstructure, syneresis and rheological properties of buffalo yoghurt. Int. Dairy J. 2015, 46, 78–87. [Google Scholar] [CrossRef] [Green Version]
- Nguyen, H.T.H.; Ong, L.; Lefèvre, C.; Kentish, S.E.; Gras, S.L. The Microstructure and Physicochemical Properties of Probiotic Buffalo Yoghurt During Fermentation and Storage: A Comparison with Bovine Yoghurt. Food Bioprocess. Technol. 2013, 7, 937–953. [Google Scholar] [CrossRef]
- Fuentes, S.; Gonzalez Viejo, C.; Torrico, D.D.; Dunshea, F.R. Development of a Biosensory Computer Application to Assess Physiological and Emotional Responses from Sensory Panelists. Sensors 2018, 18, 2958. [Google Scholar] [CrossRef] [PubMed] [Green Version]
- Peryam, D.R.; Pilgrim, F.J. Hedonic scale method of measuring food preferences. Food Technol. 1957, 11, 9–14. [Google Scholar]
- Rothman, L. 17—The use of just-about-right (JAR) scales in food product development and reformulation. In Consumer-Led Food Product Development; MacFie, H., Ed.; Woodhead Publishing: Cambridge, UK, 2007; pp. 407–433. [Google Scholar] [CrossRef]
- Ares, G.; Jaeger, S.R. Check-all-that-apply questions: Influence of attribute order on sensory product characterization. Food Qual. Prefer. 2013, 28, 141–153. [Google Scholar] [CrossRef]
- Lee, W.J.; Lucey, J.A. Impact of Gelation Conditions and Structural Breakdown on the Physical and Sensory Properties of Stirred Yogurts. J. Dairy Sci. 2006, 89, 2374–2385. [Google Scholar] [CrossRef]
- Prescott, J.; Bell, G. Cross-cultural determinants of food acceptability: Recent research on sensory perceptions and preferences. Trends Food Sci. Technol. 1995, 6, 201–205. [Google Scholar] [CrossRef]
- O’Sullivan, M.G. Sensory Affective (Hedonic) Testing. In A Handbook for Sensory and Consumer-Driven New Product Development; Elsevier: Amsterdam, The Netherlands, 2017; pp. 39–57. [Google Scholar] [CrossRef]
- Lopez-Sobaler, A.M.; Cuadrado Soto, E.; Salas Gonzalez, M.f.; Peral Suarez, A.; Jimenez Ortega, A.I.; Ortega, R.M. Role of yogurt in children’s breakfast. Nutr. Hosp. 2019, 36, 40–43. [Google Scholar] [CrossRef]
- Skibniewska, K.A.; Zakrzewski, J.; Siemianowska, E.; Polak-Juszczak, L.; Aljewicz, M. Calcium availability from yogurt by itself or yogurt-cereal-containing products. J. Toxicol. Environ. Health A 2010, 73, 1150–1154. [Google Scholar] [CrossRef] [PubMed]
- Nielsen, B. Drinkable Yogurt among Fastest Growing Breakfast Trends. Available online: https://www.grandecig.com/blog/2016-food-trends-drinkable-yogurt-on-the-rise (accessed on 30 June 2021).
- Esmerino, E.A.; Ferraz, J.P.; Filho, E.R.T.; Pinto, L.P.F.; Freitas, M.Q.; Cruz, A.G.; Bolini, H.M.A. Consumers’ perceptions toward 3 different fermented dairy products: Insights from focus groups, word association, and projective mapping. J. Dairy Sci. 2017, 100, 8849–8860. [Google Scholar] [CrossRef] [PubMed] [Green Version]
- Ares, G.; Barreiro, C.; Deliza, R.; GimÉNez, A.N.A.; GÁMbaro, A. Application of a Check-All-That-Apply Question to the Development of Chocolate Milk Desserts. J. Sens. Stud. 2010, 25, 67–86. [Google Scholar] [CrossRef]
- Bruzzone, F.; Ares, G.; GimÉNez, A.N.A. Consumers’ Texture Perception of Milk Desserts. Ii-Comparison with Trained Assessors’ Data. J. Texture Stud. 2012, 43, 214–226. [Google Scholar] [CrossRef]
- Fang, T.; Shen, X.; Hou, J.; Guo, M. Effects of polymerized whey protein prepared directly from cheese whey as fat replacer on physiochemical, texture, microstructure and sensory properties of low-fat set yogurt. Lwt 2019, 115, 108268. [Google Scholar] [CrossRef]
- Johansen, S.B.; Naes, T.; Hersleth, M. Motivation for choice and healthiness perception of calorie-reduced dairy products. a cross-cultural study. Appetite 2011, 56, 15–24. [Google Scholar] [CrossRef]
- Patterson, N.J.; Sadler, M.J.; Cooper, J.M. Consumer understanding of sugars claims on food and drink products. Nutr. Bull. 2012, 37, 121–130. [Google Scholar] [CrossRef] [Green Version]
- Askew, K. Shifting away from Sugar: What’s the Outlook in 2020? Available online: https://www.foodnavigator.com/Article/2020/01/15/Shifting-away-from-sugar-What-s-the-outlook-in-2020 (accessed on 30 June 2021).
- Morell, P.; Hernando, I.; Llorca, E.; Fiszman, S. Yogurts with an increased protein content and physically modified starch: Rheological, structural, oral digestion and sensory properties related to enhanced satiating capacity. Food Res. Int. 2015, 70, 64–73. [Google Scholar] [CrossRef]
- Tarrega, A.; Marcano, J.; Fiszman, S. Yogurt viscosity and fruit pieces affect satiating capacity expectations. Food Res. Int. 2016, 89, 574–581. [Google Scholar] [CrossRef]
- Desai, N.T.; Shepard, L.; Drake, M.A. Sensory properties and drivers of liking for Greek yogurts. J. Dairy Sci. 2013, 96, 7454–7466. [Google Scholar] [CrossRef] [Green Version]
- Brückner-Gühmann, M.; Banovic, M.; Drusch, S. Towards an increased plant protein intake: Rheological properties, sensory perception and consumer acceptability of lactic acid fermented, oat-based gels. Food Hydrocoll. 2019, 96, 201–208. [Google Scholar] [CrossRef]
- Santagiuliana, M.; Bhaskaran, V.; Scholten, E.; Piqueras-Fiszman, B.; Stieger, M. Don’t judge new foods by their appearance! How visual and oral sensory cues affect sensory perception and liking of novel, heterogeneous foods. Food Qual. Prefer. 2019, 77, 64–77. [Google Scholar] [CrossRef]
- Jaworska, D.; Waszkiewicz-Robak, B.; Kolanowski, W.; Swiderski, F. Relative importance of texture properties in the sensory quality and acceptance of natural yoghurts. Int. J. Dairy Technol. 2005, 58, 39–46. [Google Scholar] [CrossRef]





| Product Code | Yogurt Type |
|---|---|
| Reference | Dairy (plain) − reference sample |
| Soy | Plant − soy (plain) |
| Coconut | Plant − coconut (plain) |
| Berry | Dairy + berry (sweet) |
| Cookies | Dairy + crunchy (sweet) |
| Drinkable | Dairy drinkable (sweet) |
| Factor | Factor Type | Descriptor |
|---|---|---|
| Sensory Attribute | Taste | Sweet, Sour, Aftertaste |
| Aroma | Mild aroma, Strong aroma | |
| Texture | Thick, Runny, Lumpy, Good texture, Bad texture, Heavy, Light | |
| Mouthfeel | Creamy, Smooth, Grainy, Chalky | |
| Sensory Emotion | Positive | Cheerful, Luxury, Trusted, Uplifting, Dependable |
| Neutral | Neutral, Guilt-free, Basic, Indifferent, Common | |
| Negative | Nasty, Deceitful, Cheap, Artificial, Pretentious |
| Product Code | Protein (in g) | Fat (in g) | Sugars (in g) | Calories (in KJ) | Thickeners/Stabilizers |
|---|---|---|---|---|---|
| Reference | 8.7 | 4 | 2.7 | 366 | None |
| Soy | 4.9 | 3.9 | 1.7 | 285 | Hydroxypropyl distarch phosphate, Guar gum |
| Coconut | 0.7 | 11 | 1 | 501 | Native starch |
| Berry | 5.9 | 5.7 | 16 | 607 | Hydroxypropyl distarch phosphate, Xanthan gum |
| Cookies | 9.7 | 1.2 | 2.9 | 386 | Locust bean gum |
| Drinkable | 3.7 | 2.4 | 7.7 | 302 | None |
| Product Code | Overall Liking | Appearance Liking | Odor Liking | Taste Liking |
|---|---|---|---|---|
| Reference | 5.10 ± 2.27 c | 6.34 ± 1.76 b | 5.88 ± 1.67 c | 4.91 ± 2.34 c |
| Soy | 5.35 ± 2.11 c | 6.22 ± 1.87 b | 6.37 ± 1.84 ab | 5.37 ± 2.11 c |
| Coconut | 4.36 ± 1.99 d | 5.70 ± 1.95 c | 5.98 ± 1.53 bc | 4.27 ± 2.17 d |
| Berry | 1.89 ± 1.04 e | 3.44 ± 1.76 e | 3.49 ± 1.75 d | 1.81 ± 0.98 e |
| Cookies | 7.20 ± 1.50 a | 6.90 ± 1.60 a | 6.45 ± 1.70 a | 7.26 ± 1.50 a |
| Drinkable | 5.90 ± 2.05 b | 5.06 ± 2.01 d | 5.59 ± 1.89 c | 6.21 ± 1.98 b |
| Product Code | Level | Percentage Consumers | Mean Drops | Penalties | Mean (Overall Liking) | p-Value |
|---|---|---|---|---|---|---|
| Too Thin | 16% | 1.7 | 4.0 | |||
| Reference | JAR | 67% | 1.8 | 5.7 | <0.01 | |
| Too thick | 17% | 1.9 | 3.8 | |||
| Too Thin | 26% | 0.5 | 5.1 | |||
| Soy | JAR | 65% | 1.7 | 5.6 | 0.09 | |
| Too thick | 9.4% | 1.2 | 4.4 | |||
| Too Thin | 17.1% | 2.2 | 3.1 | |||
| Coconut | JAR | 46% | 1.6 | 5.2 | <0.01 | |
| Too thick | 37% | 1.3 | 3.9 | |||
| Too Thin | 20% | 0.1 | 1.9 | |||
| Berry | JAR | 27% | 0.1 | 2.0 | 0.59 | |
| Too thick | 53% | 0.1 | 1.8 | |||
| Too Thin | 11% | 1.3 | 6.0 | |||
| Cookies | JAR | 79% | 0.8 | 7.4 | 0.03 | |
| Too thick | 9.4% | 0.1 | 7.3 | |||
| Too Thin | 70% | 2.0 | 5.3 | |||
| Drinkable | JAR | 29% | 2.0 | 7.3 | <0.01 | |
| Too thick | 0.9% | 3.7 | 3.6 |
| Factors | Type | Variables | Means | Confidence Interval (95%) | p-Value | ||
|---|---|---|---|---|---|---|---|
| Factor 1 | Factor 0 | Low Level | High Level | ||||
| Emotions | Positive | cheerful | 5.70 | 4.26 | 1.14 | 1.75 | <0.01 |
| Neutral | neutral | 5.23 | 4.72 | 0.20 | 0.82 | <0.01 | |
| Negative | nasty | 4.25 | 5.71 | −1.81 | −1.11 | <0.01 | |
| Positive | trusted | 5.45 | 4.50 | 0.57 | 1.33 | <0.01 | |
| Neutral | indifferent | 4.69 | 5.27 | −0.96 | −0.20 | <0.01 | |
| Negative | artificial | 4.62 | 5.34 | −0.97 | −0.46 | <0.01 | |
| Product Attributes | texture | good texture | 5.26 | 4.70 | 0.28 | 0.83 | <0.01 |
| texture | bad texture | 4.76 | 5.19 | −0.78 | −0.08 | 0.01 | |
| texture | creamy | 5.12 | 4.84 | 0.02 | 0.53 | 0.03 | |
| texture | smooth | 5.13 | 4.82 | 0.06 | 0.56 | 0.02 | |
| texture | light | 5.12 | 4.83 | 0.02 | 0.56 | 0.04 | |
Publisher’s Note: MDPI stays neutral with regard to jurisdictional claims in published maps and institutional affiliations. |
© 2022 by the authors. Licensee MDPI, Basel, Switzerland. This article is an open access article distributed under the terms and conditions of the Creative Commons Attribution (CC BY) license (https://creativecommons.org/licenses/by/4.0/).
Share and Cite
Gupta, M.K.; Torrico, D.D.; Ong, L.; Gras, S.L.; Dunshea, F.R.; Cottrell, J.J. Plant and Dairy-Based Yogurts: A Comparison of Consumer Sensory Acceptability Linked to Textural Analysis. Foods 2022, 11, 463. https://doi.org/10.3390/foods11030463
Gupta MK, Torrico DD, Ong L, Gras SL, Dunshea FR, Cottrell JJ. Plant and Dairy-Based Yogurts: A Comparison of Consumer Sensory Acceptability Linked to Textural Analysis. Foods. 2022; 11(3):463. https://doi.org/10.3390/foods11030463
Chicago/Turabian StyleGupta, Mitali K., Damir D. Torrico, Lydia Ong, Sally L. Gras, Frank R. Dunshea, and Jeremy J. Cottrell. 2022. "Plant and Dairy-Based Yogurts: A Comparison of Consumer Sensory Acceptability Linked to Textural Analysis" Foods 11, no. 3: 463. https://doi.org/10.3390/foods11030463
APA StyleGupta, M. K., Torrico, D. D., Ong, L., Gras, S. L., Dunshea, F. R., & Cottrell, J. J. (2022). Plant and Dairy-Based Yogurts: A Comparison of Consumer Sensory Acceptability Linked to Textural Analysis. Foods, 11(3), 463. https://doi.org/10.3390/foods11030463

