Unraveling the Mystery of 3-Sulfanylhexan-1-ol: The Evolution of Methodology for the Analysis of Precursors to 3-Sulfanylhexan-1-ol in Wine
Abstract
1. Introduction
2. Analytical Methods to Analyze Wine Aroma Precursors
2.1. Early Exploration of 3SH Precursors: Choosing an Analytical Instrument
2.2. Gas Chromatography–Mass Spectrometry in 3SH Precursor Analysis
2.3. Initial 3SH Precursor Analysis with Liquid Chromatography–Mass Spectrometry
3. Development of LC-MS Methods for 3SH Precursor Analysis
3.1. Sample Preparation
3.2. Choice of Calibration Method
3.2.1. External Calibration
| Authors | Year | Quantitation Method b | Analytical Instrument | C3SH | G3SH | CG3SH | GC3SH | ||||||||
|---|---|---|---|---|---|---|---|---|---|---|---|---|---|---|---|
| IS | LOD (ppb) | LOQ (ppb) | IS | LOD (ppb) | LOQ (ppb) | IS | LOD (ppb) | LOQ (ppb) | IS | LOD (ppb) | LOQ (ppb) | ||||
| Thibon et al. [35] | 2008 | ISC | GC-ITMS | S-Benzyl cysteine | 0.33 | 1.1 | - | - | - | - | - | - | - | - | - |
| Luisier et al. [37] | 2008 | SIDA | APCI-HPLC-MS in neg ion mode | d2-C3SH | 3 | 10 | - | - | - | - | - | - | - | - | - |
| Thibon et al. [38] | 2010 | ISC | GC-MS | S-Benzyl cysteine | 0.022 | 0.088 | - | - | - | - | - | - | - | - | |
| Roland et al. [41] | 2010 | SIDA | nLC-MS/MS | d2-C3SH | 0.31 | 1.05 | d2-G3SH | 0.061 | 0.20 | - | - | - | - | - | - |
| Roland et al. [52] | 2010 | SIDA | nLC-MS/MS | d2/3-C3SH d | 0.20 | 0.95 | d2/3-G3SH d | 0.059 | 0.32 | - | - | - | - | - | - |
| Kobayashi et al. [39] | 2010 | EC | HPLC-MS/MS, GC-MS | - | 0.044 | 0.13 | - | 0.041 | 0.12 | - | - | - | - | - | - |
| Capone et al. [40] | 2010 | SIDA | LC-MS/MS | d8-C3SH | 0.04 | 0.12 | d9-G3SH | 0.13 | 0.39 | - | - | - | - | - | - |
| Capone et al. [53] | 2011 | ISCc | HPLC-MS/MS | - | - | - | - | - | - | d8-C3SH | 0.2 | 0.5 | - | - | - |
| Mattivi et al. [42] | 2012 | EC | UPLC-MS/MS | - | 0.01 | 0.033 | - | 0.012 | 0.04 | - | - | - | - | - | - |
| Concejero et al. [43] | 2014 | SA | UPLC-MS/MS | - | 0.6 | 1.7 | - | 2 | 7 | - | - | - | - | - | - |
| Bonnafoux et al. [45] | 2017 | SIDA | UHPLC-MS/MS | - | - | - | - | - | - | d1/2-CG3SH d | 0.06 | 0.21 | d1/2-GC3SH d | 0.18 | 0.61 |
| Vanzo et al. [46] | 2017 | EC/ISC a,c | HPLC-MS/MS | d6-C4MSP | 0.09 | 0.28 | d10-G4MSP | 0.06 | 0.17 | - | - | - | - | - | - |
| Tonidandel et al. [54] | 2021 | SIDA | UPLC-MS/MS | d3-C3SH | 1.5 | 5 | d3-G3SH | 1.5 | 5 | - | - | - | - | - | - |
3.2.2. Standard Addition
3.2.3. Calibrations Using an Internal Standard
3.2.4. Unlabeled IS (or Non-Isotopomeric IS)
3.2.5. Labeled IS for SIDA
3.3. Concluding Thoughts on 3SH Precursor Method Development
4. Further Exploration of the Pathways to 3SH
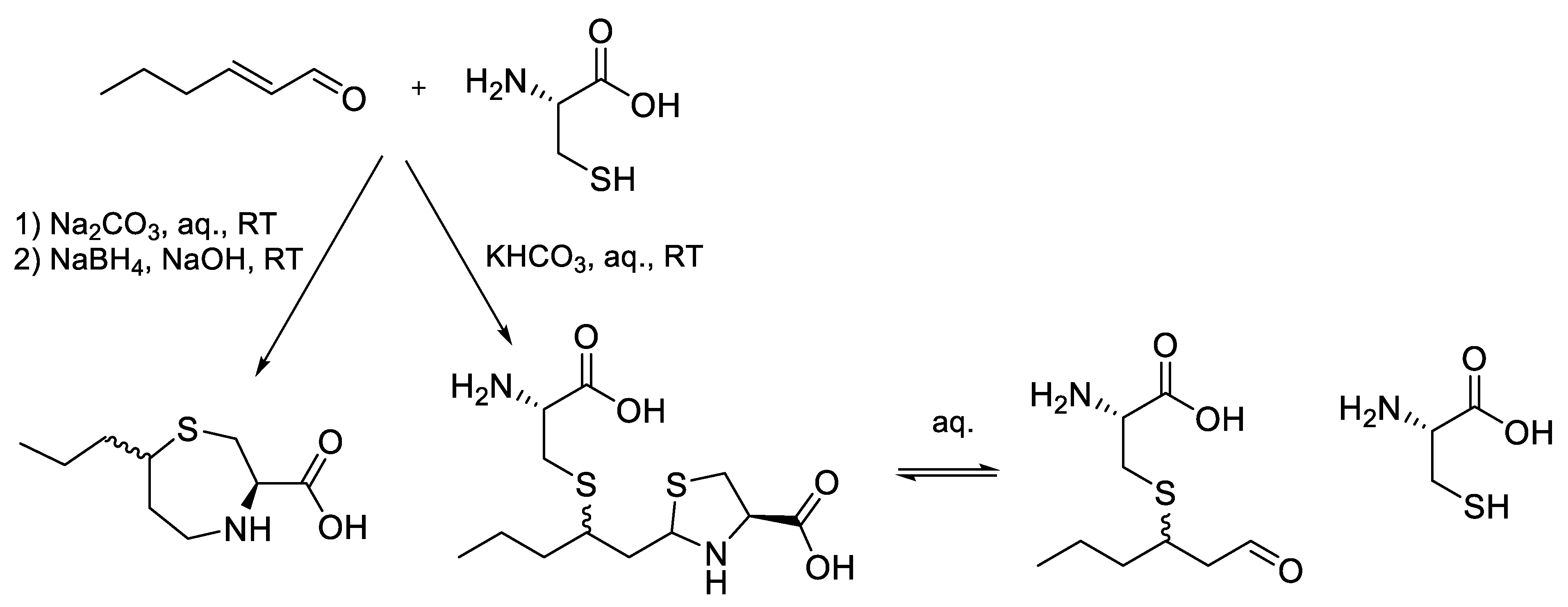
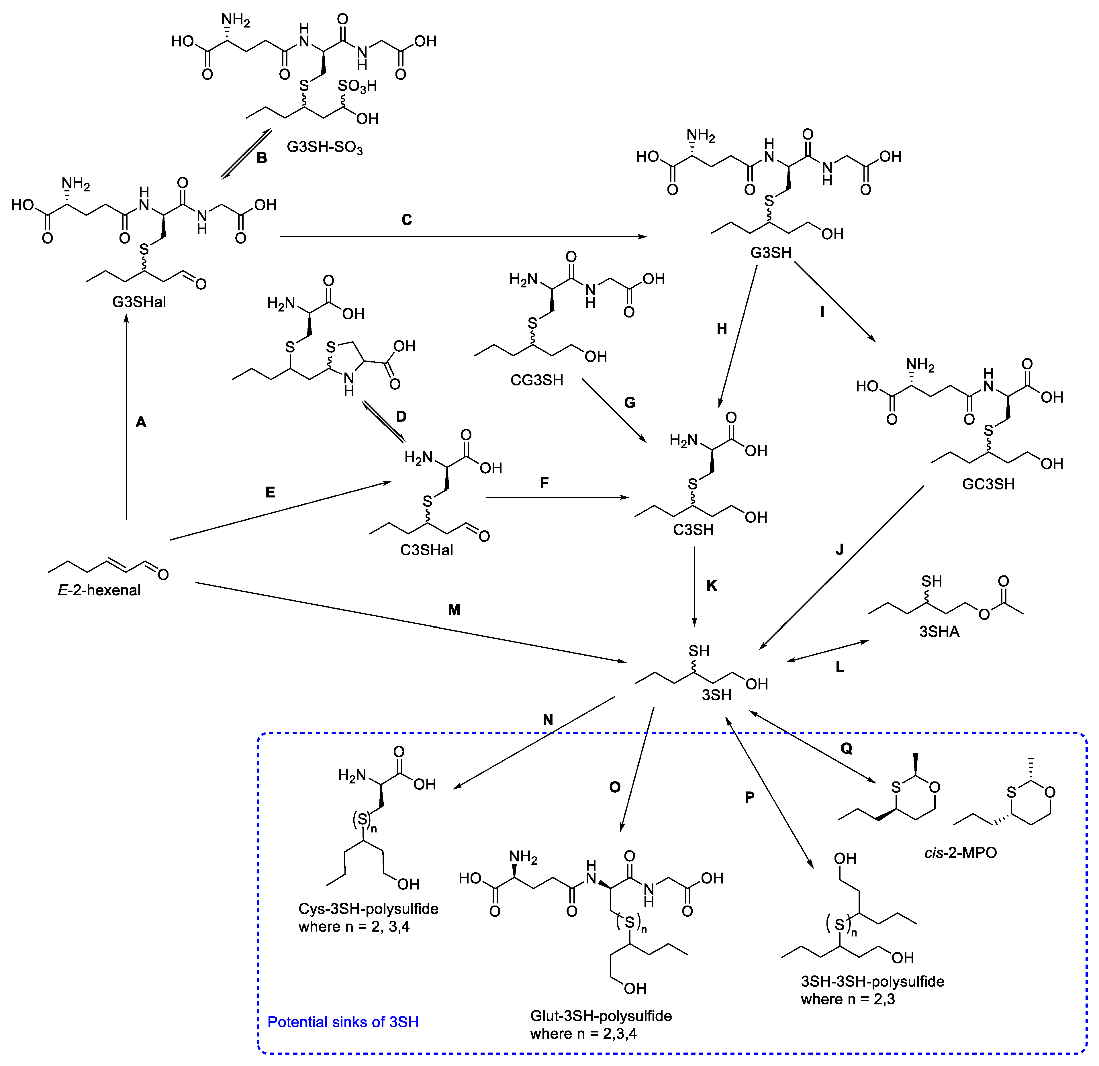
4.1. Aldehyde Conjugate Precursors
4.2. Dipeptide Thiol Precursors
4.3. Sinks of 3SH and 3SHA
5. A New Era of Thiol Exploration
Author Contributions
Funding
Institutional Review Board Statement
Informed Consent Statement
Data Availability Statement
Acknowledgments
Conflicts of Interest
References
- Darriet, P.; Tominaga, T.; Lavigne, V.; Boidron, J.; Dubourdieu, D. Identification of a Powerful Aromatic Component of Vitis vinifera L. var. Sauvignon Wines: 4-mercapto-4-methylpentan-2-one. Flavour Fragr. J. 1995, 10, 385–392. [Google Scholar] [CrossRef]
- Tominaga, T.; Darriet, P.; Dubourdieu, D. Identification of 3-Mercaptohexyl Acetate in Sauvignon Wine, a Powerful Aromatic Compound Exhibiting Box-Tree Odor. Identification de l’acétate de 3-mercaptohexanol, composé à forte odeur de buis, intervenant dans l’arôme des vins de Sauvignon. Vitis 1996, 35, 207–210. [Google Scholar]
- Tominaga, T.; Furrer, A.; Henry, R.; Dubourdieu, D. Identification of New Volatile Thiols in the Aroma of Vitis vinifera L. var. Sauvignon Blanc Wines. Flavour Fragr. J. 1998, 13, 159–162. [Google Scholar] [CrossRef]
- Parr, W.V.; Green, J.A.; White, K.G.; Sherlock, R.R. The Distinctive Flavour of New Zealand Sauvignon Blanc: Sensory Characterisation by Wine Professionals. Food Qual. Prefer. 2007, 18, 849–861. [Google Scholar] [CrossRef]
- Benkwitz, F.; Tominaga, T.; Kilmartin, P.A.; Lund, C.; Wohlers, M.; Nicolau, L. Identifying the Chemical Composition Related to the Distinct Aroma Characteristics of New Zealand Sauvignon Blanc Wines. Am. J. Enol. Vitic. 2012, 63, 62–72. [Google Scholar] [CrossRef]
- Lund, C.M.; Thompson, M.K.; Benkwitz, F.; Wohler, M.W.; Triggs, C.M.; Gardner, R.; Heymann, H.; Nicolau, L. New Zealand Sauvignon Blanc Distinct Flavor Characteristics: Sensory, Chemical, and Consumer Aspects. Am. J. Enol. Vitic. 2009, 60, 1–12. [Google Scholar]
- Tominaga, T.; Baltenweck-Guyot, R.; des Gachons, C.P.; Dubourdieu, D. Contribution of Volatile Thiols to the Aromas of White Wines Made From Several Vitis vinifera Grape Varieties. Am. J. Enol. Vitic. 2000, 51, 178–181. [Google Scholar]
- Tominaga, T.; Masneuf, I.; Dubourdieu, D. Powerful Aromatic Volatile Thiols in Wines Made from Several Vitis vinifera Grape Varieties and Their Releasing Mechanism. In Nutraceutical Beverages; ACS Symposium Series; American Chemical Society: Washington, DC, USA, 2003; Volume 871, pp. 314–337. ISBN 978-0-8412-3823-7. [Google Scholar]
- Sarrazin, E.; Shinkaruk, S.; Tominaga, T.; Bennetau, B.; Frérot, E.; Dubourdieu, D. Odorous Impact of Volatile Thiols on the Aroma of Young Botrytized Sweet Wines: Identification and Quantification of New Sulfanyl Alcohols. J. Agric. Food Chem. 2007, 55, 1437–1444. [Google Scholar] [CrossRef]
- Piano, F.; Petrozziello, M.; Vaudano, E.; Bonello, F.; Ferreira, V.; Zapata, J.; Hernández-Orte, P. Aroma Compounds and Sensory Characteristics of Arneis Terre Alfieri DOC Wines: The Concentration of Polyfunctional Thiols and Their Evolution in Relation to Different Ageing Conditions. Eur. Food Res. Technol. 2014, 239, 267–277. [Google Scholar] [CrossRef]
- Schüttler, A.; Friedel, M.; Jung, R.; Rauhut, D.; Darriet, P. Characterizing Aromatic Typicality of Riesling Wines: Merging Volatile Compositional and Sensory Aspects. Food Res. Int. 2015, 69, 26–37. [Google Scholar] [CrossRef]
- Concejero, B.; Hernandez-Orte, P.; Astrain, J.; Lacau, B.; Baron, C.; Ferreira, V. Evolution of Polyfunctional Mercaptans and Their Precursors during Merlot Alcoholic Fermentation. Lwt-Food Sci. Technol. 2016, 65, 770–776. [Google Scholar] [CrossRef]
- Capone, D.L.; Barker, A.; Williamson, P.O.; Francis, I.L. The Role of Potent Thiols in Chardonnay Wine Aroma. Aust. J. Grape Wine Res. 2018, 24, 38–50. [Google Scholar] [CrossRef]
- Cerreti, M.; Ferranti, P.; Benucci, I.; Liburdi, K.; De Simone, C.; Esti, M. Thiol Precursors in Grechetto Grape Juice and Aromatic Expression in Wine. Eur. Food Res. Technol. 2017, 243, 753–760. [Google Scholar] [CrossRef]
- Mafata, M.; Stander, M.A.; Thomachot, B.; Buica, A. Measuring Thiols in Single Cultivar South African Red Wines Using 4,4-Dithiodipyridine (DTDP) Derivatization and Ultraperformance Convergence Chromatography-Tandem Mass Spectrometry. Foods 2018, 7, 138. [Google Scholar] [CrossRef] [PubMed]
- Rigou, P.; Triay, A.; Razungles, A. Influence of Volatile Thiols in the Development of Blackcurrant Aroma in Red Wine. Food Chem. 2014, 142, 242–248. [Google Scholar] [CrossRef]
- Bouchilloux, P.; Darriet, P.; Henry, R.; Lavigne-Cruège, V.; Dubourdieu, D. Identification of Volatile and Powerful Odorous Thiols in Bordeaux Red Wine Varieties. J. Agric. Food Chem. 1998, 46, 3095–3099. [Google Scholar] [CrossRef]
- Bonnaffoux, H.; Roland, A.; Schneider, R.; Cavelier, F. Spotlight on Release Mechanisms of Volatile Thiols in Beverages. Food Chem. 2021, 339, 127628. [Google Scholar] [CrossRef]
- Peña-Gallego, A.; Hernández-Orte, P.; Cacho, J.; Ferreira, V. S-Cysteinylated and S-Glutathionylated Thiol Precursors in Grapes. A Review. Food Chem. 2012, 131, 1–13. [Google Scholar] [CrossRef]
- Jeffery, D.W. Spotlight on Varietal Thiols and Precursors in Grapes and Wines*. Aust. J. Chem. 2016, 69, 1323–1330. [Google Scholar] [CrossRef]
- Roland, A.; Schneider, R.; Razungles, A.; Cavelier, F. Varietal Thiols in Wine: Discovery, Analysis and Applications. Chem. Rev. 2011, 111, 7355–7376. [Google Scholar] [CrossRef]
- Tominaga, T.; Des Gachons, C.P.; Dubourdieu, D. A New Type of Flavor Precursors in Vitis vinifera L. cv. Sauvignon Blanc: S-Cysteine Conjugates. J. Agric. Food Chem. 1998, 46, 5215–5219. [Google Scholar] [CrossRef]
- Chen, L.; Capone, D.L.; Jeffery, D.W. Analysis of Potent Odour-Active Volatile Thiols in Foods and Beverages with a Focus on Wine. Molecules 2019, 24, 2472. [Google Scholar] [CrossRef] [PubMed]
- Darriet, P.; Tominaga, T.; Demole, E.; Dubourdieu, D. Mise En Évidence Dans Le Raisin de Vitis vinifera var. Sauvignon d’un Précurseur de La 4-Mercapto-4-méthylpentan-2-one. Comptes Rendus L’académie Sci. Série 3 Sci. 1993, 316, 1332–1335. [Google Scholar]
- Virtanen, A.I. Studies on Organic Sulphur Compounds and Other Labile Substances in Plants. Phytochemistry 1965, 4, 207–228. [Google Scholar] [CrossRef]
- Hwang, I.Y.; Elfarra, A.A. Cysteine S-Conjugates May Act as Kidney-Selective Prodrugs: Formation of 6-Mercaptopurine by the Renal Metabolism of S-(6-Purinyl)-L-cysteine. J. Pharmacol. Exp. Ther. 1989, 251, 448–454. [Google Scholar] [PubMed]
- Kohlmeier, M. Cysteine. In Nutrient Metabolism; Kohlmeier, M., Ed.; Food Science and Technology; Academic Press: London, UK, 2003; pp. 348–356. ISBN 978-0-12-417762-8. [Google Scholar]
- Chin, H.-W.; Lindsay, R.C. Mechanisms of Formation of Volatile Sulfur Compounds Following the Action of Cysteine Sulfoxide Lyases. J. Agric. Food Chem. 1994, 42, 1529–1536. [Google Scholar] [CrossRef]
- des Gachons, C.P.; Tominaga, T.; Dubourdieu, D. Measuring the Aromatic Potential of Vitis vinifera L. cv. Sauvignon Blanc Grapes by Assaying S-Cysteine Conjugates, Precursors of the Volatile Thiols Responsible for Their Varietal Aroma. J. Agric. Food Chem. 2000, 48, 3387–3391. [Google Scholar] [CrossRef]
- des Gachons, C.P.; Tominaga, T.; Dubourdieu, D. Localization of S-Cysteine Conjugates in the Berry: Effect of Skin Contact on Aromatic Potential of Vitis vinifera L. cv. Sauvignon Blanc Must. Am. J. Enol. Vitic. 2002, 53, 144–146. [Google Scholar]
- Gachons, C.P.D.; Tominaga, T.; Dubourdieu, D. Sulfur Aroma Precursor Present in S-Glutathione Conjugate Form: Identification of S-3-(Hexan-1-ol)-Glutathione in Must from Vitis vinifera L. cv. Sauvignon Blanc. J. Agric. Food Chem. 2002, 50, 4076–4079. [Google Scholar] [CrossRef]
- Guth, H. Comparison of Different White Wine Varieties in Odor Profiles by Instrumental Analysis and Sensory Studies. In Chemistry of Wine Flavor; ACS Symposium Series; American Chemical Society: Washington, DC, USA, 1998; Volume 714, pp. 39–52. ISBN 978-0-8412-3592-2. [Google Scholar]
- Ardrey, R.E. Introduction. In Liquid Chromatography–Mass Spectrometry: An Introduction; Analytical techniques in the sciences; John Wiley & Sons, Ltd.: Hoboken, NJ, USA, 2003; pp. 1–5. ISBN 978-0-470-86729-7. [Google Scholar]
- Murat, M.-L.; Tominaga, T.; Dubourdieu, D. Assessing the Aromatic Potential of Cabernet Sauvignon and Merlot Musts Used to Produce Rose Wine by Assaying the Cysteinylated Precursor of 3-Mercaptohexan-1-ol. J. Agric. Food Chem. 2001, 49, 5412–5417. [Google Scholar] [CrossRef]
- Thibon, C.; Shinkaruk, S.; Tominaga, T.; Bennetau, B.; Dubourdieu, D. Analysis of the Diastereoisomers of the Cysteinylated Aroma Precursor of 3-Sulfanylhexanol in Vitis vinifera Grape Must by Gas Chromatography Coupled with Ion Trap Tandem Mass Spectrometry. J. Chromatogr. A 2008, 1183, 150–157. [Google Scholar] [CrossRef] [PubMed]
- Tominaga, T.; Niclass, Y.; Frérot, E.; Dubourdieu, D. Stereoisomeric Distribution of 3-Mercaptohexan-1-ol and 3-Mercaptohexyl Acetate in Dry and Sweet White Wines Made from Vitis vinifera (var. Sauvignon Blanc and Semillon). J. Agric. Food Chem. 2006, 54, 7251–7255. [Google Scholar] [CrossRef] [PubMed]
- Luisier, J.-L.; Buettner, H.; Völker, S.; Rausis, T.; Frey, U. Quantification of Cysteine S-Conjugate of 3-Sulfanylhexan-1-ol in Must and Wine of Petite Arvine Vine by Stable Isotope Dilution Analysis. J. Agric. Food Chem. 2008, 56, 2883–2887. [Google Scholar] [CrossRef] [PubMed]
- Thibon, C.; Shinkaruk, S.; Jourdes, M.; Bennetau, B.; Dubourdieu, D.; Tominaga, T. Aromatic Potential of Botrytized White Wine Grapes: Identification and Quantification of New Cysteine-S-Conjugate Flavor Precursors. Anal. Chim. Acta 2010, 660, 190–196. [Google Scholar] [CrossRef] [PubMed]
- Kobayashi, H.; Takase, H.; Kaneko, K.; Tanzawa, F.; Takata, R.; Suzuki, S.; Konno, T. Analysis of S-3-(Hexan-1-ol)-glutathione and S-3-(Hexan-1-ol)-l-cysteine in Vitis vinifera L. cv. Koshu for Aromatic Wines. Am. J. Enol. Vitic. 2010, 61, 176–185. [Google Scholar]
- Capone, D.L.; Sefton, M.A.; Hayasaka, Y.; Jeffery, D.W. Analysis of Precursors to Wine Odorant 3-Mercaptohexan-1-ol Using HPLC-MS/MS: Resolution and Quantitation of Diastereomers of 3-S-Cysteinylhexan-1-ol and 3-S-Glutathionylhexan-1-ol. J. Agric. Food Chem. 2010, 58, 1390–1395. [Google Scholar] [CrossRef]
- Roland, A.; Vialaret, J.; Moniatte, M.; Rigou, P.; Razungles, A.; Schneider, R. Validation of a Nanoliquid Chromatography–Tandem Mass Spectrometry Method for the Identification and the Accurate Quantification by Isotopic Dilution of Glutathionylated and Cysteinylated Precursors of 3-Mercaptohexan-1-ol and 4-Mercapto-4-methylpentan-2-one in White Grape Juices. J. Chromatogr. A 2010, 1217, 1626–1635. [Google Scholar] [CrossRef]
- Mattivi, F.; Fedrizzi, B.; Zenato, A.; Tiefenthaler, P.; Tempesta, S.; Perenzoni, D.; Cantarella, P.; Simeoni, F.; Vrhovsek, U. Development of Reliable Analytical Tools for Evaluating the Influence of Reductive Winemaking on the Quality of Lugana Wines. Anal. Chim. Acta 2012, 732, 194–202. [Google Scholar] [CrossRef]
- Concejero, B.; Peña-Gallego, A.; Fernandez-Zurbano, P.; Hernández–Orte, P.; Ferreira, V. Direct Accurate Analysis of Cysteinylated and Glutathionylated Precursors of 4-Mercapto-4-methyl-2-pentanone and 3-Mercaptohexan-1-ol in Must by Ultrahigh Performance Liquid Chromatography Coupled to Mass Spectrometry. Anal. Chim. Acta 2014, 812, 250–257. [Google Scholar] [CrossRef]
- Thibon, C.; Böcker, C.; Shinkaruk, S.; Moine, V.; Darriet, P.; Dubourdieu, D. Identification of S-3-(Hexanal)-glutathione and Its Bisulfite Adduct in Grape Juice from Vitis vinifera L. cv. Sauvignon Blanc as New Potential Precursors of 3SH. Food Chem. 2016, 199, 711–719. [Google Scholar] [CrossRef]
- Bonnaffoux, H.; Roland, A.; Rémond, E.; Delpech, S.; Schneider, R.; Cavelier, F. First Identification and Quantification of S-3-(Hexan-1-ol)-γ-Glutamyl-Cysteine in Grape Must as a Potential Thiol Precursor, Using UPLC-MS/MS Analysis and Stable Isotope Dilution Assay. Food Chem. 2017, 237, 877–886. [Google Scholar] [CrossRef] [PubMed]
- Vanzo, A.; Janeš, L.; Požgan, F.; Velikonja Bolta, Š.; Sivilotti, P.; Lisjak, K. UHPLC-MS/MS Determination of Varietal Thiol Precursors in Sauvignon Blanc Grapes. Sci. Rep. 2017, 7, 13122. [Google Scholar] [CrossRef] [PubMed]
- Taylor, P.J. Matrix Effects: The Achilles Heel of Quantitative High-Performance Liquid Chromatography–Electrospray–Tandem Mass Spectrometry. Clin. Biochem. 2005, 38, 328–334. [Google Scholar] [CrossRef] [PubMed]
- Larcher, R.; Tonidandel, L.; Nicolini, G.; Fedrizzi, B. First Evidence of the Presence of S-Cysteinylated and S-Glutathionylated Precursors in Tannins. Food Chem. 2013, 141, 1196–1202. [Google Scholar] [CrossRef]
- Jelley, R.E.; Herbst-Johnstone, M.; Klaere, S.; Pilkington, L.I.; Grose, C.; Martin, D.; Barker, D.; Fedrizzi, B. Optimization of Ecofriendly Extraction of Bioactive Monomeric Phenolics and Useful Flavor Precursors from Grape Waste. ACS Sustain. Chem. Eng. 2016, 4, 5060–5067. [Google Scholar] [CrossRef]
- Kruve, A.; Rebane, R.; Kipper, K.; Oldekop, M.-L.; Evard, H.; Herodes, K.; Ravio, P.; Leito, I. Tutorial Review on Validation of Liquid Chromatography–Mass Spectrometry Methods: Part II. Anal. Chim. Acta 2015, 870, 8–28. [Google Scholar] [CrossRef]
- Kruve, A.; Rebane, R.; Kipper, K.; Oldekop, M.-L.; Evard, H.; Herodes, K.; Ravio, P.; Leito, I. Tutorial Review on Validation of Liquid Chromatography–Mass Spectrometry Methods: Part I. Anal. Chim. Acta 2015, 870, 29–44. [Google Scholar] [CrossRef]
- Roland, A.; Schneider, R.; Guernevé, C.L.; Razungles, A.; Cavelier, F. Identification and Quantification by LC–MS/MS of a New Precursor of 3-Mercaptohexan-1-ol (3MH) Using Stable Isotope Dilution Assay: Elements for Understanding the 3MH Production in Wine. Food Chem. 2010, 121, 847–855. [Google Scholar] [CrossRef]
- Capone, D.L.; Pardon, K.H.; Cordente, A.G.; Jeffery, D.W. Identification and Quantitation of 3-S-Cysteinylglycinehexan-1-ol (Cysgly-3-MH) in Sauvignon Blanc Grape Juice by HPLC-MS/MS. J. Agric. Food Chem. 2011, 59, 11204–11210. [Google Scholar] [CrossRef]
- Tonidandel, L.; Larcher, R.; Barbero, A.; Jelley, R.E.; Fedrizzi, B. A Single Run Liquid Chromatography-Tandem Mass Spectrometry Method for the Analysis of Varietal Thiols and Their Precursors in Wine. J. Chromatogr. A 2021, 1658, 462603. [Google Scholar] [CrossRef]
- Grant-Preece, P.A.; Pardon, K.H.; Capone, D.L.; Cordente, A.G.; Sefton, M.A.; Jeffery, D.W.; Elsey, G.M. Synthesis of Wine Thiol Conjugates and Labeled Analogues: Fermentation of the Glutathione Conjugate of 3-Mercaptohexan-1-ol Yields the Corresponding Cysteine Conjugate and Free Thiol. J. Agric. Food Chem. 2010, 58, 1383–1389. [Google Scholar] [CrossRef]
- Subileau, M.; Schneider, R.; Salmon, J.M.; Degryse, E. New Insights on 3-Mercaptohexanol (3MH) Biogenesis in Sauvignon Blanc Wines: Cys-3MH and (E)-Hexen-2-al Are Not the Major Precursors. J. Agric. Food Chem. 2008, 56, 9230–9235. [Google Scholar] [CrossRef] [PubMed]
- Roland, A.; Schneider, R.; Razungles, A.; Le Guernevé, C.; Cavelier, F. Straightforward Synthesis of Deuterated Precursors to Demonstrate the Biogenesis of Aromatic Thiols in Wine. J. Agric. Food Chem. 2010, 58, 10684–10689. [Google Scholar] [CrossRef]
- Muhl, J.R.; Pilkington, L.I.; Deed, R.C. First Synthesis of 3-S-Glutathionylhexanal-d8 and Its Bisulfite Adduct. Tetrahedron Lett. 2020, 61, 152100. [Google Scholar] [CrossRef]
- Hebditch, K.R.; Nicolau, L.; Brimble, M.A. Synthesis of Isotopically Labelled Thiol Volatiles and Cysteine Conjugates for Quantification of Sauvignon Blanc Wine. J. Label. Comp. Radiopharm. J. 2007, 50, 237–243. [Google Scholar] [CrossRef]
- Pardon, K.H.; Graney, S.D.; Capone, D.L.; Swiegers, J.H.; Sefton, M.A.; Elsey, G.M. Synthesis of the Individual Diastereomers of the Cysteine Conjugate of 3-Mercaptohexanol (3-MH). J. Agric. Food Chem. 2008, 56, 3758–3763. [Google Scholar] [CrossRef]
- Jelley, R.E.; Duhamel, N.; Barker, D.; Fedrizzi, B. A Convenient Synthesis of Amino Acid-Derived Precursors to the Important Wine Aroma 3-Sulfanylhexan-1-ol (3SH). Tetrahedron Lett. 2020, 61, 151663. [Google Scholar] [CrossRef]
- Lavagnini, I.; Fedrizzi, B.; Versini, G.; Magno, F. Effectiveness of Isotopically Labelled and Non-Isotopically Labelled Internal Standards in the Gas Chromatography/Mass Spectrometry Analysis of Sulfur Compounds in Wines: Use of a Statistically Based Matrix Comprehensive Approach. RCM 2009, 23, 1167–1172. [Google Scholar] [CrossRef]
- Starkenmann, C. Analysis of a Model Reaction System Containing Cysteine and (E)-2-Methyl-2-butenal, (E)-2-Hexenal, or Mesityl Oxide. J. Agric. Food Chem. 2003, 51, 7146–7155. [Google Scholar] [CrossRef]
- Wakabayashi, H.; Wakabayashi, M.; Eisenreich, W.; Engel, K.-H. Stereochemical Course of the Generation of 3-Mercaptohexanal and 3-Mercaptohexanol by β-Lyase-Catalyzed Cleavage of Cysteine Conjugates. J. Agric. Food Chem. 2004, 52, 110–116. [Google Scholar] [CrossRef]
- Wang, S.; Cyronak, M.; Yang, E. Does a Stable Isotopically Labeled Internal Standard Always Correct Analyte Response?: A Matrix Effect Study on a LC/MS/MS Method for the Determination of Carvedilol Enantiomers in Human Plasma. J. Pharm. Biomed 2007, 43, 701–707. [Google Scholar] [CrossRef] [PubMed]
- Bonnaffoux, H.; Delpech, S.; Rémond, E.; Schneider, R.; Roland, A.; Cavelier, F. Revisiting the Evaluation Strategy of Varietal Thiol Biogenesis. Food Chem. 2018, 268, 126–133. [Google Scholar] [CrossRef] [PubMed]
- Pinu, F.R.; Jouanneau, S.; Nicolau, L.; Gardner, R.C.; Villas-Boas, S.G. Concentrations of the Volatile Thiol 3-Mercaptohexanol in Sauvignon Blanc Wines: No Correlation with Juice Precursors. Am. J. Enol. Vitic. 2012, 63, 407–412. [Google Scholar] [CrossRef]
- Pinu, F.R.; Edwards, P.J.B.; Jouanneau, S.; Kilmartin, P.A.; Gardner, R.C.; Villas-Boas, S.G. Sauvignon Blanc Metabolomics: Grape Juice Metabolites Affecting the Development of Varietal Thiols and Other Aroma Compounds in Wines. Metabolomics 2014, 10, 556–573. [Google Scholar] [CrossRef]
- Clark, A.C.; Deed, R.C. The Chemical Reaction of Glutathione and trans-2-Hexenal in Grape Juice Media to Form Wine Aroma Precursors: The Impact of PH, Temperature, and Sulfur Dioxide. J. Agric. Food Chem. 2018, 66, 1214–1221. [Google Scholar] [CrossRef]
- Capone, D.L.; Jeffery, D.W. Effects of Transporting and Processing Sauvignon Blanc Grapes on 3-Mercaptohexan-1-ol Precursor Concentrations. J. Agric. Food Chem. 2011, 59, 4659–4667. [Google Scholar] [CrossRef]
- Holt, S.; Cordente, A.G.; Williams, S.J.; Capone, D.L.; Jitjaroen, W.; Menz, I.R.; Curtin, C.; Anderson, P.A. Engineering Saccharomyces cerevisiae to Release 3-Mercaptohexan-1-ol during Fermentation through Overexpression of an S. cerevisiae Gene, STR3, for Improvement of Wine Aroma. Appl. Environ. Microbiol. 2011, 77, 3626–3632. [Google Scholar] [CrossRef]
- Herbst-Johnstone, M.; Nicolau, L.; Kilmartin, P.A. Stability of Varietal Thiols in Commercial Sauvignon Blanc Wines. Am. J. Enol. Vitic. 2011, 62, 495–502. [Google Scholar] [CrossRef]
- Harsch, M.J.; Benkwitz, F.; Frost, A.; Colonna-Ceccaldi, B.; Gardner, R.C.; Salmon, J.M. New Precursor of 3-Mercaptohexan-1-ol in Grape Juice: Thiol-Forming Potential and Kinetics during Early Stages of Must Fermentation. J. Agric. Food Chem. 2013, 61, 3703–3713. [Google Scholar] [CrossRef]
- Dekker, S.; Nardin, T.; Mattana, M.; Fochi, I.; Larcher, R. Identification and Characterisation of Thiolated Polysulfides in Must and Wine Using Online SPE UHPLC-HRMS. Anal. Bioanal. Chem. 2020, 412, 5229–5245. [Google Scholar] [CrossRef]
- Wang, X.; Chen, L.; Capone, D.L.; Roland, A.; Jeffery, D.W. Evolution and Correlation of cis-2-methyl-4-propyl-1,3-oxathiane, Varietal Thiols, and Acetaldehyde during Fermentation of Sauvignon Blanc Juice. J. Agric. Food Chem. 2020, 68, 8676–8687. [Google Scholar] [CrossRef] [PubMed]
- Alegre, Y.; Culleré, L.; Ferreira, V.; Hernández-Orte, P. Study of the Influence of Varietal Amino Acid Profiles on the Polyfunctional Mercaptans Released from Their Precursors. Food Res. Int. 2017, 100, 740–747. [Google Scholar] [CrossRef]
- Casu, F.; Pinu, F.R.; Fedrizzi, B.; Greenwood, D.R.; Villas-Boas, S.G. The Effect of Linoleic Acid on the Sauvignon Blanc Fermentation by Different Wine Yeast Strains. FEMS Yeast Res. 2016, 16, fow050. [Google Scholar] [CrossRef] [PubMed]
- Takase, H.; Sasaki, K.; Kiyomichi, D.; Kobayashi, H.; Matsuo, H.; Takata, R. Impact of Lactobacillus plantarum on Thiol Precursor Biotransformation Leading to Production of 3-Sulfanylhexan-1-ol. Food Chem. 2018, 259, 99–104. [Google Scholar] [CrossRef] [PubMed]
- Cordente, A.G.; Capone, D.L.; Curtin, C.D. Unravelling Glutathione Conjugate Catabolism in Saccharomyces cerevisiae: The Role of Glutathione/Dipeptide Transporters and Vacuolar Function in the Release of Volatile Sulfur Compounds 3-Mercaptohexan-1-ol and 4-Mercapto-4-methylpentan-2-one. Appl. Microbiol. Biotechnol. 2015, 99, 9709–9722. [Google Scholar] [CrossRef]
- Coetzee, C.; du Toit, W.J. A Comprehensive Review on Sauvignon Blanc Aroma with a Focus on Certain Positive Volatile Thiols. Food Res. Int. 2012, 45, 287–298. [Google Scholar] [CrossRef]
- Ruiz, J.; Kiene, F.; Belda, I.; Fracassetti, D.; Marquina, D.; Navascués, E.; Calderón, F.; Benito, A.; Rauhut, D.; Santos, A.; et al. Effects on Varietal Aromas during Wine Making: A Review of the Impact of Varietal Aromas on the Flavor of Wine. Appl. Microbiol. Biotechnol. 2019, 103, 7425–7450. [Google Scholar] [CrossRef]
- Fracassetti, D.; Stuknytė, M.; La Rosa, C.; Gabrielli, M.; De Noni, I.; Tirelli, A. Thiol Precursors in Catarratto Bianco Comune and Grillo Grapes and Effect of Clarification Conditions on the Release of Varietal Thiols in Wine. Aust. J. Grape Wine Res. 2018, 24, 125–133. [Google Scholar] [CrossRef]
- Duhamel, N.; Piano, F.; Davidson, S.J.; Larcher, R.; Fedrizzi, B.; Barker, D. Synthesis of Alkyl Sulfonic Acid Aldehydes and Alcohols, Putative Precursors to Important Wine Aroma Thiols. Tetrahedron Lett. 2015, 56, 1728–1731. [Google Scholar] [CrossRef]
- Augustyn, O.P.H.; Rapp, A.; van Wyk, C.J. Some Volatile Aroma Components of Vitis vinifera L. cv. Sauvignon Blanc. S. Afr. J. Enol. Vitic. 1985, 3, 52–60. [Google Scholar] [CrossRef][Green Version]
- Lauer, W.M.; Langkammerer, C.M. The Constitution of the Bisulfite Addition Compounds of Aldehydes and Ketones. J. Am. Chem. Soc. 1935, 57, 2360–2362. [Google Scholar] [CrossRef]
- Muhl, J.R.; Pilkington, L.I.; Deed, R.C. New Precursors to 3-Sulfanylhexan-1-ol? Investigating the Keto–Enol Tautomerism of 3-S-Glutathionylhexanal. Molecules 2021, 26, 4261. [Google Scholar] [CrossRef] [PubMed]
- Roland, A.; Delpech, S.; Dagan, L.; Ducasse, M.-A.; Cavelier, F.; Schneider, R. Innovative Analysis of 3-Mercaptohexan-1-ol, 3-Mercaptohexylacetate and Their Corresponding Disulfides in Wine by Stable Isotope Dilution Assay and Nano-Liquid Chromatography Tandem Mass Spectrometry. J. Chromatogr. A 2016, 1468, 154–163. [Google Scholar] [CrossRef] [PubMed]
- Perestrelo, R.; Silva, P.; Porto-Figueira, P.; Pereira, J.A.M.; Silva, C.; Medina, S.; Câmara, J.S. QuEChERS-Fundamentals, Relevant Improvements, Applications and Future Trends. Anal. Chim. Acta 2019, 1070, 1–28. [Google Scholar] [CrossRef]








| Authors | Year | Instrument | Column Sorbent | Sample Volume | LOD (ppb) | LOQ (ppb) |
|---|---|---|---|---|---|---|
| Thibon et al. [35] | 2008 | GC-MS | 35% Phenyl polysilphenylene-siloxane | 0.5 mL | 0.33 | 1.1 |
| Luisier et al. [37] | 2008 | HPLC-APCI-MS | C18 | 8 mL | 3 | 10 |
| Thibon et al. [38] | 2010 | GC-MS | 35% Phenyl polysilphenylene-siloxane | 0.5 mL | 0.0221 | 0.0884 |
| Capone et al. [40] | 2010 | HPLC-MS/MS | C18 | 10 mL | 0.04 | 0.12 |
| Kobayashi et al. [39] | 2010 | HPLC-MS/MS | C18 | 5 mL | 0.044264 | 0.132792 |
| Roland et al. [41] | 2010 | NanoLC-MS/MS | C18 | 1.2 mL | 0.309848 | 1.05127 |
| Authors | Year | Compounds Analyzed | Sample Matrix | Sample Volume | Sample Preparation | Derivatization | Instrument | Column Sorbent |
|---|---|---|---|---|---|---|---|---|
| Peyrot des Gachons et al. [29] | 2000 | C3SH | Sauvignon blanc juice | 20 mL | pH adjusted to 8 in phosphate buffer, purified on weak cation exchange column, and unretained fraction percolated on a tryptophanase column before the analysis of the released thiols | None | GC-MS | Polyethylene glycol WAX |
| Luisier et al. [37] | 2008 | C3SH | White juice and wine | 8 mL | SupelcleanTM Envi-18 SPE, eluted with MeOH, and concentrated before injection | None | HPLC-APCI-NI-MS | C18 |
| Thibon et al. [35] | 2008 | C3SH | Grape must | 0.5 mL | pH adjusted to 10, percolated through immobilized Cu2+ column, eluted with 25 mM HCl, dried under vacuum at 70 °C, clarified in EtOH/acetone, dried, and heptafluoracylation derivatization conducted before analysis | Heptafluroacylation | GC-MS | 35% Phenyl polysilphenylene-siloxane |
| Capone et al. [40] | 2010 | G3SH, C3SH, and CG3SH | White juice and wine | 10 mL | SPE on Strata SDB-L, eluted with MeOH, and concentrated before injection | None | HPLC-MS/MS | C18 |
| Kobayashi et al. [39] | 2010 | C3SH, G3SH, and CG3SH | Grape berry tissues, juice, wines | Berries extracted by maceration at room temperature for 16 h in 10% MeOH with 0.1% formic acid. Solution was filtered before analysis | None | HPLC-MS/MS | C18 | |
| Roland et al. [41] | 2010 | G3SH and C3SH | Grape juice | 1.2 mL | Extracted on strong cation exchange resin, purified on a Sep-Pak C18 cartridge, and eluted with MeOH. | None | NanoLC-MS/MS | C18 |
| Mattivi et al. [42] | 2012 | G3SH and C3SH | Juice and wine samples | Filtration and direct injection | None | UPLC-MS/MS | C18 | |
| Concejero et al. [43] | 2014 | G3SH and C3SH | Red and white grape juice | 500 g grapes, pressed | Filtration and direct injection | None | UHPLC-MS/MS | C18 |
| Thibon et al. [44] | 2016 | G3SHA/SO3 | Sauvignon blanc juice | 5L | Separation of compounds on C18 MPLC, lyophilized, filtered, and injected | None | UHPLC-FTMS | C18 |
| Bonnafoux et al. [45] | 2017 | G3SH and C3SH, CG3SH and GC3SH | White juice and wine | 1 mL | Filtration and direct injection | None | HPLC-MS/MS | C18 |
| Vanzo et al. [46] | 2017 | G3SH and C3SH | Sauvignon blanc grape berry | Extraction into 100% MeOH at room temperature, centrifuged, and injected | None | UHPLC-MS/MS | C18 |
| Authors | Year | Instrument | Sample Preparation | C3SH | G3SH | ||
|---|---|---|---|---|---|---|---|
| LOD (ppb) | LOQ (ppb) | LOD (ppb) | LOQ (ppb) | ||||
| Capone et al. [40] | 2010 | HPLC-MS/MS | SPE a | 0.04 | 0.12 | 0.13 | 0.39 |
| Roland et al. [41] | 2010 | NanoLC-MS/MS | SCX-SPE b | 0.310 | 1.05 | 0.0611 | 0.203 |
| Mattivi et al. [42] | 2012 | UPLC-MS/MS | Filter | 0.01 | 0.033 | 0.012 | 0.04 |
| Concejero et al. [43] | 2014 | UHPLC-MS/MS | Filter | 0.6 | 1.7 | 2 | 7 |
| Vanzo et al. [46] | 2017 | UHPLC-MS/MS | Extract and filter | 0.09 | 0.28 | 0.06 | 0.17 |
| Kobayashi et al. [39] | 2010 | HPLC-MS/MS | Extract and filter | 0.0443 | 0.133 | 0.0407 | 0.122 |
Publisher’s Note: MDPI stays neutral with regard to jurisdictional claims in published maps and institutional affiliations. |
© 2022 by the authors. Licensee MDPI, Basel, Switzerland. This article is an open access article distributed under the terms and conditions of the Creative Commons Attribution (CC BY) license (https://creativecommons.org/licenses/by/4.0/).
Share and Cite
Muhl, J.R.; Pilkington, L.I.; Fedrizzi, B.; Deed, R.C. Unraveling the Mystery of 3-Sulfanylhexan-1-ol: The Evolution of Methodology for the Analysis of Precursors to 3-Sulfanylhexan-1-ol in Wine. Foods 2022, 11, 2050. https://doi.org/10.3390/foods11142050
Muhl JR, Pilkington LI, Fedrizzi B, Deed RC. Unraveling the Mystery of 3-Sulfanylhexan-1-ol: The Evolution of Methodology for the Analysis of Precursors to 3-Sulfanylhexan-1-ol in Wine. Foods. 2022; 11(14):2050. https://doi.org/10.3390/foods11142050
Chicago/Turabian StyleMuhl, Jennifer R., Lisa I. Pilkington, Bruno Fedrizzi, and Rebecca C. Deed. 2022. "Unraveling the Mystery of 3-Sulfanylhexan-1-ol: The Evolution of Methodology for the Analysis of Precursors to 3-Sulfanylhexan-1-ol in Wine" Foods 11, no. 14: 2050. https://doi.org/10.3390/foods11142050
APA StyleMuhl, J. R., Pilkington, L. I., Fedrizzi, B., & Deed, R. C. (2022). Unraveling the Mystery of 3-Sulfanylhexan-1-ol: The Evolution of Methodology for the Analysis of Precursors to 3-Sulfanylhexan-1-ol in Wine. Foods, 11(14), 2050. https://doi.org/10.3390/foods11142050

