Seed Weight and Genotype Influence the Total Oil Content and Fatty Acid Composition of Peanut Seeds
Abstract
1. Introduction
2. Materials and Methods
2.1. Reagents and Chemicals
2.2. Peanut Cultivation and Sample Preparation
2.3. Determination of Total Oil Content
2.4. Analysis of Fatty Acids
2.5. Statistical Analysis
3. Results and Discussion
3.1. The 100-Seed Weight, Total Oil Content, and Fatty Acid Profile of 301 Peanut Accessions
3.2. Total Oil Content and Fatty Acid Profile: Associations with Seed Weight
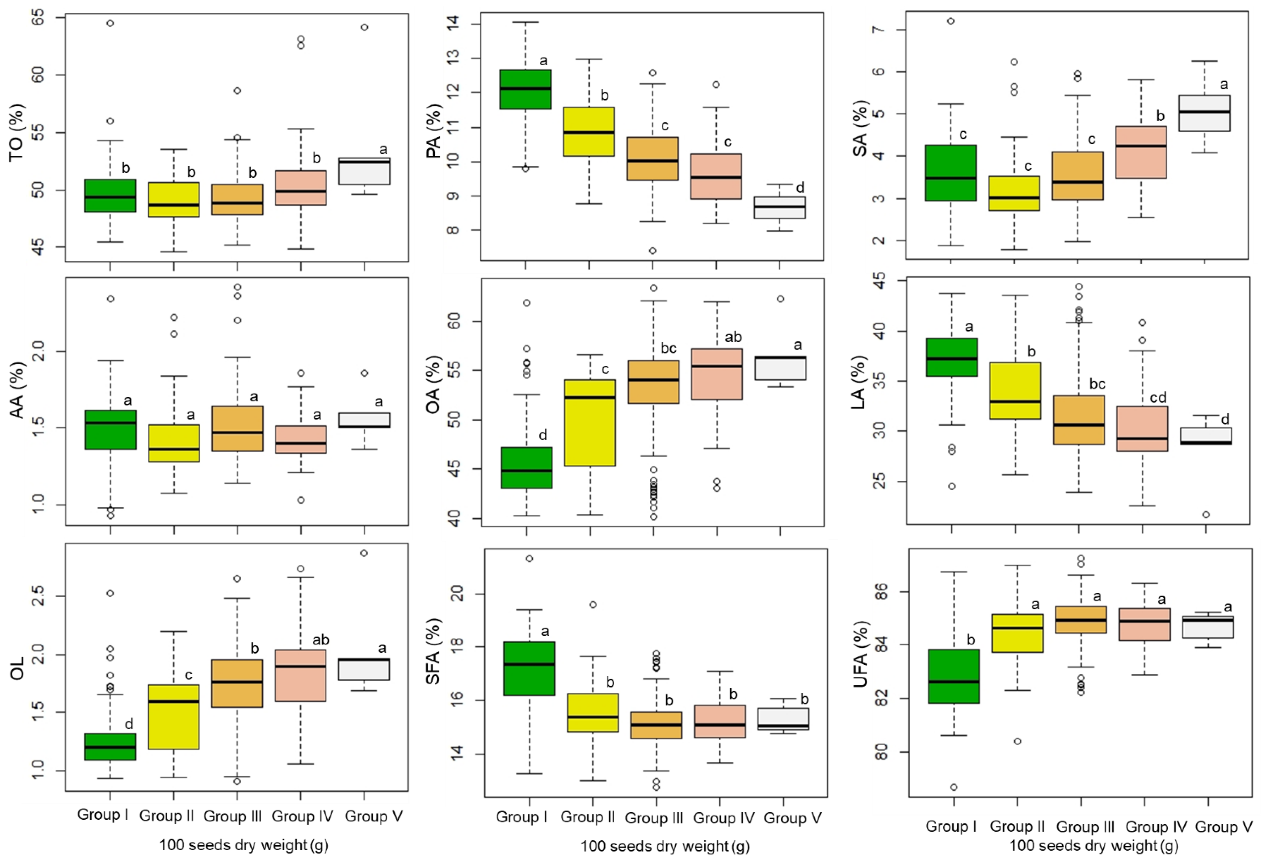
3.3. Variations of Seed Weight, Total Oil Content, and Fatty Acids among Accession Types
3.4. Pearson Correlation Analysis
3.5. PCA Results
3.6. The HCA Results
4. Conclusions
Supplementary Materials
Author Contributions
Funding
Institutional Review Board Statement
Informed Consent Statement
Data Availability Statement
Conflicts of Interest
References
- Matthäus, B.; Özcan, M.M. Oil content, fatty acid composition and distributions of vitamin-E-active compounds of some fruit seed oils. Antioxidants 2015, 4, 124–133. [Google Scholar] [CrossRef] [PubMed]
- Akhtar, S.; Khalid, N.; Ahmed, I.; Shahzad, A.; Suleria, H.A.R. Physicochemical characteristics, functional properties, and nutri-tional benefits of peanut oil: A review. Crit. Rev. Food Sci. Nutr. 2014, 54, 1562–1575. [Google Scholar] [CrossRef] [PubMed]
- Wang, M.L.; Chen, C.Y.; Tonnis, B.; Pinnow, D.; Davis, J.; An, Y.Q.C.; Dang, P. Changes of seed weight, fatty acid composition, and oil and protein contents from different peanut FAD2 genotypes at different seed developmental and maturation stages. J. Agric. Food Chem. 2018, 66, 3658–3665. [Google Scholar] [CrossRef] [PubMed]
- Derbyshire, E.J. A review of the nutritional composition, organoleptic characteristics and biological effects of the high oleic peanut. Int. J. Food Sci. Nutr. 2014, 65, 781–790. [Google Scholar] [CrossRef]
- Nawade, B.; Mishra, G.P.; Radhakrishnan, T.; Dodia, S.M.; Ahmad, S.; Kumar, A.; Kumar, A.; Kundu, R. High oleic peanut breeding: Achievements, perspectives, and prospects. Trends Food Sci. Technol. 2018, 78, 107–119. [Google Scholar] [CrossRef]
- Shin, E.C.; Craft, B.D.; Pegg, R.B.; Phillips, R.D.; Eitenmiller, R.R. Chemometric approach to fatty acid profiles in runner-type peanut cultivars by principal component analysis (PCA). Food Chem. 2010, 119, 1262–1270. [Google Scholar] [CrossRef]
- Pan, Y.; Zhu, J.; Wang, H.; Zhang, X.; Zhang, Y.; He, C.; Ji, X.; Li, H. Antioxidant activity of ethanolic extract of Cortex fraxini and use in peanut oil. Food Chem. 2007, 103, 913–918. [Google Scholar] [CrossRef]
- Mondal, S.; Badigannavar, A.M.; Dsouza, S.F. Induced variability for fatty acid profile and molecular characterization of high oleate mutant in cultivated groundnut (Arachis hypogaea L.). Mol. Breed. 2010, 130, 242–247. [Google Scholar] [CrossRef]
- Feldman, E.B. Assorted monounsaturated fatty acids promote healthy hearts. Am. J. Clin. Nutr. 1999, 70, 953–954. [Google Scholar] [CrossRef][Green Version]
- Teres, S.; Barcelo-Coblijn, G.; Benet, M.; Alvarez, R.; Bressani, R.; Halver, J.E.; Escriba’, P.V. Oleic acid content is responsible for the reduction in blood pressure induced by olive oil. Proc. Natl. Acad. Sci. USA 2008, 105, 13811–13816. [Google Scholar] [CrossRef]
- O’Byrne, D.J.; Knauft, D.A.; Shireman, R.N. Low fat-monounsaturated rich diets containing high-oleic peanuts improves serum lipoprotein profile. Lipids 1997, 32, 687–695. [Google Scholar] [CrossRef] [PubMed]
- Vassiliou, E.K.; Gonzalez, A.; Garcia, C.; Tadros, J.H.; Chakraborty, G.; Toney, J.H. Oleic acid and peanut oil high in oleic acid reverse the inhibitory effect of insulin production of the inflammatory cytokine TNF-α both in vitro and in vivo system. Lipids Health Dis. 2009, 8, 25. [Google Scholar] [CrossRef] [PubMed]
- Berry, S.K. Fatty acid composition of 16 groundnut (Arachis hypogaea L.) cultivars grown under Malaysian conditions. Pertanika 1982, 5, 20–24. [Google Scholar]
- Golombek, S.D.; Sultana, A.; Johansen, C. Effect of separate pod and root zone temperatures on yield and seed composition of three Spanish cultivars of groundnut (Arachis hypogaea L). J. Sci. Food Agric. 2001, 81, 1326–1333. [Google Scholar] [CrossRef][Green Version]
- Reddy, T.; Reddy, V.; Anbumozhi, V. Physiological responses of groundnut (Arachis hypogea L.) to drought stress and its amelioration: A critical review. Plant Growth Regul. 2003, 41, 75–88. [Google Scholar] [CrossRef]
- Asibuo, J.; Akromah, R.; Adu-Dapaah, H.K.; Safo-Kantanka, O. Evaluation of nutritional quality of groundnut (Arachis hypogaea L.) from Ghana. Afr. J. Food Agric. Nutr. Dev. 2008, 8, 133–150. [Google Scholar] [CrossRef]
- Andersen, P.C.; Gorbet, D.W. Influence of year and planting date on fatty acid chemistry of high oleic acid and normal peanut genotypes. J. Agric. Food Chem. 2002, 50, 1298–1305. [Google Scholar] [CrossRef]
- Önemli, F. Impact of climate change on oil fatty acid composition of peanut (Arachis hypogaea L.) in three market classes. Chil. J. Agric. Res. 2012, 72, 483–488. [Google Scholar] [CrossRef]
- Massawe, F.J.; Mwale, S.S.; Azam-Ali, S.N.; Roberts, J.A. Breeding in bambara groundnut (Vigna subterranea (L.) Verdc.): Strategic considerations. Afr. J. Biotechnol. 2005, 4, 463–471. [Google Scholar]
- Dwivedi, S.L.; Puppala, N.; Upadhyaya, H.D.; Manivannan, N.; Singh, S. Developing a core collection of peanut specific to valencia market type. Crop Sci. 2008, 48, 625–632. [Google Scholar] [CrossRef]
- Wang, Z.; Yan, L.; Chen, Y.; Wang, X.; Huai, D.; Kang, Y.; Jiang, H.; Liu, K.; Lei, Y.; Liao, B. Detection of a major QTL and development of KASP markers for seed weight by combining QTL-seq, QTL-mapping and RNA-seq in peanut. Theor. Appl. Genet. 2022, 135, 1779–1795. [Google Scholar] [CrossRef] [PubMed]
- Zhang, S.; Hu, X.; Miao, H.; Chu, Y.; Cui, F.; Yang, W.; Wang, C.; Shen, Y.; Xu, T.; Zhao, L.; et al. QTL identification for seed weight and size based on a high-density SLAF-seq genetic map in peanut (Arachis hypogaea L.). BMC Plant Biol. 2019, 19, 537. [Google Scholar] [CrossRef] [PubMed]
- Corrado, G.; Rao, R. Towards the genomic basis of local adaptation in landraces. Diversity 2017, 9, 51. [Google Scholar] [CrossRef]
- Andersen, P.C.; Hill, K.; Gorbet, D.W.; Brodbeck, B.V. Fatty acid and amino acid profiles of selected peanut cultivars and breeding lines. J. Food Compos. Anal. 1998, 11, 100–111. [Google Scholar] [CrossRef]
- Zheng, Z.; Sun, Z.; Fang, Y.; Qi, F.; Liu, H.; Miao, L.; Du, P.; Shi, L.; Gao, W.; Han, S.; et al. Genetic diversity, population structure, and botanical variety of 320 global peanut accessions revealed through tunable genotyping-by-sequencing. Sci. Rep. 2018, 8, 14500. [Google Scholar] [CrossRef]
- Bressano, M.; Massa, A.N.; Arias, R.S.; de Blas, F.; Oddino, C.; Faustinelli, P.C.; Soave, S.; Soave, J.H.; Pe’rez, M.A.; Sobolev, V.S.; et al. Introgression of peanut smut resistance from landraces to elite peanut cultivars (Arachis hypogaea L.). PLoS ONE 2019, 14, e0211920. [Google Scholar] [CrossRef] [PubMed]
- Wang, H.; Khera, P.; Huang, B.; Yuan, M.; Katam, R.; Zhuang, W.; Harris-Shultz, K.; Moore, K.M.; Culbreath, A.K.; Zhang, X.; et al. Analysis of genetic diversity and population structure of peanut cultivars and breeding lines from China, India and the US using simple sequence repeat markers. J. Integr. Plant Biol. 2016, 58, 452–465. [Google Scholar] [CrossRef]
- Grosso, N.R.; Nepote, V.; Guzmán, C.A. Chemical composition of some wild peanut species (Arachis L.) seeds. J. Agric. Food Chem. 2000, 48, 806–809. [Google Scholar] [CrossRef]
- Haro, R.J.; Baldessari, J.; Otegui, M.E. Genetic improvement of peanut in Argentina between 1948 and 2004: Seed yield and its components. Field Crops Res. 2013, 149, 76–83. [Google Scholar] [CrossRef]
- Maguire, L.S.; O’Sullivan, S.M.; Galvin, K.; O’Connor, T.P.; O’Brien, N.M. Fatty acid profile, tocopherol, squalene and phytosterol content of walnuts, almonds, peanuts, hazelnuts and the macadamia nut. Int. J. Food Sci. Nutr. 2004, 55, 171–178. [Google Scholar] [CrossRef]
- Singkham, N.; Jogloy, S.; Kesmala, T.; Swatsitang, P.; Jaisil, P.; Puppala, N. Genotypic variability and genotype by environment interactions in oil and fatty acids in high, intermediate, and low oleic acid peanut genotypes. J. Agric. Food Chem. 2010, 58, 6257–6263. [Google Scholar] [CrossRef] [PubMed]
- Wanget, S.A.; Morales-Corts, M.R.; Pérez-Sánchez, R.; Rostini, N.; Gómez-Sánchez, M.Á.; Karuniawan, A. Agro-morphological and chemical characterization of traditional Indonesian peanut (Arachis hypogaea L.) cultivars. Genetika 2019, 51, 179–198. [Google Scholar] [CrossRef]
- Zhao, J.; Huang, L.; Ren, X.; Pandey, M.K.; Wu, B.; Chen, Y.; Zhou, X.; Chen, W.; Xia, Y.; Li, Z.; et al. Genetic variation and association mapping of seed-related traits in cultivated peanut (Arachis hypogaea L.) using single-locus simple sequence repeat markers. Front. Plant Sci. 2017, 8, 2105. [Google Scholar] [CrossRef] [PubMed]
- Zahran, H.A.; Tawfeuk, H.Z. Physicochemical properties of new peanut (Arachis hypogaea L.) varieties. OCL 2019, 26, 19. [Google Scholar] [CrossRef]
- Slover, H.T.; Lanza, E. Quantitative analysis of food fatty acids by capillary gas chromatography. J. Am. Oil Chem. Soc. 1979, 56, 933–943. [Google Scholar] [CrossRef]
- Davis, J.P.; Dean, L.O.; Faircloth, W.H.; Sanders, T.H. Physical and chemical characterizations of normal and high-oleic oils from nine commercial cultivars of peanut. J. Am. Oil Chem. Soc. 2008, 85, 235–243. [Google Scholar] [CrossRef]
- Giuffrè, A.M.; Tellah, S.; Capocasale, M.; Zappia, C.; Latati, M.; Badiani, M.; Ounane, S.M. Seed oil from ten Algerian peanut landraces for edible use and biodiesel production. J. Oleo Sci. 2016, 65, 9–20. [Google Scholar] [CrossRef]
- Moore, K.M.; Knauft, D.A. The inheritance of high oleic acid in peanut. J. Hered. 1989, 80, 252–253. [Google Scholar] [CrossRef]
- Ramos, J.P.; Cavalcanti, J.J.; Freire, R.M.; da Silva, C.R.; da Silva, M.D.F.; Santos, R.C.D. Selection indexes and economic weights applied to runner-peanut breeding. Rev. Bras. Eng. Agríc. Ambient. 2022, 26, 327–334. [Google Scholar] [CrossRef]
- Klevorn, C.M.; Hendrix, K.W.; Sanders, T.H.; Dean, L.L. Differences in development of oleic and linoleic acid in high-and normal-oleic virginia and runner-type peanuts. Peanut Sci. 2016, 43, 12–23. [Google Scholar] [CrossRef][Green Version]
- Otyama, P.I.; Kulkarni, R.; Chamberlin, K.; Ozias-Akins, P.; Chu, Y.; Lincoln, L.M.; MacDonald, G.E.; Anglin, N.L.; Dash, S.; Bertioli, D.J.; et al. Genotypic characterization of the US peanut core collection. G3 Genes Genomes Genet. 2020, 10, 4013–4026. [Google Scholar]
- Zhang, X.; Zhang, J.; He, X.; Wang, Y.; Ma, X.; Yin, D. Genome-wide association study of major agronomic traits related to domestication in peanut. Front. Plant Sci. 2017, 8, 1611. [Google Scholar] [CrossRef] [PubMed]
- Fonceka, D.; Tossim, H.A.; Rivallan, R.; Vignes, H.; Faye, I.; Ndoye, O.; Moretzsohn, M.C.; Bertioli, D.J.; Glaszmann, J.C.; Courtois, B.; et al. Fostered and left behind alleles in peanut: Interspecific QTL mapping reveals footprints of domestication and useful natural variation for breeding. BMC Plant Biol. 2012, 12, 26. [Google Scholar] [CrossRef] [PubMed]
- Chen, Y.; Zhang, S.; Wang, L.; Wang, L.; Li, B.; Sun, J. Characteristics of oil components and its relationship with domestication of oil components in wild and cultivated soybean accessions. Acta Agron. Sin. 2019, 45, 1038–1049. [Google Scholar]
- Nawade, B.; Bosamia, T.C.; Thankappan, R.; Rathnakumar, A.L.; Kumar, A.; Dobaria, J.R.; Kundu, R.; Mishra, G.P. Insights into the Indian peanut genotypes for ahFAD2 gene polymorphism regulating its oleic and linoleic acid fluxes. Front. Plant Sci. 2016, 7, 1271. [Google Scholar] [CrossRef] [PubMed]
- Lopez, Y.; Nadaf, H.L.; Smith, O.D.; Connell, J.P.; Reddy, A.S.; Fritz, A.K. Isolation and characterization of the Δ12-fatty acid desaturase in peanut (Arachis hypogaea L.) and search for polymorphisms for the high oleate trait in spanish market-type lines. Theor. Appl. Genet. 2000, 101, 1131–1138. [Google Scholar] [CrossRef]
- López, A.; Montaño, A.; García, P.; Garrido, A. Fatty acid profile of table olives and its multivariate characterization using unsupervised (PCA) and supervised (DA) chemometrics. J. Agric. Food Chem. 2006, 54, 6747–6753. [Google Scholar] [CrossRef]
- Brown, D.F.; Cater, C.M.; Mattil, K.F.; Darroch, J.G. Effect of variety, growing location and their interaction on the fatty acid composition of peanuts. J. Food Sci. 1975, 40, 1055–1060. [Google Scholar] [CrossRef]



| Parameters | Maximum | Minimum | Mean | SD | CV (%) |
|---|---|---|---|---|---|
| SW (g/100-seed) | 124.94 | 27.61 | 64.17 | 21.05 | 32.80 |
| TO (%) | 64.55 | 44.59 | 49.63 | 2.69 | 5.42 |
| PA (%) | 14.06 | 7.41 | 10.68 | 1.32 | 12.36 |
| SA (%) | 7.22 | 1.78 | 3.63 | 0.91 | 25.07 |
| OA (%) | 63.35 | 40.17 | 50.86 | 5.65 | 11.11 |
| LA (%) | 44.49 | 21.66 | 33.35 | 4.85 | 14.54 |
| AA (%) | 2.42 | 0.93 | 1.48 | 0.23 | 15.54 |
| OL (%) | 2.87 | 0.90 | 1.58 | 0.40 | 25.32 |
| SFA (%) | 21.31 | 12.77 | 15.79 | 1.40 | 8.87 |
| UFA (%) | 87.23 | 78.69 | 84.21 | 1.40 | 1.67 |
| Parameters | Values | Cultivar | Breeding Line | Landrace | Unknown | p–Value |
|---|---|---|---|---|---|---|
| SW(g/100-seed) | Range | 39.92–106.44 | 27.61–124.94 | 34.56–92.26 | 27.79–83.38 | *** |
| Mean | 74.79 a | 73.68 a | 61.58 b | 43.91 c | ||
| CV (%) | 30.06 | 25.95 | 25.30 | 26.83 | ||
| TO (%) | Range | 46.97–64.20 | 44.59–63.15 | 45.18–53.30 | 45.48–64.55 | *** |
| Mean | 51.69 a | 49.83 b | 48.31 c | 49.85 b | ||
| CV (%) | 9.29 | 5.08 | 3.83 | 5.02 | ||
| PA (%) | Range | 7.97–12.36 | 7.41–13.65 | 8.77–13.45 | 9.02–14.06 | *** |
| Mean | 9.96 c | 10.28 c | 10.94 b | 11.49 a | ||
| CV (%) | 11.95 | 12.55 | 10.51 | 9.31 | ||
| SA (%) | Range | 2.23–6.27 | 1.78–7.22 | 2.25–5.52 | 1.90–5.23 | * |
| Mean | 4.02 a | 3.71 ab | 3.57 b | 3.42 b | ||
| CV (%) | 25.87 | 26.15 | 20.73 | 24.27 | ||
| OA (%) | Range | 47.32–62.25 | 40.78–63.35 | 40.32–59.95 | 40.17–61.78 | *** |
| Mean | 53.63 a | 52.48 ab | 50.9 b | 46.77 c | ||
| CV (%) | 7.05 | 9.60 | 10.39 | 11.72 | ||
| LA (%) | Range | 21.66–35.97 | 22.54–43.60 | 25.84–41.99 | 24.47–44.49 | *** |
| Mean | 30.88 c | 32.05 bc | 33.09 b | 36.87 a | ||
| CV (%) | 10.78 | 14.26 | 12.39 | 12.42 | ||
| AA (%) | Range | 1.20–1.86 | 0.93–2.42 | 1.08–1.87 | 0.98–1.94 | NS |
| Mean | 1.51 a | 1.48 a | 1.50 a | 1.46 a | ||
| CV (%) | 11.26 | 16.89 | 12.67 | 15.07 | ||
| OL (%) | Range | 1.36–2.87 | 0.94–2.74 | 0.96–2.32 | 0.90–2.53 | *** |
| Mean | 1.77 a | 1.69 ab | 1.58 b | 1.31 c | ||
| CV (%) | 20.34 | 22.49 | 22.15 | 28.24 | ||
| SFA (%) | Range | 14.19–18.42 | 12.77–21.31 | 13.02–19.60 | 13.29–19.39 | *** |
| Mean | 15.49 b | 15.47 b | 16.00 ab | 16.36 a | ||
| CV (%) | 8.20 | 7.82 | 9.31 | 9.41 | ||
| UFA (%) | Range | 81.58–85.81 | 78.69–87.23 | 80.40–86.98 | 80.61–86.71 | *** |
| Mean | 84.51 a | 84.53 a | 83.99 ab | 83.64 b | ||
| CV (%) | 1.50 | 1.43 | 1.77 | 1.84 |
| SW | TO | PA | SA | OA | LA | AA | OL | SFA | |
|---|---|---|---|---|---|---|---|---|---|
| TO | 0.11 | ||||||||
| PA | −0.71 *** | −0.14 * | |||||||
| SA | 0.25 *** | 0.19 *** | −0.31 *** | ||||||
| OA | 0.60 *** | 0.11 | −0.80 *** | 0.15 * | |||||
| LA | −0.55 *** | −0.12 * | 0.73 *** | −0.30 *** | −0.98 *** | ||||
| AA | –0.04 | 0.01 | −0.20 *** | 0.57 *** | 0.03 | −0.13 * | |||
| OL | 0.58 *** | 0.16 ** | −0.76 *** | 0.25 *** | 0.98 *** | −0.98 *** | 0.09 | ||
| SFA | −0.51 *** | −0.01 | 0.70 *** | 0.44 *** | −0.65 *** | 0.47 *** | 0.34 *** | −0.54 *** | |
| UFA | 0.51 *** | 0.01 | −0.70 *** | −0.44 *** | 0.65 *** | −0.47 *** | −0.34 *** | 0.54 *** | −1.00 *** |
Publisher’s Note: MDPI stays neutral with regard to jurisdictional claims in published maps and institutional affiliations. |
© 2022 by the authors. Licensee MDPI, Basel, Switzerland. This article is an open access article distributed under the terms and conditions of the Creative Commons Attribution (CC BY) license (https://creativecommons.org/licenses/by/4.0/).
Share and Cite
Li, W.; Yoo, E.; Lee, S.; Sung, J.; Noh, H.J.; Hwang, S.J.; Desta, K.T.; Lee, G.-A. Seed Weight and Genotype Influence the Total Oil Content and Fatty Acid Composition of Peanut Seeds. Foods 2022, 11, 3463. https://doi.org/10.3390/foods11213463
Li W, Yoo E, Lee S, Sung J, Noh HJ, Hwang SJ, Desta KT, Lee G-A. Seed Weight and Genotype Influence the Total Oil Content and Fatty Acid Composition of Peanut Seeds. Foods. 2022; 11(21):3463. https://doi.org/10.3390/foods11213463
Chicago/Turabian StyleLi, Weilan, Eunae Yoo, SooKyeong Lee, Jungsook Sung, Hyung Jun Noh, So Jeong Hwang, Kebede Taye Desta, and Gi-An Lee. 2022. "Seed Weight and Genotype Influence the Total Oil Content and Fatty Acid Composition of Peanut Seeds" Foods 11, no. 21: 3463. https://doi.org/10.3390/foods11213463
APA StyleLi, W., Yoo, E., Lee, S., Sung, J., Noh, H. J., Hwang, S. J., Desta, K. T., & Lee, G.-A. (2022). Seed Weight and Genotype Influence the Total Oil Content and Fatty Acid Composition of Peanut Seeds. Foods, 11(21), 3463. https://doi.org/10.3390/foods11213463

