The Environmental Impact of an Italian-Mediterranean Dietary Pattern Based on the EAT-Lancet Reference Diet (EAT-IT)
Abstract
1. Introduction
2. Materials and Methods
2.1. Environmental Impact of Foods
2.2. Development of Dietary Pattern and Dietary Plan
2.3. Assessment of the Environmental Impact of the Dietary Patterns
2.4. Analysis of Scenarios Depending on Food Choices
2.5. Statistical Analysis
3. Results
3.1. Environmental Impact of the Two Dietary Patterns
3.1.1. Carbon Footprint
3.1.2. Water Footprint
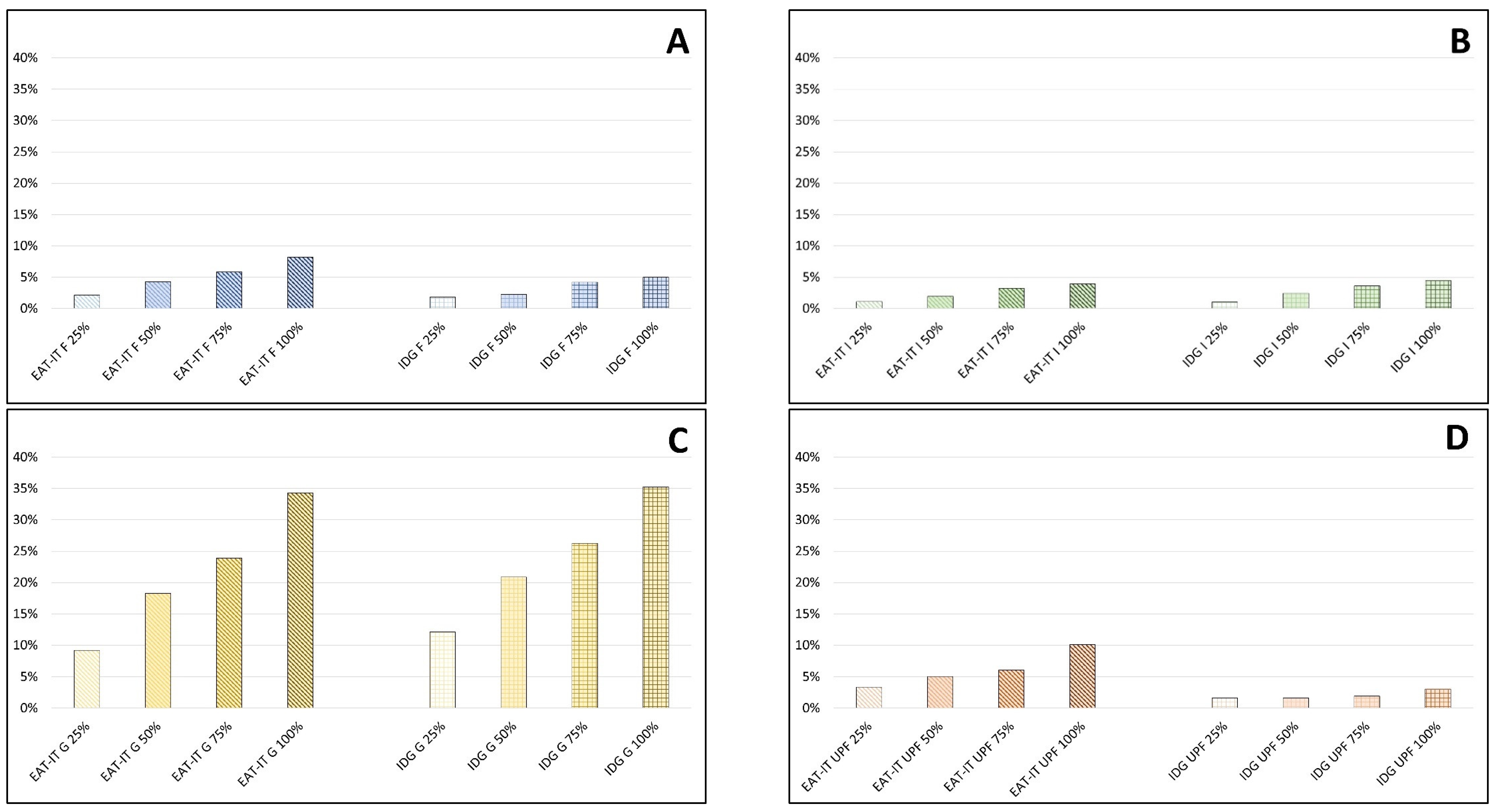
3.2. Analysis of Scenarios Based on Different Food Choices: Case-Studies
4. Discussion
5. Conclusions
Author Contributions
Funding
Institutional Review Board Statement
Informed Consent Statement
Data Availability Statement
Acknowledgments
Conflicts of Interest
References
- Afshin, A.; Sur, P.J.; Fay, K.A.; Cornaby, L.; Ferrara, G.; Salama, J.S.; Mullany, E.C.; Abate, K.H.; Abbafati, C.; Abebe, Z.; et al. Health effects of dietary risks in 195 countries, 1990–2017: A systematic analysis for the Global Burden of Disease Study 2017. Lancet 2019, 393, 1958–1972. [Google Scholar] [CrossRef]
- Crippa, M.; Solazzo, E.; Guizzardi, D.; Monforti-Ferrario, F.; Tubiello, F.N.; Leip, A. Food systems are responsible for a third of global anthropogenic GHG emissions. Nat. Food 2021, 2, 198–209. [Google Scholar] [CrossRef]
- Mrówczyńska-Kamińska, A.; Bajan, B.; Pawłowski, K.P.; Genstwa, N.; Zmyślona, J. Greenhouse gas emissions intensity of food production systems and its determinants. PLoS ONE 2021, 16, e0250995. [Google Scholar] [CrossRef]
- Food and Agriculture Organization of the United Nation. The State of the World’s Land and Water Resources for Food and Agriculture–Systems at Breaking Point (SOLAW 2021); FAO: Rome, Italy, 2021; ISBN 978-92-5-135327-1. [Google Scholar]
- Whitmee, S.; Haines, A.; Beyrer, C.; Boltz, F.; Capon, A.G.; Ferreira, B.; Dias, D.S.; Ezeh, A.; Frumkin, H.; Gong, P.; et al. The Rockefeller Foundation—Lancet commission on planetary health Safeguarding human health in the Anthropocene epoch: Report of the Rockefeller Foundation—Lancet commission on planetary health. Lancet 2015, 386, 1973–2028. [Google Scholar] [CrossRef]
- Fanzo, J.; Davis, C. Can diets be healthy, sustainable, and equitable? Curr. Obes. Rep. 2019, 8, 495–503. [Google Scholar] [CrossRef]
- Fanzo, J.; McLaren, R.; Davis, C.; Choufani, J. Climate Change and Variability: What Are the Risks for Nutrition, Diets, and Food Systems? In IFPRI Discussion Paper 1645; Social Science Research Network: Rochester, NY, USA, 2017; Available online: https://ssrn.com/abstract=3029325 (accessed on 3 August 2022).
- Food and Agriculture Organization of the United Nations; Bioversity International; Burlingame, B.; Dernini, S. Sustainable Diets and Biodiversity; FAO: Rome, Italy, 2012; 309p, ISBN 978-92-5-107288-2. [Google Scholar]
- Fischer, C.G.; Garnett, T. Plates, Pyramids, Planet; FAO: Rome, Italy, 2016; ISBN 9789251092224. [Google Scholar]
- Springmann, M.; Wiebe, K.; Mason-D’Croz, D.; Sulser, T.B.; Rayner, M.; Scarborough, P. Health and nutritional aspects of sustainable diet strategies and their association with environmental impacts: A global modelling analysis with country-level detail. Lancet Planet. Health 2018, 2, e451–e461. [Google Scholar] [CrossRef]
- Willett, W.; Rockström, J.; Loken, B.; Springmann, M.; Lang, T.; Vermeulen, S.; Garnett, T.; Tilman, D.; DeClerck, F.; Wood, A.; et al. Food in the anthropocene: The EAT—Lancet commission on healthy diets from sustainable food systems. Lancet 2019, 393, 447–492. [Google Scholar] [CrossRef]
- van Dooren, C.; Aiking, H.; Vellinga, P. In search of indicators to assess the environmental impact of diets. Int. J. Life Cycle Assess. 2018, 23, 1297–1314. [Google Scholar] [CrossRef]
- Petersson, T.; Secondi, L.; Magnani, A.; Antonelli, M.; Dembska, K.; Valentini, R.; Varotto, A.; Castaldi, S. A multilevel carbon and water footprint dataset of food commodities. Sci. Data 2021, 8, 127. [Google Scholar] [CrossRef]
- Rockström, J.; Stordalen, G.A.; Horton, R. Acting in the anthropocene: The EAT—Lancet commission. Lancet 2016, 387, 2364–2365. [Google Scholar] [CrossRef]
- Lassen, A.D.; Christensen, L.M.; Trolle, E. Development of a Danish adapted healthy plant-based diet based on the EAT—Lancet reference diet. Nutrients 2020, 12, 738. [Google Scholar] [CrossRef]
- Sharma, M.; Kishore, A.; Roy, D.; Joshi, K. A comparison of the Indian diet with the EAT—Lancet reference diet. BMC Public Health 2020, 20, 812. [Google Scholar] [CrossRef]
- Blackstone, N.T.; Conrad, Z. Comparing the recommended eating patterns of the EAT—Lancet commission and dietary guidelines for Americans: Implications for sustainable nutrition. Curr. Dev. Nutr. 2020, 4, nzaa015. [Google Scholar] [CrossRef]
- Tucci, M.; Martini, D.; Del Bo’, C.; Marino, M.; Battezzati, A.; Bertoli, S.; Porrini, M.; Riso, P. An Italian-Mediterranean dietary pattern developed based on the EAT—Lancet Reference Diet (EAT-IT): A nutritional evaluation. Foods 2021, 10, 558. [Google Scholar] [CrossRef]
- Leclercq, C.; Arcella, D.; Piccinelli, R.; Sette, S.; Le Donne, C.; Turrini, A.; INRAN-SCAI 2005–06 Study Group. The Italian National Food Consumption Survey INRAN-SCAI 2005–06: Main results in terms of food consumption. Public Health Nutr. 2009, 12, 2504–2532. [Google Scholar] [CrossRef]
- Jarmul, S.; Dangour, A.D.; Green, R.; Liew, Z.; Haines, A.; Scheelbeek, P.F.D. Climate change mitigation through dietary change: A systematic review of empirical and modelling studies on the environmental footprints and health effects of “sustainable diets”. Environ. Res. Lett. 2019, 15, 123014. [Google Scholar] [CrossRef]
- Garnett, T. What is a Sustainable Healthy Diet? In A Discussion Paper; Food Climate Research Network: Oxford, UK, 2014; p. 31. [Google Scholar]
- Rosi, A.; Mena, P.; Pellegrini, N.; Turroni, S.; Neviani, E.; Ferrocino, I.; Di Cagno, R.; Ruini, L.; Ciati, R.; Angelino, D.; et al. Environmental impact of omnivorous, ovo-lacto-vegetarian, and vegan diet. Sci. Rep. 2017, 7, 6105. [Google Scholar] [CrossRef]
- Ferrari, M.; Benvenuti, L.; Rossi, L.; De Santis, A.; Sette, S.; Martone, D.; Piccinelli, R.; Le Donne, C.; Leclercq, C.; Turrini, A. Could dietary goals and climate change mitigation be achieved through optimized diet? The experience of modeling the national food consumption data in Italy. Front. Nutr. 2020, 7, 48. [Google Scholar] [CrossRef]
- Vitale, M.; Giosuè, A.; Vaccaro, O.; Riccardi, G. Recent trends in dietary habits of the italian population: Potential impact on health and the environment. Nutrients 2021, 13, 476. [Google Scholar] [CrossRef]
- Clark, M.A.; Springmann, M.; Hill, J.; Tilman, D. Multiple health and environmental impacts of foods. Proc. Natl. Acad. Sci. USA 2019, 116, 23357–23362. [Google Scholar] [CrossRef]
- Poore, J.; Nemecek, T. Reducing food’s environmental impacts through producers and consumers. Science 2018, 360, 987–992. [Google Scholar] [CrossRef]
- Gossard, M.H.; York, R. Social structural influences on meat consumption. Hum. Ecol. Rev. 2003, 10, 1–9. [Google Scholar]
- Kirbiš, A.; Lamot, M.; Javornik, M. The role of education in sustainable dietary patterns in Slovenia. Sustainability 2021, 13, 13036. [Google Scholar] [CrossRef]
- Koch, F.; Heuer, T.; Krems, C.; Claupein, E. Meat consumers and non-meat consumers in Germany: A characterisation based on results of the German National Nutrition Survey II. J. Nutr. Sci. 2019, 8, e21. [Google Scholar] [CrossRef]
- Clark, M.; Springmann, M.; Rayner, M.; Scarborough, P.; Hill, J.; Tilman, D.; Macdiarmid, J.I.; Fanzo, J.; Bandy, L.; Harrington, R.A. Estimating the environmental impacts of 57,000 food products. Proc. Natl. Acad. Sci. USA 2022, 119, e2120584119. [Google Scholar] [CrossRef]
- Kim, B.F.; Santo, R.E.; Scatterday, A.P.; Fry, J.P.; Synk, C.M.; Cebron, S.R.; Mekonnen, M.M.; Hoekstra, A.Y.; de Pee, S.; Bloem, M.W.; et al. Country-specific dietary shifts to mitigate climate and water crises. Glob. Environ. Chang. 2020, 62, 101926. [Google Scholar] [CrossRef]
- FAO; WHO. Sustainable Healthy Diets–Guiding Principles; FAO: Rome, Italy, 2019; ISBN 978-92-5-131875-1 (FAO)/978-92-4-151664-8 (WHO). [Google Scholar]
- Martini, D.; Tucci, M.; Bradfield, J.; Di Giorgio, A.; Marino, M.; Del Bo’, C.; Porrini, M.; Riso, P. Principles of sustainable healthy diets in worldwide dietary guidelines: Efforts so far and future perspectives. Nutrients 2021, 13, 1827. [Google Scholar] [CrossRef]
- Springmann, M.; Spajic, L.; Clark, M.A.; Poore, J.; Herforth, A.; Webb, P.; Rayner, M.; Scarborough, P. The healthiness and sustainability of national and global food based dietary guidelines: Modelling study. BMJ 2020, 370, m2322. [Google Scholar] [CrossRef]
- Bechthold, A.; Boeing, H.; Tetens, I.; Schwingshackl, L.; Nöthlings, U. Perspective: Food-based dietary guidelines in Europe—Scientific concepts, current status, and perspectives. Adv. Nutr. 2018, 9, 544–560. [Google Scholar] [CrossRef]
- Magni, P.; Bier, D.M.; Pecorelli, S.; Agostoni, C.; Astrup, A.; Brighenti, F.; Cook, R.; Folco, E.; Fontana, L.; Gibson, R.A.; et al. Perspective: Improving nutritional guidelines for sustainable health policies: Current status and perspectives. Adv. Nutr. 2017, 8, 532–545. [Google Scholar] [CrossRef]
- Tilman, D.; Clark, M. Global diets link environmental sustainability and human health. Nature 2014, 515, 518–522. [Google Scholar] [CrossRef]
- Chai, B.C.; van der Voort, J.R.; Grofelnik, K.; Eliasdottir, H.G.; Klöss, I.; Perez-Cueto, F.J.A. Which diet has the least environmental impact on our planet? A systematic review of vegan, vegetarian and omnivorous diets. Sustainability 2019, 11, 4110. [Google Scholar] [CrossRef]
- Perignon, M.; Masset, G.; Ferrari, G.; Barré, T.; Vieux, F.; Maillot, M.; Amiot, M.; Darmon, N. How low can dietary greenhouse gas emissions be reduced without impairing nutritional adequacy, affordability and acceptability of the diet? A modelling study to guide sustainable food choices. Public Health Nutr. 2016, 19, 2662–2674. [Google Scholar] [CrossRef]
- FAO; IFAD; UNICEF; WFP; WHO. In Brief to The State of Food Security and Nutrition in the World 2021. Transforming Food Systems for Food Security, Improved Nutrition and Affordable Healthy Diets for All; FAO: Rome, Italy, 2020. [Google Scholar] [CrossRef]
- Collins, A.; Fairchild, R. Sustainable food consumption at a sub- national level : An ecological footprint, nutritional and economic analysis. J. Environ. Policy Plan. 2007, 9, 37–41. [Google Scholar] [CrossRef]
- Downs, S.M.; Ahmed, S.; Fanzo, J.; Herforth, A. Food environment typology: Advancing an expanded definition, framework, and methodological approach for improved characterization of wild, cultivated, and built food environments toward sustainable diets. Foods 2020, 9, 532. [Google Scholar] [CrossRef]
- Springmann, M.; Clark, M.A.; Rayner, M.; Scarborough, P.; Webb, P. The global and regional costs of healthy and sustainable dietary patterns: A modelling study. Lancet. Planet. Health 2021, 5, e797–e807. [Google Scholar] [CrossRef]
- Dave, L.A.; Hodgkinson, S.M.; Roy, N.C.; Smith, N.W.; McNabb, W.C. The role of holistic nutritional properties of diets in the assessment of food system and dietary sustainability. Crit. Rev. Food Sci. Nutr. 2021, 1–21. [Google Scholar] [CrossRef]
- HLPE. Food Security and Nutrition: Building a Global Narrative towards 2030. In A Report by the High Level Panel of Experts on Food Security and Nutrition of the Committee on World Food Security; High Level Panel of Experts on Food Security and Nutrition: Rome, Italy, 2020. [Google Scholar]
- Smith, N.W.; Fletcher, A.J.; Hill, J.P.; McNabb, W.C. Modeling the contribution of meat to global nutrient availability. Front. Nutr. 2022, 9, 766796. [Google Scholar] [CrossRef]
- Leroy, F.; Abraini, F.; Beal, T.; Dominguez-Salas, P.; Gregorini, P.; Manzano, P.; Rowntree, J.; van Vliet, S. Animal board invited review: Animal source foods in healthy, sustainable, and ethical diets—An argument against drastic limitation of livestock in the food system. Animal 2022, 16, 100457. [Google Scholar] [CrossRef]






Publisher’s Note: MDPI stays neutral with regard to jurisdictional claims in published maps and institutional affiliations. |
© 2022 by the authors. Licensee MDPI, Basel, Switzerland. This article is an open access article distributed under the terms and conditions of the Creative Commons Attribution (CC BY) license (https://creativecommons.org/licenses/by/4.0/).
Share and Cite
Tucci, M.; Martini, D.; Marino, M.; Del Bo’, C.; Vinelli, V.; Biscotti, P.; Parisi, C.; De Amicis, R.; Battezzati, A.; Bertoli, S.; et al. The Environmental Impact of an Italian-Mediterranean Dietary Pattern Based on the EAT-Lancet Reference Diet (EAT-IT). Foods 2022, 11, 3352. https://doi.org/10.3390/foods11213352
Tucci M, Martini D, Marino M, Del Bo’ C, Vinelli V, Biscotti P, Parisi C, De Amicis R, Battezzati A, Bertoli S, et al. The Environmental Impact of an Italian-Mediterranean Dietary Pattern Based on the EAT-Lancet Reference Diet (EAT-IT). Foods. 2022; 11(21):3352. https://doi.org/10.3390/foods11213352
Chicago/Turabian StyleTucci, Massimiliano, Daniela Martini, Mirko Marino, Cristian Del Bo’, Valentina Vinelli, Paola Biscotti, Carlotta Parisi, Ramona De Amicis, Alberto Battezzati, Simona Bertoli, and et al. 2022. "The Environmental Impact of an Italian-Mediterranean Dietary Pattern Based on the EAT-Lancet Reference Diet (EAT-IT)" Foods 11, no. 21: 3352. https://doi.org/10.3390/foods11213352
APA StyleTucci, M., Martini, D., Marino, M., Del Bo’, C., Vinelli, V., Biscotti, P., Parisi, C., De Amicis, R., Battezzati, A., Bertoli, S., Porrini, M., & Riso, P. (2022). The Environmental Impact of an Italian-Mediterranean Dietary Pattern Based on the EAT-Lancet Reference Diet (EAT-IT). Foods, 11(21), 3352. https://doi.org/10.3390/foods11213352

