Co-Fermentation of Edible Mushroom By-Products with Soybeans Enhances Nutritional Values, Isoflavone Aglycones, and Antioxidant Capacity of Douchi Koji
Abstract
1. Introduction
2. Materials and Methods
2.1. Materials and Reagents
2.2. Selection of Fermented Strains and Preparation of Douchi Koji
2.3. Optimization of EMDK
2.3.1. Single-Factor Tests
2.3.2. Response Surface Methodology (RSM)
2.4. Determination of Microbial Enzymes
2.4.1. Neutral Protease Activity
2.4.2. β-Glucosidase Activity
2.5. Determination of Amino Nitrogen (AN) Contents
2.6. Determination of Total Phenolics Content (TPC) and Total Flavonoid Content (TFC)
2.7. Determination of Isoflavones Contents
2.8. Determination of Antioxidant Capacity
2.9. Statistical Analysis
3. Results and Discussion
3.1. Screening of Strains with High Neutral Protease and β-Glucosidase Activities
3.2. Analysis of Single-Factor Tests
3.3. Response Surface Methodology (RSM) Experiments and Verification
3.3.1. Results of Box–Behnken Design (BBD)
3.3.2. Effects of Independent Variables on the Activities of Neutral Protease and β-Glucosidase
3.3.3. Verification of the Model
3.4. Analysis of Amino Nitrogen (AN) Contents
3.5. Analysis of TPC and TFC of Douchi Koji
3.6. Analysis of Isoflavones Contents of Douchi Koji
3.7. Analysis of Antioxidant Capacity of Douchi Koji
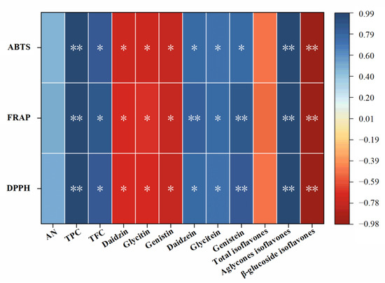
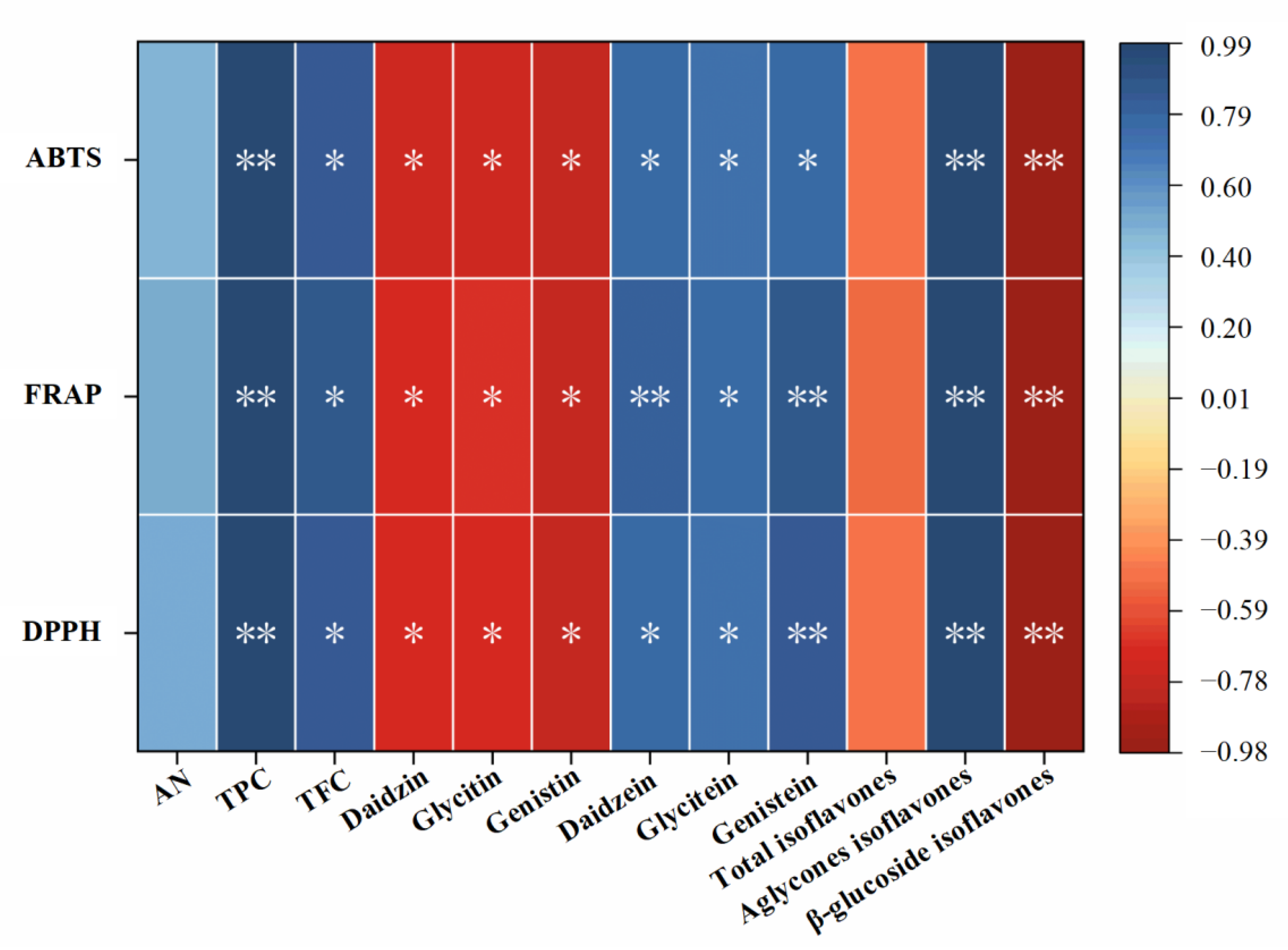
3.8. Correlation Analysis
4. Conclusions
Author Contributions
Funding
Institutional Review Board Statement
Informed Consent Statement
Data Availability Statement
Conflicts of Interest
Abbreviations
References
- He, B.; Li, H.; Hu, Z.; Zhang, Y.; Sun, M.; Qiu, S.; Zeng, B. Difference in microbial community and taste compounds between Mucor-type and Aspergillus-type Douchi during koji-making. Food Res. Int. 2019, 121, 136–143. [Google Scholar] [CrossRef] [PubMed]
- Zhang, Y.; Zeng, T.; Wang, H.; Song, J.; Suo, H. Correlation between the quality and microbial community of natural-type and artificial-type Yongchuan Douchi. LWT 2021, 140, 110788. [Google Scholar] [CrossRef]
- Deng, K.Y.; Li, E.N. Effects of different black bean hydrolyzate on protease activity of Douchi koji. J. Food Process. Preserv. 2015, 39, 1125–1131. [Google Scholar] [CrossRef]
- Fan, J.; Zhang, Y.; Chang, X.; Saito, M.; Li, Z. Changes in the radical scavenging activity of bacterial-type douchi, a traditional fermented soybean product, during the primary fermentation process. Biosci. Biotechnol. Biochem. 2009, 73, 2749–2753. [Google Scholar] [CrossRef]
- Wu, D.T.; An, L.Y.; Liu, W.; Hu, Y.C.; Wang, S.P.; Zou, L. In vitro fecal fermentation properties of polysaccharides from Tremella fuciformis and related modulation effects on gut microbiota. Food Res. Int. 2022, 156, 111185. [Google Scholar] [CrossRef]
- Rangel-Vargas, E.; Rodriguez, J.A.; Dominguez, R.; Lorenzo, J.M.; Sosa, M.E.; Andres, S.C.; Rosmini, M.; Perez-Alvarez, J.A.; Teixeira, A.; Santos, E.M. Edible mushrooms as a natural source of food ingredient/additive replacer. Foods 2021, 10, 2687. [Google Scholar] [CrossRef]
- Antunes, F.; Marcal, S.; Taofiq, O.; Morais, A.; Freitas, A.C.; Ferreira, I.; Pintado, M. Valorization of mushroom by-products as a source of value-added compounds and potential applications. Molecules 2020, 25, 2672. [Google Scholar] [CrossRef]
- Kumar, H.; Bhardwaj, K.; Sharma, R.; Nepovimova, E.; Cruz-Martins, N.; Dhanjal, D.S.; Singh, R.; Chopra, C.; Verma, R.; Abd-Elsalam, K.A. Potential usage of edible mushroom and their residues to retrieve valuable supplies for industrial applications. J. Fungi 2021, 7, 427. [Google Scholar] [CrossRef]
- Rathore, H.; Sehwag, S.; Prasad, S.; Sharma, S. Technological, nutritional, functional and sensorial attributes of the cookies fortified with Calocybe indica mushroom. J. Food Meas. Charact. 2019, 13, 976–987. [Google Scholar] [CrossRef]
- Chauhan, N.; Vaidya, D.; Gupta, A.; Pandit, A. Fortification of pasta with white button mushroom: Functional and rheological properties. Int. J. Food Ferment. Technol. 2017, 7, 87–96. [Google Scholar] [CrossRef]
- Lu, X.; Brennan, M.A.; Serventi, L.; Liu, J.; Guan, W.; Brennan, C.S. Addition of mushroom powder to pasta enhances the antioxidant content and modulates the predictive glycaemic response of pasta. Food Chem. 2018, 264, 199–209. [Google Scholar] [CrossRef] [PubMed]
- Wang, B.; Zhao, N.; Li, J.; Xu, R.; Wang, T.; Guo, L.; Ma, M.; Fan, M.; Wei, X. Selenium-enriched Lactobacillus plantarum improves the antioxidant activity and flavor properties of fermented Pleurotus eryngii. Food Chem. 2021, 345, 128770. [Google Scholar] [CrossRef] [PubMed]
- Goswami, B.; Majumdar, S.; Das, A.; Barui, A.; Bhowal, J. Evaluation of bioactive properties of Pleurotus ostreatus mushroom protein hydrolysate of different degree of hydrolysis. LWT 2021, 149, 111768. [Google Scholar] [CrossRef]
- Salehi, F. Characterization of different mushrooms powder and its application in bakery products: A review. Int. J. Food Prop. 2019, 22, 1375–1385. [Google Scholar] [CrossRef]
- Kong, Y.; Zhang, L.L.; Zhao, J.; Zhang, Y.Y.; Sun, B.G.; Chen, H.T. Isolation and identification of the umami peptides from shiitake mushroom by consecutive chromatography and LC-Q-TOF-MS. Food Res. Int. 2019, 121, 463–470. [Google Scholar] [CrossRef]
- Wang, L.J.; Yin, L.J.; Li, D.; Zou, L.; Saito, M.; Tatsumi, E.; Li, L.T. Influences of processing and NaCl supplementation on isoflavone contents and composition during douchi manufacturing. Food Chem. 2007, 101, 1247–1253. [Google Scholar] [CrossRef]
- Cheng, Y.Q.; Zhu, Y.P.; Hu, Q.; Li, L.T.; Saito, M.; Zhang, S.X.; Yin, L.J. Transformation of isoflavones during Sufu (a traditional chinese fermented soybean curd) production by fermentation with Mucor flavus at low temperature. Int. J. Food Prop. 2011, 14, 629–639. [Google Scholar] [CrossRef][Green Version]
- Ko, B.K.; Kim, K.M.; Hong, Y.S.; Lee, C.H. Metabolomic assessment of fermentative capability of soybean starter treated with high pressure. J. Agric. Food Chem. 2010, 58, 8738. [Google Scholar] [CrossRef]
- Liu, H.Y.; Liu, Y.; Mai, Y.H.; Guo, H.; He, X.Q.; Xia, Y.; Li, H.; Zhuang, Q.G.; Gan, R.Y. Phenolic content, main flavonoids, and antioxidant capacity of instant sweet tea (Lithocarpus litseifolius [Hance] Chun) prepared with different raw materials and drying methods. Foods 2021, 10, 1930. [Google Scholar] [CrossRef]
- Liu, Y.Q.; Wang, L.J.; Cheng, Y.Q.; Saito, M.; Yamaki, K. Isoflavone content and anti-acetylcholinesterase activity in commercial Douchi (a traditional Chinese salt-fermented soybean food). Jpn. Agric. Res. Q. 2009, 43, 301–307. [Google Scholar] [CrossRef]
- Li, Q.; Yang, F.; Zheng, G.; Guan, Z. Effects of urea ammonia pretreatment on the batch anaerobic fermentation efficiency of corn stovers. Int. J. Agric. Biol. Eng. 2019, 12, 169–173. [Google Scholar] [CrossRef]
- Xu, D.; Wang, P.; Zhang, X.; Zhang, J.; Sun, Y.; Gao, L.; Wang, W. High-throughput sequencing approach to characterize dynamic changes of the fungal and bacterial communities during the production of sufu, a traditional Chinese fermented soybean food. Food Microbiol. 2020, 86, 103340. [Google Scholar] [CrossRef] [PubMed]
- Li, Y.; Zhao, H.; Zhao, M.; Cui, C. Relationships between antioxidant activity and quality indices of soy sauce: An application of multivariate analysis. Int. J. Food Sci. Technol. 2009, 45, 133–139. [Google Scholar] [CrossRef]
- Xu, X.; Xu, R.; Song, Z.; Jia, Q.; Feng, T.; Huang, M.; Song, S. Identification of umami-tasting peptides from Volvariella volvacea using ultra performance liquid chromatography quadrupole time-of-flight mass spectrometry and sensory-guided separation techniques. J. Chromatogr. A 2019, 1596, 96–103. [Google Scholar] [CrossRef] [PubMed]
- Xu, L.; Du, B.; Xu, B. A systematic, comparative study on the beneficial health components and antioxidant activities of commercially fermented soy products marketed in China. Food Chem. 2015, 174, 202–213. [Google Scholar] [CrossRef]
- Alara, O.R.; Abdurahman, N.H.; Ukaegbu, C.I. Extraction of phenolic compounds: A review. Curr. Res. Food Sci. 2021, 4, 200–214. [Google Scholar] [CrossRef]
- Tyagi, A.; Shabbir, U.; Chelliah, R.; Daliri, E.B.; Chen, X.; Oh, D.H. Limosilactobacillus reuteri fermented brown rice: A product with enhanced bioactive compounds and antioxidant potential. Antioxidants 2021, 10, 1077. [Google Scholar] [CrossRef]
- Zhou, D.D.; Saimaiti, A.; Luo, M.; Huang, S.Y.; Xiong, R.G.; Shang, A.; Gan, R.Y.; Li, H.B. Fermentation with tea residues enhances antioxidant activities and polyphenol contents in kombucha beverages. Antioxidants 2022, 11, 155. [Google Scholar] [CrossRef]
- Ghasemzadeh, A.; Jaafar, H.Z.; Juraimi, A.S.; Tayebi-Meigooni, A. Comparative evaluation of different extraction techniques and solvents for the assay of phytochemicals and antioxidant activity of hashemi rice bran. Molecules 2015, 20, 10822–10838. [Google Scholar] [CrossRef]
- Wang, D.; Wang, L.J.; Zhu, F.X.; Zhu, J.Y.; Chen, X.D.; Zou, L.; Saito, M.; Li, L.T. In vitro and in vivo studies on the antioxidant activities of the aqueous extracts of Douchi (a traditional Chinese salt-fermented soybean food). Food Chem. 2008, 107, 1421–1428. [Google Scholar] [CrossRef]
- Chung, Y.; Park, J.Y.; Lee, J.E.; Kim, K.T.; Paik, H.D. Antioxidant activity and inhibitory effect on nitric oxide production of hydroponic ginseng fermented with Lactococcus lactis KC24. Antioxidants 2021, 10, 1614. [Google Scholar] [CrossRef] [PubMed]







| Independent Variable | Units | Code Levels | ||
|---|---|---|---|---|
| −1 | 0 | 1 | ||
| Inoculation amount (X1) | % (mL/g) | 4 | 6 | 8 |
| EMBP amount (X2) | % (g/g) | 15 | 20 | 25 |
| Fermentation time (X3) | h | 48 | 60 | 72 |
| Runs | X1 | X2 | X3 | Y1 | Y2 |
|---|---|---|---|---|---|
| Inoculation Amount (%) | EMBP Amount (%) | Fermentation Time (h) | Neutral Protease Activity (U/g) | β-Glucosidase Activity (U/g) | |
| 1 | −1 | 0 | −1 | 648.942 | 787.45 |
| 2 | −1 | −1 | 0 | 733.564 | 1040.33 |
| 3 | 0 | 0 | 0 | 793.387 | 1166.42 |
| 4 | 0 | 1 | 1 | 730.342 | 1007.93 |
| 5 | 0 | 0 | 0 | 792.987 | 1155.38 |
| 6 | 1 | 0 | −1 | 642.809 | 805.419 |
| 7 | −1 | 0 | 1 | 717.076 | 1019.45 |
| 8 | 0 | −1 | 1 | 720.627 | 1018.75 |
| 9 | 1 | 1 | 0 | 742.187 | 1059.18 |
| 10 | −1 | 1 | 0 | 756.72 | 988.789 |
| 11 | 0 | −1 | −1 | 650.453 | 730.366 |
| 12 | 0 | 0 | 0 | 788.187 | 1164.94 |
| 13 | 0 | 1 | −1 | 699.787 | 784.774 |
| 14 | 0 | 0 | 0 | 789.787 | 1156.1 |
| 15 | 1 | −1 | 0 | 726.187 | 998.538 |
| 16 | 1 | 0 | 1 | 685.387 | 1033.95 |
| 17 | 0 | 0 | 0 | 793.92 | 1160.82 |
| Response Value | F-Value | p-Value | Significant |
|---|---|---|---|
| Neutral protease | |||
| Model | 284.07 | <0.0001 | significant |
| Lack of Fit | 4.91 | 0.0792 | not significant |
| R2 | 0.9973 | ||
| R2Adj | 0.9938 | ||
| C.V.% | 0.5647 | ||
| Model | 284.07 | <0.0001 | significant |
| Lack of Fit | 4.91 | 0.0792 | not significant |
| β-glucosidase | |||
| Model | 455.88 | <0.0001 | significant |
| Lack of Fit | 6.33 | 0.0533 | not significant |
| R2 | 0.9983 | ||
| R2Adj | 0.9961 | ||
| C.V.% | 0.9029 | ||
| Model | 455.88 | <0.0001 | significant |
| Lack of Fit | 6.33 | 0.0533 | not significant |
| Samples | β-Glucoside | Aglycones | Total Isoflavones | ||||
|---|---|---|---|---|---|---|---|
| Daidzin | Glycitin | Genistin | Daidzein | Glycitein | Genistein | ||
| URS | 583.88 ± 5.75 | 69.85 ± 1.51 | 567.48 ± 7.95 a | 4.95 ± 0.21 c | 11.95 ± 0.40 c | 31.66 ± 0.52 b | 1269.77 ± 15.13 a |
| EMDK | nd | nd | 2.47 ± 0.68 b | 240.04 ± 4.12 a | 64.60 ± 1.60 a | 353.12 ± 4.16 a | 660.22 ± 8.17 b |
| DKWE | 3.12 ± 0.51 | nd | 16.24 ±0.33 b | 121.39 ± 1.70 b | 43.11 ± 0.85 b | 271.20 ± 3.72 a | 455.06 ± 5.62 b |
Publisher’s Note: MDPI stays neutral with regard to jurisdictional claims in published maps and institutional affiliations. |
© 2022 by the authors. Licensee MDPI, Basel, Switzerland. This article is an open access article distributed under the terms and conditions of the Creative Commons Attribution (CC BY) license (https://creativecommons.org/licenses/by/4.0/).
Share and Cite
He, X.; Rong, P.; Liu, H.; Gan, B.; Wu, D.; Li, H.; Gan, R. Co-Fermentation of Edible Mushroom By-Products with Soybeans Enhances Nutritional Values, Isoflavone Aglycones, and Antioxidant Capacity of Douchi Koji. Foods 2022, 11, 2943. https://doi.org/10.3390/foods11192943
He X, Rong P, Liu H, Gan B, Wu D, Li H, Gan R. Co-Fermentation of Edible Mushroom By-Products with Soybeans Enhances Nutritional Values, Isoflavone Aglycones, and Antioxidant Capacity of Douchi Koji. Foods. 2022; 11(19):2943. https://doi.org/10.3390/foods11192943
Chicago/Turabian StyleHe, Xiaoqin, Peixiu Rong, Hongyan Liu, Bingcheng Gan, Dingtao Wu, Huabin Li, and Renyou Gan. 2022. "Co-Fermentation of Edible Mushroom By-Products with Soybeans Enhances Nutritional Values, Isoflavone Aglycones, and Antioxidant Capacity of Douchi Koji" Foods 11, no. 19: 2943. https://doi.org/10.3390/foods11192943
APA StyleHe, X., Rong, P., Liu, H., Gan, B., Wu, D., Li, H., & Gan, R. (2022). Co-Fermentation of Edible Mushroom By-Products with Soybeans Enhances Nutritional Values, Isoflavone Aglycones, and Antioxidant Capacity of Douchi Koji. Foods, 11(19), 2943. https://doi.org/10.3390/foods11192943

