Abstract
Medicinal and aromatic plants (MAPs) are potential sources of natural bioactive phytochemical compounds of an incredible worth for the food industry, such as polyphenols. Lamiaceae medicinal and aromatic plants from Granada’s high plateau, concretely Origanum bastetanum, Thymus zygis gracilis, Thymus longiflorus, Thymus membranaceus and Ziziphora hispanica, were evaluated under different conventional solid–liquid extraction conditions to obtain extracts enriched in bioactive compounds. Phenolic profile was detected by HPLC-QTOF-MS, identifying a high abundance of bioactive constituents. Furthermore, antioxidant and antiviral activities of the mentioned plants were studied as biological properties of interest for the improvement of food shelf-life. Thus, Origanum bastetanum showed the highest antioxidant potential for all assays. Antiviral activity was also tested against some important foodborne viruses, feline calicivirus (FCV), murine norovirus (MNV) and hepatitis A virus (HAV), with the highest activity obtained for Ziziphora hispanica, Thymus longiflorus and Origanum bastetanum. This research proposes the studied plants as rich sources of bioactive compounds with potential use as preservatives in the food industry.
1. Introduction
Since ancient times, plants such as herbs and spices have been used for a multitude of purposes, including nutrition and food preservation, either in their fresh crude form or as different preparations [1]. Thus, the historical use of medicinal and aromatic plants (MAP) has been widely acknowledged and recorded, as well as related to their chemical composition. These plants have proven to be an invaluable source of bioactive compounds with an incredible worth in modern industry. Herbs and spices are mainly differentiated based on the part of the plant from which they are obtained, being herbs mainly acquired from the leaves of a plant. Spices have traditionally been classified based on flavor into four groups: hot spices (such as black and white peppers), mild flavor spices (such as paprika), aromatic spices (such as clove or cinnamon) and aromatic herbs and vegetables (such as thyme) [2]. Among these, some substances have been used as fragrances and essences, industrial raw materials such as fatty acids and natural gums or even pesticides. In the food industry, these compounds have exerted an important role due to their preservative effect caused by the presence of antioxidant and antimicrobial constituents, which are considered some of the most interesting properties present in these plants.
Due to the interest in antioxidants for food applications and the recent search for novel and more natural sources of additives, in the last years, plants have been extensively studied for their antioxidant activity. MAPs constitute an attractive source not only for their availability and economical relevance, but also for the popularity of natural-based products in comparison with synthetically produced ones [3].
One of the most relevant antioxidant molecules found in MAP is polyphenols. These plant secondary metabolites are generally involved in defense against radiation, aggression by pathogens, or stress conditions, as they present a great antioxidant capacity [4,5]. In relation to this bioactivity, polyphenols have been proposed as alternatives to synthetic antioxidant compounds used in the food industry, such as butylated hydroxyanisole (BHA) or butylated hydroxytoluene (BHT). The trend for the use of alternative natural antioxidant is supported by the raising concerns about their harmful effects [3].
In addition to their antioxidant activity, some MAP extracts have shown activity against foodborne pathogens, such as viruses and bacteria, related to their phenolic content [6]. Therefore, plant-based extracts could also be introduced in processed foods in order to protect the consumers against foodborne viruses. According to the World Health Organization (WHO), almost one in ten people fall ill after consuming contaminated food across the world [7]. Consequently, its control during the production process has been a raising concern over the past years in the food industry. In fact, MAPs extracts are being studied as antiviral agents against a wide variety of viruses responsible for foodborne illnesses [8].
Being one of the most important herbal families, the Lamiaceae family, including oregano, rosemary and thyme, pose as an interesting source of extracts owing to their naturally high phenolic content [9]. These species possess multiple activities from antioxidant and anti-inflammatory to antibacterial and antiviral properties [1]. In this sense, Thymus, Origanum and Ziziphora genus stand out due to their extensive use for culinary purposes, being popular additions in food preparations. As reported in previous literature, other spices such as clove and cinnamon have shown great antioxidant activity, which has been even used for medicinal purposes [10,11,12]. Additionally, clove and ginger have also presented antiviral activity against food-borne viruses such as feline calicivirus [13]. Therefore, phenolic extracts of these spices could exhibit bioactive properties of great importance for their use the food industry. However, current compositional data and studies regarding these properties are still insufficient.
The purpose of this study was to establish the phenolic profile, antioxidant capacity and antiviral activity against foodborne norovirus surrogates (feline calicivirus, FCV; murine norovirus, MNV; and hepatitis A virus, HAV) of optimized phenolic-rich extracts of a variety of MAPs from the Lamiaceae family (Origanum bastetanum, Thymus zygis gracilis, Thymus membranaceus, Thymus longiflorus and Ziziphora hispanica), typical from Granada’s high plateau. This study aimed to find new potential sources of natural bioactive compounds in this Mediterranean region as well as to evaluate their mentioned bioactivity in relation to their phenolic content.
2. Materials and Methods
2.1. Chemicals and Reagents
All reagents and solvents were of analytical or MS grade. For extraction, ultrapure water was obtained with a Milli-Q system (Millipore, Bedford, MA, USA) and absolute ethanol (EtOH) was purchased from Fisher Scientific (Loughborough, Leicestershire, UK). Regarding HPLC-MS analysis, LC–MS grade acetonitrile was purchased from Fisher Scientific (Loughborough, Leicesterchire, UK), formic acid was supplied by Sigma-Aldrich (Buchs, Switzerland) and ultrapure water was obtained as described above. In order to measure the antioxidant capacity of the MAP extracts, the following reagents were provided by the indicated suppliers: AAPH (2,20-azobis-2-methyl-propanimidamide, dihydrochloride), ABTS [2,20-azinobis (3-ethylbenzothiazoline-6-sulphonate)], fluorescein, potassium persulfate, TPTZ (2,4,6-tripyridyl-S-triazine) and Trolox (6-hydroxy-2,5,7,8-tetramethylchroman-2-carboxylic acid) from Sigma-Aldrich (St. Louis, MO, USA). From Panreac (Barcelona, Spain), sodium phosphate mono and dibasic, sodium acetate, ferric chloride, hydrochloric acid and acetic acid were purchased. For antiviral activity, Dulbecco’s Modified Eagle’s Medium and fetal bovine serum were provided by Labclinics (Biowest, L0101-500) and Fisher (Invitrogen, 10309433), respectively. In these assays, a commercial rosemary extract already used as food additive obtained from a commercial supplier (NATAC Group S.L., Madrid, Spain) was used as reference sample with accredited food additive properties.
2.2. Samples
The samples of Origanum bastetanum, Thymus zigis gracilis, Thymus membranaceus, Thymus longiflorus and Ziziphora hispanica were collected during April and May of 2020 in different sites in the province of Granada (Spain) belonging to the area of Granada’s High Plateau. Samples of all the studied plants were authenticated by a botanist and a voucher specimen of each one was deposited in the herbarium of the University of Granada located in Rector López Argüeta street, number 8, PC: 18,001 (Granada). The assigned codes in the herbarium were 69,287 for Origanum bastetanum, 69,289 for Thymus zigis gracilis, 69,290 for Thymus membranaceus, 69,288 for Thymus longiflorus and 69,286 for Ziziphora hispanica. The information regarding altitude, temperatures, rain water and solar radiation of this area is depicted in Table S1, in Supplementary Materials. After their collection, the samples were dried following the traditional methodology of maintaining them at room temperature and darkness for 30 days. After the drying step, the samples were grounded with an ultra-centrifugal mill ZM 200 (Retsch GmbH, Haan, Germany) obtaining powders with an average particle size of 500 µm. The obtained material was stored, avoiding light and air exposure, and kept at room temperature until their extraction.
2.3. Conventional Solid–Liquid Extraction
Sample extraction was carried out by maceration with solvents considered as Green (environmentally friendly) and GRAS (Generally Recognized As Safe), allowed for food use. In this sense, different proportions of two solvents with these characteristics, water and ethanol, were assayed. Concretely, pure solvents and aqueous mixtures with 50 and 80% ethanol were tested. For all the experiments, 50 mL of the extraction solvent was mixed with 1.5 g of each dry plant, and the mixture was shaken in a vortex for 30 s. After that, solutions were maintained in agitation at room temperature for 1 h. Supernatants were removed with two subsequent centrifugation cycles at 12,096× g RCF for 10 min. Liquid extracts were evaporated to dryness at 35 °C in a Savan SC250EXP Speed-Vac (Thermo Scientific, Loughborough, Leicestershire, UK). Extracts were stored at −20 °C until further use. All the extractions were performed in duplicate in order to assure repeatability. Extraction yields are presented in Table S2, in Supplementary Materials.
2.4. Analysis by HPLC-QTOF-MS
Extracts were analyzed at a concentration of 5 g/L prepared in the same solvents used for their extraction. Solutions were filtered using syringe filters of 0.2 µm pore size. Samples were analyzed in a 1260 HPLC instrument coupled to a 6540 UHD Quadrupole-Time-Of-Flight mass analyzer (QTOF-MS) from Agilent Technologies (Palo Alto, CA, USA).
The chromatographic method was optimized for the separation of the analytes in 10 µL of sample with a 1.8 µm Zorbax Eclipse Plus C18 column (150 × 4.6 mm). The mobile phases for the elution were 0.1% aqueous formic acid as phase A and acetonitrile as phase B. The gradient elution started at 5% B, the first step reached 60% B at minute 30, followed by 95% B after 35 min. After that time, the initial conditions were restored in 5 min and maintained for another additional 5 min before the next injection to equilibrate the system. The temperature of the oven was maintained at 25 °C during the analysis while the flow was set at 0.5 mL/min.
For the detection in the mass spectrometer, both the ionization and the transfer parameters were optimized. The instrument was equipped with a Jet Stream dual ESI interface and nitrogen was used as drying and nebulizing gas. The flows and temperatures of nebulizer and drying gas were: 20 psig nebulizer, 10 L/min drying gas at 325 °C and 12 L/min of sheath gas at 400 °C. The applied voltages were: capillary 4000 V, nozzle 500 V, fragmentor 130 V, skimmer 45 V, octopole 1 RF 750 V. Regarding the acquisition parameters, the registered m/z range was 100–1700 m/z, the acquisition rate and time were 3 spectra/min and 333.3 ms/spectra, respectively. The acquisition mode was negative ionization with the continuous infusion of the reference ions m/z 112.985587 (trifluoroacetate anion) and 1033.988109 (adduct of hexakis (1H,1H,3H-tetrafluoropropoxy) phosphazine or HP-921) to correct each mass spectrum in order to achieve high accurate mass measurements.
All the operations, acquisition and data analysis were controlled by Masshunter workstation software version B.06.00 (Agilent Technologies, Palo Alto, CA, USA). This software package uses The FindCompounds algorithms, which find compounds in data and creates averaged MS spectra for each compound. This functionality is an easy way to “mine” information from complex data. In this research the analysts used the “Find Compounds by Molecular Feature” tool and extracted the complete result set for a compound. After that, the software generated possible formulas for each of those found compounds, together with other information, such as Score (%) or Error mass (ppm and mDa), which result in potential candidates that should be checked in a database. In this step, the analysts also checked the predicted isotope abundance ratios on the spectrum plot. Lastly, all those candidates were searched in the SciFinder database, filtering by the spice of the plant family of interest. The positive results were included as tentative identified compounds. The area under the peak of each compound tentatively identified was measured in the base peak chromatogram of each plant matrix. This area was obtained for each analysis replicate for all the studied plants, and summarized in Table S3 as mean value ± standard deviation.
2.5. Evaluation of Potential Bioactivity
Different analyses were performed in order to evaluate the antioxidant and antiviral activities of the obtained MAP extracts for exploring possible food and pharmaceutical applications. In this sense, different antioxidant activity assays (FRAP, TEAC, ORAC) were carried out in order to evaluate different antioxidant mechanisms from bioactive substances (electron transfer, hydrogen transfer or the combination of both). Moreover, the antiviral activity of these Lamiaceae plants was tested in three different virus cell lines.
2.5.1. In Vitro Antioxidant Activity
A variety of antioxidant assays (TEAC, FRAP, and ORAC) were evaluated for the studied herbs extracted with different hydroethanolic mixtures (ethanol; 80% ethanol; 50% ethanol and water). Additionally, a commercial rosemary extract (reconstituted in ethanol and aqueous ethanol at 80%) was used as positive control.
The TEAC (Trolox Equivalent Antioxidant Capacity) assay was performed as previously described elsewhere [14] with slight modifications [15]. This method assesses the ABTS radical cation (ABTS+•) scavenging activity of samples compared to a hydrophilic analogous of vitamin E, Trolox. Briefly, the ABTS+• stock solution was prepared by mixing 7 mM aqueous ABTS solution with 2.45 mM potassium persulfate. After 12–24 h in darkness at room temperature, the ABTS+• solution was diluted with H2O:EtOH (1:1, v/v) to adjust its absorbance value to 0.70 ± 0.02 at 734 nm. A volume of 20 µL of diluted samples was then mixed with 200 µL ABTS+• working solution in a 96-well microplate and the decay in absorbance after 30 min at 25 °C was monitored in a microplate reader from Synergy MX, BioTek (Winooski, VT, USA). A standard curve with Trolox was prepared to express the antioxidant activities as µmol Trolox equivalents/mg dry extract (DE).
The FRAP (Ferric Reducing Antioxidant Capacity) assay was carried out following the method described by Benzie and Strain (1996) [16] with slight modifications. This method is based on the ability to reduce the ferric to ferrous cation in acidic medium by antioxidant substances. In this sense, 40 µL of diluted samples was put into 250 µL of a mixture of 300 mM sodium acetate (pH 3.6 with acetic acid), 10 mM TPTZ (40 mM aqueous hydrochloric acid) and 20 mM aqueous ferric chloride. FRAP values (expressed as µmol FeSO4 equivalents/mg dry extract) were calculated by measuring the absorbance before and after the addition of the sample of the ferrous complex at 593 nm in a microplate reader from Synergy MX, BioTek (Winooski, VT, USA) and using FeSO4·7H2O as standard.
To assay the capacity of the extracts to scavenge peroxyl radicals, an ORAC (Oxygen Radical Absorbance Capacity) method was used [17] with some modifications [18]. This assay measures the decrease in fluorescence of a protein as a result of the loss of its conformation when it undergoes oxidative damage caused by a source of peroxyl radicals (ROO•). The ORAC in vitro assay tests the ability of a sample to inhibit the reactivity of these free radicals to be quantified. Specifically, it measures the capacity to capture a specific radical, peroxyl, generated from the organic molecule AAPH. The measurements were made in a microplate reader Synergy MX, BioTek (Winooski, VT, USA) with an excitation and emission wavelengths of 485 and 520 nm, respectively. A regression equation between the Trolox concentration and the net area of the fluorescence decay curve was used in order to obtain the final ORAC values, expressed as µmol Trolox equivalents/mg dry extract. In all the antioxidant capacity assays, measurements were made in triplicate and the final value is expressed as the media ± standard deviation of the three replicates.
2.5.2. Antiviral Activity
Three different viruses and their respective cell lines were used to evaluate the potential antiviral activity of the MAP extracts with the highest antioxidant. Thus, the extracts obtained with 80% ethanol were chosen for Origanum bastetanum, Thymus zigis gracilis and Thymus membranaceus, whereas the aqueous mixtures at 50% were selected for Thymus longiflorus and Ziziphora hispanica, together with the ethanolic extract of Thymus zigis gracilis. FCV F9 strain (ATCC VR-782), MNV-1 (kindly provided by Prof. H.W. Virgin, Washington University School of Medicine, USA) and HAV strain HM-175/18f (ATCC VR-1402) were assayed and propagated in CRFK (ATCC CCL-94), RAW 264.7 (also provided by Prof. H.W. Virgin) and FRhK-4 cells (provided by Prof. A. Bosch, University of Barcelona, Spain), respectively. To produce virus stock, cell lines were infected for 2 days with FCV and MNV and for 15 days with HAV followed by three thaw cycles at 660× g for 30 min. Infectious viruses were enumerated by determining the 50% tissue culture infectious dose (TCID50) using the Spearmen–Karber method [19].
Suspensions of FCV, MNV and HAV were equally mixed with extracts of Thymus zygis gracilis, commercial rosemary sample (previously suspended in ethanol or 80% aqueous mixture), Ziziphora hispanica, Thymus longiflorus (50% ethanol), Origanum bastetanum and Thymus membranaceus (80% ethanol) extracts at two different concentrations (0.5 or 5 mg/mL). Samples were incubated overnight at 25 °C for FCV or 37 °C in the cases of MNV and HAV, and then Dulbecco’s Modified Eagle’s Medium supplemented with 10% fetal bovine serum was added to stop the reactions. Each treatment was run in triplicate. Positive controls were virus suspensions mixed with PBS only under the same experimental conditions. Samples were diluted and inoculated into confluent cell lines and infectious viruses were enumerated as described above. The decay of virus titers was calculated as previously described [20].
All antiviral samples were compiled from three independent experiments with three technical replicates for each variable. To test the impact of each variable on viral infectivity results, data were subjected to analysis of variance (ANOVA) followed by Tukey’s HSD as a post hoc test to obtain homogenous groups. Differences in means were considered significant when the p-value was < 0.05.
3. Results
3.1. Characterization of Bioactive MAP Extracts by HPLC-QTOF-MS
Once bioactivity assay screening was performed with the obtained extracts, those that exerted the highest potential were comprehensively characterized by HPLC-QTOF-MS. Thus, the analyzed extracts were Origanum bastetanum, Thymus zygis gracillis and Thymus membranaceus extracted with 80% aqueous ethanol, and Thymus longiflorus and Ziziphora hispanica (obtained with 50% ethanol-water). The obtained base peak chromatograms (BPC) using the powerful analytical platform are depicted in Figure 1.
Figure 1.
(a) Base Peak Chromatograms of MAP extracts with higher bioactivity obtained by HPLC-QTOF-MS; (b) chemical structure of some compounds identified in the selected extracts.
As it can be observed, the chromatographic profiles were complex, with the thyme species being very similar except for the less polar substances eluting at the end of the chromatographic run. The tentative identification of the detected compounds is summarized in Table 1, where the putative identity of the tentative compounds, their retention time, experimental m/z, molecular formula, score and error (ppm) are presented together with the information regarding their presence in the different analyzed MAP extracts in which they were found. Thus, Origanum bastetanum is referred to as OG, Thymus zygis gracillis as TG, Thymus membranaceus as TM, Thymus longiflorus as TL and Ziziphora hispanica as Z; while common compounds were expressed as “All” in the “MAP extract” column. A high abundance of bioactive compounds was found for all extracts, mainly belonging to phenolic acid and flavonoid families.
Table 1.
Chemical characterization of aromatic plant extracts.
Phenolic acids and derivatives. Many of these compounds were previously found in different species of Lamiaceae, such as protocatechuic acid hexoside, syringic acid, chlorogenic acid, rosmarinic acid and its methyl ester derivative [21,22]. Additionally, coumaroylquinic acid isomers and feruloylquinic acid have been previously identified in Lamiaceae plants [23]. Rosmarinic and chlorogenic acid were also described for different species of Ziziphora [23].
Lignans. Several salvianolic acids and their isomers were also identified, described and studied in previous studies of Thymus and Origanum [24]. Salvianolic acid compounds have demonstrated bioactivity such as antioxidant activity [25].
Flavonoids. Some of these compounds included different isomers of luteolin rutinoside, luteolin glucoside and luteolin, all of them previously described for other species of thyme and oregano [26]. Apigenin glucuronide, apigenin and genkwanin were also identified, all of them described in other species of thyme by other authors [21,22,27]. Other flavones proposed were cirsimaritin isomers, cirsiliol, thymusin and hispidulin, substances previously found in thyme [27,28].
Furthermore, the flavanones eriodictyol and its glucoside form [28], naringenin [27] and dihydroflavonol taxifolin [22] have been described in previous research in thyme. The flavan-3-ols gallocatechin and epigallocatechin have also been identified in Lamiaceae in the literature [28].
Other phenolic compounds have also been described in diverse Lamiaceae plants, such as phenolic glycosides like leonuriside A, seguinoside K [29] and amburoside A [30], phenyl propanoids such as caffeoylquinic acid methyl ester and dicaffeoyl-hydroxy-methylglutaroyl-quinic acid, simple phenols like piceol, mono terpenes (thymohydroquinone acetylglucoside), and phenolic diterpenes such as carnosol [21].
The number of the compounds tentatively identified in the MAP extracts should be highlighted. Thus, in Origanum bastetanum, a total of 20 compounds were proposed, 22 substances in Ziziphora hispanica, 28 in Thymus zigis gracilis, 34 in Thymus membranaceus, and lastly 39 in Thymus longiflorus.
A great number of compounds were only detected in Origanum bastetanum, which makes this species one of most interesting among the studied MAPs. Some of these compounds include salvianolic acid A and B and other derivatives of caffeic and quinic acids, among others. Moreover, this extract also presented substances in common with thyme species, such as cirsimaritin isomers, trihydroxyoctadecadienoic acid, eriodictyol isomer or the glucosilated form of tuberonic acid (also found in Ziziphora hispanica). Most of these compounds have been previously identified in species of oregano or in the Lamiaceae family, as previously mentioned. On the contrary, as far as we are concerned, caffeic acid derivatives and syringic acid glucoside were detected for the first time in the present research.
On the other hand, Ziziphora hispanica also possesses an abundance of phenolic compounds. Specifically, 11 molecules have been exclusively detected in this plant, such as caffeic and quinic acid derivatives, along with other compounds such as barosmin or botcinin acid. Furthermore, some of the putative compounds in Ziziphora hispanica were also found in Thymus longiflorus, which could be explained by the similarity in their composition as well as the use of the same solvent conditions for their extractions (water-ethanol, 50:50, v/v). Those common compounds were principally polar substances, such as citric acid isomers, xantone, rosmarinic acid and gallocatechin. Furthermore, other tentative identified compounds were also characterized for thyme species, specifically tuberonic acid glucoside, syringic acid and luteolin. Due to the scarce bibliographic information of this aromatic plant, just the isomers of citric and chlorogenic acids, piceol, basrosmin, rosmarinic acid and luteolin have been reported in this species [23], whereas the rest belonged to the Lamiaceae family except for p-coumaroylquinic acid and botcinic acid, which are frequently found in other plants.
In relation to the thyme species, seven compounds were found in all the analyzed thyme samples. Other substances were only found in two out of the three samples of thyme. On the one hand, carnosol and one isomer of tuberonic acid glucoside were detected in Thymus zigis gracillis and Thymus longiflorus; whereas epigallocatechin, taxifolin, thymusin, tuberonic acid and rosmarinic acid methyl ester were identified in the first species and Thymis membranaceus. On the other hand, Thymus membranaceus and Thymus longiflorus possessed mainly flavonoids in common. Finally, as can be seen in Table 1, different compounds were exclusively proposed for some of the analyzed thyme samples, concretely 5 for Thymus zigis gracillis, 4 in Thymus longiflorus and 2 in Thymus membranaceus. The scarcity of literature regarding the characterization of the considered spices should be noted, while also considering their antioxidant and antiviral activities, showing the novelty of the present study.
3.2. In Vitro Antioxidant Activity
The results of the different antioxidant assays performed in the aromatic plant extracts are summarized in Table 2. The values of the measurements are expressed as µmol Trolox equivalents/mg dry extract for TEAC and ORAC assays, and as µmol FeSO4 equivalents/mg dry extract for the FRAP test.
Table 2.
In vitro antioxidant activity of extracts of aromatic plants obtained with different hydroethanolic mixtures determined by FRAP, TEAC and ORAC assays.
Regarding the TEAC assay, it should be noticed that ethanol–water at a proportion of 80:20 (v/v) seems to be the best solvent to extract antioxidant substances from all the aromatic plants. Moreover, Origanum bastetanum presents the highest antioxidant activity for this assay, followed by Thymus zygis gracilis and Thymus longiflorus. Additionally, Ziziphora hispanica possessed the least antioxidant activity against ABTS+• radicals.
Concerning FRAP measurements, similar antioxidant extraction efficiency with the assayed solvents was observed. The extracts obtained with 80% ethanol presented the best antioxidant results for Origanum bastetanum and the species Thymus zygis gracilis and Thymus membranaceus; whereas a mixture of water–ethanol at 50% extracted more quantity of antioxidants of Thymus longiflorus and Ziziphora hispanica. In this assay, the best antioxidant capacity was again shown by Origanum bastetanum, followed by Thymus longiflorus extracted with the hydroethanolic mixtures.
As for the ORAC test, the assayed hydroalcoholic solvents were the best option for the recovery of antioxidant compounds, except for Thymus zygis gracilis, for which pure ethanol showed the best results. Higher percentages of ethanol in aqueous mixtures appeared to be better for Origanum basetanum and Thymus membranaceus, while the 50% proportion seemed to be optimum for Thymus longiflorus and Ziziphora hispanica. In the same way, the highest antioxidant potentials were exhibited by Origanum bastetanum and Thymus zygis gracilis.
In general, it should be pointed out that the aqueous mixtures with ethanol present the best results with respect to the antioxidant activity of the assayed MAP extracts. Furthermore, Origanum bastetanum had the highest antioxidant potential in all the assays, followed by the different species of thymes, mainly Thymus longiflorus and Thymus zygis gracilis.
3.3. Antiviral Activity
The aim of this study was to evaluate the antiviral activity of selected MAP extracts against different enteric viruses and their cultivable surrogates, as a form of evaluating their use for protecting consumers against some of the most important foodborne viruses. In this sense, extracts presenting the best results in terms of antioxidant activity were selected for this evaluation. Thus, extracts obtained with 80% ethanol were chosen for Origanum bastetanum, Thymus zigis gracilis and Thymus membranaceus, whereas aqueous mixtures at 50% were selected for Thymus longiflorus and Ziziphora hispanica, together with the ethanolic extract of Thymus zigis gracilis. The studied MAPs were compared with a commercial rosemary extract (reconstituted in ethanol and aqueous ethanol at 80%), used as positive control due to its proven activity being previously evaluated by the EFSA Panel on Food Additives, Flavorings, Processing Aids and Materials in contact with Food [31] and its authorization for use as a dietary antioxidant additive in the European Union (EU) according to Annexes II and III to Regulation (EC) No 1333/200822 [32].
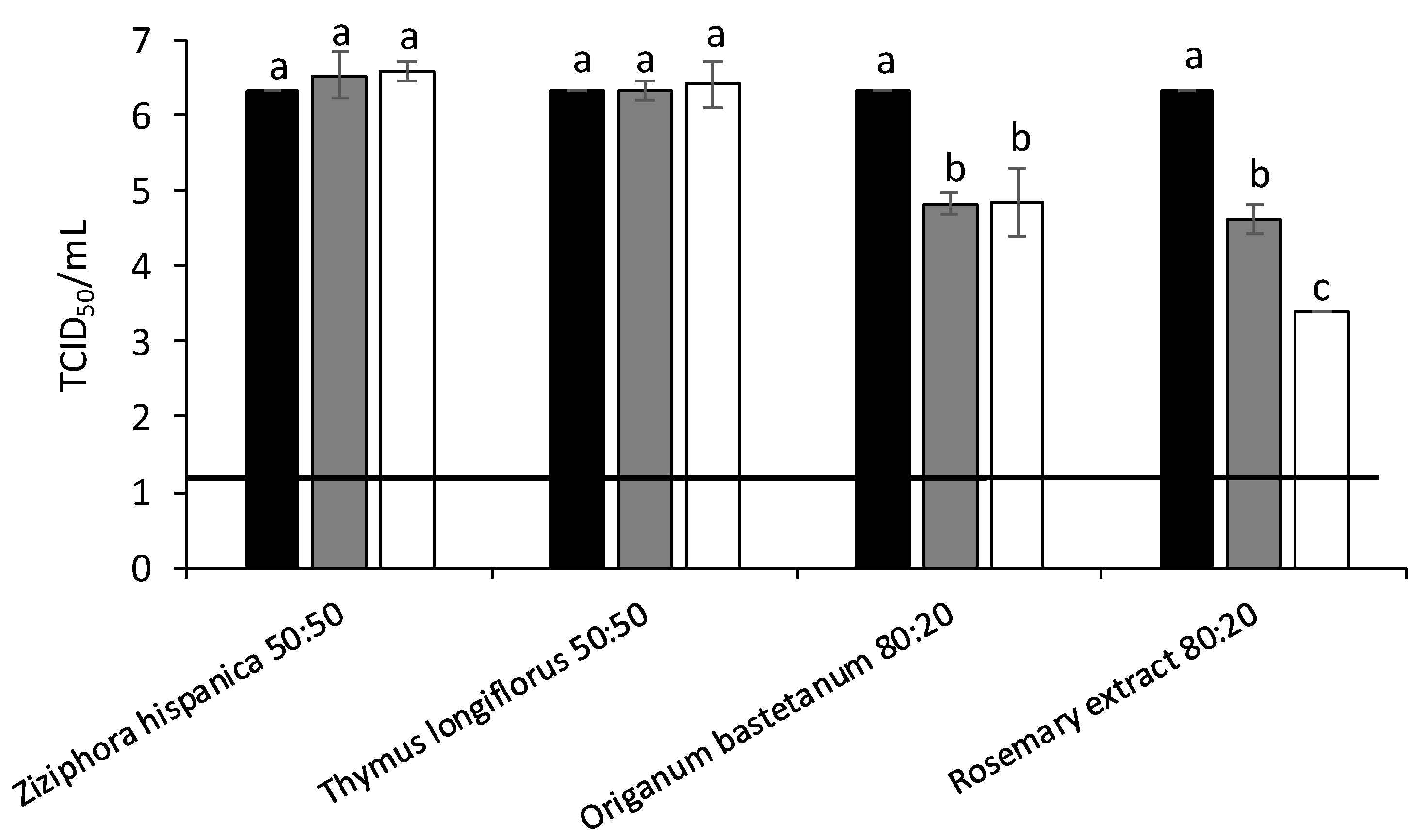
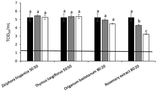
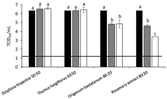
Initially, FCV were treated at 25 °C with the different MAP extracts. The highest antiviral activity was obtained for Ziziphora hispanica, Thymus longiflorus, Origanum bastetanum and commercial rosemary (80%) extracts reducing FCV titers by 4.21, 2.25, 2.21 and 2.42 log at 5 mg/mL, respectively (Figure 2). The antiviral activity of these four extracts was further evaluated against MNV (Figure 3) and HAV (Figure 4) at 37 °C. In the case of MNV, significant differences were observed for Origanum bastetanum, getting reductions by 1.50 and 1.48 log at 0.5 and 5 mg/mL, respectively, and 1.71 and 2.92 log for rosemary extract at the same concentrations. While for HAV, only the rosemary extract showed antiviral activity, reducing titers by 0.96 and 2.92 log for lowest and highest concentrations, respectively.
Figure 2.
Reduction of feline calicivirus (FCV) titers (log TCID50/mL) treated with different extracts after 25 °C/ON incubations. Black bars: Control; Grey bars: 0.5 mg/mL; White bars: 5 mg/mL. Each bar represents the average of triplicates. Within each column, different letters denote significant differences between treatments. Horizontal line depicts the detection limit.
Figure 3.
Reduction of murine norovirus (MNV) titers (log TCID50/mL) treated with different extracts after 37 °C/ON incubations. Black bars: Control; Grey bars: 0.5 mg/mL; White bars: 5 mg/mL. Each bar represents the average of triplicates. Within each column, different letters denote significant differences between treatments. Horizontal line depicts the detection limit.
Figure 4.
Reduction of hepatitis A virus (HAV) titers (log TCID50/mL) treated with different extracts after 37 °C/ON incubations. Black bars: Control; Grey bars: 0.5 mg/mL; White bars: 5 mg/mL. Each bar represents the average of triplicates. Within each column, different letters denote significant differences between treatments. Horizontal line depicts the detection limit.
4. Discussion
Medicinal and aromatic plants’ potential as sources of natural bioactive compounds makes their study of high interest. In this research, phenolic content and bioactivity of some of the most remarkable MAPs found in Granada’s high Plateau were evaluated. It should be highlighted that the identification of the phytochemicals present in the studied plants is only tentative, and a confirmation should be performed by the comparison with commercial standards when available for the compounds of interest.
Bioactive composition of the studied plants has shown a great variety of phenolic compounds, as can be observed in the previous section. The uniqueness of their polyphenolic profile must be considered, as Origanum bastetanum extract presented an abundance of compounds only identified in this matrix, while 11 compounds were exclusive for Ziziphora hispanica and similarity was found between thyme species. This variety generates individual combinations of phenolic compounds for each plant, which have proven to be of high interest.
Different species of Origanum have been studied in the literature, mainly focusing on Origanum vulgare. As for Origanum bastetanum, its essential oil has been previously studied but, to our current knowledge, aqueous extracts have not been described in literature. The phenolic profile of the studied extract seems to deviate from that observed in the literature for Origanum vulgare, O. dictamnus and O. majorana. The phenolic profiles studied for O. vulgare by Zhang et al., 2014, Vallverdú-Queralt et al., 2014 and Shan et al., 2005, differ from that observed in our study, with only derivatives from caffeic acid and amburoside A being in common [13,21,30]. This can be extended to O. dictamnus and O. majorana, sharing only eriodictyol, syringic acid glucoside, caffeoyl arbutin and salvianolic acid [22,33]. However, some of the compounds described in the literature for oregano have been observed in other species identified in this study, such as apigenin (TG), carnosol (TG and TL) and chlorogenic acid (Z). These differences could be related to the fact that those studies considered other species of Origanum. Nevertheless, the influence of the pedoclimatic conditions characteristic from Granada’s High Plateau, which combines altitude and a high exposure to UV radiation, could also have an influence on its specific phenolic composition. Thus, differences in genus and cultivar may be responsible for these variations, as the Origanum spices found in the literature come from different varieties and geographical points.
On the other hand, while maintaining differences in phenolic composition, thyme seems to have more compounds in common with other studied species. In Nabet et al., 2019, Thymus fontanesii was studied, which presented caffeic acid, gallocatechin (TL), rosmarinic acid, other forms of luteolin, apigenin, naringenin and carnosol. Other studies have considered Thymus vulgaris, sharing some compounds with the present extracts, mainly phenolic acids such as caffeic and rosmarinic acid, as well as naringenin, apigenin and luteolin derivatives [13,21,34,35]. Nonetheless, most of the compounds identified in the present study have not been recorded for Thymus vulgaris, such as genkwanin and most of the caffeic derivatives identified. As previously mentioned, some of these compounds have already been described for other Lamiaceae plants, but to our knowledge, they are rare in Thymus. The geographical effect could also be an explanation for the observed differences, as those found in the literature come from different locations. This could be supported by Horwath et al., 2008, where phenolic compounds like genkwanin were observed in wild populations of Thymus from climatic regions in the southeast of Spain.
This fact has also been observed for Ziziphora, where only some compounds have been described in the literature, such as chlorogenic acid, luteolin and syringic acid [12].
Bioactivity of the studied extract has shown to be quite promising. Overall, antioxidant activity of the obtained results seems to be high and consistent with previous published research for some species of Lamiaceae [36,37,38]. Moreover, this study presents promising results of antioxidant potential for these spices. In this sense, the present antioxidant results appear to be high when compared with acclaimed high antioxidant sources such as rosemary extracts, with a range of 3.1 to 7.4 mmol TE/kg FW for TEAC [39] and ranging from 32.17 to 1.28 μm Fe (II)/g for FRAP [40]. The obtained data is also higher than those obtained in Nabet et al., 2019, where other types of oregano and thyme reported values of 3.61 mmol Trolox equivalents/g and 3.92 mmol Trolox equivalents/g for TEAC, respectively. In Vallverdú-Queralt et al., 2014, oregano and thyme were also studied, obtaining results of 1.34 ± 0.13 and 1.38 ± 0.13 mmol TE/g DW for ABTS, as well as 0.78 ± 0.07 and 1.15 ± 0.06 mmol TE/g DW for DPPH, respectively. In Miron et al., 2011, antioxidant capacity of wild thyme was studied for different extraction conditions, with the highest result being 3.08 ± 0.09 mmol Trolox/g when using water/ethanol 50:50 (v/v) as solvent. The presented results show an incredible potential of the mentioned phenolic extracts as additives for preservation of food quality and safety and improving shelf-life.
As rosemary phenolic extracts have already been approved as applicable additives, the fact that the studied Lamiaceae extracts seem to show comparable if not a higher antioxidant activity demonstrates the adequacy for their potential use in the food industry. This puts extracts such as Origanum bastetanum, which has shown the greatest antioxidant results for all the considered assays, at the level of recognized additives, implying its outstanding potential as a novel source of active compounds for the food industry. Additionally, its use will suppose a new area of exploitation for Granada’s agricultural businesses.
As for antiviral activity, the scarcity of studies carried out for MAPs phenolic aqueous extracts of the Lamiaceae family must be highlighted. Thus, the present results have also been compared with those of other plant sources. Through the literature, similar tendencies were previously observed in oregano essential oil (Origanum vulgare), which successfully deactivated feline calcivirus (FCV) and murine norovirus (MNV). This activity has been extended to the studied phenolic extract, as observed in the present research. These results are also comparable with previous research on other plant extracts. In Li et al. (2012), a reduction to >3-log PFU/mL of MNV was observed when grape seed extract was tested [41]. Similarly, Su and D’Souza (2013) [26] observed a reduction of FCV-F9 by 2.71 log on lettuce and 3.05 log on peppers and a reduction of MNV by 0.2–0.3 log on lettuce. These findings are comparable with those from this study for FCV and lower in the case of MNV.
These results reflect the possible potential of the studied extracts. This is especially important for FCV, where a higher reduction is observed for Ziziphora hispanica in comparison with the commercial rosemary extract, while Thymus longiflorus and Origanum bastetanum also presented significant activity. Furthermore, in the case of MNV presence, the results for Origanum bastetanum extracts are relatively close to the observed for the assayed rosemary extract, which put into light the potential use of this oregano as additive. Therefore, the antiviral effects observed for the aforementioned extracts shows their ability to reduce the presence of FCV or MNV in food products, as well as its role in preventing the transmission vectors for those viruses. This fact is mainly achieved for Origanum bastetanum, whose extracts are successful in the reduction of both viruses.
As it could be observed, the Lamiaceae family presents outstanding potential as a source of bioactive compounds with great potential as preservative additives for the food industry. Nevertheless, the literature regarding the bioactive composition of these MAPs is mainly focused on the study of their essential oils, with the polar phenolic extracts being understudied. This fact hinders the accurate comparison and correlation of data with these polar extracts and endorses the importance of the present investigation and results.
Bioactivity of the considered extracts may be related to each identified bioactive compound profile through the structure of each of their present compounds. Thus, structure–activity relationships of the phenolic compounds identified was also considered for this study.
Antioxidant activity of phenolic acids has been observed in previous studies as directly related to the number and position of hydroxyl groups. Particularly, previous studies have shown that phenolic compounds presenting a second hydroxyl group in the ortho- or para- position seem to show higher antioxidant capacity that those in the meta- position [42]. This can be explained by the strong electron donating ability of these forms. The detachment of the H atom during antioxidant reactions leads to the formation of phenoxyl radicals, which can be stabilized through the inductive or resonance effect [43]. This phenomenon results in the low activation energy of the transfer of the second phenolic H atom, thus enhancing their antioxidant activity, as seen for catechol groups [44]. Therefore, the ability to donate a hydrogen as well as stabilization of the resulting phenolic radical by electron delocalization are essential to the development of high free radical scavenging activity.
This structure can be found in many of the proposed compounds, as for protocateuchuic, chlorogenic, rosmarinic or caffeic acids. Moreover, it was especially present in the extracts with the highest antioxidant activity, such as Origanum bastetanum. In addition, some of these substances have been previously reported for this plant and directly associated with a significant antioxidant activity [21]. Furthermore, the presence of compounds presenting three catechol groups in their structure should be mentioned in Origanum bastetanum extract, especially the identified salvianolic acids A and B isomers (with the highest abundance in Origanum bastetanum), dicaffeoyl-hydroxy-methylglutaroyl-quinic acid and luteolin rutinoside. Therefore, it can be assumed that these compounds may contribute to its greater activity.
Phenolic structures with other functional groups, such as OAc or C=O (oxo) have also been only found in Origanum bastetanum extract in high abundance, such as Leonuriside A or Seguinoside K, which may also be related to its high antioxidant activity. Nevertheless, it has been reported that their presence contributes to the free radical scavenging activity to a lesser extent [45].
Additionally, flavonoids are abundant in the studied samples. Their high free radical scavenging activity results from the location and presence of hydroxyl and oxo groups and double bonds [43]. Firstly, the ortho-dihydroxy group (catechol) in the B-ring, as previously discussed, ensures the high stability of phenoxyl radicals, thus enhancing its ability to scavenge free radicals, as found in luteolin, taxifolin or epigallocatechin (abundant in Thymus zygis gracilis and membranaceus), luteolin rutinoside (with a remarkable abundance in all the studied samples), eriodictyol (mainly present in Thymus varieties and Origanum bastetanum), cirsiliol (with higher presence in Thymus longiflorus and membranaceus), and gallocatechin (with a highlighting abundance in Thymus zygis gracilis and Ziziphora hispanica).
Secondly, the presence of an unsaturated bond between C2 and C3 in conjugation with a 4-oxo group in the C-ring is found in compounds such as luteolin, luteolin rutinoside, cirsimaritin (showing a higher presence in all the varieties of Thymus and Origanum bastetanum), apigenin (being more abundant in Thymus longiflorus and membranaceus), apigenin glucuronide (mainly found in longiflorus) and cirsiliol [43]. This structure may result in higher antioxidant properties due to the dislocation of an electron in the B-ring, stabilizing the resulting phenoxyl radical. Lastly, C-rings with 4-oxo groups and OH groups near C3 and C5 are able to generate high free radical scavenging activities [43]. This is the case for luteolin, luteolin rutinoside, eriodictyol, cirsimaritin, taxifolin, apigenin, apigenin glucuronide, cirsiliol, and naringenin.
The aforementioned flavonoids are abundant in Thymus zygis gracilis and Thymus longiflorus extracts, both showing significant antioxidant activity, but they are also present in Origanum bastetanum extract. Nevertheless, even if some of these compounds are also found in other extracts, we must take into consideration that the antioxidant activity of phenolic plant extracts is not only due to the effect of a single antioxidant agent, but to the interaction between its different compounds. It is safe to assume that the abundance, structural nature and synergistic effect of the unique combination of phenolic compounds in the oregano extract are important contributors to its greater antioxidant activity compared to the other MAP extracts analyzed in this study.
As for the relationship between structure and antiviral activity, it has been previously reported in the literature that the presence and position of hydroxyl and ester groups is necessary for antiviral activity, as for flavanones [46]. This could be the case for taxifolin, whose activity seems to be related to the presence of an OH group at the C3′ position [46]. The presence of six hydroxyl groups in epigallocatechin and gallocatechin has already been related to highlighted antiviral activity [47]. Its infection dependent antiviral mechanisms seem to be related to the number of hydroxyl groups present on the benzene ring and galloyl group. Among the extracts of study, gallocatechin is exclusively present in Ziziphora hispanica and Thymus longiflorus extracts (in higher abundance in the first plant), which may be associated with their high antiviral activity against FCV. Moreover, rosmarinic acid are also present in both (being in higher abundance in Thymus spice). This compound is an ester of caffeic acid, found also in rosemary and spearmint, with two aromatic rings with dihydroxyl groups in its structure. Its structure is possibly related to its demonstrated in vitro and in vivo antiviral activity [48].
Nevertheless, Origanum bastetanum seems to be the most consistent antiviral extract, with inhibiting effects on the replication of both FCV and MNV. A relationship between the abundance of phenolic compounds in this sample with a high number of hydroxyl and ester groups in their structures and its synergistic antiviral activity may be assumed. The presence of salvianolic acid, an antiviral agent previously reported against a variety of viruses, to a higher extent in this plant, and which is almost exclusively present in this extract, may also be linked with the presented results [49]. As for other antiviral agents, we can hypothesize on the relation between the inhibition of FCV and MNV of this extract with the presence of compounds with six hydroxyl groups as well as ester groups [4]. Furthermore, catechol groups are also present in a variety of phenolic compounds found in Origanum bastetanum extract, such as luteolin, luteolin rutinoside or amburoside A. It has been previously reported that the antiviral activity of these phenolic compounds found in oregano essential oils is related to the damage of the virus capsid for FCV [50]. These findings were also supported by other vegetable samples, such as green tea extract (GTE), on virus like-particles of human norovirus [51]. Even though the relationship between chemical structure and bioactivity of single polyphenols has been considered, the possible synergistic effect between the different phenolic compounds present in each extract may be highly responsible for the observed bioactivity. In fact, the synergistic effect of these great antiviral agents seems to be of great importance in the obtained results for oregano extract.
5. Conclusions
The present results demonstrate that MAP species growing in the Granada High Plateau present a high variety of phenolic compounds with great potential as food additives due to their antioxidant and antiviral activities. Extraction conditions were evaluated for obtaining MAP extracts with potential properties. Indeed, plant ethanolic extracts presented high antioxidant activity, with Origanum bastetanum being the most promising among the studied herbs, with the best results for all assays, comparable to a rosemary commercial extract. Moreover, Origanum bastetanum extract has proven to be successful against norovirus surrogates FCV and MNV, whereas Ziziphora hispanica showed the highest effect against FCV. These bioactivities were theorized in relation to their phenolic extracts compounds’ chemical structure. In this sense, the present research reinforces an interest in medicinal and aromatic plants typically found in the Mediterranean region as potential sources of bioactive compounds of important use in the food industry.
Supplementary Materials
The following supporting information can be downloaded at: https://www.mdpi.com/article/10.3390/foods11131862/s1. Table S1: Altitude, maximum, minimum and medium temperature averages, water rain and solar radiation of the recollection months registered in the Granada´s High Plateau area. Table S2: Extraction yields (%) of conventional extraction of aromatic plants using different extraction solvent composition. The % extraction yield is the g of extract obtained per g of plant expressed in percentage. Table S3: Area of compounds tentatively identified for each of the studied extracts, expressed as mean value ± standard deviation.
Author Contributions
J.L.-S., I.B.-L. and G.S.: conceptualization; C.D.-S. and I.F.: data curation; C.D.-S., R.Q.-P. and I.F.: formal analysis; J.L.-S. and I.B.-L.: funding acquisition; C.D.-S., I.F., J.L.-S. and I.B-L.: investigation; J.L.-S., I.B.-L. and G.S.: methodology; I.B.-L. and J.L.-S.: project administration; J.L.-S., I.B-L. and G.S.: supervision; C.D.-S. and I.F.: Roles/Writing—original draft; C.D.-S., I.F., R.Q.-P., J.L.-S., I.B.-L. and A.S.-C.: Writing—review & editing. All authors have read and agreed to the published version of the manuscript.
Funding
This research was funded by Diputación de Granada and Research Group AGR279 Ciencias de la Alimentación y Nutrición (University of Granada, Spain). CDS is grateful for the grant JA PREDOC_00110.
Data Availability Statement
Data is contained within the article or supplementary material.
Acknowledgments
CDS is grateful for the Doctoral Programme in Nutrition and Food Sciences, University of Granada. The authors thank the company Tecnocetis S.L as well as “Plantas Aromáticas Antonio Sánchez” for their invaluable collaboration in the present research.
Conflicts of Interest
The authors declare no conflict of interest.
References
- Dorman, H.J.D.; Bachmayer, O.; Kosar, M.; Hiltunen, R. Antioxidant Properties of Aqueous Extracts from Selected Lamiaceae Species Grown in Turkey. J. Agric. Food Chem. 2004, 52, 762–770. [Google Scholar] [CrossRef] [PubMed]
- Embuscado, M.E. Spices and herbs: Natural sources of antioxidants—A mini review. J. Funct. Foods 2015, 18, 811–819. [Google Scholar] [CrossRef]
- Pateiro, M.; Barba, F.J.; Domínguez, R.; Sant’Ana, A.S.; Mousavi Khaneghah, A.; Gavahian, M.; Gómez, B.; Lorenzo, J.M. Essential oils as natural additives to prevent oxidation reactions in meat and meat products: A review. Food Res. Int. 2013, 113, 156–166. [Google Scholar] [CrossRef] [PubMed]
- Gonçalves, S.; Gomes, D.; Costa, P.; Romano, A. The phenolic content and antioxidant activity of infusions from Mediterra-nean medicinal plants. Ind. Crops Prod. 2013, 43, 465–471. [Google Scholar] [CrossRef]
- Pinto, T.; Aires, A.; Cosme, F.; Bacelar, E.; Morais, M.C.; Oliveira, I.; Ferreira-Cardoso, J.; Anjos, R.; Vilela, A.; Gonçalves, B. Bioactive (Poly)phenols, Volatile Compounds from Vegetables, Medicinal and Aromatic Plants. Foods 2021, 10, 106. [Google Scholar] [CrossRef]
- Mahmood, M.S.; Ashraf, A.; Ali, S.; Siddique, A.B.; Asad, F.; Abbas, R.Z.; Siddique, F.; Aslam, A.; Aslam, R.; Rafique, A. Portrayal of Punica granatum L. peel extract through High Performance Liquid Chromatography and antimicrobial activity evaluation. Braz. J. Biol. 2021, 83, e244435. [Google Scholar] [CrossRef]
- The Burden of Foodborne Diseases in the WHO European Region. 2017. Available online: https://www.euro.who.int/en/health-topics/disease-prevention/food-safety/publications/2017/the-burden-of-foodborne-diseases-in-the-who-european-region-2017 (accessed on 1 June 2021).
- Falcó, I.; Díaz-Reolid, A.; Randazzo, W.; Sánchez, G. Green tea extract assisted low-temperature pasteurization to inactivate enteric viruses in juices. Int. J. Food Microbiol. 2020, 334, 108809. [Google Scholar] [CrossRef]
- Milevskaya, V.V.; Prasad, S.; Temerdashev, Z.A. Extraction and chromatographic determination of phenolic compounds from medicinal herbs in the Lamiaceae and Hypericaceae families: A review. Microchem. J. 2019, 145, 1036–1049. [Google Scholar] [CrossRef]
- Gülçin, Ì.; Şat, İ.G.; Beydemir, Ş.; Elmastaş, M.; Küfrevioǧlu, Ö.İ. Comparison of antioxidant activity of clove (Eugenia cary-ophylata Thunb) buds and lavender (Lavandula stoechas L.). Food Chem. 2004, 87, 393–400. [Google Scholar] [CrossRef]
- Willis, S.; Sunkara, R.; Hester, F.; Shackelford, L.; Walker, L.T.; Verghese, M. Chemopreventive and anti-inflammatory poten-tial of select herbal teas and cinnamon in an in-vitro cell model. Food Nutr. Sci. 2019, 10, 1142–1156. [Google Scholar]
- Aboubakr, H.A.; Nauertz, A.; Luong, N.T.; Agrawal, S.; El-Sohaimy, S.A.; Youssef, M.M.; Goyal, S.M. In vitro antiviral ac-tivity of clove and ginger aqueous extracts against feline calicivirus, a surrogate for human norovirus. J. Food Prot. 2016, 79, 1001–1012. [Google Scholar] [CrossRef] [PubMed]
- Shan, B.; Cai, Y.Z.; Sun, M.; Corke, H. Antioxidant capacity of 26 spice extracts and characterization of their phenolic con-stituents. J. Agric. Food Chem. 2005, 53, 7749–7759. [Google Scholar] [CrossRef] [PubMed]
- Re, R.; Pellegrini, N.; Proteggente, A.; Pannala, A.; Yang, M.; Rice-Evans, C. Antioxidant activity applying an improved ABTS radical cation decolorization assay. Free Radic. Biol. Med. 1999, 26, 1231–1237. [Google Scholar] [CrossRef]
- Figueroa, J.G.; Borrás-Linares, I.; Lozano-Sánchez, J.; Segura-Carretero, A. Comprehensive characterization of phe-nolic and other polar compounds in the seed and seed coat of avocado by HPLC-DAD-ESI-QTOF-MS. Food Res. Int. 2018, 105, 752–763. [Google Scholar] [CrossRef] [PubMed]
- Benzie, I.F.F.; Strain, J.J. The Ferric Reducing Ability of Plasma (FRAP) as a Measure of “Antioxidant Power”: The FRAP Assay. Anal. Biochem. 1996, 239, 70–76. [Google Scholar] [CrossRef] [PubMed] [Green Version]
- Ou, B.X.; Hampsch-Woodill, M.; Prior, R.L. Development and validation of an improved oxygen radical absorbance capacity assay using fluorescein as the fluorescent probe. J. Agric. Food Chem. 2001, 49, 4619–4626. [Google Scholar] [CrossRef]
- Laporta, O.; Pérez-Fons, L.; Mallavia, R.; Caturla, N.; Micol, V. Isolation, characterization and antioxidant capacity assess-ment of the bioactive compounds derived from Hypoxis rooperi corm extract (African potato). Food Chem. 2007, 4, 1425–1437. [Google Scholar] [CrossRef]
- Pinto, R.M.; Diez, J.M.; Bosch, A. Use of the colonic carcinoma cell line CaCo-2 for in vivo amplification and detection of enteric viruses. J. Med. Virol. 1994, 44, 310–315. [Google Scholar] [CrossRef]
- Falcó, I.; Randazzo, W.; Gómez-Mascaraque, L.; Aznar, R.; López-Rubio, A.; Sánchez, G. Fostering the antiviral activity of green tea extract for sanitizing purposes through controlled storage conditions. Food Control 2018, 84 (Suppl. C), 485–492. [Google Scholar] [CrossRef]
- Vallverdú-Queralt, A.; Regueiro, J.; Martínez-Huélamo, M.; Rinaldi Alvarenga, J.F.; Leal, L.N.; Lamuela-Raventos, R.M. A comprehensive study on the phenolic profile of widely used culinary herbs and spices: Rosemary, thyme, oregano, cinnamon, cumin and bay. Food Chem. 2014, 154, 299–307. [Google Scholar] [CrossRef]
- Taamalli, A.; Arráez-Román, D.; Abaza, L.; Iswaldi, I.; Fernández-Gutiérrez, A.; Zarrouk, M.; Segura-Carretero, A. LC-MS-based metabolite profiling of methanolic extracts from the medicinal and aromatic species Mentha pulegium and Origanum majorana. Phytochem. Anal. 2015, 26, 320–330. [Google Scholar] [CrossRef] [PubMed]
- Tomczyk, M.; Ceylan, O.; Locatelli, M.; Tartaglia, A.; Ferrone, V.; Sarikurkcu, C. Ziziphora taurica subsp. taurica: Analytical Characterization and Biological Activities. Biomolecules 2019, 9, 367. [Google Scholar] [CrossRef] [PubMed] [Green Version]
- Jovanović, A.A.; Đorđević, V.B.; Zdunić, G.M.; Pljevljakušić, D.S.; Šavikin, K.P.; Gođevac, D.M.; Bugarski, B.M. Optimiza-tion of the extraction process of polyphenols from Thymus serpyllum L. herb using maceration, heat- and ultrasound-assisted techniques. Sep. Purif. Technol. 2017, 179, 369–380. [Google Scholar] [CrossRef] [Green Version]
- Zhao, G.R.; Zhang, H.M.; Ye, T.X.; Xiang, Z.J.; Yuan, Y.J.; Guo, Z.X.; Zhao, L. Bin. Characterization of the radical scavenging and antioxidant activities of danshensu and salvianolic acid B. Food Chem. Toxicol. 2008, 46, 73–81. [Google Scholar] [CrossRef] [PubMed]
- Su, X.; D’Souza, D.H. Grape seed extract for foodborne virus reduction on produce. Food Microbiol. 2013, 34, 1–6. [Google Scholar] [CrossRef]
- Horwath, A.B.; Grayer, R.J.; Keith-Lucas, D.M.; Simmonds, M.S.J. Chemical characterisation of wild populations of Thymus from different climatic regions in southeast Spain. Biochem. Syst. Ecol. 2008, 36, 117–133. [Google Scholar] [CrossRef]
- Desta, K.T.; Kim, G.S.; El-Aty, A.M.A.; Raha, S.; Kim, M.B.; Jeong, J.H.; Warda, M.; Hacımüftüoğlu, A.; Shin, H.C.; Shim, J.H.; et al. Flavone polyphenols dominate in Thymus schimperi Ronniger: LC–ESI–MS/MS characterization and study of anti-proliferative effects of plant extract on AGS and HepG2 cancer cells. J. Chromatogr. B 2017, 1053, 1–8. [Google Scholar] [CrossRef]
- Ali, M.S.; Ahmed, Z.; Ali, M.I.; Ngoupayo, J. Two new aromatic acids from Clerodendrum formicarum Gürke (Lamiaceae) of Cameroon. J. Asian Nat. Prod. Res. 2010, 12, 894–898. [Google Scholar] [CrossRef]
- Zhang, X.L.; Guo, Y.S.; Wang, C.H.; Li, G.Q.; Xu, J.J.; Chung, H.Y.; Ye, W.C.; Li, Y.L.; Wang, G.C. Phenolic compounds from Origanum vulgare and their antioxidant and antiviral activities. Food Chem. 2014, 152, 300–306. [Google Scholar] [CrossRef]
- Aguilar, F.; Autrup, H.; Barlow, S.; Castle, L.; Crebelli, R.; Dekant, W.; Tobback, P.; Rietjens, I.; Pratt, I.; Toldrá, F.; et al. EF-SA AFC Panel. Use of rosemary extracts as a food additive—Scientific Opinion of the Panel on Food Additives, Flavourings, Processing Aids and Materials in Contact with Food. EFSA J. 2008, 721, 1–29. [Google Scholar] [CrossRef]
- European Parliament and the Council of the European Union. Regulation (EC) No 1333/2008 of the European Parliament and of the Council of 16 December 2008 on Food Aditives. Off. J. Eur. Union. 2008, 354, 16–33. [Google Scholar]
- Proestos, C.; Komaitis, M. Ultrasonically assisted extraction of phenolic compounds from aromatic plants: Comparison with conventional extraction technics. J. Food Qual. 2006, 29, 567–582. [Google Scholar] [CrossRef]
- Roby, M.H.H.; Sarhan, M.A.; Selim, K.A.H.; Khalel, K.I. Evaluation of antioxidant activity, total phenols and phenolic com-pounds in thyme (Thymus vulgaris L.), sage (Salvia officinalis L.), and marjoram (Origanum majorana L.) extracts. Ind. Crops Prod. 2013, 43, 827–831. [Google Scholar] [CrossRef]
- Munekata, P.E.S.; Alcántara, C.; Žugčić, T.; Abdelkebir, R.; Collado, M.C.; García-Pérez, J.V.; Lorenzo, J.M. Impact of ultra-sound-assisted extraction and solvent composition on bioactive compounds and in vitro biological activities of thyme and rosemary. Food Res. Int. 2020, 134, 109242. [Google Scholar] [CrossRef]
- Djeridane, A.; Yousfi, M.; Nadjemi, B.; Boutassouna, D.; Stocker, P.; Vidal, N. Antioxidant activity of some algerian medici-nal plants extracts containing phenolic compounds. Food Chem. 2006, 97, 654–660. [Google Scholar] [CrossRef]
- Miron, T.L.; Plaza, M.; Bahrim, G.; Ibáñez, E.; Herrero, M. Chemical composition of bioactive pressurized extracts of Roma-nian aromatic plants. J. Chromatogr. A 2011, 1218, 4918–4927. [Google Scholar] [CrossRef] [Green Version]
- Nabet, N.; Gilbert-López, B.; Madani, K.; Herrero, M.; Ibáñez, E.; Mendiola, J.A. Optimization of microwave-assisted extrac-tion recovery of bioactive compounds from Origanum glandulosum and Thymus fontanesii. Ind. Crops Prod. 2019, 129, 395–404. [Google Scholar] [CrossRef]
- Celiktas, O.Y.; Bedir, E.; Sukan, F.V. In vitro antioxidant activities of Rosmarinus officinalis extracts treated with supercritical carbon dioxide. Food Chem. 2007, 101, 1457–1464. [Google Scholar] [CrossRef]
- Saini, A.; Pandey, A.; Sharma, S.; Suradkar, U.S.; Ambedkar, Y.R.; Meena, P.; Raman, R.; Gurjar, A.S. Assessment of antiox-idant activity of rosemary (Rosmarinus officinalis) leaves extract. J. Pharmacogn. Phytochem. 2020, 9, 14–17. [Google Scholar]
- Li, D.; Baert, L.; Zhang, D.; Xia, M.; Zhong, W.; Van Coillie, E.; Jiang, X.; Uyttendaele, M. Effect of grape seed extract on human norovirus GII.4 and murine norovirus 1 in viral suspensions, on stainless steel discs, and in lettuce wash water. Appl. Environ. Microbiol. 2012, 78, 7572–7578. [Google Scholar] [CrossRef] [Green Version]
- Ali, H.M.; Abo-Shady, A.; Eldeen, H.A.S.; Soror, H.A.; Shousha, W.G.; Abdel-Barry, O.A.; Saleh, A.M. Structural features, kinetics and SAR study of radical scavenging and antioxidant activities of phenolic and anilinic compounds. Chem. Cent. J. 2013, 7, 53. [Google Scholar] [CrossRef] [PubMed] [Green Version]
- Wojtunik-Kulesza, K.; Oniszczuk, A.; Oniszczuk, T.; Combrzyński, M.; Nowakowska, D.; Matwijczuk, A. Influence of In Vitro Digestion on Composition, Bioaccessibility and Antioxidant Activity of Food Polyphenols—A Non-Systematic Review. Nutrients 2020, 12, 1401. [Google Scholar] [CrossRef] [PubMed]
- Chen, J.; Yang, J.; Ma, L.; Li, J.; Shahzad, N.; Kim, C.K. Structure-antioxidant activity relationship of methoxy, phenolic hy-droxyl, and carboxylic acid groups of phenolic acids. Sci. Rep. 2020, 10, 2611. [Google Scholar] [CrossRef]
- Farvin, K.H.; Jacobsen, C. Phenolic compounds and antioxidant activities of selected species of seaweeds from Danish coast. Food Chem. 2013, 138, 1670–1681. [Google Scholar] [CrossRef] [PubMed]
- Chattopadhyay, D.; Naik, T.N. Antivirals of ethnomedicinal origin: Structure-activity relationship and scope. Mini-Rev. Med. Chem. 2007, 7, 275–301. [Google Scholar] [CrossRef] [PubMed]
- Falcó, I.; Randazzo, W.; Gómez-Mascaraque, L.; Aznar, R.; López-Rubio, A.; Sánchez, G. Effect of (−)-epigallocatechin gallate at different pH conditions on enteric viruses. LWT 2017, 81, 250–257. [Google Scholar] [CrossRef] [Green Version]
- Blank, D.E.; Hübner, S.D.O.; Alves, G.H.; Cardoso, C.A.L.; Freitag, R.A.; Cleff, M.B. Chemical Composition and Antiviral Effect of Extracts of Origanum vulgare. Adv. Biosci. Biotechnol. 2019, 10, 188–196. [Google Scholar] [CrossRef] [Green Version]
- So-Hee, K.; Jihye, L.; Lin, J.Y.; Aerum, H.; Sang-Jip, N.; Byung-Kwan, L. Salvianolic Acid B Inhibits Hand-Foot-Mouth Disease Enterovirus 71 Replication through Enhancement of AKT Signaling Pathway. J. Microbiol. Biotechnol. 2020, 30, 38–43. [Google Scholar] [CrossRef]
- Pan, Y.; Deng, Z.; Shahidi, F. Natural bioactive substances for the control of food-borne viruses and contaminants in food. Food Prod. Process. Nutr. 2020, 2, 27. [Google Scholar] [CrossRef]
- Falcó, I.; Randazzo, W.; Rodríguez-Díaz, J.; Gozalbo-Rovira, R.; Luque, D.; Aznar, R.; Sánchez, G. Antiviral activity of aged green tea extract in model food systems and under gastric conditions. Int. J. Food Microbiol. 2019, 292, 101–106. [Google Scholar] [CrossRef]
Publisher’s Note: MDPI stays neutral with regard to jurisdictional claims in published maps and institutional affiliations. |
© 2022 by the authors. Licensee MDPI, Basel, Switzerland. This article is an open access article distributed under the terms and conditions of the Creative Commons Attribution (CC BY) license (https://creativecommons.org/licenses/by/4.0/).



