Egg Freshness Prediction Model Using Real-Time Cold Chain Storage Condition Based on Transfer Learning
Abstract
1. Introduction
2. Materials and Methods
2.1. Data Acquisition
2.2. Apparatus
2.3. Data Processing
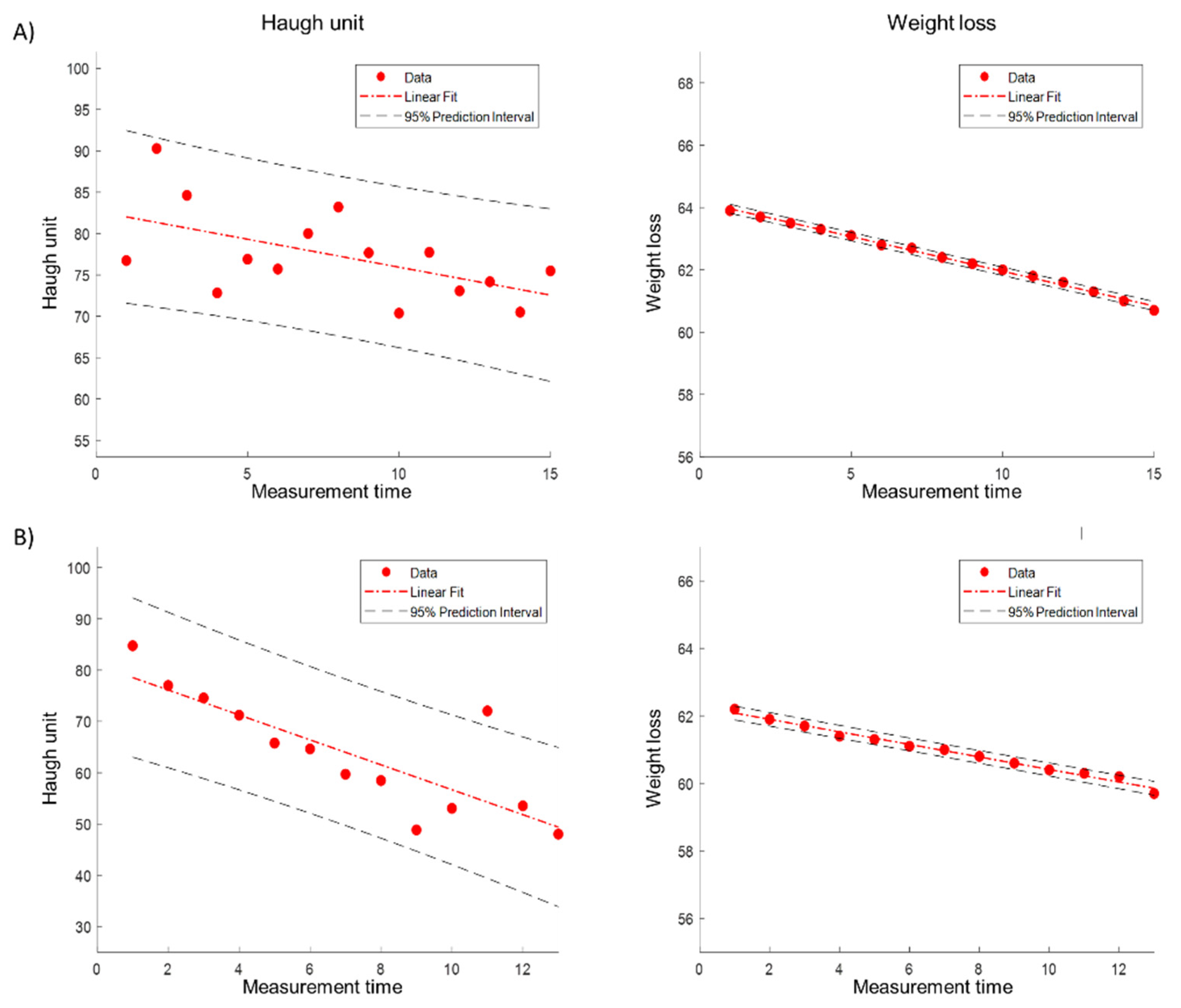
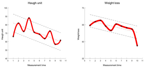
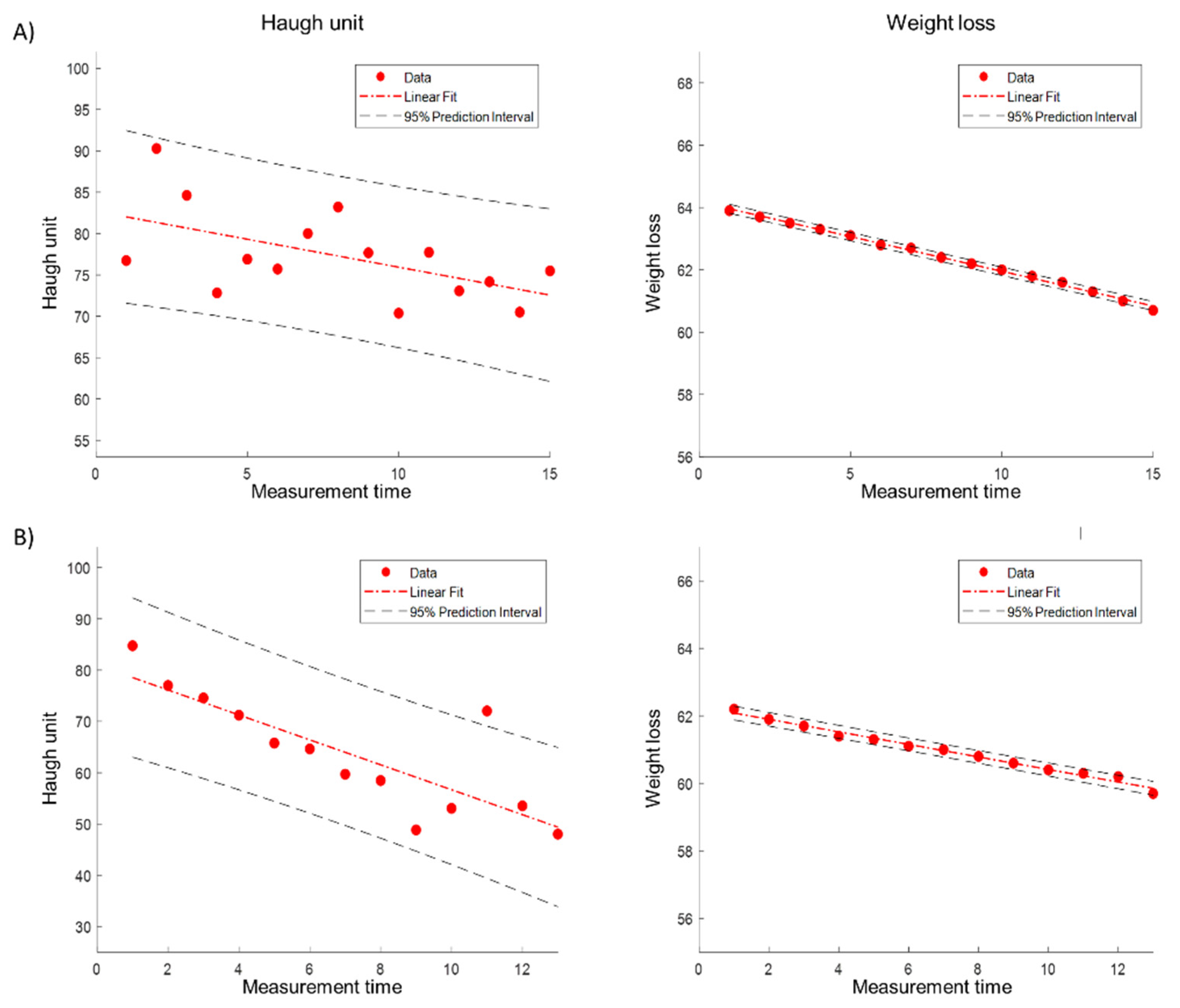
Data Sampling
2.4. Deep Learning-Based HU Prediction Model
2.4.1. Data Augmentation
2.4.2. Deep Learning
2.4.3. Convolutional Neural Network
2.4.4. Stacked Long Short-Term Memory
2.4.5. Transfer Learning
2.5. Hyperparameter Optimization
2.6. Machine Learning
2.7. Data Analysis and Performance Measure
3. Results
4. Discussion
5. Conclusions
Author Contributions
Funding
Data Availability Statement
Acknowledgments
Conflicts of Interest
References
- Brasil, Y.L.; Cruz-Tirado, J.P.; Barbin, D.F. Fast online estimation of quail eggs freshness using portable NIR spectrometer and machine learning. Food Control 2022, 131, 108418. [Google Scholar] [CrossRef]
- Rana, A.; Pandey, R.; Vats, R. Application of deep learning in food. ACADEMICIA Int. Multidiscip. Res. J. 2021, 11, 327–334. [Google Scholar]
- Narushin, V.G.; Romanov, M.N.; Bogatyr, V.P. AP–animal production technology: Relationship between pre-incubation egg parameters and chick weight after hatching in layer breeds. Biosyst. Eng. 2002, 83, 373–381. [Google Scholar] [CrossRef]
- Yimenu, S.M.; Kim, J.Y.; Kim, B.S. Prediction of egg freshness during storage using electronic nose. Poult. Sci. 2017, 96, 3733–3746. [Google Scholar] [CrossRef] [PubMed]
- Karoui, R.; Kemps, B.; Bamelis, F.; De Ketelaere, B.; Decuypere, E.; De Baerdemaeker, J. Methods to evaluate egg freshness in research and industry: A review. Eur. Food Res. Technol. 2006, 222, 727–732. [Google Scholar] [CrossRef]
- Mercier, S.; Villeneuve, S.; Mondor, M.; Uysal, I. Time–temperature management along the food cold chain: A review of recent developments. Compr. Rev. Food Sci. Food Saf. 2017, 16, 647–667. [Google Scholar] [CrossRef] [PubMed]
- Jin, Y.H.; Lee, K.T.; Lee, W.I.; Han, Y.K. Effects of storage temperature and time on the quality of eggs from laying hens at peak production. Asian-Australas. J. Anim. Sci. 2010, 24, 279–284. [Google Scholar] [CrossRef]
- Yimenu, S.M.; Kim, J.Y.; Koo, J.; Kim, B.S. Predictive modeling for monitoring egg freshness during variable temperature storage conditions. Poult. Sci. 2017, 96, 2811–2819. [Google Scholar] [CrossRef] [PubMed]
- Ragni, L.; Gradari, P.; Berardinelli, A.; Giunchi, A.; Guarnieri, A. Predicting quality parameters of shell eggs using a simple technique based on the dielectric properties. Biosyst. Eng. 2006, 94, 255–262. [Google Scholar] [CrossRef]
- Lin, H.; Zhao, J.; Sun, L.; Chen, Q.; Zhou, F. Freshness measurement of eggs using near infrared (NIR) spectroscopy and multivariate data analysis. Innov. Food Sci. Emerg. Technol. 2011, 12, 182–186. [Google Scholar] [CrossRef]
- Cruz-Tirado, J.P.; da Silva Medeiros, M.L.; Barbin, D.F. On-line monitoring of egg freshness using a portable NIR spectrometer in tandem with machine learning. J. Food Eng. 2021, 306, 110643. [Google Scholar] [CrossRef]
- Wang, T.; Shen, F.; Deng, H.; Cai, F.; Chen, S. Smartphone imaging spectrometer for egg/meat freshness monitoring. Anal. Methods 2022, 14, 508–517. [Google Scholar] [CrossRef] [PubMed]
- Huang, Q.; Qiu, N.; Ma, M.H.; Jin, Y.G.; Yang, H.; Geng, F.; Sun, S.H. Estimation of egg freshness using S-ovalbumin as an indicator. Poult. Sci. 2012, 91, 739–743. [Google Scholar] [CrossRef]
- Yimenu, S.M.; Koo, J.; Kim, J.Y.; Kim, J.H.; Kim, B.S. Kinetic modeling impacts of relative humidity, storage temperature, and air flow velocity on various indices of hen egg freshness. Poult. Sci. 2018, 97, 4384–4391. [Google Scholar] [CrossRef]
- Zhou, L.; Zhang, C.; Liu, F.; Qiu, Z.; He, Y. Application of deep learning in food: A review. Compr. Rev. Food Sci. Food Saf. 2019, 18, 1793–1811. [Google Scholar] [CrossRef]
- Nematinia, E.; Mehdizadeh, S.A. Assessment of egg freshness by prediction of Haugh unit and albumen pH using an artificial neural network. J. Food Meas. Charact. 2018, 12, 1449–1459. [Google Scholar] [CrossRef]
- Quan, C.; Xi, Q.; Shi, X.; Han, R.; Du, Q.; Forghani, F.; Xue, C.; Zhang, J.; Wang, J. Development of predictive models for egg freshness and shelf-life under different storage temperatures. Food Qual. Saf. 2021, 5, fyab021. [Google Scholar] [CrossRef]
- Giannakourou, M.C.; Koutsoumanis, K.; Nychas, G.J.E.; Taoukis, P.S. Field evaluation of the application of time temperature integrators for monitoring fish quality in the chill chain. Int. J. Food Microbiol. 2005, 102, 323–336. [Google Scholar] [CrossRef]
- Kim, T.H.; Choi, A.; Heo, H.M.; Kim, H.; Mun, J.H. Acceleration Magnitude at Impact Following Loss of Balance Can Be Estimated Using Deep Learning Model. Sensors 2020, 20, 6126. [Google Scholar] [CrossRef]
- Zhu, L.; Spachos, P.; Pensini, E.; Plataniotis, K.N. Deep learning and machine vision for food processing: A survey. Curr. Res. Food Sci. 2021, 4, 233–249. [Google Scholar] [CrossRef]
- Kim, J.; Santos, C.A.; Kim, B.S.; Kim, J.; Koo, J. Estimation of real-time remaining shelf life using mean kinetic temperature. LWT 2020, 134, 109968. [Google Scholar] [CrossRef]
- Yosinski, J.; Clune, J.; Bengio, Y.; Lipson, H. How transferable are features in deep neural networks? In Advances in Neural Information Processing Systems; Morgan Kaufmann Publishers Inc.: San Francisco, CA, USA, 2014; Volume 27. [Google Scholar]
- Wu, D.; Wang, Y.; Han, M.; Song, L.; Shang, Y.; Zhang, X.; Song, H. Using a CNN-LSTM for basic behaviors detection of a single dairy cow in a complex environment. Comput. Electron. Agric. 2021, 182, 106016. [Google Scholar] [CrossRef]
- Soudani, A.; Barhoumi, W. An image-based segmentation recommender using crowdsourcing and transfer learning for skin lesion extraction. Expert Syst. Appl. 2019, 118, 400–410. [Google Scholar] [CrossRef]
- Ismael, A.M.; Şengür, A. Deep learning approaches for COVID-19 detection based on chest X-ray images. Expert Syst. Appl. 2021, 164, 114054. [Google Scholar] [CrossRef]
- Zhao, Z.; Chen, W.; Wu, X.; Chen, P.C.; Liu, J. LSTM network: A deep learning approach for short-term traffic forecast. IET Intell. Transp. Syst. 2017, 11, 68–75. [Google Scholar] [CrossRef]
- Livieris, I.E.; Pintelas, E.; Pintelas, P. A CNN–LSTM model for gold price time-series forecasting. Neural Comput. Appl. 2020, 32, 17351–17360. [Google Scholar] [CrossRef]
- Wang, S.H.; Xie, S.; Chen, X.; Guttery, D.S.; Tang, C.; Sun, J.; Zhang, Y.D. Alcoholism identification based on an AlexNet transfer learning model. Front. Psychiatr. 2019, 10, 205. [Google Scholar] [CrossRef] [PubMed]
- Al-Dhamari, A.; Sudirman, R.; Mahmood, N.H. Transfer deep learning along with binary support vector machine for abnormal behavior detection. IEEE Access 2020, 8, 61085–61095. [Google Scholar] [CrossRef]
- Weimann, K.; Conrad, T.O. Transfer learning for ECG classification. Sci. Rep. 2021, 11, 5251. [Google Scholar] [CrossRef]
- Yoon, S.J.; Kim, T.H.; Joo, S.B.; Oh, S.E. Automatic multi-class intertrochanteric femur fracture detection from CT images based on AO/OTA classification using faster R-CNN-BO method. J. Appl. Biomed. 2020, 18, 97–105. [Google Scholar] [CrossRef]
- Tolson, B.A.; Shoemaker, C.A. Dynamically dimensioned search algorithm for computationally efficient watershed model calibration. Water Resour. Res. 2007, 43, W01413. [Google Scholar] [CrossRef]
- Wu, J.; Chen, X.Y.; Zhang, H.; Xiong, L.D.; Lei, H.; Deng, S.H. Hyperparameter optimization for machine learning models based on Bayesian optimization. J. Electron. Sci. Technol. 2019, 17, 26–40. [Google Scholar]
- Malfatti, L.H.; Zampar, A.; Galvão, A.C.; da Silva Robazza, W.; Boiago, M.M. Evaluating and predicting egg quality indicators through principal component analysis and artificial neural networks. LWT 2021, 148, 111720. [Google Scholar] [CrossRef]
- Coronel-Reyes, J.; Ramirez-Morales, I.; Fernandez-Blanco, E.; Rivero, D.; Pazos, A. Determination of egg storage time at room temperature using a low-cost NIR spectrometer and machine learning technique. Comput. Electron. Agric. 2018, 145, 1–10. [Google Scholar] [CrossRef]
- Akter, Y.; Kasim, A.; Omar, H.; Sazili, A.Q. Effect of storage time and temperature on the quality characteristics of chicken eggs. J. Food Agric. Environ. 2014, 12, 87–92. [Google Scholar]
- Lu, W.; Li, J.; Li, Y.; Sun, A.; Wang, J. A CNN-LSTM-based model to forecast stock prices. Complexity 2020, 2020, 6622927. [Google Scholar] [CrossRef]
- Alzahrani, S.; Aljamaan, I.A.; Al-Fakih, E.A. Forecasting the spread of the COVID-19 pandemic in Saudi Arabia using ARMIA prediction model under current public health intervention. J. Infect. Public Health 2020, 13, 914–919. [Google Scholar] [CrossRef]
- Song, H.; Kim, J.; Kim, B.S.; Koo, J. Development of a food temperature prediction model for real time food quality assessment. Int. J. Refrig. 2019, 98, 468–479. [Google Scholar] [CrossRef]
- Yan, R.; Liao, J.; Yang, J.; Sun, W.; Nong, M.; Li, F. Multi-hour and multi-site air quality index forecasting in Beijing using CNN, LSTM, CNN-LSTM, and spatiotemporal clustering. Expert Syst. Appl. 2021, 169, 114513. [Google Scholar] [CrossRef]












| Parameter | Values |
|---|---|
| Epochs | [25, 50] |
| Dropout rate | [0.1, 0.2, 0.3, 0.4, 0.5] |
| Mini batch size | [8, 16, 32, 64] |
| Gradient threshold | [0, 1, 2, 3, 4, 5, 6] |
| Gradient threshold method | [Global-l2norm, l2norm] |
| Learning rate | [0.00001, 0.0001, 0.001, 0.01] |
| Optimizer | [ADAM, SGDM, RMSProp] |
| Moment | [0.6, 0.7, 0.8, 0.9] |
| Performance | Model Type | No Data Augmentation | Data Augmentation |
|---|---|---|---|
| RMSE | Temperature with ANN | 7.59 ± 0.29 | 6.67 ± 0.15 |
| Temperature with RF | 6.55 ± 0.30 | 6.06 ± 0.17 | |
| Weight loss with ANN | 9.19 ± 0.56 | 8.08 ± 0.34 | |
| Weight loss with RF | 7.44 ± 0.33 | 6.64 ± 0.21 | |
| Temperature CNN-LSTM | 2.04 ± 0.29 | 1.27 ± 0.37 | |
| Weight loss CNN-LSTM | 4.39 ± 1.14 | 2.02 ± 0.35 | |
| MAE | Temperature with ANN | 5.21 ± 0.27 | 4.96 ± 0.11 |
| Temperature with RF | 4.22 ± 1.78 | 4.59 ± 0.10 | |
| Weight loss with ANN | 6.97 ± 0.24 | 5.13 ± 2.26 | |
| Weight loss with RF | 5.76 ± 0.31 | 4.99 ± 0.17 | |
| Temperature CNN-LSTM | 1.45 ± 0.21 | 0.92 ± 0.27 | |
| Weight loss CNN-LSTM | 3.17 ± 0.74 | 1.40 ± 0.24 | |
| R | Temperature with ANN | 0.75 ± 0.03 | 0.79 ± 0.01 |
| Temperature with RF | 0.76 ± 0.02 | 0.80 ± 0.02 | |
| Weight loss with ANN | 0.56 ± 0.03 | 0.62 ± 0.02 | |
| Weight loss with RF | 0.68 ± 0.02 | 0.76 ± 0.02 | |
| Temperature CNN-LSTM | 0.95 ± 0.01 | 0.98 ± 0.01 | |
| Weight loss CNN-LSTM | 0.87 ± 0.06 | 0.96 ± 0.01 |
| Model Type | Data Augmentation | Performance | Trial #1 | Trial #2 | Trial #3 | Trial #4 | Trial #5 | Average |
|---|---|---|---|---|---|---|---|---|
| Temperature with ANN | No DA | RMSE | 8.13 | 7.26 | 7.55 | 7.47 | 7.56 | 7.59 |
| MAE | 5.73 | 5.11 | 5.03 | 5.01 | 5.19 | 5.21 | ||
| R | 0.70 | 0.78 | 0.76 | 0.75 | 0.76 | 0.75 | ||
| DA | RMSE | 6.79 | 6.83 | 6.71 | 6.62 | 6.41 | 6.67 | |
| MAE | 5.13 | 4.99 | 4.96 | 4.97 | 4.76 | 4.96 | ||
| R | 0.77 | 0.78 | 0.80 | 0.79 | 0.81 | 0.79 | ||
| Temperature with RF | No DA | RMSE | 6.74 | 6.01 | 6.76 | 6.47 | 6.79 | 6.55 |
| MAE | 5.23 | 0.67 | 5.11 | 4.88 | 5.2 | 4.22 | ||
| R | 0.74 | 0.79 | 0.74 | 0.77 | 0.74 | 0.75 | ||
| DA | RMSE | 5.91 | 5.99 | 5.90 | 6.2 | 6.32 | 6.06 | |
| MAE | 4.54 | 4.47 | 4.53 | 4.68 | 4.75 | 4.59 | ||
| R | 0.81 | 0.80 | 0.82 | 0.77 | 0.79 | 0.79 | ||
| Weight with ANN | No DA | RMSE | 9.03 | 9.11 | 10.01 | 9.48 | 8.32 | 9.19 |
| MAE | 7.01 | 6.96 | 7.09 | 7.27 | 6.53 | 6.97 | ||
| R | 0.57 | 0.54 | 0.54 | 0.57 | 0.61 | 0.56 | ||
| DA | RMSE | 8.14 | 7.73 | 7.79 | 8.68 | 8.09 | 8.08 | |
| MAE | 6.44 | 6.09 | 6.08 | 6.29 | 6.21 | 5.13 | ||
| R | 0.62 | 0.65 | 0.64 | 0.59 | 0.63 | 0.62 | ||
| Weight with RF | No DA | RMSE | 7.31 | 7.46 | 7.09 | 8.07 | 7.31 | 7.44 |
| MAE | 5.70 | 5.81 | 5.33 | 6.29 | 5.7 | 5.76 | ||
| R | 0.69 | 0.67 | 0.72 | 0.65 | 0.69 | 0.68 | ||
| DA | RMSE | 6.82 | 6.77 | 6.84 | 6.42 | 6.36 | 6.64 | |
| MAE | 5.08 | 5.07 | 5.22 | 4.78 | 4.82 | 4.99 | ||
| R | 0.75 | 0.75 | 0.74 | 0.79 | 0.78 | 0.76 | ||
| Source CNN-LSTM | No DA | RMSE | 2.10 | 2.26 | 1.69 | 1.71 | 2.44 | 2.04 |
| MAE | 1.49 | 1.65 | 1.22 | 1.22 | 1.71 | 1.45 | ||
| R | 0.93 | 0.96 | 0.97 | 0.97 | 0.95 | 0.95 | ||
| DA | RMSE | 1.03 | 1.83 | 1.59 | 1.07 | 0.84 | 1.27 | |
| MAE | 0.79 | 1.34 | 1.12 | 0.78 | 0.58 | 0.92 | ||
| R | 0.98 | 0.97 | 0.97 | 0.98 | 0.99 | 0.98 | ||
| Target CNN-LSTM | No DA | RMSE | 3.74 | 4.42 | 4.93 | 6.15 | 2.74 | 4.39 |
| MAE | 2.65 | 3.49 | 3.30 | 4.30 | 2.11 | 3.17 | ||
| R | 0.90 | 0.88 | 0.81 | 0.79 | 0.95 | 0.87 | ||
| DA | RMSE | 2.35 | 1.73 | 1.65 | 1.86 | 2.53 | 2.02 | |
| MAE | 1.61 | 1.17 | 1.13 | 1.36 | 1.73 | 1.40 | ||
| R | 0.95 | 0.97 | 0.97 | 0.97 | 0.94 | 0.96 |
Publisher’s Note: MDPI stays neutral with regard to jurisdictional claims in published maps and institutional affiliations. |
© 2022 by the authors. Licensee MDPI, Basel, Switzerland. This article is an open access article distributed under the terms and conditions of the Creative Commons Attribution (CC BY) license (https://creativecommons.org/licenses/by/4.0/).
Share and Cite
Kim, T.H.; Kim, J.H.; Kim, J.Y.; Oh, S.E. Egg Freshness Prediction Model Using Real-Time Cold Chain Storage Condition Based on Transfer Learning. Foods 2022, 11, 3082. https://doi.org/10.3390/foods11193082
Kim TH, Kim JH, Kim JY, Oh SE. Egg Freshness Prediction Model Using Real-Time Cold Chain Storage Condition Based on Transfer Learning. Foods. 2022; 11(19):3082. https://doi.org/10.3390/foods11193082
Chicago/Turabian StyleKim, Tae Hyong, Jong Hoon Kim, Ji Young Kim, and Seung Eel Oh. 2022. "Egg Freshness Prediction Model Using Real-Time Cold Chain Storage Condition Based on Transfer Learning" Foods 11, no. 19: 3082. https://doi.org/10.3390/foods11193082
APA StyleKim, T. H., Kim, J. H., Kim, J. Y., & Oh, S. E. (2022). Egg Freshness Prediction Model Using Real-Time Cold Chain Storage Condition Based on Transfer Learning. Foods, 11(19), 3082. https://doi.org/10.3390/foods11193082

