Impacts of COVID-19 Sanitary Cues on Hedonic Appreciation of Foods
Abstract
:1. Introduction
2. Materials and Methods
2.1. General Procedure and Experimental Design
2.2. Video Stimuli
2.3. Food Picture Stimuli
2.4. Statistical Analysis
3. Results
3.1. Sample Characterization
3.2. Food Pictures Evaluation
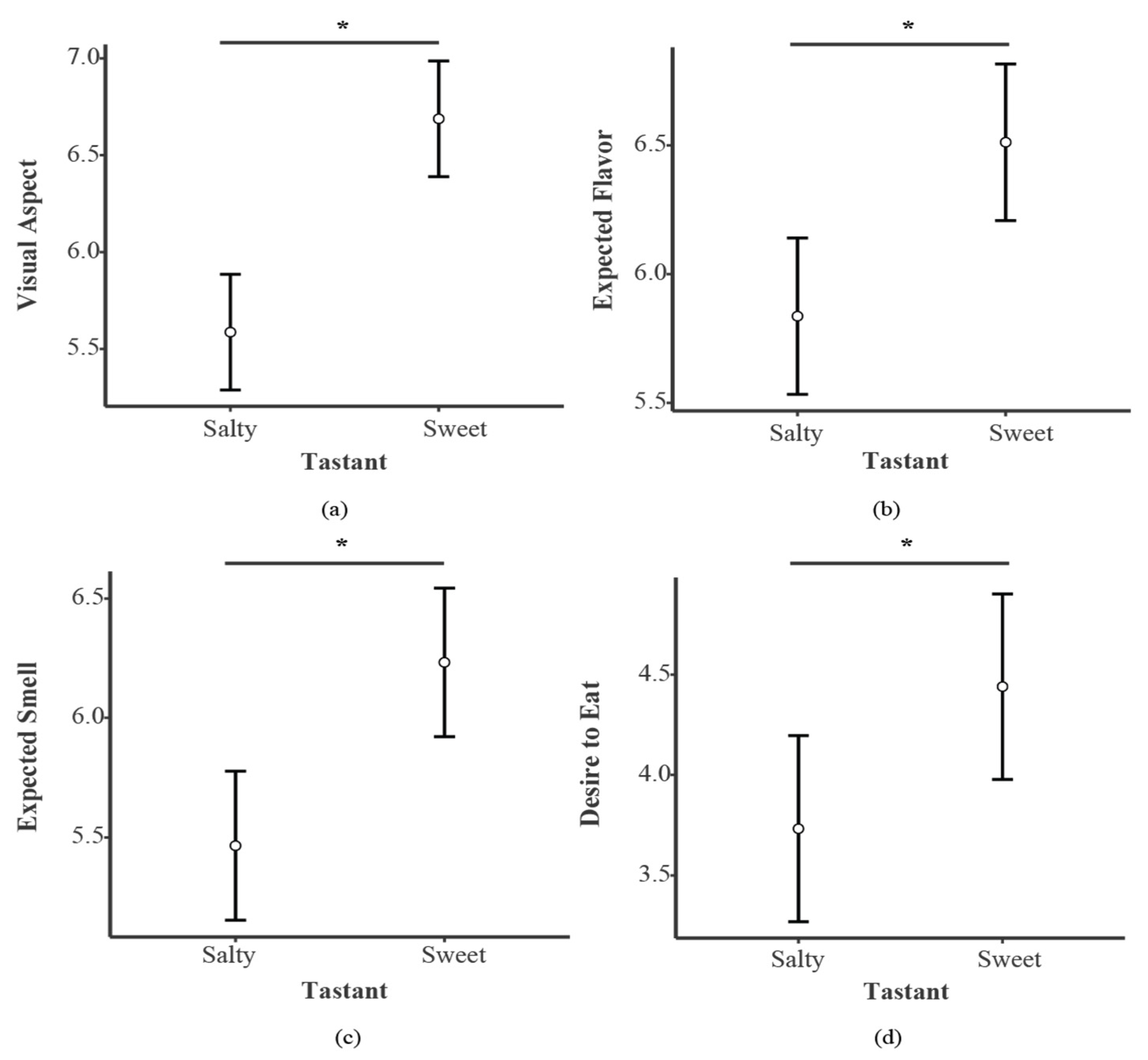
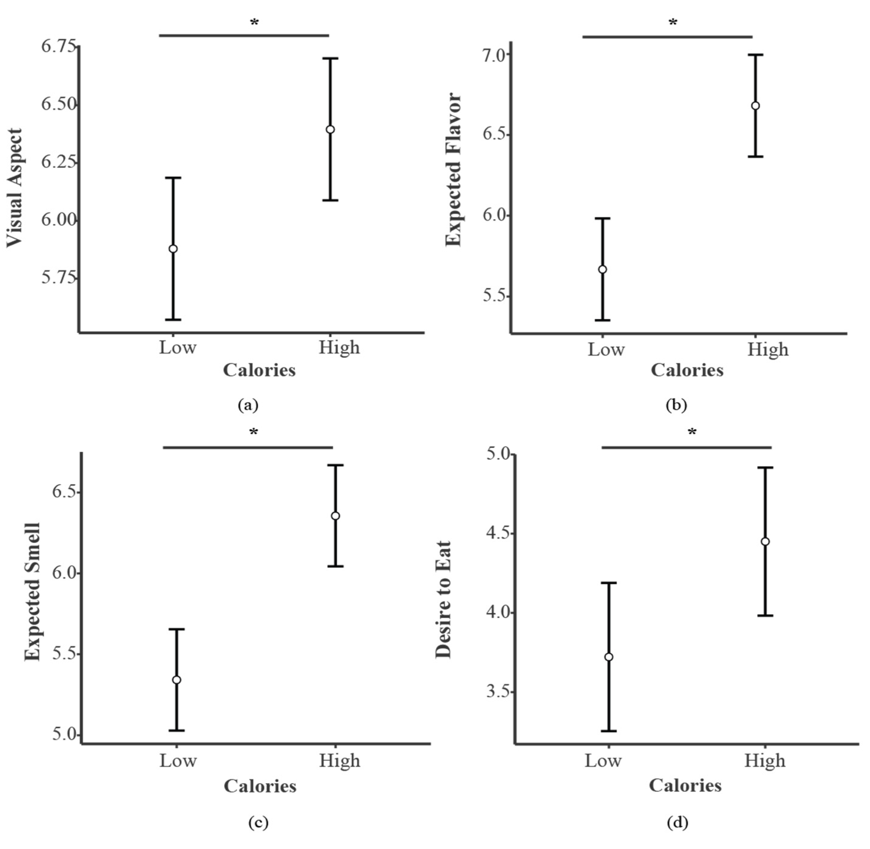
3.2.1. Visual Aspect
3.2.2. Smell
3.2.3. Flavor
3.2.4. Desire to Eat Evaluation
3.3. Video Evaluation
3.4. Desire to Eat Evaluation
3.5. Correlational Analyses
4. Discussion
5. Conclusions
Supplementary Materials
Author Contributions
Funding
Institutional Review Board Statement
Informed Consent Statement
Data Availability Statement
Conflicts of Interest
References
- World Health Organization. Available online: https://www.who.int/docs/default-source/coronaviruse/situation-reports/weekly_epidemiological_update_22.pdf (accessed on 5 April 2022).
- Nicklas, T.A.; Baranowski, T.; Cullen, K.W.; Berenson, G. Eating patterns, dietary quality and obesity. J. Am. Coll. Nutr. 2001, 20, 599–608. [Google Scholar] [CrossRef] [PubMed]
- Oddy, W.H.; Robinson, M.; Ambrosini, G.; O′sullivan, T.A.; de Klerk, N.; Beilin, L.J.; Silburn, S.R.; Zubrick, S.; Stanley, F.J. The association between dietary patterns and mental health in early adolescence. Prev. Med. 2009, 49, 39–44. [Google Scholar] [CrossRef] [PubMed] [Green Version]
- Marty, L.; de Lauzon-Guillain, B.; Labesse, M.; Nicklaus, S. Food choice motives and the nutritional quality of diet during the COVID-19 lockdown in France. Appetite 2021, 157, 105005. [Google Scholar] [CrossRef]
- Poelman, M.P.; Gillebaart, M.; Schlinkert, C.; Dijkstra, S.C.; Derksen, E.; Mensink, F.; Hermans, R.C.; Aardening, P.; de Ridder, D.; de Vet, E. Eating behavior and food purchases during the COVID-19 lockdown: A cross-sectional study among adults in the Netherlands. Appetite 2021, 157, 105002. [Google Scholar] [CrossRef] [PubMed]
- Renzo, L.D.; Gualtieri, P.; Cinelli, G.; Bigioni, G.; Soldati, L.; Attinà, A.; Bianco, F.F.; Caparello, G.; Camodeca, V.; Carrano, E.; et al. Psychological aspects and eating habits during COVID-19 home confinement: Results of ehlc-COVID-19 italian online survey. Nutrients 2020, 12, 2152. [Google Scholar] [CrossRef]
- Buckland, N.J.; Swinnerton, L.F.; Ng, K.; Price, M.; Wilkinson, L.L.; Myers, A.; Dalton, M. Susceptibility to increased high energy dense sweet and savoury food intake in response to the COVID-19 lockdown: The role of craving control and acceptance coping strategies. Appetite 2021, 158, 105017. [Google Scholar] [CrossRef]
- Jia, P.; Liu, L.; Xie, X.; Yuan, C.; Chen, H.; Guo, B.; Zhou, J.; Yang, S. Changes in dietary patterns among youths in China during COVID-19 epidemic: The COVID-19 impact on lifestyle change survey (COINLICS). Appetite 2021, 158, 105015. [Google Scholar] [CrossRef]
- Martínez-de-Quel, Ó.; Suárez-Iglesias, D.; López-Flores, M.; Pérez, C.A. Physical activity, dietary habits and sleep quality before and during COVID-19 lockdown: A longitudinal study. Appetite 2021, 158, 1–6. [Google Scholar] [CrossRef]
- Faour-Klingbeil, D.; Osaili, T.M.; Al-Nabulsi, A.A.; Jemni, M.; Todd, E.C.D. The public perception of food and non-food related risks of infection and trust in the risk communication during COVID-19 crisis: A study on selected countries from the Arab region. Food Control 2021, 121, 107617. [Google Scholar] [CrossRef]
- Foroni, F.; Rumiati, R.I. Food perception and categorization: From food/no-food to different types of food. In Handbook of Categorization in Cognitive Science, 2nd ed.; Cohen, H., Lefebvre, C., Eds.; Elsevier Science: Amsterdam, The Netherlands, 2017; pp. 271–288. [Google Scholar] [CrossRef]
- Spence, C. Gastrophysics: The New Science of Eating, 1st ed.; Viking: Orkney, UK, 2017. [Google Scholar]
- Zellner, D.A.; Strickhouser, D.; Tornow, C.E. Disconfirmed hedonic expectations produce perceptual contrast, not assimilation. Am. J. Psychol. 2004, 117, 363–387. [Google Scholar] [CrossRef]
- Algom, D.; Cain, W.S. Remembered odors and mental mixtures: Tapping reservoirs of olfactory knowledge. J. Exp. Psychol. Hum. Percept. Perform. 1991, 17, 1104–1119. [Google Scholar] [CrossRef]
- Delwiche, J. The impact of perceptual interactions on perceived flavor. Food Qual. Prefer. 2004, 15, 137–146. [Google Scholar] [CrossRef]
- Wansink, B. Environmental factors that increase the food intake and consumption volume of unknowing consumers. Annu. Rev. Nutr. 2004, 24, 455–479. [Google Scholar] [CrossRef] [PubMed] [Green Version]
- Paredes, M.R.; Apaolaza, V.; Fernandez-Robin, C.; Hartmann, P.; Yañez-Martinez, D. The impact of the COVID-19 pandemic on subjective mental well-being: The interplay of perceived threat, future anxiety and resilience. Pers. Individ. Differ. 2021, 170, 110455. [Google Scholar] [CrossRef] [PubMed]
- Scacchi, A.; Catozzi, D.; Boietti, E.; Bert, F.; Siliquini, R. COVID-19 lockdown and self-perceived changes of food choice, waste, impulse buying and their determinants in Italy: QuarantEat, a cross-sectional study. Foods 2021, 10, 306. [Google Scholar] [CrossRef]
- Piqueras-Fiszman, B.; Spence, C. Sensory expectations based on product-extrinsic food cues: An interdisciplinary review of the empirical evidence and theoretical accounts. Food Qual. Prefer. 2015, 40, 165–179. [Google Scholar] [CrossRef]
- Kim, S.; Kim, S. Analysis of the Impact of Health Beliefs and Resource Factors on Preventive Behaviors against the COVID-19 Pandemic. Int. J. Environ. Res. Public Health 2020, 17, 8666. [Google Scholar] [CrossRef]
- Loersch, C.; Keith Payne, B. Demystifying priming. Curr. Opin. Psychol. 2016, 12, 32–36. [Google Scholar] [CrossRef]
- Papies, E.K.; Hamstra, P. Goal priming and eating behavior: Enhancing self-regulation by environmental cues. J. Health Psychol. 2010, 29, 384–388. [Google Scholar] [CrossRef] [Green Version]
- Harris, J.L.; Bargh, J.A.; Brownell, K.D. Priming Effects of Television Food Advertising on Eating Behavior. J. Health Psychol. 2009, 28, 404–413. [Google Scholar] [CrossRef]
- Dijksterhuis, A.; Van Knippenberg, A. The relation between perception and behavior, or how to win a game of trivial pursuit. J. Pers. Soc. Psychol. 1998, 74, 865–877. [Google Scholar] [CrossRef] [PubMed]
- Coleman, N.V.; Williams, P.; Morales, A.C.; White, A.E. Attention, attitudes, and action: When and why incidental fear increases consumer choice. J. Consum. Res. 2017, 44, 283–312. [Google Scholar] [CrossRef]
- Li, Y.; Yao, J.; Chen, J. The negative effect of scarcity cues on consumer purchase decisions in the hospitality industry during the COVID-19 pandemic. Int. J. Hosp. Manag. 2021, 94, 102815. [Google Scholar] [CrossRef]
- Motoki, K.; Saito, T.; Nouchi, R.; Kawashima, R.; Sugiura, M. Anxiety increases visual attention to hedonic foods: A preliminary eye-tracking study on the impact of the interplay between integral and incidental affect on foods. Appetite 2019, 137, 218–225. [Google Scholar] [CrossRef]
- Oliveira, J.G.A.; Sampaio, A.; Lapenta, O.M. The Impact of COVID-19 Hygienic Measures on Food Choice and Eating Behavior. Biol. Life Sci. Forum 2021, 6, 1081. [Google Scholar] [CrossRef]
- Kroenke, K.; Spitzer, R.L. The PHQ-9: A new depression diagnostic and severity measure. Psychiatr. Ann. 2002, 32, 509–515. [Google Scholar] [CrossRef] [Green Version]
- Monteiro, S.; Bártolo, A.; Torres, A.; Pereira, A.; Albuquerque, E. Examining the construct validity of the Portuguese version of the Patient Health Questionnaire-9 among college students. Psicologia 2019, 33, 1–8. [Google Scholar] [CrossRef]
- Spitzer, R.L.; Kroenke, K.; Williams, J.B.W.; Löwe, B. A brief measure for assessing generalized anxiety disorder: The GAD-7. Arch. Intern. Med. 2006, 166, 1092–1097. [Google Scholar] [CrossRef] [Green Version]
- Sousa, T.V.; Viveiros, V.; Chai, M.V.; Vicente, F.L.; Jesus, G.; Carnot, M.J.; Gordo, A.C.; Ferreira, P.L. Reliability and validity of the Portuguese version of the Generalized Anxiety Disorder (GAD-7) scale. Health Qual. Life Outcomes 2015, 13, 50. [Google Scholar] [CrossRef] [Green Version]
- Latner, J.D.; Mond, J.M.; Kelly, M.C.; Haynes, S.N.; Hay, P.J. The loss of control over eating scale: Development and psychometric evaluation. J. Eat. Disord. 2014, 47, 647–659. [Google Scholar] [CrossRef]
- Marques, M. Perda de Controlo sobre a Alimentação no Contexto Académico: Validação do Questionário “The Loss of Control over Eating Scale”. Master’s Thesis, Universidade do Minho, Braga, Portugal, 2018. [Google Scholar]
- Smeets, P. Full4Health Image Collection. Available online: https://osf.io/cx7tp/ (accessed on 26 May 2022).
- Sun, W.; Kober, H. Regulating food craving: From mechanisms to interventions. Physiol. Behav. 2020, 222, 112878. [Google Scholar] [CrossRef] [PubMed]
- Muñoz-Vilches, N.C.; Van Trijp, H.C.M.; Piqueras-Fiszman, B. Pleasure or Health? The Role of Mental Simulation in Desire and Food Choices. Foods 2020, 9, 1099. [Google Scholar] [CrossRef] [PubMed]
- Werle, C.O.C.; Cuny, C. The boomerang effect of mandatory sanitary messages to prevent obesity. Mark. Lett. 2012, 23, 883–891. [Google Scholar] [CrossRef]
- Coulthard, H.; Sharps, M.; Cunliffe, L.; van den Tol, A. Eating in the lockdown during the COVID 19 pandemic; self-reported changes in eating behaviour, and associations with BMI, eating style, coping and health anxiety. Appetite 2021, 161, 105082. [Google Scholar] [CrossRef]
- Santana, J.D.M.; Milagres, M.P.; Silva dos Santos, C.; Brazil, J.M.; Lima, E.R.; Pereira, M. Dietary intake of university students during COVID-19 social distancing in the Northeast of Brazil and associated factors. Appetite 2021, 162, 105172. [Google Scholar] [CrossRef]
- Brown, S.M.; Opitz, M.C.; Peebles, A.I.; Sharpe, H.; Duffy, F.; Newman, E. A qualitative exploration of the impact of COVID-19 on individuals with eating disorders in the UK. Appetite 2021, 156, 104977. [Google Scholar] [CrossRef]
- Gaillet, M.; Sulmont-Rosse, C.; Issanchou, S.; Chabanet, C.; Chambaron, S. Priming effects of an olfactory food cue on subsequent food-related behaviour. Food Qual. Prefer. 2013, 30, 274–281. [Google Scholar] [CrossRef]
- Chambaron, S.; Chisin, Q.; Chabanet, C.; Issanchou, S.; Brand, G. Impact of olfactory and auditory priming on the attraction to foods with high energy density. Appetite 2015, 95, 74–80. [Google Scholar] [CrossRef]
- Schaal, B.; Marlier, L.; Soussignan, R. Human foetuses learn odours from their pregnant mother’s diet. Chem. Senses 2000, 25, 729–737. [Google Scholar] [CrossRef] [Green Version]
- Laureati, M.; Pagliarini, E.; Mojet, J.; Köster, E.P. Incidental learning and memory for food varied in sweet taste in children. Food Qual. Prefer. 2011, 22, 264–270. [Google Scholar] [CrossRef]
- Mennella, J.A.; Jagnow, C.P.; Beauchamp, G.K. Prenatal and postnatal flavor learning by human infants. Pediatrics 2001, 107, E88. [Google Scholar] [CrossRef] [PubMed] [Green Version]
- Ohla, K.; Toepel, U.; le Coutre, J.; Hudry, J. Visual-Gustatory Interaction: Orbitofrontal and Insular Cortices Mediate the Effect of High-Calorie Visual Food Cues on Taste Pleasantness. PLoS ONE 2012, 7, e32434. [Google Scholar] [CrossRef] [PubMed]
- Gearhardt, A.N.; Davis, C.; Kuschner, R.; Brownell, K.D. The addiction potential of hyperpalatable foods. Curr. Drug Abuse Rev. 2011, 4, 140–145. [Google Scholar] [CrossRef] [PubMed]
- Tribst, A.A.L.; Tramontt, C.R.; Baraldi, L.G. Factors associated with diet changes during the COVID-19 pandemic period in Brazilian adults: Time, skills, habits, feelings and beliefs. Appetite 2021, 163, 105220. [Google Scholar] [CrossRef] [PubMed]
- Poskute, A.S.; Nzesi, A.; Geliebter, A. Changes in food intake during the COVID-19 pandemic in New York City. Appetite 2021, 163, 105191. [Google Scholar] [CrossRef] [PubMed]
- Santagiuliana, M.; Bhaskaran, V.; Scholten, E.; Piqueras-fiszman, B. Don’t judge new foods by their appearance ! How visual and oral sensory cues affect sensory perception and liking of novel, heterogeneous foods. Food Qual. Prefer. 2020, 77, 64–77. [Google Scholar] [CrossRef]
- Spence, C. The Neuroscience of Flavor. In Multisensory Flavor Perception: From Fundamental Neuroscience through to the Marketplace, 1st ed.; Piqueras-Fiszman, B., Spence, C., Eds.; Elsevier Inc. Academic Press: Amsterdam, The Netherlands, 2016; pp. 235–248. [Google Scholar]
- Verastegui-tena, L.; Schulte-holierhoek, A.; Van Trijp, H.; Piqueras-fiszman, B. Physiology & Behavior Beyond expectations: The responses of the autonomic nervous system to visual food cues. Physiol. Behav. 2017, 179, 478–486. [Google Scholar] [CrossRef]
- Charbonnier, L.; Meer, F.; Van Laan, L.N.; Van Der Viergever, M.A.; Smeets, P.A.M. Standardized food images: A photographing protocol and image database. Appetite 2016, 96, 166–173. [Google Scholar] [CrossRef]
- Liu, Y.; Gao, X.; Zhao, J.; Zhang, L.; Chen, H. Neurocognitive Correlates of Food-Related Response Inhibition in Overweight/Obese Adults. Brain Topogr. 2020, 33, 101–111. [Google Scholar] [CrossRef]
- Choi, E.; Hui, B.; Wan, E. Depression and Anxiety in Hong Kong during COVID-19. Int. J. Environ. Res. Public Health 2020, 17, 3740. [Google Scholar] [CrossRef]
- Landaeta-Díaz, L.; González-Medina, G.; Agüero, S.D. Anxiety, anhedonia and food consumption during the COVID-19 quarantine in Chile. Appetite 2021, 164, 105259. [Google Scholar] [CrossRef] [PubMed]
- Smith, K.R.; Jansen, E.; Thapaliya, G.; Aghababian, A.H.; Chen, L.; Sadler, J.R.; Carnell, S. The influence of COVID-19-related stress on food motivation. Appetite 2021, 163, 105233. [Google Scholar] [CrossRef] [PubMed]
- Lapenta, O.M.; Di Sierve, K.; de Macedo, E.C.; Fregni, F.; Boggio, P.S. Transcranial direct current stimulation modulates ERP-indexed inhibitory control and reduces food consumption. Appetite 2014, 83, 42–48. [Google Scholar] [CrossRef] [PubMed]
- Lowe, C.J.; Vincent, C.; Hall, P.A. Effects of Noninvasive Brain Stimulation on Food Cravings and Consumption: A Meta-Analytic Review. Psychosom. Med. 2017, 79, 2–13. [Google Scholar] [CrossRef]






| PHQ-9 | Did Not Fit | Severe | Severe/Moderate | Moderate | Mild |
| 25 | 3 | 4 | 18 | 35 | |
| GAD-7 | - | Severe | Moderate | Minimal | Mild |
| 14 | 22 | 28 | 21 |
Publisher’s Note: MDPI stays neutral with regard to jurisdictional claims in published maps and institutional affiliations. |
© 2022 by the authors. Licensee MDPI, Basel, Switzerland. This article is an open access article distributed under the terms and conditions of the Creative Commons Attribution (CC BY) license (https://creativecommons.org/licenses/by/4.0/).
Share and Cite
Oliveira, J.G.A.; Sampaio, A.C.S.; Lapenta, O.M. Impacts of COVID-19 Sanitary Cues on Hedonic Appreciation of Foods. Foods 2022, 11, 1753. https://doi.org/10.3390/foods11121753
Oliveira JGA, Sampaio ACS, Lapenta OM. Impacts of COVID-19 Sanitary Cues on Hedonic Appreciation of Foods. Foods. 2022; 11(12):1753. https://doi.org/10.3390/foods11121753
Chicago/Turabian StyleOliveira, Jarina Gabrielle Aquino, Adriana Conceição Soares Sampaio, and Olivia Morgan Lapenta. 2022. "Impacts of COVID-19 Sanitary Cues on Hedonic Appreciation of Foods" Foods 11, no. 12: 1753. https://doi.org/10.3390/foods11121753
APA StyleOliveira, J. G. A., Sampaio, A. C. S., & Lapenta, O. M. (2022). Impacts of COVID-19 Sanitary Cues on Hedonic Appreciation of Foods. Foods, 11(12), 1753. https://doi.org/10.3390/foods11121753

