Survival Analysis to Predict How Color Influences the Shelf Life of Strawberry Leather
Abstract
:1. Introduction
2. Materials and Methods
2.1. Preparation of Strawberry Leather
2.2. Storage Conditions
2.3. Instrumental Color Measurement
2.4. Total Anthocyanin Content
2.5. Kinetic Modeling of Color and Total Anthocyanin
2.6. Sensory Analysis
2.7. Statistical Analysis
3. Results and Discussion
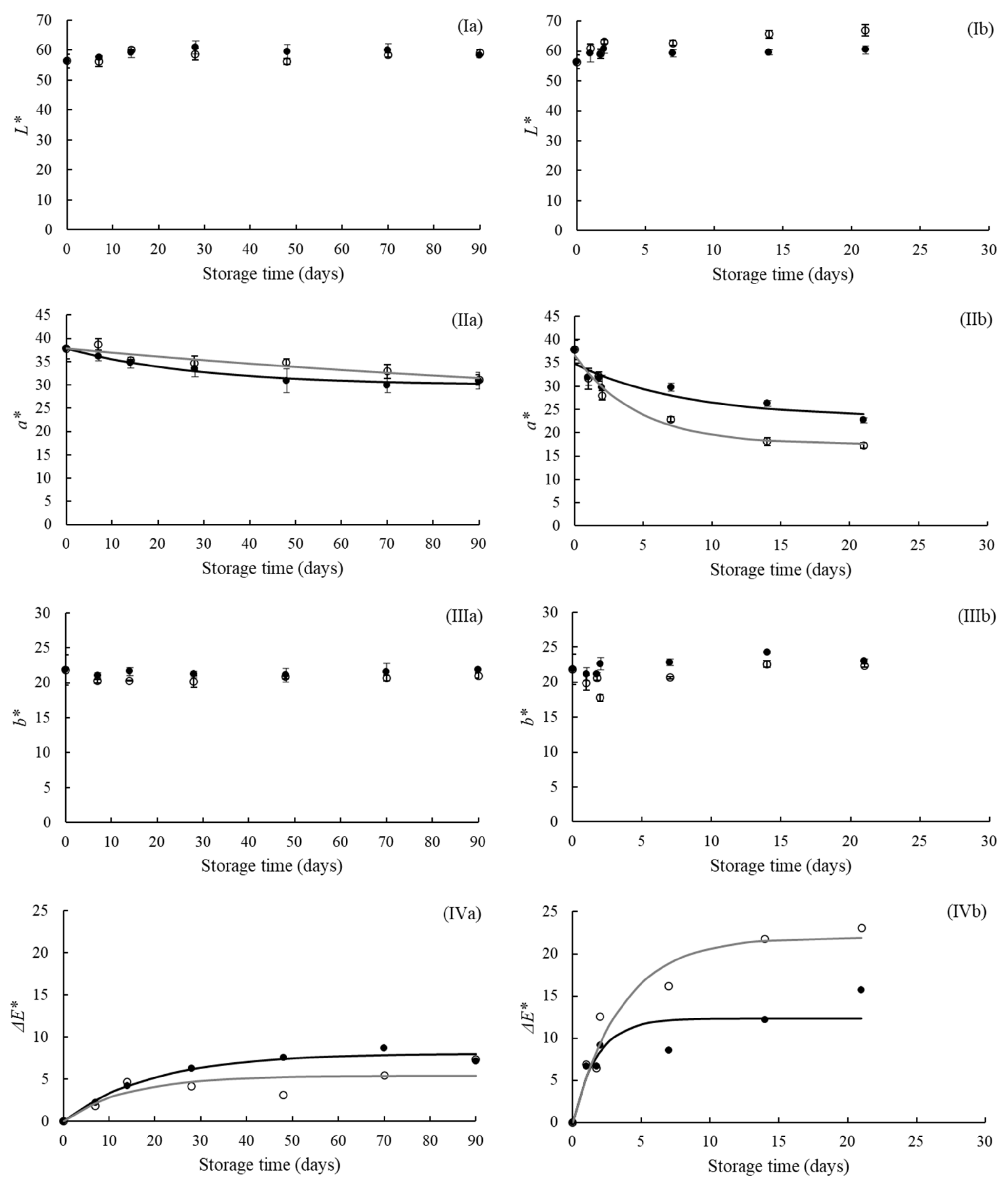
3.1. Instrumental Color Parameters
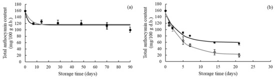
3.2. Total Anthocyanin Content
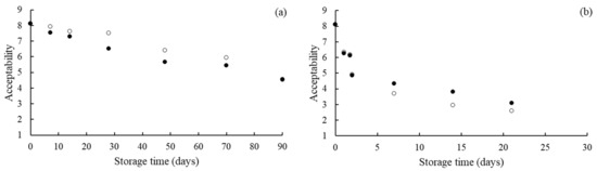
3.3. Sensory-Based Estimation of Shelf Life
3.4. Correlation between Physicochemical and Sensory Measurements
4. Conclusions
Author Contributions
Funding
Institutional Review Board Statement
Informed Consent Statement
Data Availability Statement
Acknowledgments
Conflicts of Interest
References
- Simão, R.S.; Moraes, J.O.; Carciofi, B.A.M.; Laurindo, J.B. Recent advances in the production of fruit leathers. Food Eng. Rev. 2020, 12, 68–82. [Google Scholar] [CrossRef]
- Lawless, H.T.; Heymann, H. Sensory Evaluation of Food. Principles and Practices, 2nd ed.; Springer: New York, NY, USA, 2010; pp. 407–432. [Google Scholar]
- Buvé, C.; Kebede, B.T.; De Batselier, C.; Carrillo, C.; Pham, H.T.T.; Hendrickx, M.; Grauwet, T.; Van Loey, A. Kinetics of colour changes in pasteurised strawberry juice during storage. J. Food Eng. 2018, 216, 42–51. [Google Scholar] [CrossRef]
- Spence, C. On the psychological impact of food colour. Flavour 2015, 4, 21. [Google Scholar] [CrossRef] [Green Version]
- Garzón, G.A.; Wrolstad, R.E. Comparison of the Stability of Pelargonidin-based Anthocyanins in Strawberry Juice and Concentrate. J. Food Sci. 2002, 67, 1288–1299. [Google Scholar] [CrossRef]
- Gössinger, M.; Moritz, S.; Hermes, M.; Wendelin, S.; Scherbichler, H.; Halbwirth, H.; Stich, K.; Berghofer, E. Effects of processing parameters on colour stability of strawberry nectar from puree. J. Food Eng. 2009, 90, 171–178. [Google Scholar] [CrossRef]
- Wrolstad, R.E.; Durst, R.W.; Lee, J. Tracking color and pigment changes in anthocyanin products. Trends Food Sci. Technol. 2005, 16, 423–428. [Google Scholar] [CrossRef]
- Tontul, I.; Topuz, A. Storage stability of bioactive compounds of pomegranate leather (pestil) produced by refractance window drying. J. Food Process Eng. 2019, 42, e12973. [Google Scholar] [CrossRef]
- Giacalone, G.; Da Silva, T.M.; Peano, C.; Giuggioli, N.R. Development of fruit leather from Actinidia arguta by-product: Quality assessment and shelf life studies. Ital. J. Food Sci. 2019, 31, 470–486. [Google Scholar]
- Ruiz, N.A.Q.; Demarchi, S.M.; Massolo, J.F.; Rodoni, L.M.; Giner, S.A. Evaluation of quality during storage of apple leather. LWT Food Sci. Technol. 2012, 47, 485–492. [Google Scholar] [CrossRef]
- Kumar, R.; Jain, R.K.; Mandal, G. Storage stability of guava leather in different packing materials. Acta Hortic. 2007, 735, 621–625. [Google Scholar] [CrossRef]
- Lennersten, M.; Lingnert, H. Influence of wavelength and packaging material on lipid oxidation and colour changes in low-fat mayonnaise. LWT Food Sci. Technol. 2000, 33, 253–260. [Google Scholar] [CrossRef]
- Manzocco, L.; Kravina, G.; Calligaris, S.; Nicoli, M.C. Shelf life modeling of photosensitive food: The case of colored beverages. J. Agric. Food Chem. 2008, 56, 5158–5164. [Google Scholar] [CrossRef]
- Valenzuela, C.; Aguilera, J.M. Effects of maltodextrin on hygroscopicity and crispness of apple leathers. J. Food Eng. 2015, 144, 1–9. [Google Scholar] [CrossRef]
- Frabetti, A.C.C.; de Moraes, J.O.; Porto, A.S.; Simão, R.S.; Laurindo, J.B. Strawberry-hydrocolloids dried by continuous cast-tape drying to produce leather and powder. Food Hydrocoll. 2021, 121, 107041. [Google Scholar] [CrossRef]
- Goula, A.M.; Karapantsios, T.D.; Achilias, D.S.; Adamopoulos, K.G. Water sorption isotherms and glass transition temperature of spray dried tomato pulp. J. Food Eng. 2008, 85, 73–83. [Google Scholar] [CrossRef]
- Buvé, C.; Van Bedts, T.; Haenen, A.; Kebede, B.; Braekers, R.; Hendrickx, M.; Van Loey, A.; Grauwet, T. Shelf-life dating of shelf-stable strawberry juice based on survival analysis of consumer acceptance information. J. Sci. Food Agric. 2018, 98, 3437–3445. [Google Scholar] [CrossRef]
- Condurso, C.; Cincotta, F.; Tripodi, G.; Merlino, M.; Giarratana, F.; Verzera, A. A new approach for the shelf-life definition of minimally processed carrots. Postharvest Biol. Technol. 2020, 163, 111138. [Google Scholar] [CrossRef]
- Garitta, L.; Langohr, K.; Gómez, G.; Hough, G.; Beeren, C. Sensory cut-off point obtained from survival analysis statistics. Food Qual. Prefer. 2015, 43, 135–140. [Google Scholar] [CrossRef] [Green Version]
- Giménez, A.; Varela, P.; Salvador, A.; Ares, G.; Fiszman, S.; Garitta, L. Shelf life estimation of brown pan bread: A consumer approach. Food Qual. Prefer. 2007, 18, 196–204. [Google Scholar] [CrossRef]
- Manzocco, L.; Lagazio, C. Coffee brew shelf life modelling by integration of acceptability and quality data. Food Qual. Prefer. 2009, 20, 24–29. [Google Scholar] [CrossRef]
- Gámbaro, A.; Ares, G.; Giménez, A. Shelf-life estimation of apple-baby food. J. Sens. Stud. 2006, 21, 101–111. [Google Scholar] [CrossRef]
- Araneda, M.; Hough, G.; Wittig de Penna, E. Current-status survival analysis methodology applied to estimating sensory shelf life of ready-to-eat lettuce (Lactuca sativa). J. Sens. Stud. 2008, 23, 162–170. [Google Scholar] [CrossRef]
- Giménez, A.; Ares, F.; Ares, G. Sensory shelf-life estimation: A review of current methodological approaches. Food Res. Int. 2012, 49, 311–325. [Google Scholar] [CrossRef]
- Libertino, L.M.; López Osornio, M.M.; Hough, G. Number of consumers necessary for survival analysis estimations based on each consumer evaluating a single sample. Food Qual. Prefer. 2011, 22, 24–30. [Google Scholar] [CrossRef]
- Jespersen, L.; Strømdahl, L.D.; Olsen, K.; Skibsted, L.H. Heat and light stability of three natural blue colorants for use in confectionery and beverages. Eur. Food Res. Technol. 2005, 220, 261–266. [Google Scholar] [CrossRef]
- Berlinet, C.; Brat, P.; Ducruet, V. Quality of orange juice in barrier packaging material. Packag. Technol. Sci. 2008, 21, 279–286. [Google Scholar] [CrossRef]
- Kim, S.; Jahandar, M.; Jeong, J.H.; Lim, D.C. Recent progress in solar cell technology for low-light indoor applications. Curr. Altern. Energy 2019, 3, 3–17. [Google Scholar] [CrossRef]
- Jeykishan Kumar, K.; Bharath Kumar, G.; Sudhir Kumar, R. Photometric assessment of warm and cool white LED bulbs. J. Opt. 2020, 49, 476–484. [Google Scholar] [CrossRef]
- Cárdenas-Pérez, S.; Chanona-Pérez, J.; Méndez-Méndez, J.V.; Calderón-Domínguez, G.; López-Santiago, R.; Perea-Flores, M.J.; Arzate-Vázquez, I. Evaluation of the ripening stages of apple (Golden Delicious) by means of computer vision system. Biosyst. Eng. 2017, 159, 46–58. [Google Scholar] [CrossRef]
- Giusti, M.M.; Wrolstad, R.E. Characterization and Measurement of Anthocyanins by UV-Visible Spectroscopy. Curr. Protoc. Food Anal. Chem. 2001, F1.2.1–F1.2.13. [Google Scholar] [CrossRef]
- Giampieri, F.; Tulipani, S.; Alvarez-Suarez, J.M.; Quiles, J.L.; Mezzetti, B.; Battino, M. The strawberry: Composition, nutritional quality, and impact on human health. Nutrition 2012, 28, 9–19. [Google Scholar] [CrossRef] [PubMed]
- Ishihara, S. The Series of Plates Designed as a Test for Colour-Blindness; Kanehara Shuppan: Tokyo, Japan, 1992. [Google Scholar]
- Hough, G. Sensory Shelf Life Estimation of Food Products; CRC Press: Boca Raton, FL, USA, 2010; pp. 83–112. [Google Scholar]
- Corrigan, V.; Hedderley, D.; Harvey, W. Modeling the shelf life of fruit-filled snack bars using survival analysis and sensory profiling techniques. J. Sens. Stud. 2012, 27, 403–416. [Google Scholar] [CrossRef]
- Abonyi, B.; Feng, H.; Tang, J.; Edwards, C.; Chew, B.; Mattinson, D.; Fellman, J. Quality Retention in Strawberry and Carrot Purees Dried with Refractance WindowTM System. J. Food Sci. 2002, 67, 1051–1056. [Google Scholar] [CrossRef]
- Agudelo-Laverde, L.M.; Schebor, C.; Buera, M.P. Water content effect on the chromatic attributes of dehydrated strawberries during storage, as evaluated by image analysis. LWT Food Sci. Technol. 2013, 52, 157–162. [Google Scholar] [CrossRef] [Green Version]
- Cserhalmi, Z.s.; Sass-Kiss, Á.; Tóth-Markus, M.; Lechner, N. Study of pulsed electric field treated citrus juices. Innov. Food Sci. Emerg. Technol. 2006, 7, 49–54. [Google Scholar] [CrossRef]
- Ochoa, M.R.; Kesseler, A.G.; De Michelis, A.; Mugridge, A.; Chaves, A.R. Kinetics of colour change of raspberry, sweet (Prunus avium) and sour (Prunus cerasus) cherries preserves packed in glass containers: Light and room temperature effects. J. Food Eng. 2001, 49, 55–65. [Google Scholar] [CrossRef]
- Sonar, C.R.; Rasco, B.; Tang, J.; Sablani, S.S. Natural color pigments: Oxidative stability and degradation kinetics during storage in thermally pasteurized vegetable purees. J. Sci. Food Agric. 2019, 99, 5934–5945. [Google Scholar] [CrossRef]
- Syamaladevi, R.M.; Sablani, S.S.; Tang, J.; Powers, J.; Swanson, B.G. Stability of anthocyanins in frozen and freeze-dried raspberries during long-term storage: In relation to glass transition. J. Food Sci. 2011, 76, E414–E421. [Google Scholar] [CrossRef]
- Amr, A.; Al-Tamimi, E. Stability of the crude extracts of Ranunculus asiaticus anthocyanins and their use as food colourants. Int. J. Food Sci. Technol. 2007, 42, 985–991. [Google Scholar] [CrossRef]
- Tiwari, B.K.; O’Donnell, C.P.; Patras, A.; Brunton, N.; Cullen, P.J. Anthocyanins and color degradation in ozonated grape juice. Food Chem. Toxicol. 2009, 47, 2824–2829. [Google Scholar] [CrossRef]
- Tiwari, B.K.; O’Donnell, C.P.; Patras, A.; Brunton, N.; Cullen, P.J. Effect of ozone processing on anthocyanins and ascorbic acid degradation of strawberry juice. Food Chem. 2009, 113, 1119–1126. [Google Scholar] [CrossRef]
- Gössinger, M.; Mayer, F.; Radocha, N.; Höfler, M.; Boner, A.; Groll, E.; Nosko, E.; Bauer, R.; Berghofer, E. Consumer’s color acceptance of strawberry nectars from puree. J. Sens. Stud. 2009, 24, 78–92. [Google Scholar] [CrossRef]







| Sample | a* | ΔE* | ||||||
|---|---|---|---|---|---|---|---|---|
| X0 | Xeq | k (Days−1) | R2 | X0 | Xeq | k (Days−1) | R2 | |
| 22.5% RH/Without illumination | 37.88 | 29.87 | 0.034 | 0.972 | 0 | 8.07 | 0.052 | 0.975 |
| 22.5% RH/With illumination | 37.91 | 22.75 | 0.006 | 0.872 | 0 | 5.43 | 0.072 | 0.707 |
| 52.3% RH/Without illumination | 34.79 | 23.15 | 0.126 | 0.819 | 0 | 12.34 | 0.572 | 0.812 |
| 52.3% RH/With illumination | 36.77 | 17.44 | 0.219 | 0.970 | 0 | 21.98 | 0.279 | 0.943 |
| Sample | Total Anthocyanin Content (mg/100 g d.b.) | |||
|---|---|---|---|---|
| X0 | Xeq | k (Days−1) | R2 | |
| 22.5% RH/Without illumination | 158.6 | 116.8 | 0.458 | 0.774 |
| 22.5% RH/With illumination | 158.0 | 114.1 | 0.198 | 0.801 |
| 52.3% RH/Without illumination | 150.5 | 59.6 | 0.274 | 0.957 |
| 52.3% RH/With illumination | 151.1 | 21.9 | 0.227 | 0.985 |
| Sample | µ | σ |
|---|---|---|
| 22.5% RH/Without illumination | 4.341 ± 0.112 | 0.821 ± 0.170 |
| 22.5% RH/With illumination | 4.433 ± 0.105 | 0.465 ± 0.155 |
| 52.3% RH/Without illumination | 1.515 ± 0.661 | 2.157 ± 1.337 |
| 52.3% RH/With illumination | 1.218 ± 0.293 | 1.612 ± 0.511 |
| Sample | Shelf Life (Days) | |
|---|---|---|
| For 25% Rejection (95% CI) | For 50% Rejection (95% CI) | |
| 22.5% RH/Without illumination | 27.6 (25.0–30.5) | 56.8 (54.1–59.7) |
| 22.5% RH/With illumination | 47.2 (43.2–51.5) | 71.0 (67.7–74.5) |
| 52.3% RH/Without illumination | 0.3 (0.1–0.8) | 2.1 (1.7–2.4) |
| 52.3% RH/With illumination | 0.5 (0.3–0.6) | 1.9 (1.7–2.1) |
| Physicochemical Parameter | Consumer Rejection | |||
|---|---|---|---|---|
| 22.5% RH/ without Illumination | 22.5% RH/ with Illumination | 52.3% RH/ without Illumination | 52.3% RH/ with Illumination | |
| L* | 0.37 | 0.32 | 0.84 * | 0.94 * |
| a* | −0.93 * | −0.90 * | −0.93 * | −0.97 * |
| b* | 0.20 | 0.17 | 0.67 | 0.19 |
| ΔE* | 0.82 * | 0.80 | 0.86 * | 0.97 * |
| Total anthocyanins content | −0.76 * | −0.73 | −0.97 * | −0.99 * |
Publisher’s Note: MDPI stays neutral with regard to jurisdictional claims in published maps and institutional affiliations. |
© 2022 by the authors. Licensee MDPI, Basel, Switzerland. This article is an open access article distributed under the terms and conditions of the Creative Commons Attribution (CC BY) license (https://creativecommons.org/licenses/by/4.0/).
Share and Cite
da Silva Simão, R.; de Moraes, J.O.; Lopes, J.B.; Frabetti, A.C.C.; Carciofi, B.A.M.; Laurindo, J.B. Survival Analysis to Predict How Color Influences the Shelf Life of Strawberry Leather. Foods 2022, 11, 218. https://doi.org/10.3390/foods11020218
da Silva Simão R, de Moraes JO, Lopes JB, Frabetti ACC, Carciofi BAM, Laurindo JB. Survival Analysis to Predict How Color Influences the Shelf Life of Strawberry Leather. Foods. 2022; 11(2):218. https://doi.org/10.3390/foods11020218
Chicago/Turabian Styleda Silva Simão, Raquel, Jaqueline Oliveira de Moraes, Julia Beims Lopes, Ana Caroline Cichella Frabetti, Bruno Augusto Mattar Carciofi, and João Borges Laurindo. 2022. "Survival Analysis to Predict How Color Influences the Shelf Life of Strawberry Leather" Foods 11, no. 2: 218. https://doi.org/10.3390/foods11020218
APA Styleda Silva Simão, R., de Moraes, J. O., Lopes, J. B., Frabetti, A. C. C., Carciofi, B. A. M., & Laurindo, J. B. (2022). Survival Analysis to Predict How Color Influences the Shelf Life of Strawberry Leather. Foods, 11(2), 218. https://doi.org/10.3390/foods11020218

