Effects of Microwaves, Ultrasonication, and Thermosonication on the Secondary Structure and Digestibility of Bovine Milk Protein
Abstract
:1. Introduction
2. Material and Methods
2.1. Microwave Treatment
2.2. Ultrasound Treatment
2.3. Thermosonication Treatment
2.4. Fourier-Transform Infrared Spectroscopy (FTIR)
2.5. Total Soluble Protein Determination
2.6. In Vitro Enzymatic Protein Digestion (IVPD)
2.7. Statistical Analysis
3. Results and Discussion
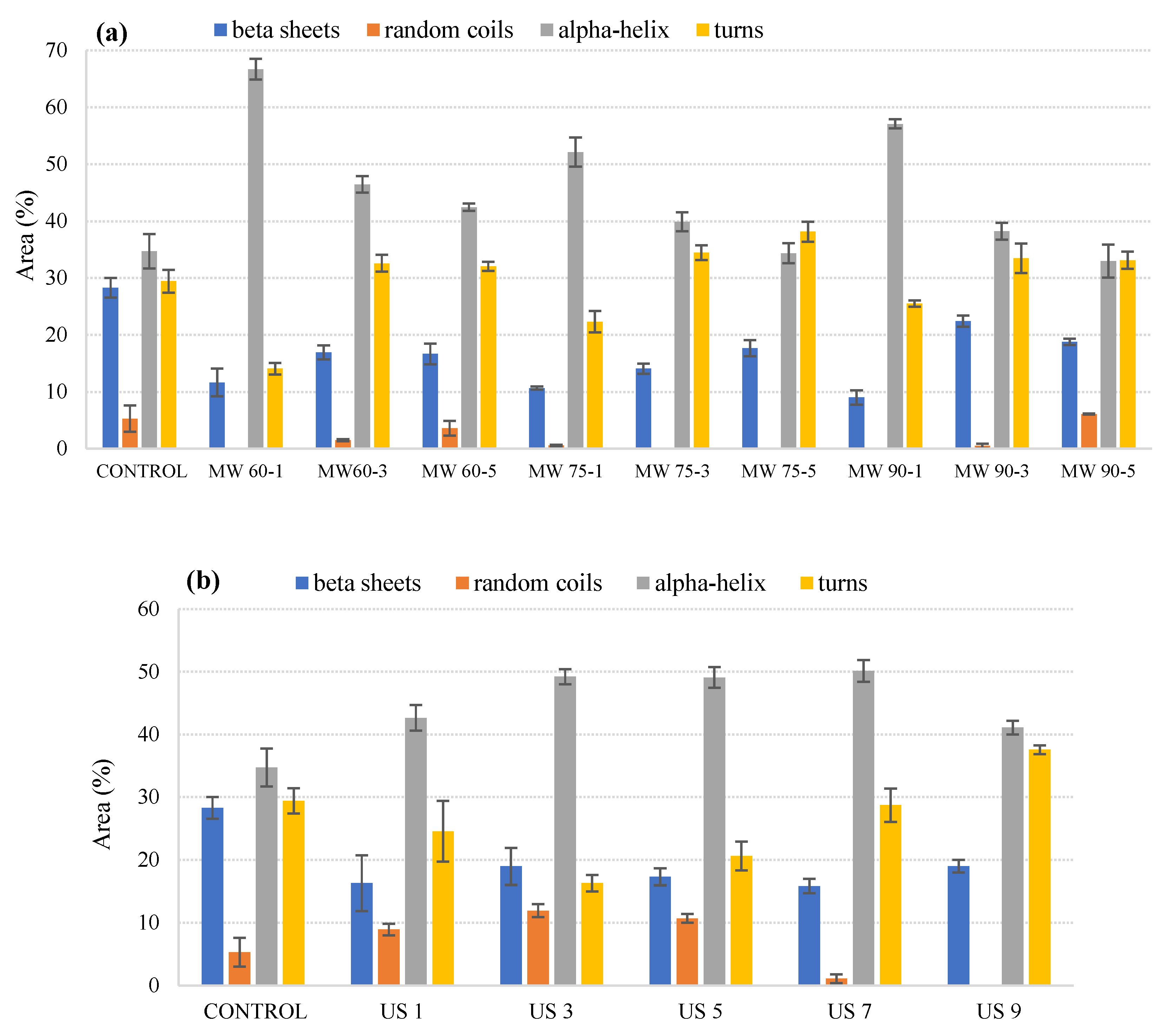
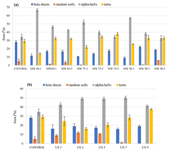
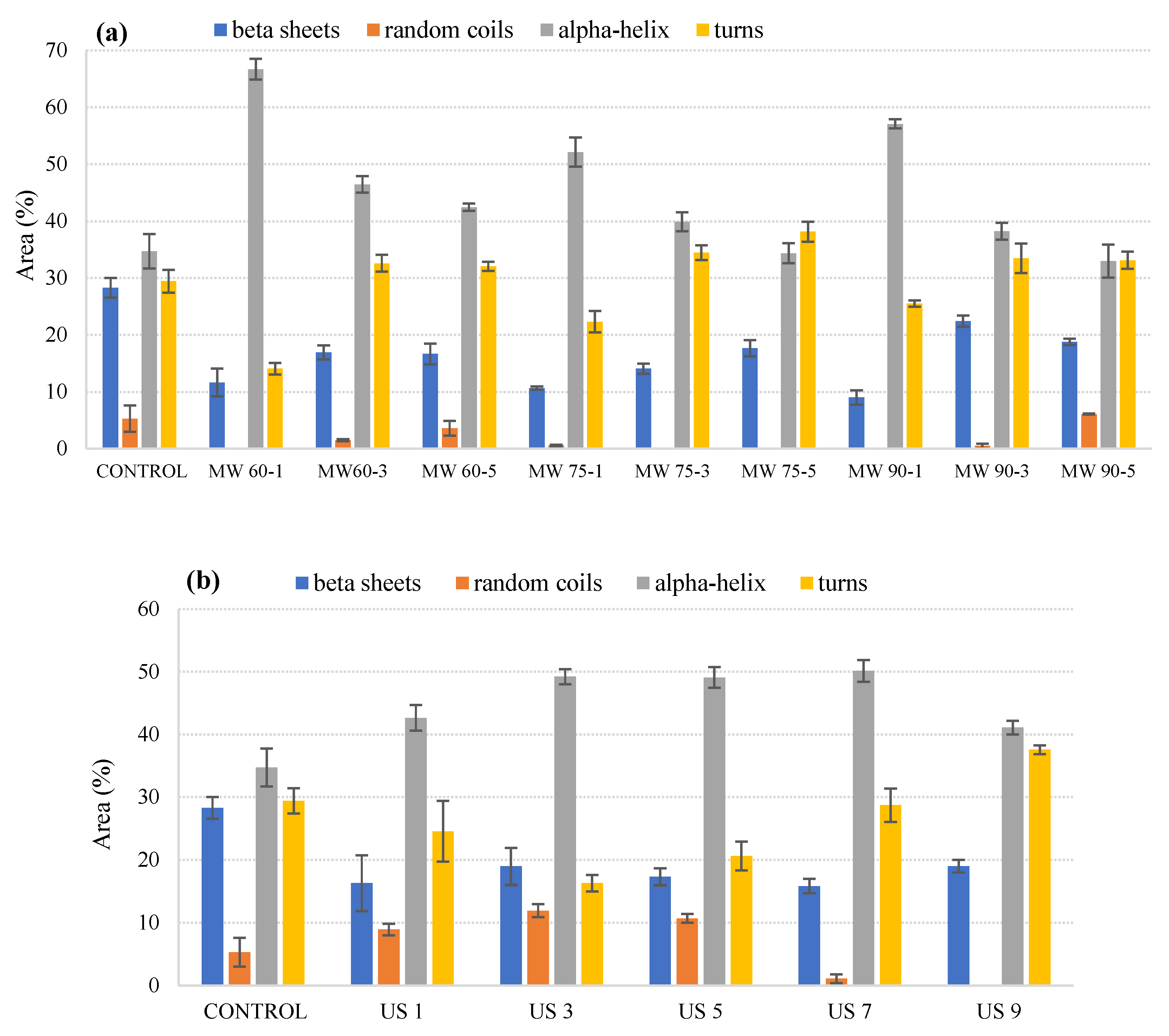
3.1. FTIR Analysis
3.2. Effect of Processing on Protein Digestibility
4. Conclusions
Author Contributions
Funding
Institutional Review Board Statement
Informed Consent Statement
Data Availability Statement
Conflicts of Interest
References
- Alkanhal, H.A.; Al-Othman, A.A.; Hewedi, F.M. Changes in protein nutritional quality in fresh and recombined ultra high temperature treated milk during storage. Int. J. Food Sci. Nutr. 2001, 52, 509–514. [Google Scholar] [CrossRef] [PubMed]
- Bannon, G.; Fu, T.-J.; Kimber, I.; Hinton, D.M. Protein digestibility and relevance to allergenicity. Environ. Health Perspect. 2003, 111, 1122–1124. [Google Scholar] [CrossRef] [Green Version]
- Bu, G.; Luo, Y.; Chen, F.; Liu, K.; Zhu, T. Milk processing as a tool to reduce cow’s milk allergenicity: A mini-review. Dairy Sci. Technol. 2013, 93, 211–223. [Google Scholar] [CrossRef] [PubMed] [Green Version]
- Chandrapala, J.; Zisu, B.; Palmer, M.; Kentish, S.; Ashokkumar, M. Effects of ultrasound on the thermal and structural characteristics of proteins in reconstituted whey protein concentrate. Ultrason. Sonochemistry 2011, 18, 951–957. [Google Scholar] [CrossRef]
- Chemat, F.; Khan, M.K. Applications of ultrasound in food technology: Processing, preservation and extraction. Ultrason. Sonochemistry 2011, 18, 813–835. [Google Scholar] [CrossRef] [PubMed]
- Chouliara, E.; Georgogianni, K.; Kanellopoulou, N.; Kontominas, M. Effect of ultrasonication on microbiological, chemical and sensory properties of raw, thermized and pasteurized milk. Int. Dairy J. 2010, 20, 307–313. [Google Scholar] [CrossRef]
- D’amico, D.J.; Silk, T.M.; Wu, J.; Guo, M. Inactivation of microorganisms in milk and apple cider treated with ultrasound. J. Food Prot. 2006, 69, 556–563. [Google Scholar] [CrossRef] [PubMed]
- De Figueiredo Furtado, G.; Mantovani, R.A.; Consoli, L.; Hubinger, M.D.; da Cunha, R.L. Structural and emulsifying properties of sodium caseinate and lactoferrin influenced by ultrasound process. Food Hydrocoll. 2017, 63, 178–188. [Google Scholar] [CrossRef]
- Friedman, M. Chemistry, nutrition, and microbiology of D-amino acids. J. Agric. Food Chem. 1999, 47, 3457–3479. [Google Scholar] [CrossRef]
- Gomaa, A.I.; Nsonzi, F.; Sedman, J.; Ismail, A.A. Enhanced Unfolding of Bovine β-Lactoglobulin Structure Using Microwave Treatment: A Multi-Spectroscopic Study. Food Biophys. 2016, 11, 370–379. [Google Scholar] [CrossRef]
- Grewal, M.K.; Chandrapala, J.; Donkor, O.; Apostolopoulos, V.; Stojanovska, L.; Vasiljevic, T. Fourier transform infrared spectroscopy analysis of physicochemical changes in UHT milk during accelerated storage. Int. Dairy J. 2017, 66, 99–107. [Google Scholar] [CrossRef] [Green Version]
- Hejazi, S.N.; Orsat, V. Malting process optimization for protein digestibility enhancement in finger millet grain. J. Food Sci. Technol. 2016, 53, 1929–1938. [Google Scholar] [CrossRef] [PubMed] [Green Version]
- Iuliana, C.; Rodica, C.; Sorina, R.; Oana, M. Impact of microwaves on the physico-chemical characteristics of cow milk. Rom. Rep. Phys. 2015, 67, 423–430. [Google Scholar]
- Kakade, M.; Evans, R.J. Chemical and enzymatic determinations of available lysine in raw and heated navy beans (Phaseolus vulgaris). Can. J. Biochem. 1966, 44, 648–650. [Google Scholar] [CrossRef]
- Lacroix, M.; Léonil, J.; Bos, C.; Henry, G.; Airinei, G.; Fauquant, J.; Tomé, D.; Gaudichon, C. Heat markers and quality indexes of industrially heat-treated [15N] milk protein measured in rats. J. Agric. Food Chem. 2006, 54, 1508–1517. [Google Scholar] [CrossRef] [PubMed]
- Lönnerdal, B. Nutritional and physiologic significance of human milk proteins. Am. J. Clin. Nutr. 2003, 77, 1537S–1543S. [Google Scholar] [CrossRef] [PubMed]
- Majid, I.; Nayik, G.A.; Nanda, V. Ultrasonication and food technology: A review. Cogent Food Agric. 2015, 1, 1071022. [Google Scholar] [CrossRef]
- Marvin, L.F.; Parisod, V.; Fay, L.B.; Guy, P.A. Characterization of lactosylated proteins of infant formula powders using two-dimensional gel electrophoresis and nanoelectrospray mass spectrometry. Electrophoresis 2002, 23, 2505–2512. [Google Scholar] [CrossRef]
- Muehlhoff, E.; Bennett, A.; McMahon, D. Milk and Dairy Products in Human Nutrition; Food and Agriculture Organization of the United Nations (FAO): Rome, Italy, 2013. [Google Scholar]
- Murphy, E.G.; Fenelon, M.A.; Roos, Y.H.; Hogan, S.A. Decoupling macronutrient interactions during heating of model infant milk formulas. J. Agric. Food Chem. 2014, 62, 10585–10593. [Google Scholar] [CrossRef]
- Patel, H.A.; Singh, H.; Anema, S.G.; Creamer, L.K. Effects of heat and high hydrostatic pressure treatments on disulfide bonding interchanges among the proteins in skim milk. J. Agric. Food Chem. 2006, 54, 3409–3420. [Google Scholar] [CrossRef]
- Peram, M.R.; Loveday, S.M.; Ye, A.; Singh, H. In vitro gastric digestion of heat-induced aggregates of β-lactoglobulin. J. Dairy Sci. 2013, 96, 63–74. [Google Scholar] [CrossRef] [Green Version]
- Qi, X.L.; Carl, H.; Mcnulty, D.; Clarke, D.T.; Brownlow, S.; Jones, G.R. Effect of temperature on the secondary structure of β-lactoglobulin at pH 6.7, as determined by CD and IR spectroscopy: A test of the molten globule hypothesis. Biochem. J. 1997, 324, 341–346. [Google Scholar] [CrossRef]
- Qian, J.-Y.; Ma, L.-J.; Wang, L.-J.; Jiang, W. Effect of pulsed electric field on structural properties of protein in solid state. LWT-Food Sci. Technol. 2016, 74, 331–337. [Google Scholar] [CrossRef]
- Rahaman, T.; Vasiljevic, T.; Ramchandran, L. Effect of processing on conformational changes of food proteins related to allergenicity. Trends Food Sci. Technol. 2016, 49, 24–34. [Google Scholar] [CrossRef]
- Raikos, V. Effect of heat treatment on milk protein functionality at emulsion interfaces. A review. Food Hydrocoll. 2010, 24, 259–265. [Google Scholar] [CrossRef]
- Raikos, V.; Dassios, T. Health-promoting properties of bioactive peptides derived from milk proteins in infant food: A review. Dairy Sci. Technol. 2014, 94, 91–101. [Google Scholar] [CrossRef] [PubMed] [Green Version]
- Rérat, A.; Calmes, R.; Vaissade, P.; Finot, P.-A. Nutritional and metabolic consequences of the early Maillard reaction of heat treated milk in the pig. Eur. J. Nutr. 2002, 41, 1–11. [Google Scholar] [CrossRef] [PubMed]
- Robbins, K.R.; Baker, D.H.; Finley, J.W. Studies on the Utilization of Lysinoalamine and Lanthionine. J. Nutr. 1980, 110, 907–915. [Google Scholar] [CrossRef] [PubMed]
- Sankaram, M.B.; Marsh, D. Protein-lipid interactions with peripheral membrane proteins. In New Comprehensive Biochemistry; Elsevier: Amsterdam, The Netherlands, 1993; Volume 25, pp. 127–162. [Google Scholar]
- Sen, M.; Kopper, R.; Pons, L.; Abraham, E.C.; Burks, A.W.; Bannon, G.A. Protein structure plays a critical role in peanut allergen stability and may determine immunodominant IgE-binding epitopes. J. Immunol. 2002, 169, 882–887. [Google Scholar] [CrossRef] [PubMed] [Green Version]
- Stanic-Vucinic, D.; Stojadinovic, M.; Atanaskovic-Markovic, M.; Ognjenovic, J.; Grönlund, H.; van Hage, M.; Lantto, R.; Sancho, A.I.; Velickovic, T.C. Structural changes and allergenic properties of β-lactoglobulin upon exposure to high-intensity ultrasound. Mol. Nutr. Food Res. 2012, 56, 1894–1905. [Google Scholar] [CrossRef]
- Swaisgood, H.E.; Catignani, G.L. Digestibility of Modified Milk Proteins: Nutritional Implications1. J. Dairy Sci. 1985, 68, 2782–2790. [Google Scholar] [CrossRef]
- Tammineedi, C.V.; Choudhary, R. Recent advances in processing for reducing dairy and food allergenicity. Int. J. Food Sci. Nutr. Eng. 2014, 4, 36–42. [Google Scholar]
- Tomé, D.; Bos, C. Lysine requirement through the human life cycle. J. Nutr. 2007, 137, 1642S–1645S. [Google Scholar] [CrossRef] [Green Version]
- Van Boekel, M. Effect of heating on Maillard reactions in milk. Food Chem. 1998, 62, 403–414. [Google Scholar] [CrossRef]
- Vanga, S.K.; Raghavan, V. How well do plant based alternatives fare nutritionally compared to cow’s milk? J. Food Sci. Technol. 2018, 55, 10–20. [Google Scholar] [CrossRef] [PubMed]
- Vanga, S.K.; Singh, A.; Kalkan, F.; Gariepy, Y.; Orsat, V.; Raghavan, V. Effect of thermal and high electric fields on secondary structure of Peanut protein. Int. J. Food Prop. 2016, 19, 1259–1271. [Google Scholar] [CrossRef] [Green Version]
- Vanga, S.K.; Singh, A.; Raghavan, V. Review of conventional and novel food processing methods on food allergens. Crit. Rev. Food Sci. Nutr. 2017, 57, 2077–2094. [Google Scholar] [CrossRef]
- Vanga, S.K.; Wang, J.; Jayaram, S.; Raghavan, V. Effects of Pulsed Electric Fields and Ultrasound Processing on Proteins and Enzymes: A Review. Processes 2021, 9, 722. [Google Scholar] [CrossRef]
- Vilela, R.M.; Lands, L.C.; Chan, H.M.; Azadi, B.; Kubow, S. High hydrostatic pressure enhances whey protein digestibility to generate whey peptides that improve glutathione status in CFTR-deficient lung epithelial cells. Mol. Nutr. Food Res. 2006, 50, 1013–1029. [Google Scholar] [CrossRef]
- Wada, Y.; Lönnerdal, B. Effects of different industrial heating processes of milk on site-specific protein modifications and their relationship to in vitro and in vivo digestibility. J. Agric. Food Chem. 2014, 62, 4175–4185. [Google Scholar] [CrossRef] [PubMed]
- Wang, K.; Sun, D.-W.; Pu, H.; Wei, Q. Principles and applications of spectroscopic techniques for evaluating food protein conformational changes: A review. Trends Food Sci. Technol. 2017, 67, 207–219. [Google Scholar] [CrossRef]
- Wu, J.; Gamage, T.; Vilkhu, K.; Simons, L.; Mawson, R. Effect of thermosonication on quality improvement of tomato juice. Innov. Food Sci. Emerg. Technol. 2008, 9, 186–195. [Google Scholar] [CrossRef]




| (a) Microwave | Temperature (°C) | ||
|---|---|---|---|
| Time (min) | 60 | 75 | 90 |
| 1 | MW 60-1 | MW 75-1 | MW 90-1 |
| 3 | MW 60-3 | MW 75-3 | MW 90-3 |
| 5 | MW 60-5 | MW 75-5 | MW 90-5 |
| (b) Ultrasound | (c) Thermosonication | ||
| Time (min) | Samples | Time (min) | Samples |
| 1 | US 1 | 1 | TS 1 |
| 3 | US 3 | 3 | TS 3 |
| 5 | US 5 | 5 | TS 5 |
| 7 | US 7 | 7 | TS 7 |
| 9 | US 9 | 9 | TS 9 |
| Amide I Frequency (cm−1) | Structure |
|---|---|
| 1624–1639 | β-sheets |
| 1642–1645 | Random coils |
| 1648–1660 | α-helix |
| 1662–1697 | β-turns |
| (a) Microwave | IVPD (%) | ||
|---|---|---|---|
| Time (min) | 60 | 75 | 90 |
| 1 | 74.96 ± 3.08 ab | 93.4 ± 4.27 e | 78.82 ± 1.52 abcd |
| 3 | 76.14 ± 4.38 abc | 86.06 ± 3.30 cde | 79.66 ± 4.65 abcd |
| 5 | 72.56 ± 1.70 a | 73.65 ± 2.62 a | 88.63 ± 1.02 de |
| (b) Ultrasound | (c)Thermosonication | ||
| Samples | IVPD (%) | Samples | IVPD (%) |
| US 1 | 94.41 ± 2.58 b | TS 1 | 68.76 ± 4.4 a |
| US 3 | 93.05 ± 4.74 b | TS 3 | 77.47 ± 2.1 abc |
| US 5 | 92.48 ± 1.68 b | TS 5 | 76.84 ± 1.76 abc |
| US 7 | 90.20 ± 3.94 b | TS 7 | 74.25 ± 2.92 ab |
| US 9 | 92.86 ± 2.40 b | TS 9 | 78.81± 1.52 bc |
Publisher’s Note: MDPI stays neutral with regard to jurisdictional claims in published maps and institutional affiliations. |
© 2022 by the authors. Licensee MDPI, Basel, Switzerland. This article is an open access article distributed under the terms and conditions of the Creative Commons Attribution (CC BY) license (https://creativecommons.org/licenses/by/4.0/).
Share and Cite
Wang, J.; Saxena, R.; Vanga, S.K.; Raghavan, V. Effects of Microwaves, Ultrasonication, and Thermosonication on the Secondary Structure and Digestibility of Bovine Milk Protein. Foods 2022, 11, 138. https://doi.org/10.3390/foods11020138
Wang J, Saxena R, Vanga SK, Raghavan V. Effects of Microwaves, Ultrasonication, and Thermosonication on the Secondary Structure and Digestibility of Bovine Milk Protein. Foods. 2022; 11(2):138. https://doi.org/10.3390/foods11020138
Chicago/Turabian StyleWang, Jin, Rachit Saxena, Sai Kranthi Vanga, and Vijaya Raghavan. 2022. "Effects of Microwaves, Ultrasonication, and Thermosonication on the Secondary Structure and Digestibility of Bovine Milk Protein" Foods 11, no. 2: 138. https://doi.org/10.3390/foods11020138
APA StyleWang, J., Saxena, R., Vanga, S. K., & Raghavan, V. (2022). Effects of Microwaves, Ultrasonication, and Thermosonication on the Secondary Structure and Digestibility of Bovine Milk Protein. Foods, 11(2), 138. https://doi.org/10.3390/foods11020138

