Development and Characterization of Fenugreek Protein-Based Edible Film
Abstract
:1. Introduction
2. Materials and Methods
2.1. Raw Materials and Reagents
2.2. Protein Extraction
2.3. Casting of Edible Film from Fenugreek Protein Concentrates
2.4. Physicochemical, Structural, Morphological, and Thermal Analysis
2.4.1. Tensile Strength
2.4.2. Elongation at Break (%)
2.4.3. Film Thickness
2.4.4. Water Vapor Permeability
2.4.5. Transparency
2.4.6. Film Solubility
2.4.7. Moisture Content
2.4.8. Color Measurements
2.4.9. Fourier Transform Infrared (FTIR) Spectroscopy
2.4.10. X-Ray Diffraction (XRD)
2.4.11. Scanning Electron Microscopy (SEM)
2.4.12. Differential Scanning Calorimetry (DSC)
2.5. Statistical Analysis
3. Results
3.1. Tensile Strength and Elongation at Break
3.2. Water Vapor Permeability (WVP)
3.3. Film Thickness and Film Solubility
3.4. Moisture Content and Transparency of Edible Film Made from FPC
3.5. Color of Edible Film Made from FPC
3.6. FTIR Analysis
3.7. X-RAY Diffraction Edible Film Made from FPC
3.8. Surface Morphological Properties
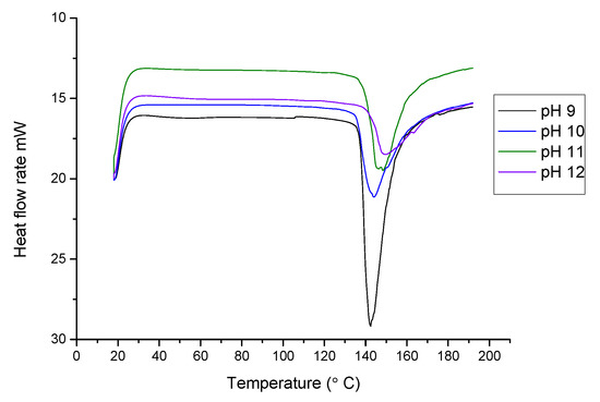
3.9. Differential Scanning Calorimetry (DSC)
4. Conclusions
Author Contributions
Funding
Institutional Review Board Statement
Informed Consent Statement
Data Availability Statement
Acknowledgments
Conflicts of Interest
References
- Liu, C.; Huang, J.; Zheng, X.; Liu, S.; Lu, K.; Tang, K.; Liu, J. Heat sealable soluble soybean polysaccha-ride/gelatin blend edible films for food packaging applications. Food Pack. Shelf Life 2020, 24, 100485. [Google Scholar] [CrossRef]
- Hahladakis, J.N.; Velis, C.A.; Weber, R.; Iacovidou, E.; Purnell, P. An overview of chemical additives pre-sent in plastics: Migration, release, fate and environmental impact during their use, disposal, and recycling. J. Hazard. Mater. 2018, 344, 179–199. [Google Scholar] [CrossRef]
- Lambert, S.; Wagner, M. Environmental performance of bio-based and biodegradable plastics: The road ahead. Chem. Soc. Rev. 2017, 46, 6855–6871. [Google Scholar] [CrossRef] [PubMed]
- Han, J.-W.; Ruiz-Garcia, L.; Qian, J.-P.; Yang, X.-T. Food Packaging: A Comprehensive Review and Future Trends. Compr. Rev. Food Sci. Food Saf. 2018, 17, 860–877. [Google Scholar] [CrossRef] [PubMed] [Green Version]
- Montes, E.D.; Muñoz, R.C. Edible films and coatings as food-quality preservers: An overview. Foods 2021, 10, 249. [Google Scholar] [CrossRef] [PubMed]
- Mohamed, S.A.; El-Sakhawy, M. Polysaccharides, Protein and Lipid -Based Natural Edible Films in Food Packaging: A Review. Carbohydr. Polym. 2020, 238, 116178. [Google Scholar] [CrossRef] [PubMed]
- Mlalila, N.; Hilonga, A.; Swai, H.; Devlieghere, F.; Ragaert, P. Antimicrobial packaging based on starch, poly(3-hydroxybutyrate) and poly(lactic-co-glycolide) materials and application challenges. Trends Food Sci. Technol. 2018, 74, 1–11. [Google Scholar] [CrossRef]
- Park, J.; Nam, J.; Yun, H.; Jin, H.J.; Kwak, H.W. Aquatic polymer-based edible films of fish gelatin cross-linked with alginate dialdehyde having enhanced physicochemical properties. Carbo. Polym. 2021, 254, 117317. [Google Scholar] [CrossRef]
- Arfat, Y.A.; Benjakul, S.; Prodpran, T.; Osako, K. Development and characterisation of blend films based on fish protein isolate and fish skin gelatin. Food Hydrocoll. 2014, 39, 58–67. [Google Scholar] [CrossRef]
- Dinika, I.; Verma, D.K.; Balia, R.; Utama, G.L.; Patel, A.R. Potential of cheese whey bioactive proteins and peptides in the development of antimicrobial edible film composite: A review of recent trends. Trends Food Sci. Technol. 2020, 103, 57–67. [Google Scholar] [CrossRef]
- Corrado, I.; Abdalrazeq, M.; Pezzella, C.; Di Girolamo, R.; Porta, R.; Sannia, G.; Giosafatto, C.V.L. Design and characterization of poly (3-hydroxybutyrate-co-hydroxyhexanoate) nanoparticles and their grafting in whey protein-based nanocomposites. Food Hydrocoll. 2021, 110, 106167. [Google Scholar] [CrossRef]
- Prodpran, T.; Benjakul, S.; Artharn, A. Properties and microstructure of protein-based film from round scad (Decapterusmaruadsi) muscle as affected by palm oil and chitosan incorporation. Inter. J. Biol. Macromol. 2007, 41, 605–614. [Google Scholar] [CrossRef] [PubMed]
- Gennadios, A.; Weller, C.; Testin, R. Temperature Effect on Oxygen Permeability of Edible Protein-based Films. J. Food Sci. 1993, 58, 212–214. [Google Scholar] [CrossRef]
- Bourtoom, T. Factors affecting the properties of edible film prepared from mung bean proteins. Int. Food Res. J. 2008, 15, 167–180. [Google Scholar]
- Saglam, D.; Venema, P.; de Vries, R.; Shi, J.; van der Linden, E. Concentrated whey protein particle dispersions: Heat stability and rheological properties. Food Hydrocoll. 2013, 30, 100–109. [Google Scholar] [CrossRef]
- Feyzi, S.; Varidi, M.; Zare, F.; Varidi, M.J. Fenugreek (Trigonella foenum graecum) seed protein isolate: Extraction optimization, amino acid composition, thermo and functional properties. J. Sci. Food Agric. 2015, 95, 3165–3176. [Google Scholar] [CrossRef] [PubMed]
- Sauvaire, Y.; Girardon, P.; Baccou, J.; Ristérucci, A. Changes in growth, proteins and free amino acids of developing seed and pod of fenugreek. Phytochemistry 1984, 23, 479–486. [Google Scholar] [CrossRef]
- Kaviarasan, S.; Vijayalakshmi, K.; Anuradha, C. Polyphenol-Rich Extract of Fenugreek Seeds Protect Erythrocytes from Oxidative Damage. Plant Foods Hum. Nutr. 2004, 59, 143–147. [Google Scholar] [CrossRef]
- Srinivasan, K. Fenugreek (Trigonella foenum-graecum): A review of health beneficial physiological effects. Food Rev. Int. 2006, 22, 203–224. [Google Scholar] [CrossRef]
- Naidu, M.M.; Shyamala, B.N.; Naik, J.P.; Sulochanamma, G.; Srinivas, P. Chemical composition and anti-oxidant activity of the husk and endosperm of fenugreek seeds. LWT Food Sci. Technol. 2011, 44, 451–456. [Google Scholar] [CrossRef]
- Mir, N.A.; Riar, C.S.; Singh, S. Physicochemical, molecular and thermal properties of high-intensity ultra-sound (HIUS) treated protein isolates from album (Chenopodium album) seed. Food Hydrocoll. 2019, 96, 433–441. [Google Scholar] [CrossRef]
- Paglione, I.S.; Galindo, M.V.; de Souza, K.C.; Yamashita, F.; Grosso, C.R.F.; Sakanaka, L.S.; Shirai, M.A. Optimization of the conditions for producing soy protein isolate films. Emirates J. Food Agric. 2019, 31, 297–303. [Google Scholar] [CrossRef]
- Sukhija, S.; Singh, S.; Riar, C.S. Analyzing the effect of whey protein concentrate and psyllium husk on var-ious characteristics of biodegradable film from lotus (Nelumbo nucifera) rhizome starch. Food Hydrocoll. 2016, 60, 128–137. [Google Scholar] [CrossRef]
- Sharma, L.; Singh, C. Sesame protein based edible films: Development and characterization. Food Hydrocoll. 2016, 61, 139–147. [Google Scholar] [CrossRef]
- Han, J.H.; Floros, J.D. Casting Antimicrobial Packaging Films and Measuring Their Physical Properties and Antimicrobial Activity. J. Plast. Film Sheeting 1997, 13, 287–298. [Google Scholar] [CrossRef]
- Romero-Bastida, C.A.; Bello-Pérez, L.A.; García, M.A.; Martino, M.N.; Solorza-Feria, J.; Zaritzky, N.E. Physicochemical and microstructural characterization of films prepared by thermal and cold gelatinization from non-conventional sources of starches. Carbohydr. Polym. 2005, 60, 235–244. [Google Scholar] [CrossRef]
- Scartazzini, L.; Tosati, J.V.; Cortez, D.H.C.; Rossi, M.J.; Flôres, S.H.; Hubinger, M.D.; Monteiro, A.R. Gela-tin edible coatings with mint essential oil (Mentha arvensis): Film characterization and antifungal proper-ties. J. Food Sci. Technol. 2019, 56, 4045–4056. [Google Scholar] [CrossRef]
- Acquah, C.; Zhang, Y.; Dubé, M.A.; Udenigwe, C.C. Formation and characterization of protein-based films from yellow pea (Pisum sativum) protein isolate and concentrate for edible applications. Curr. Res. Food Sci. 2020, 2, 61–69. [Google Scholar] [CrossRef]
- Zhao, X.; Xing, T.; Xu, X.; Zhou, G. Influence of extreme alkaline pH induced unfolding and aggregation on PSE-like chicken protein edible film formation. Food Chem. 2020, 319, 126574. [Google Scholar] [CrossRef]
- Cho, S.Y.; Park, J.-W.; Batt, H.P.; Thomas, R.L. Edible films made from membrane processed soy protein concentrates. LWT 2007, 40, 418–423. [Google Scholar] [CrossRef]
- Nandane, A.S.; Jain, R. Study of mechanical properties of soy protein based edible film as affected by its composition and process parameters by using RSM. J. Food Sci. Technol. 2014, 52, 1–6. [Google Scholar] [CrossRef] [Green Version]
- Rhim, J.W.; Gennadios, A.; Handa, A.; Weller, C.L.; Hanna, M.A. Solubility, Tensile, and Color Properties of Modified Soy Protein Isolate Films†. J. Agric. Food Chem. 2000, 48, 4937–4941. [Google Scholar] [CrossRef] [PubMed]
- Bertuzzi, M.; Vidaurre, E.C.; Armada, M.; Gottifredi, J. Water vapor permeability of edible starch based films. J. Food Eng. 2007, 80, 972–978. [Google Scholar] [CrossRef]
- Bamdad, F.; Goli, A.H.; Kadivar, M. Preparation and characterization of proteinous film from lentil (Lens culinaris): Edible film from lentil (Lens culinaris). Food Res. Int. 2006, 39, 106–111. [Google Scholar] [CrossRef]
- Soliman, E.A.; Tawfik, M.; El-Sayed, H.; Moharram, Y.G. Preparation and Characterization of Soy Protein Based Edible/Biodegradable Films. Am. J. Food Technol. 2007, 2, 462–476. [Google Scholar] [CrossRef]
- Shimada, K.; Cheftel, J.C. Texture characteristics, protein solubility, and sulfhydryl group/disulfide bond contents of heat-induced gels of whey protein isolate. J. Agric. Food Chem. 1988, 36, 1018–1025. [Google Scholar] [CrossRef]
- Kester, J.J.; Fennema, O.R. Edible films and coatings: A review. Food Tech. 1986, 40, 47–59. [Google Scholar]
- Saricaoglu, F.T.; Tural, S.; Gul, O.; Turhan, S. High pressure homogenization of mechanically deboned chicken meat protein suspensions to improve mechanical and barrier properties of edible films. Food Hydrocoll. 2018, 84, 135–145. [Google Scholar] [CrossRef]
- Saremnezhad, S.; Azizi, M.H.; Barzegar, M.; Abbasi, S.; Ahmadi, E. Properties of a new edible film made of faba bean protein isolate. J. Agri. Sci. Tech. 2011, 13, 181–192. [Google Scholar]
- Dey, A.; Neogi, S. Oxygen scavengers for food packaging applications: A review. Trends Food Sci. Technol. 2019, 90, 26–34. [Google Scholar] [CrossRef]
- Stuchell, Y.M.; Krochta, J.M. Enzymatic Treatments and Thermal Effects on Edible Soy Protein Films. J. Food Sci. 1994, 59, 1332–1337. [Google Scholar] [CrossRef]
- Chen, C.-H.; Kuo, W.-S.; Lai, L.-S. Water barrier and physical properties of starch/decolorized hsian-tsao leaf gum films: Impact of surfactant lamination. Food Hydrocoll. 2010, 24, 200–207. [Google Scholar] [CrossRef]
- Mali, S.; Grossmann, M.V.E.; Garcı́a, M.A.; Martino, M.N.; Zaritzky, N.E. Barrier, mechanical and optical properties of plasticized yam starch films. Carbohydr. Polym. 2004, 56, 129–135. [Google Scholar] [CrossRef]
- Han, Y.; Yu, M.; Wang, L. Preparation and characterization of antioxidant soy protein isolate films incor-porating licorice residue extract. Food Hydrocoll. 2018, 75, 13–21. [Google Scholar] [CrossRef]
- Nerín, C.; Tovar, L.; Salafranca, J. Behaviour of a new antioxidant active film versus oxidizable model compounds. J. Food Eng. 2008, 84, 313–320. [Google Scholar] [CrossRef]
- Ramos, Ó.L.; Reinas, I.; Silva, S.I.; Fernandes, J.C.; Cerqueira, M.A.; Pereira, R.N.; Vicente, A.A.; Pocas, M.F.; Pintado, M.E.; Malcata, F.X. Effect of whey protein purity and glycerol content upon physical properties of edible films manufactured therefrom. Food Hydrocoll. 2013, 30, 110–122. [Google Scholar] [CrossRef] [Green Version]
- Lee, J.-H.; Song, N.-B.; Jo, W.-S.; Bin Song, K. Effects of nano-clay type and content on the physical properties of sesame seed meal protein composite films. Int. J. Food Sci. Technol. 2014, 49, 1869–1875. [Google Scholar] [CrossRef]
- Choi, W.-S.; Han, J.H. Physical and Mechanical Properties of Pea-Protein-based Edible Films. J. Food Sci. 2001, 66, 319–322. [Google Scholar] [CrossRef]
- Asdagh, A.; Sani, I.K.; Pirsa, S.; Amiri, S.; Shariatifar, N.; Eghbaljoo-Gharehgheshlaghi, H.; Shabahang, Z.; Taniyan, A. Production and Characterization of Nanocomposite Film Based on Whey Protein Isolated/Copper Oxide Nanoparticles Containing Coconut Essential Oil and Paprika Extract. J. Polym. Environ. 2021, 29, 335–349. [Google Scholar] [CrossRef]
- Lodha, P.; Netravali, A.N. Thermal and mechanical properties of environment-friendly ‘green’ plastics from stearic acid modified-soy protein isolate. Ind. Crop. Prod. 2005, 21, 49–64. [Google Scholar] [CrossRef]
- Karnnet, S.; Potiyaraj, P.; Pimpan, V. Preparation and properties of biodegradable stearic acid-modified gel-atin films. Polym. Degra. Stab. 2005, 90, 106–110. [Google Scholar] [CrossRef]
- Schmidt, V.; Giacomelli, C.; Soldi, V. Thermal stability of films formed by soy protein isolate–sodium do-decyl sulfate. Polym. Degra. Stab. 2005, 87, 25–31. [Google Scholar] [CrossRef]
- Barth, A.; Zscherp, C. What vibrations tell about proteins. Q. Rev. Biophys. 2002, 35, 369–430. [Google Scholar] [CrossRef] [PubMed]
- Martins, J.T.; Cerqueira, M.A.; Bourbon, A.I.; Pinheiro, A.C.; Souza, B.W.; Vicente, A.A. Synergistic effects between k-carrageenan and locust bean gum on physicochemical properties of edible films made there-of. Food Hydrocoll. 2012, 29, 280–289. [Google Scholar] [CrossRef] [Green Version]
- Ghamari, M.A.; Amiri, S.; Rezazadeh-Bari, M.; Rezazad-Bari, L. Physical, mechanical, and antimicrobial properties of active edible film based on milk proteins incorporated with Nigella sativa essential oil. Polym. Bull. 2021, 1–21. [Google Scholar] [CrossRef]
- Youssef, A.M.; El-Sayed, S.M. Bionanocomposites materials for food packaging applications: Concepts and future outlook. Carbohydr. Polym. 2018, 193, 19–27. [Google Scholar] [CrossRef]




| Film Samples | Tensile Strength (Mpa) | Elongation at Break (%) | Water Vapor Permeability (g.m/pa.h.m2) × 10−10 | Thickness (mm) | Film Solubility (%) |
|---|---|---|---|---|---|
| F9 | 1.13 ± 0.16 b | 6.74 ± 0.12 d | 1.82 ± 0.11 a | 0.23 ± 0.10 a | 68.55 ± 0.21 a |
| F10 | 1.32 ± 0.19 a,b | 7.67 ± 0.17 c | 1.60±0.13 b | 0.25 ± 0.12 a | 62.26 ± 0.23 b |
| F11 | 1.49 ± 0.14 a | 11.74 ± 0.13 b | 1.40±0.16 c | 0.29 ± 0.11 a | 56.79 ± 0.19 c |
| F12 | 1.53 ± 0.18 a | 14.87 ± 0.15 a | 1.18±0.12 d | 0.30 ± 0.12 a | 49.05 ± 0.20 d |
| Film Sample | Moisture Content (%) | Transparency (%) | L* | a* | b* |
|---|---|---|---|---|---|
| F9 | 21.42 ± 0.13 a | 13.16 ± 0.10 d | 64.62 ± 0.03 a | 8.39 ± 0.02 b | 18.13 ± 0.02 a |
| F10 | 21.24 ± 0.10 b | 14.96 ± 0.13 c | 40.24 ± 0.01 b | 9.79 ± 0.01 a | 8.75 ± 0.03 b |
| F11 | 21.24 ± 0.11 b | 16.78 ± 0.11 b | 37.20 ± 0.02 c | 5.89 ± 0.01 d | 2.25 ± 0.02 c |
| F12 | 18.90 ± 0.12 c | 17.59 ± 0.13 a | 34.06 ± 0.01 d | 6.48 ± 0.02 c | 2.26 ± 0.01 c |
Publisher’s Note: MDPI stays neutral with regard to jurisdictional claims in published maps and institutional affiliations. |
© 2021 by the authors. Licensee MDPI, Basel, Switzerland. This article is an open access article distributed under the terms and conditions of the Creative Commons Attribution (CC BY) license (https://creativecommons.org/licenses/by/4.0/).
Share and Cite
Kumari, N.; Bangar, S.P.; Petrů, M.; Ilyas, R.A.; Singh, A.; Kumar, P. Development and Characterization of Fenugreek Protein-Based Edible Film. Foods 2021, 10, 1976. https://doi.org/10.3390/foods10091976
Kumari N, Bangar SP, Petrů M, Ilyas RA, Singh A, Kumar P. Development and Characterization of Fenugreek Protein-Based Edible Film. Foods. 2021; 10(9):1976. https://doi.org/10.3390/foods10091976
Chicago/Turabian StyleKumari, Neha, Sneh Punia Bangar, Michal Petrů, R.A. Ilyas, Ajay Singh, and Pradyuman Kumar. 2021. "Development and Characterization of Fenugreek Protein-Based Edible Film" Foods 10, no. 9: 1976. https://doi.org/10.3390/foods10091976
APA StyleKumari, N., Bangar, S. P., Petrů, M., Ilyas, R. A., Singh, A., & Kumar, P. (2021). Development and Characterization of Fenugreek Protein-Based Edible Film. Foods, 10(9), 1976. https://doi.org/10.3390/foods10091976

