Technological Properties and Composition of Enzymatically Modified Cranberry Pomace
Abstract
:1. Introduction
2. Materials and Methods
2.1. Cranberry Pomace
2.2. Proximate Composition Analysis of Cranberry Pomace
2.3. Enzymatic Hydrolysis
2.4. Mono-, Disaccharides’ and Oligosaccharides’ Analysis by High-Pressure Liquid Chromatography with Refractive Index Detector (HPLC-RI)
2.5. In Vitro Assessment of the Prebiotic Activity
2.6. Total Phenolic Content (TPC) by Folin−Ciocalteu’s Assay
2.7. Water Retention Capacity (WRC)
2.8. Water Swelling Capacity (WSC)
2.9. Oil Retention Capacity (ORC)
2.10. Solubility
2.11. Emulsion Stability
2.12. Statistical Analyses
3. Results and Discussion
3.1. Chemical Composition
3.2. Yield of Water-Soluble Fraction
3.3. Saccharide Analysis
3.4. In Vitro Prebiotic Activity
3.5. Dietary Fiber and TPC Content after Enzymatic Hydrolysis
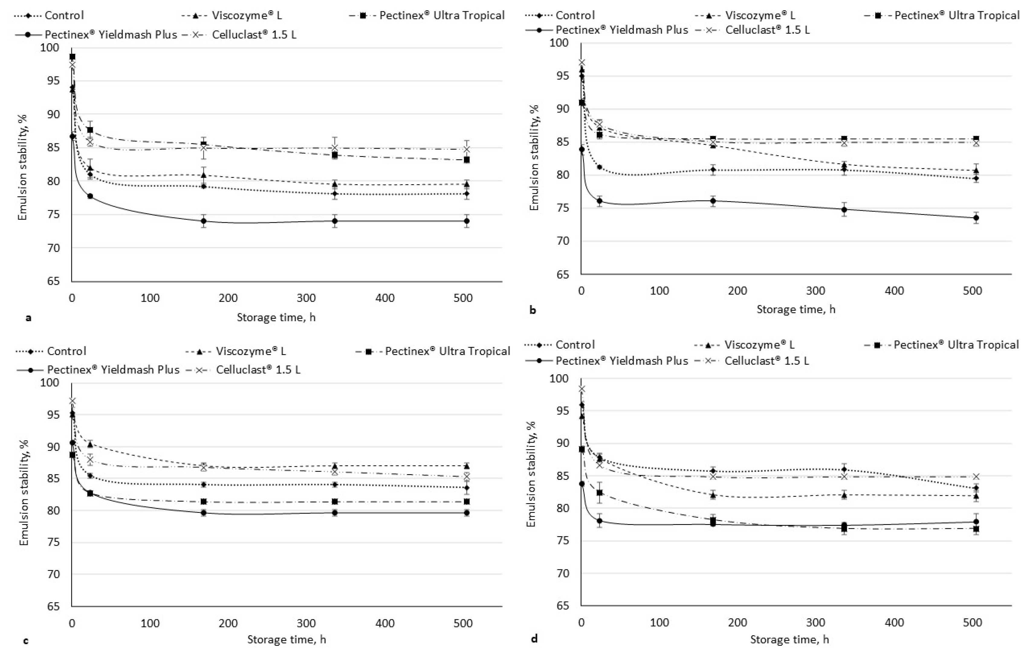
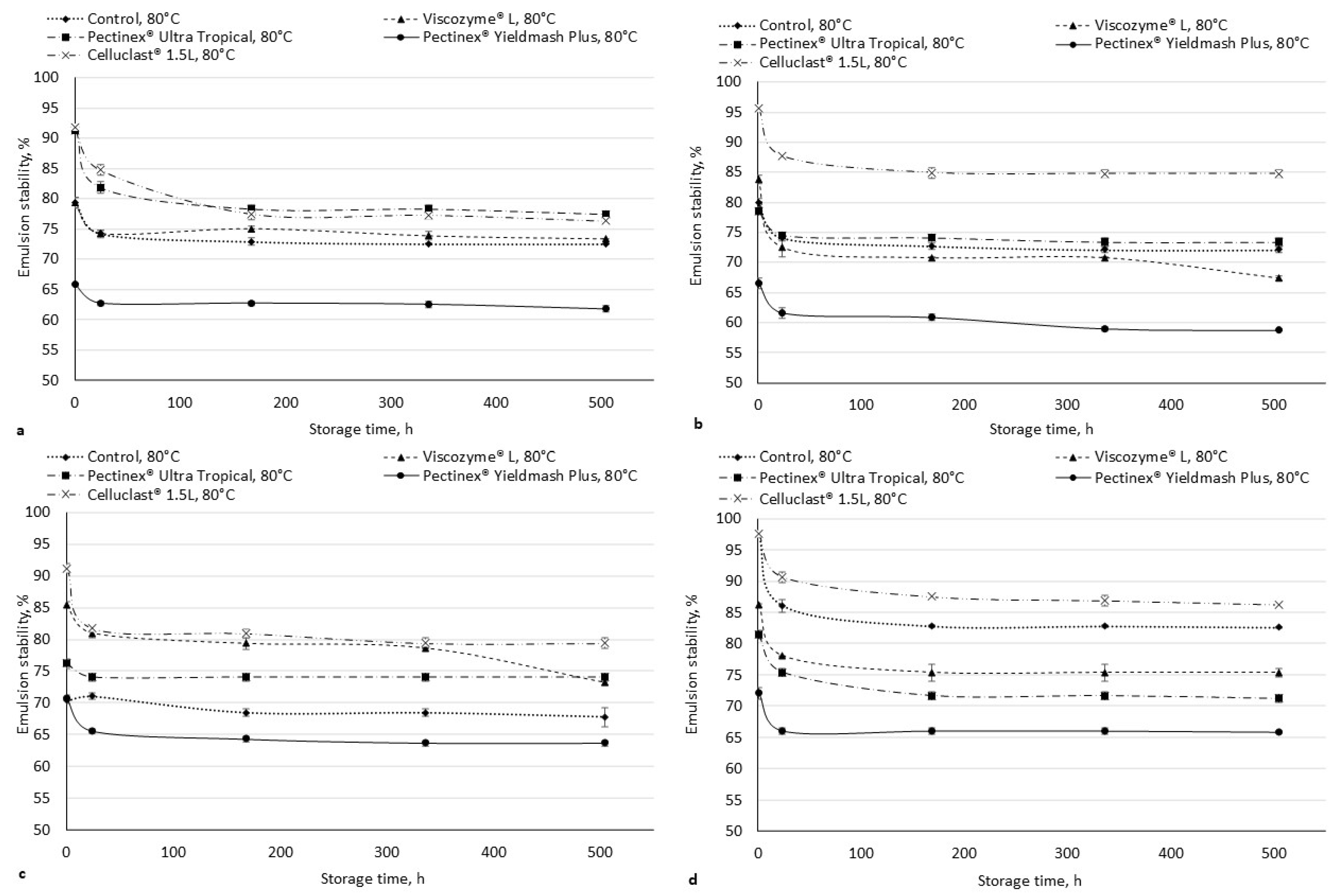
3.6. Technological Properties
4. Conclusions
Author Contributions
Funding
Institutional Review Board Statement
Informed Consent Statement
Data Availability Statement
Acknowledgments
Conflicts of Interest
References
- Hussain, S.; Jõudu, I.; Bhat, R. Dietary Fiber from Underutilized Plant Resources—A Positive Approach for Valorization of Fruit and Vegetable Wastes. Sustainability 2020, 12, 5401. [Google Scholar] [CrossRef]
- Banerjee, J.; Singh, R.; Vijayaraghavan, R.; MacFarlane, D.; Patti, A.F.; Arora, A. Bioactives from Fruit Processing Wastes: Green Approaches to Valuable Chemicals. Food Chem. 2017, 225, 10–22. [Google Scholar] [CrossRef]
- Coleman, C.M.; Ferreira, D. Oligosaccharides and Complex Carbohydrates: A New Paradigm for Cranberry Bioactivity. Molecules 2020, 25, 881. [Google Scholar] [CrossRef] [PubMed] [Green Version]
- FDA, authors Health Claims: Fruits, Vegetables, and Grain Products That Contain Fiber, Particularly Soluble Fiber, and Risk of Coronary Heart Disease. Available online: https://www.ecfr.gov/current/title-21/chapter-I/subchapter-B/part-101/subpart-E/section-101.77 (accessed on 28 May 2022).
- Rodríguez-Daza, M.-C.; Roquim, M.; Dudonné, S.; Pilon, G.; Levy, E.; Marette, A.; Roy, D.; Desjardins, Y. Berry Polyphenols and Fibers Modulate Distinct Microbial Metabolic Functions and Gut Microbiota Enterotype-Like Clustering in Obese Mice. Front. Microbiol. 2020, 11, 2032. [Google Scholar] [CrossRef] [PubMed]
- Islam, M.R.; Hassan, Y.I.; Das, Q.; Lepp, D.; Hernandez, M.; Godfrey, D.V.; Orban, S.; Ross, K.; Delaquis, P.; Diarra, M.S. Dietary Organic Cranberry Pomace Influences Multiple Blood Biochemical Parameters and Cecal Microbiota in Pasture-Raised Broiler Chickens. J. Funct. Foods 2020, 72, 104053. [Google Scholar] [CrossRef]
- Sun, J.; Marais, J.P.J.; Khoo, C.; LaPlante, K.; Vejborg, R.M.; Givskov, M.; Tolker-Nielsen, T.; Seeram, N.P.; Rowley, D.C. Cranberry (Vaccinium Macrocarpon) Oligosaccharides Decrease Biofilm Formation by Uropathogenic Escherichia Coli. J. Funct. Foods 2015, 17, 235–242. [Google Scholar] [CrossRef] [Green Version]
- Liu, S.-Q.; Hotchkiss, A.T.; Renye, J.A.; White, A.K.; Nunez, A.; Guron, G.K.P.; Chau, H.; Simon, S.; Poveda, C.; Walton, G.; et al. Cranberry Arabino-Xyloglucan and Pectic Oligosaccharides Induce Lactobacillus Growth and Short-Chain Fatty Acid Production. Microorganisms 2022, 10, 1346. [Google Scholar] [CrossRef]
- Lau, A.T.Y.; Arvaj, L.; Strange, P.; Goodwin, M.; Barbut, S.; Balamurugan, S. Effect of Cranberry Pomace on the Physicochemical Properties and Inactivation of Salmonella during the Manufacture of Dry Fermented Sausages. Curr. Res. Food Sci. 2021, 4, 636–645. [Google Scholar] [CrossRef] [PubMed]
- Gu, M.; Fang, H.; Gao, Y.; Su, T.; Niu, Y.; Yu, L. Characterization of Enzymatic Modified Soluble Dietary Fiber from Tomato Peels with High Release of Lycopene. Food Hydrocoll. 2020, 99, 105321. [Google Scholar] [CrossRef]
- Alberici, N.; Fiorentini, C.; House, A.; Dordoni, R.; Bassani, A.; Spigno, G. Enzymatic Pre-Treatment of Fruit Pomace for Fibre Hydrolysis and Antioxidants Release. Chem. Eng. Trans. 2020, 79, 175–180. [Google Scholar] [CrossRef]
- Canela-Xandri, A.; Balcells, M.; Villorbina, G.; Cubero, M.Á.; Canela-Garayoa, R. Effect of Enzymatic Treatments on Dietary Fruit Fibre Properties. Biocatal. Biotransform. 2018, 36, 172–179. [Google Scholar] [CrossRef] [Green Version]
- Total Dietary Fiber Assay Procedure. Megazyme 2017, 1–19. Available online: https://www.megazyme.com/documents/Assay_Protocol/K-TDFR-200A_DATA.pdf (accessed on 1 May 2022).
- Yoshida, B.Y.; Prudencio, S.H. Physical, Chemical, and Technofunctional Properties of Okara Modified by a Carbohydrase Mixture. LWT 2020, 134, 110141. [Google Scholar] [CrossRef]
- Kitrytė, V.; Kraujalienė, V.; Šulniūtė, V.; Pukalskas, A.; Venskutonis, P.R. Chokeberry Pomace Valorization into Food Ingredients by Enzyme-Assisted Extraction: Process Optimization and Product Characterization. Food Bioprod. Process. 2017, 105, 36–50. [Google Scholar] [CrossRef]
- Syrpas, M.; Valanciene, E.; Augustiniene, E.; Malys, N. Valorization of Bilberry (Vaccinium myrtillus L.) Pomace by Enzyme-Assisted Extraction: Process Optimization and Comparison with Conventional Solid-Liquid Extraction. Antioxidants 2021, 10, 773. [Google Scholar] [CrossRef]
- Moreno-Vilet, L.; Garcia-Hernandez, M.H.; Delgado-Portales, R.E.; Corral-Fernandez, N.E.; Cortez-Espinosa, N.; Ruiz-Cabrera, M.A.; Portales-Perez, D.P. In Vitro Assessment of Agave Fructans (Agave salmiana) as Prebiotics and Immune System Activators. Int. J. Biol. Macromol. 2014, 63, 181–187. [Google Scholar] [CrossRef] [PubMed]
- Singleton, V.L.; Orthofer, R.; Lamuela-Raventós, R.M. [14] Analysis of Total Phenols and Other Oxidation Substrates and Antioxidants by Means of Folin-Ciocalteu Reagent. Methods Enzymol. 1999, 299, 152–178. [Google Scholar] [CrossRef]
- Yu, G.; Bei, J.; Zhao, J.; Li, Q.; Cheng, C. Modification of Carrot (Daucus carota Linn. Var. Sativa Hoffm.) Pomace Insoluble Dietary Fiber with Complex Enzyme Method, Ultrafine Comminution, and High Hydrostatic Pressure. Food Chem. 2018, 257, 333–340. [Google Scholar] [CrossRef]
- White, B.L.; Howard, L.R.; Prior, R.L. Proximate and Polyphenolic Characterization of Cranberry Pomace. J. Agric. Food Chem. 2010, 58, 4030–4036. [Google Scholar] [CrossRef] [PubMed]
- Yoon, K.Y.; Cha, M.; Shin, S.R.; Kim, K.S. Enzymatic Production of a Soluble-Fibre Hydrolyzate from Carrot Pomace and Its Sugar Composition. Food Chem. 2005, 92, 151–157. [Google Scholar] [CrossRef]
- Spadoni Andreani, E.; Karboune, S. Comparison of Enzymatic and Microwave-Assisted Alkaline Extraction Approaches for the Generation of Oligosaccharides from American Cranberry (Vaccinium macrocarpon) Pomace. J. Food Sci. 2020, 85, 2443–2451. [Google Scholar] [CrossRef]
- Wang, X.; Huang, M.; Yang, F.; Sun, H.; Zhou, X.; Guo, Y.; Wang, X.; Zhang, M. Rapeseed Polysaccharides as Prebiotics on Growth and Acidifying Activity of Probiotics in Vitro. Carbohydr. Polym. 2015, 125, 232–240. [Google Scholar] [CrossRef] [PubMed]
- Huang, F.; Liu, H.; Zhang, R.; Dong, L.; Liu, L.; Ma, Y.; Jia, X.; Wang, G.; Zhang, M. Physicochemical Properties and Prebiotic Activities of Polysaccharides from Longan Pulp Based on Different Extraction Techniques. Carbohydr. Polym. 2019, 206, 344–351. [Google Scholar] [CrossRef]
- Altermann, E.; Russell, W.M.; Azcarate-Peril, M.A.; Barrangou, R.; Buck, B.L.; McAuliffe, O.; Souther, N.; Dobson, A.; Duong, T.; Callanan, M.; et al. Complete Genome Sequence of the Probiotic Lactic Acid Bacterium Lactobacillus acidophilus NCFM. Proc. Natl. Acad. Sci. USA 2005, 102, 3906–3912. [Google Scholar] [CrossRef] [Green Version]
- Pan, X.; Wu, T.; Zhang, L.; Cai, L.; Song, Z. Influence of Oligosaccharides on the Growth and Tolerance Capacity of Lactobacilli to Simulated Stress Environment. Lett. Appl. Microbiol. 2009, 48, 362–367. [Google Scholar] [CrossRef] [PubMed]
- Vernazza, C.L.; Gibson, G.R.; Rastall, R.A. Carbohydrate Preference, Acid Tolerance and Bile Tolerance in Five Strains of Bifidobacterium. J. Appl. Microbiol. 2006, 100, 846–853. [Google Scholar] [CrossRef] [PubMed]
- Li, D.; Kim, J.M.; Jin, Z.; Zhou, J. Prebiotic Effectiveness of Inulin Extracted from Edible Burdock. Anaerobe 2008, 14, 29–34. [Google Scholar] [CrossRef]
- Manning, T.S.; Gibson, G.R. Prebiotics. Best Pract. Res. Clin. Gastroenterol. 2004, 18, 287–298. [Google Scholar] [CrossRef] [PubMed]
- Stewart, M.L.; Timm, D.A.; Slavin, J.L. Fructooligosaccharides Exhibit More Rapid Fermentation than Long-Chain Inulin in an in Vitro Fermentation System. Nutr. Res. 2008, 28, 329–334. [Google Scholar] [CrossRef]
- Landbo, A.K.; Meyer, A.S. Enzyme-Assisted Extraction of Antioxidative Phenols from Black Currant Juice Press Residues (Ribes nigrum). J. Agric. Food Chem. 2001, 49, 3169–3177. [Google Scholar] [CrossRef] [PubMed]
- Mrabet, A.; Rodríguez-Gutiérrez, G.; Rubio-Senent, F.; Hamza, H.; Rodríguez-Arcos, R.; Guillén-Bejarano, R.; Sindic, M.; Jiménez-Araujo, A. Enzymatic Conversion of Date Fruit Fiber Concentrates into a New Product Enriched in Antioxidant Soluble Fiber. LWT 2017, 75, 727–734. [Google Scholar] [CrossRef] [Green Version]
- Spadoni Andreani, E.; Karboune, S.; Liu, L. Extraction and Characterization of Cell Wall Polysaccharides from Cranberry (Vaccinium macrocarpon Var. Stevens) Pomace. Carbohydr. Polym. 2021, 267, 118212. [Google Scholar] [CrossRef] [PubMed]
- Palafox-Carlos, H.; Ayala-Zavala, J.F.; González-Aguilar, G.A. The Role of Dietary Fiber in the Bioaccessibility and Bioavailability of Fruit and Vegetable Antioxidants. J. Food Sci. 2011, 76, R6–R15. [Google Scholar] [CrossRef] [Green Version]
- Gouw, V.P.; Jung, J.; Zhao, Y. Functional Properties, Bioactive Compounds, and in Vitro Gastrointestinal Digestion Study of Dried Fruit Pomace Powders as Functional Food Ingredients. LWT 2017, 80, 136–144. [Google Scholar] [CrossRef]
- Ross, K.A.; DeLury, N.; Fukumoto, L.; Diarra, M.S. Dried Berry Pomace as a Source of High Value-Added Bioproduct: Drying Kinetics and Bioactive Quality Indices. Int. J. Food Prop. 2020, 23, 2123–2143. [Google Scholar] [CrossRef]
- Česoniene, L.; Daubaras, R. Phytochemical Composition of the Large Cranberry (Vaccinium macrocarpon) and the Small Cranberry (Vaccinium oxycoccos). In Nutritional Composition of Fruit Cultivars, 1st ed.; Simmonds, M.S.J., Preedy, V.R., Eds.; Elsevier: Cambridge, MA, USA, 2016; pp. 173–194. [Google Scholar] [CrossRef]
- Milinčić, D.D.; Stanisavljević, N.S.; Kostić, A.; Soković Bajić, S.; Kojić, M.O.; Gašić, U.M.; Barać, M.B.; Stanojević, S.P.; Lj Tešić, Ž.; Pešić, M.B. Phenolic Compounds and Biopotential of Grape Pomace Extracts from Prokupac Red Grape Variety. LWT 2021, 138, 110739. [Google Scholar] [CrossRef]
- Elleuch, M.; Bedigian, D.; Roiseux, O.; Besbes, S.; Blecker, C.; Attia, H. Dietary Fibre and Fibre-Rich by-Products of Food Processing: Characterisation, Technological Functionality and Commercial Applications: A Review. Food Chem. 2011, 124, 411–421. [Google Scholar] [CrossRef]
- Zheng, Y.; Li, Y. Physicochemical and Functional Properties of Coconut (Cocos nucifera L.) Cake Dietary Fibres: Effects of Cellulase Hydrolysis, Acid Treatment and Particle Size Distribution. Food Chem. 2018, 257, 135–142. [Google Scholar] [CrossRef] [PubMed]
- Reißner, A.M.; Al-Hamimi, S.; Quiles, A.; Schmidt, C.; Struck, S.; Hernando, I.; Turner, C.; Rohm, H. Composition and Physicochemical Properties of Dried Berry Pomace. J. Sci. Food Agric. 2019, 99, 1284–1293. [Google Scholar] [CrossRef] [PubMed]
- Navarro-González, I.; García-Valverde, V.; García-Alonso, J.; Periago, M.J. Chemical Profile, Functional and Antioxidant Properties of Tomato Peel Fiber. Food Res. Int. 2011, 44, 1528–1535. [Google Scholar] [CrossRef]
- Ma, M.M.; Mu, T.H. Effects of Extraction Methods and Particle Size Distribution on the Structural, Physicochemical, and Functional Properties of Dietary Fiber from Deoiled Cumin. Food Chem. 2016, 194, 237–246. [Google Scholar] [CrossRef] [PubMed]
- Guillon, F.; Champ, M. Structural and Physical Properties of Dietary Fibres, and Consequences of Processing on Human Physiology. Food Res. Int. 2000, 33, 233–245. [Google Scholar] [CrossRef]
- Lan, G.; Chen, H.; Chen, S.; Tian, J. Chemical Composition and Physicochemical Properties of Dietary Fiber from Polygonatum Odoratum as Affected by Different Processing Methods. Food Res. Int. 2012, 49, 406–410. [Google Scholar] [CrossRef]
- Kalla-Bertholdt, A.M.; Nguyen, P.V.; Baier, A.K.; Rauh, C. Influence of Dietary Fiber on In-Vitro Lipid Digestion of Emulsions Prepared with High-Intensity Ultrasound. Innov. Food Sci. Emerg. Technol. 2021, 73, 102799. [Google Scholar] [CrossRef]
- Abdolmaleki, K.; Mohammadifar, M.A.; Mohammadi, R.; Fadavi, G.; Meybodi, N.M. The Effect of PH and Salt on the Stability and Physicochemical Properties of Oil-in-Water Emulsions Prepared with Gum Tragacanth. Carbohydr. Polym. 2016, 140, 342–348. [Google Scholar] [CrossRef]
- Huc-Mathis, D.; Journet, C.; Fayolle, N.; Bosc, V. Emulsifying Properties of Food By-Products: Valorizing Apple Pomace and Oat Bran. Coll. Surf. A Physicochem. Eng. Asp. 2019, 568, 84–91. [Google Scholar] [CrossRef]


| Parameter | Content (g/100 g) |
|---|---|
| Moisture | 5.57 ± 0.11 |
| Total fat a | 9.83 ± 0.46 |
| Ash a | 0.96 ± 0.04 |
| Protein a | 7.40 ± 0.06 |
| Carbohydrate b | 81.81 |
| Insoluble dietary fiber a | 59.93 ± 1.46 |
| Soluble dietary fiber a | 12.74 ± 0.09 |
| Time (h) | E/S Ratio (mL/g) | Enzyme | Water-Soluble Fraction Yield, % | Total Oligosaccharides, mg/g DW | Total Mono- and Disaccharides, mg/g DW |
|---|---|---|---|---|---|
| 1 | 0.04 | Viscozyme® L | 25.56 ± 1.33 e | 71.6 ± 4.4 b | 178.5 ± 8.9 abcd |
| 5.5 | 0.1 | Viscozyme® L | 27.98 ± 0.20 e | 61.3 ± 2.1 b | 222.9 ± 4.3 d |
| 1 | 0.1 | Pectinex® Yieldmash Plus | 21.50 ± 0.78 d | 21.2 ± 0.6 a | 197.0 ± 0.3 bcd |
| 7 | 0.02 | Pectinex® Yieldmash Plus | 19.95 ± 0.23 cd | 16.3 ± 3.9 a | 173.7 ± 11.4 abcd |
| 1 | 0.08 | Pectinex® Ultra Tropical | 27.34 ± 1.56 e | 59.0 ± 6.0 b | 211.9 ± 24.3 cd |
| 4 | 0.06 | Pectinex® Ultra Tropical | 27.41 ± 0.71 e | 56.4 ± 4.3 b | 216.3 ± 12.7 cd |
| 1 | 0.02 | Celluclast® 1.5L | 18.50 ± 1.35 bc | 32.2 ± 3.3 a | 123.3 ± 14.8 ab |
| 7 | 0.1 | Celluclast® 1.5L | 21.74 ± 0.71 d | 56.5 ± 3.1 b | 150.2 ± 9.0 abcd |
| 1 | - | - | 14.12 ± 0.34 a | 19.9 ± 2.2 a | 108.9 ± 2.5 a |
| 4 | - | - | 16.14 ± 0.14 ab | 18.9 ± 2.5 a | 118.9 ± 7.5 a |
| 5.5 | - | - | 16.56 ± 0.68 abc | 20.9 ± 2.9 a | 140.4 ± 20.9 abc |
| 7 | - | - | 17.08 ± 0.17 abc | 22.0 ± 2.9 a | 143.3 ± 21.9 abc |
| Prebiotics | Lactobacillus acidophilus DSM 20079 | Bifidobacterium animalis DSM 20105 | ||||||||
|---|---|---|---|---|---|---|---|---|---|---|
| 0 h | 24 h | 48 h | 0 h | 24 h | 48 h | |||||
| Log CFU/g | PI | Log CFU/g | PI | Log CFU/g | PI | Log CFU/g | PI | |||
| Carbohydrate-free MRS | 5.03 ± 0.07 a | 4.27 ± 0.13 a | −0.66 | - a | −5.03 | 5.03 ± 0.05 a | 6.64 ± 0.09 a | 1.61 | 6.45 ± 0.03 a | 1.42 |
| Glucose | 4.78 ± 0.20 a | 7.31 ± 0.22 bc | 2.53 | 7.62 ± 0.08 e | 2.84 | 5.28 ± 0.05 b | 7.99 ± 0.22 b | 2.71 | 9.00 ± 0.41 cd | 3.72 |
| Inulin | 4.81 ± 0.23 a | 7.11 ± 0.25 b | 2.29 | 5.52 ± 0.57 b | 0.71 | 5.28 ± 0.08 b | 8.36 ± 0.25 bc | 3.08 | 9.07 ± 0.12 d | 3.78 |
| Control | 4.77 ± 0.06 a | 7.72 ± 0.10 de | 2.95 | 5.86 ± 0.06 bc | 1.09 | 5.52 ± 0.09 c | 8.03 ± 0.52 b | 2.51 | 8.83 ± 0.12 cd | 3.30 |
| Viscozyme® L | 4.79 ± 0.09 a | 7.69 ± 0.11 cde | 2.90 | 6.21 ± 0.04 cd | 1.41 | 5.60 ± 0.06 c | 8.37 ± 0.13 bc | 2.77 | 8.37 ± 0.05 b | 2.77 |
| Pectinex® Ultra Tropical | 4.72 ± 0.07 a | 7.84 ± 0.23 e | 3.13 | 6.45 ± 0.14 d | 1.73 | 5.58 ± 0.05 c | 8.40 ± 0.02 bc | 2.81 | 8.63 ± 0.05 bc | 3.04 |
| Pectinex® Yieldmash Plus | 5.00 ± 0.01 a | 7.53 ± 0.14 cde | 2.53 | 5.81 ± 0.19 bc | 0.82 | 5.52 ± 0.09 ab | 8.03 ± 0.52 bc | 2.51 | 8.77 ± 0.19 bcd | 3.24 |
| Celluclast® 1.5L | 4.74 ± 0.06 a | 7.44 ± 0.15 cd | 2.70 | 5.69 ± 0.09 b | 0.95 | 5.62 ± 0.09 c | 8.66 ± 0.03 c | 3.04 | 8.93 ± 0.07 cd | 3.31 |
| Sample | Time (h) | E/S Ratio (mL/g) | IDF, g/100 g | SDF, g/100 g | ORC, g/g | WSC, mL/g | WRC, g/g | Solubility, % | TPC, mg of GAE/g |
|---|---|---|---|---|---|---|---|---|---|
| Control | 1 | - | 62.48 ± 0.46 d | 11.23 ± 0.84 c | 6.50 ± 0.08 a | 1.80 ± 0.3 a | 10.59 ± 0.20 a | 15.4 ± 0.9 a | 7.04 ± 0.41 a |
| Viscozyme® L | 1 | 0.04 | 56.46 ± 0.15 ab | 2.64 ± 0.26 a | 4.37 ± 0.25 b | 2.22 ± 0.01 b | 8.58 ± 0.24 b | 27.5 ± 1.3 b | 7.81 ± 0.36 b |
| Pectinex® Yieldmash Plus | 1 | 0.1 | 58.48 ± 0.44 bc | 5.44 ± 0.30 b | 3.99 ± 0.13 b | 1.65 ± 0.01 a | 7.25 ± 0.22 c | 24.0 ± 0.6 c | 7.42 ± 0.24 ab |
| Pectinex® Ultra Tropical | 1 | 0.08 | 54.17 ± 1.38 a | 1.75 ± 0.29 a | 4.11 ± 0.16 b | 1.57 ± 0.11 a | 8.10 ± 0.43 b | 29.6 ± 1.2 d | 7.96 ± 0.29 b |
| Celluclast® 1.5 L | 1 | 0.02 | 60.52 ± 0.17 cd | 11.90 ± 0.53 c | 5.80 ± 0.37 c | 3.06 ± 0.16 c | 11.02 ± 0.24 a | 20.3 ± 1.0 e | 7.06 ± 0.28 a |
Publisher’s Note: MDPI stays neutral with regard to jurisdictional claims in published maps and institutional affiliations. |
© 2022 by the authors. Licensee MDPI, Basel, Switzerland. This article is an open access article distributed under the terms and conditions of the Creative Commons Attribution (CC BY) license (https://creativecommons.org/licenses/by/4.0/).
Share and Cite
Jagelaviciute, J.; Basinskiene, L.; Cizeikiene, D.; Syrpas, M. Technological Properties and Composition of Enzymatically Modified Cranberry Pomace. Foods 2022, 11, 2321. https://doi.org/10.3390/foods11152321
Jagelaviciute J, Basinskiene L, Cizeikiene D, Syrpas M. Technological Properties and Composition of Enzymatically Modified Cranberry Pomace. Foods. 2022; 11(15):2321. https://doi.org/10.3390/foods11152321
Chicago/Turabian StyleJagelaviciute, Jolita, Loreta Basinskiene, Dalia Cizeikiene, and Michail Syrpas. 2022. "Technological Properties and Composition of Enzymatically Modified Cranberry Pomace" Foods 11, no. 15: 2321. https://doi.org/10.3390/foods11152321
APA StyleJagelaviciute, J., Basinskiene, L., Cizeikiene, D., & Syrpas, M. (2022). Technological Properties and Composition of Enzymatically Modified Cranberry Pomace. Foods, 11(15), 2321. https://doi.org/10.3390/foods11152321

