Phenolic Content, Main Flavonoids, and Antioxidant Capacity of Instant Sweet Tea (Lithocarpus litseifolius [Hance] Chun) Prepared with Different Raw Materials and Drying Methods
Abstract
:1. Introduction
2. Materials and Methods
2.1. Samples and Reagents
2.2. Optimization of Instant Sweet Tea Powder Extraction
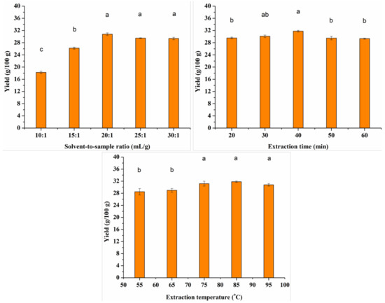
2.2.1. Single-Factor Tests
2.2.2. Response Surface Methodology (RSM)
2.3. Preparation of Instant Sweet Tea Powder with Different Raw Materials and Drying Methods
2.4. Determination of TPC and TFC
2.5. Determination of Antioxidant Capacity
2.5.1. Determination of DPPH Radical Scavenging Activity
2.5.2. Determination of Ferric-Reducing Antioxidant Power (FRAP Assay)
2.5.3. Determination of ABTS Cation Radical Scavenging Activity
2.6. HPLC Analysis of Phlorizin and Trilobatin
2.7. Statistical Analysis
3. Results
3.1. Analysis of Single-Factor Tests
3.2. Response Surface Methodology (RSM) Experiments and Verification
3.3. Analysis of TPC and TFC
3.4. Analysis of Antioxidant Capacity
3.5. Identification of Phloridzin and Trilobatin Contents
3.6. Correlation Analysis of Antioxidant Capacity, TPC, TFC, Phloridzin and Trilobatin Contents
4. Discussion
5. Conclusions
Author Contributions
Funding
Data Availability Statement
Acknowledgments
Conflicts of Interest
References
- Shang, A.; Liu, H.; Luo, M.; Xia, Y.; Yang, X.; Li, H.; Wu, D.T.; Sun, Q.; Geng, F.; Li, H.B.; et al. Sweet tea (Lithocarpus polystachyus Rehd.) as a new natural source of bioactive dihydrochalcones with multiple health benefits. Crit. Rev. Food Sci. Nutr. 2020, 1–18. [Google Scholar] [CrossRef]
- Wang, M.; Liu, X.; Zhang, Z.; Yu, J.; Liu, J.; Wu, Y. Phytochemicals and bioactive analysis of different sweet tea (Lithocarpus litseifolius [Hance] Chun) varieties. J. Food Biochem. 2020, 45, e13183. [Google Scholar] [CrossRef] [PubMed]
- Guo, H.; Fu, M.X.; Zhao, Y.X.; Li, H.; Li, H.B.; Wu, D.T.; Gan, R.Y. The chemical, structural, and biological properties of crude polysaccharides from sweet tea (Lithocarpus litseifolius (Hance) Chun) based on different extraction technologies. Foods 2021, 10, 1779. [Google Scholar] [CrossRef]
- Li, A.; Li, S.; Wu, X.; Zhang, J.; He, A.; Zhao, G.; Yang, X. Effect of light intensity on leaf photosynthetic characteristics and accumulation of flavonoids in Lithocarpus litseifolius (Hance) Chun. (Fagaceae). Open J. For. 2016, 6, 445–459. [Google Scholar] [CrossRef] [Green Version]
- Li, C.Y.; Wang, L.X.; Dong, S.S.; Hong, Y.; Zhou, X.H.; Zheng, W.W.; Zheng, C. Phlorizin exerts direct protective effects on palmitic acid (PA)-induced endothelial dysfunction by activating the PI3K/AKT/eNOS signaling pathway and increasing the levels of nitric oxide (NO). Med. Sci. Monit. Basic Res. 2018, 24, 1–9. [Google Scholar] [CrossRef]
- Someswararao, C.; Srivastav, P.P. A novel technology for production of instant tea powder from the existing black tea manufacturing process. Innov. Food Sci. Emerg. 2012, 16, 143–147. [Google Scholar] [CrossRef]
- Sun, Y.S.; Li, W.; Liu, Z.B. Preparative isolation, quantification and antioxidant activity of dihydrochalcones from sweet tea (Lithocarpus polystachyus Rehd.). J. Chromatogr. B 2015, 1002, 372–378. [Google Scholar] [CrossRef]
- Perera, G.; Amarakoon, A.; Illeperuma, D.; Muthukumarana, P. Effects of raw material on the chemical composition, organoleptic properties, antioxidant activity, physical properties and the yield of instant black tea. LWT Food Sci. Technol. 2015, 63, 745–750. [Google Scholar] [CrossRef]
- Alasalvar, C.; Pelvan, E.; Ozdemir, K.S.; Kocadagli, T.; Mogol, B.A.; Pasli, A.A.; Ozcan, N.; Ozcelik, B.; Gokmen, V. Compositional, nutritional, and functional characteristics of instant teas produced from low- and high-quality black teas. J. Agric. Food Chem. 2013, 61, 7529–7536. [Google Scholar] [CrossRef]
- Irakli, M.; Tsifodimou, K.; Sarrou, E.; Chatzopoulou, P. Optimization infusions conditions for improving phenolic content and antioxidant activity in Sideritis scardica tea using response surface methodology. J. Appl. Res. Med. Aromat. 2018, 8, 67–74. [Google Scholar] [CrossRef]
- Alipieva, K.; Petreska, J.; Gil-Izquierdo, A.; Stefova, M.; Evstatieva, L.; Bankova, V. Influence of the extraction method on the yield of flavonoids and phenolics from Sideritis spp. (Pirin Mountain tea). Nat. Prod. Commun. 2010, 130, 51–54. [Google Scholar] [CrossRef] [Green Version]
- Zeinab, N.; Mahdavi, R.; Ghaemmaghami, S.J.; Yagin, N.L.; Nikniaz, L. Effect of different brewing times on antioxidant activity and polyphenol content of loosely packed and bagged black teas (Camellia sinensis L.). Avicenna J. Phytomed. 2016, 6, 313–321. [Google Scholar]
- Erica, S.; Hua, F.; Schuckers, S.; Andreescu, S.; Bradley, R. Effects of brewing conditions on the antioxidant capacity of twenty-four commercial Green tea varieties. Food Chem. 2016, 192, 380–387. [Google Scholar]
- Tulek, Z.; Alasalvar, H.; Basyigit, B.; Berktas, S.; Salum, P.; Erbay, Z.; Telci, I.; Cam, M. Extraction optimization and microencapsulation of phenolic antioxidant compounds from lemon balm (Melissa officinalis L.): Instant soluble tea production. J. Food Process. Preserv. 2021, 45, 414995. [Google Scholar] [CrossRef]
- Kraujalyte, V.; Pelvan, E.; Alassalvar, C. Volatile compounds and sensory characteristics various instant teas produced from black tea. Food Chem. 2016, 194, 864–872. [Google Scholar] [CrossRef]
- Mbondo, N.N.; Owino, W.O.; Ambuko, J.; Sila, D.N. Effect of drying methods on the retention of bioactive compounds in African Eggplant. Food Sci. Nutr. 2018, 6, 814–823. [Google Scholar] [CrossRef] [Green Version]
- Gan, R.Y.; Wang, M.F.; Lui, W.Y.; Corke, H. Dynamic changes in phytochemical composition and antioxidant capacity in green and black mung bean (Vigna radiata) sprouts. Int. J. Food Sci. Technol. 2016, 51, 2090–2098. [Google Scholar] [CrossRef]
- Jia, Z.S.; Tang, M.C.; Wu, J.M. The determination of flavonoid contents in mulberry and their scavenging effects on superoxide radicals. Food Chem. 1999, 64, 555–559. [Google Scholar]
- Zari, A.; Nouir, S.; Zarrouk, A.; Haddad, H.; Achour, L. Phytochemical profile, cytotoxic, antioxidant, and allelopathic potentials of aqueous leaf extracts of Olea europaea. Food Sci. Nutr. 2020, 8, 4805–4813. [Google Scholar] [CrossRef]
- Brand-Williams, W.; Cuvelier, M.E.; Berset, C. Use of a free radical method to evaluate antioxidant activity. Lebensm. Wiss. Technol. 1995, 28, 25–30. [Google Scholar] [CrossRef]
- Luo, Q.; Zhang, J.R.; Li, H.B.; Wu, D.T.; Geng, F.; Corke, H.; Wei, X.L.; Gan, R.Y. Green Extraction of Antioxidant Polyphenols from Green Tea (Camellia sinensis). Antioxidants 2020, 9, 785. [Google Scholar] [CrossRef] [PubMed]
- Benzie, I.F.F.; Strain, J.J. The ferric reducing ability of plasma (FRAP) as a measure of “antioxidant powder”: The FRAP assay. Anal. Biochem. 1996, 239, 70–76. [Google Scholar] [CrossRef] [PubMed] [Green Version]
- Re, R.; Pellegrini, N.; Proteggente, A.; Pannala, A.; Yang, M.; Rice-Evans, C. Antioxidant activity applying an improved ABTS radical cation decolorization assay. Free Radic. Biol. Med. 1999, 26, 1231–1237. [Google Scholar] [CrossRef]
- Horzic, D.; Komes, D.; Belscak, A.; Ganic, K.K.; Ivekovic, D.; Karlovic, D. The composition of polyphenols and methylxanthines in teas and herbal infusions. Food Chem. 2009, 115, 441–448. [Google Scholar] [CrossRef]
- Belwal, T.; Dhyani, P.; Bhatt, I.D.; Rawal, R.S.; Pande, V. Optimization extraction conditions for improving phenolic content and antioxidant activity in Berberis asiatica fruits using response surface methodology (RSM). Food Chem. 2016, 207, 115–124. [Google Scholar] [CrossRef] [PubMed]
- Murthy, P.S.; Naidu, M.M. Recovery of phenolic antioxidants and functional compounds from coffee industry by-products. Food Bioprocess Technol. 2012, 5, 897–903. [Google Scholar] [CrossRef]
- Nguyen, Q.; Chuyen, H.V. Processing of herbal tea from Roselle (Hibiscus sabdariffa L.): Effects of drying temperature and brewing conditions on total soluble solid, phenolic content, antioxidant capacity and sensory quality. Beverages 2020, 6, 2. [Google Scholar] [CrossRef] [Green Version]
- Chuyen, H.V.; Tran, X.T.; Nguyen, M.H.; Roach, P.D.; Parks, S.E.; Golding, J.B. Yield of carotenoids, phenolic compounds and antioxidant capacity of extracts from Gac Peel as affected by different solvents and extraction conditions. J. Adv. Agric. Technol. 2017, 4, 87–91. [Google Scholar] [CrossRef] [Green Version]
- Vuong, Q.V.; Golding, J.B.; Stathopoulos, C.E.; Nguyen, M.H.; Roach, P.D. Optimizing conditions for the extraction of catechins from green tea using hot water. J. Sep. Sci. 2011, 34, 3099–3106. [Google Scholar] [CrossRef] [PubMed]
- Shang, A.; Luo, M.; Gan, R.Y.; Xu, X.Y.; Xia, Y.; Guo, H.; Liu, Y.; Li, H.B. Effects of microwave-assisted extraction conditions on antioxidant capacity of sweet tea (Lithocarpus polystachyus Rehd.). Antioxidants 2020, 9, 678. [Google Scholar] [CrossRef]
- Liu, Y.; Liu, H.Y.; Xia, Y.; Guo, H.; He, X.Q.; Li, H.; Wu, D.T.; Geng, F.; Lin, F.J.; Li, H.B.; et al. Screening and process optimization of ultrasound-assisted extraction of main antioxidants from sweet tea (Lithocarpus litseifolius [Hance] Chun). Food Biosci. 2021, 43, 101277. [Google Scholar] [CrossRef]
- Rusak, G.; Komes, D.; Likic, S.; Horzic, D.; Kovac, M. Phenolic content and antioxidative capacity of green and white tea extracts depending on extraction conditions and the solvent used. Food Chem. 2008, 110, 852–858. [Google Scholar] [CrossRef]
- Luo, M.; Zhou, D.D.; Shang, A.; Gan, R.Y.; Li, H.B. Influences of microwave-assisted extraction parameters on antioxidant activity of the extract from Akebia trifoliata peels. Foods 2021, 10, 1432. [Google Scholar] [CrossRef] [PubMed]
- Thummajitsakul, S.; Samaikam, S.; Tacha, S.; Silprasit, K. Study on FTIR spectroscopy, total phenolic content, antioxidant activity and anti-amylase activity of extracts and different tea forms of Garcinia schomburgkiana leaves. LWT Food Sci. Technol. 2020, 134, 110005. [Google Scholar] [CrossRef]
- Nantitanon, W.; Yotsawimonwat, S.; Okonogi, S. Factors influencing antioxidant activities and total phenolic content of guava leaf extract. LWT Food Sci. Technol. 2010, 43, 1095–1103. [Google Scholar] [CrossRef]
- Meng, Y.; Ding, L.; Wang, Y.; Nie, Q.; Xing, Y.; Ren, Q. Phytochemical identification of Lithocarpus polystachyus extracts by ultra-high-performance liquid chromatography-quadrupole time-of-flight-MS and their protein tyrosine phosphatase 1B and α-glucosidase activities. Biomed. Chromatogr. 2020, 34, e4705. [Google Scholar] [CrossRef] [PubMed]
- Huang, D.; Ou, B.; Prior, R.L. The chemistry behind antioxidant capacity assays. J. Agric. Food Chem. 2005, 53, 1841–1856. [Google Scholar] [CrossRef] [PubMed]




| Source | Sum of Squares | df | Mean Square | F Value | p-Value Prob > F | Significance |
|---|---|---|---|---|---|---|
| Model | 29.19 | 9 | 3.24 | 3.90 | 0.0433 | significant |
| Solvent-to-sample (A) | 0.018 | 1 | 0.018 | 0.021 | 0.8886 | |
| Extraction temperature (B) | 3.78 | 1 | 3.78 | 4.54 | 0.0705 | |
| Extraction time (C) | 0.56 | 1 | 0.56 | 0.68 | 0.4374 | |
| AB | 4.79 | 1 | 4.79 | 5.75 | 0.0476 | |
| AC | 0.56 | 1 | 0.56 | 0.68 | 0.4382 | |
| BC | 0.004 | 1 | 4.79 | 0.005 | 0.9473 | |
| A2 | 5.69 | 1 | 0.56 | 6.84 | 0.0347 | |
| B2 | 12.08 | 1 | 0.004 | 14.51 | 0.0066 | |
| C2 | 1.45 | 1 | 5.69 | 1.75 | 0.2280 | |
| Residual | 5.83 | 7 | 0.83 | |||
| Lack of Fit | 4.31 | 3 | 1.44 | 3.78 | 0.115 | not significant |
| Pure Error | 1.52 | 4 | 0.38 | |||
| Cor Total | 35.01 | 16 | ||||
| R2 | 0.8336 | |||||
| R2Adj | 0.8196 | |||||
| C.V.% | 3.04 |
| Sample | STUT (mg/g DW) | STFD (mg/g DW) | STSD (mg/g DW) | |
|---|---|---|---|---|
| Phloridzin | MY | 24.56 ± 0.14 c,f | 58.51 ± 0.67 b,g | 67.65 ± 1.98 a,g |
| OY | 32.99 ± 1.56 c,e | 97.93 ± 1.53 b,e | 113.22 ± 3.37 a,f | |
| MO | 36.31 ± 1.32 c,e | 82.96 ± 1.77 b,f | 191.17 ± 3.53 a,d | |
| OO | 52.38 ± 1.73 c,d | 140.28 ± 5.28 b,d | 166.19 ± 5.70 a,e | |
| Trilobatin | MY | 157.04 ± 2.90 c,e | 340.35 ± 6.83 a,d | 298.15 ± 1.63 b,e |
| OY | 59.24 ± 0.13 c,f | 139.67 ± 1.84 a,e | 100.67 ± 0.50 b,f | |
| MO | 165.93 ± 0.41 c,d | 338.13 ± 4.60 a,d | 307.80 ± 2.78 b,d | |
| OO | 2.67 ± 0.17 b,g | 5.37 ± 0.32 a,f | 5.75 ± 0.31 a,g |
| FRAP | DPPH | ABTS | TPC | TFC | Phloridzin | Trilobatin | |
|---|---|---|---|---|---|---|---|
| FRAP | 1 | ||||||
| DPPH | 0.959 ** | 1 | |||||
| ABTS | 0.838 ** | 0.915 ** | 1 | ||||
| TPC | 0.761 ** | 0.761 ** | 0.788 ** | 1 | |||
| TFC | 0.982 ** | 0.953 ** | 0.789 ** | 0.681 * | 1 | ||
| phloridzin | 0.425 | 0.255 | 0.286 | 0.476 | 0.369 | 1 | |
| trilobatin | −0.075 | −0.006 | 0.188 | 0.531 | −0.198 | −0.058 | 1 |
Publisher’s Note: MDPI stays neutral with regard to jurisdictional claims in published maps and institutional affiliations. |
© 2021 by the authors. Licensee MDPI, Basel, Switzerland. This article is an open access article distributed under the terms and conditions of the Creative Commons Attribution (CC BY) license (https://creativecommons.org/licenses/by/4.0/).
Share and Cite
Liu, H.-Y.; Liu, Y.; Mai, Y.-H.; Guo, H.; He, X.-Q.; Xia, Y.; Li, H.; Zhuang, Q.-G.; Gan, R.-Y. Phenolic Content, Main Flavonoids, and Antioxidant Capacity of Instant Sweet Tea (Lithocarpus litseifolius [Hance] Chun) Prepared with Different Raw Materials and Drying Methods. Foods 2021, 10, 1930. https://doi.org/10.3390/foods10081930
Liu H-Y, Liu Y, Mai Y-H, Guo H, He X-Q, Xia Y, Li H, Zhuang Q-G, Gan R-Y. Phenolic Content, Main Flavonoids, and Antioxidant Capacity of Instant Sweet Tea (Lithocarpus litseifolius [Hance] Chun) Prepared with Different Raw Materials and Drying Methods. Foods. 2021; 10(8):1930. https://doi.org/10.3390/foods10081930
Chicago/Turabian StyleLiu, Hong-Yan, Yi Liu, Ying-Hui Mai, Huan Guo, Xiao-Qin He, Yu Xia, Hang Li, Qi-Guo Zhuang, and Ren-You Gan. 2021. "Phenolic Content, Main Flavonoids, and Antioxidant Capacity of Instant Sweet Tea (Lithocarpus litseifolius [Hance] Chun) Prepared with Different Raw Materials and Drying Methods" Foods 10, no. 8: 1930. https://doi.org/10.3390/foods10081930
APA StyleLiu, H.-Y., Liu, Y., Mai, Y.-H., Guo, H., He, X.-Q., Xia, Y., Li, H., Zhuang, Q.-G., & Gan, R.-Y. (2021). Phenolic Content, Main Flavonoids, and Antioxidant Capacity of Instant Sweet Tea (Lithocarpus litseifolius [Hance] Chun) Prepared with Different Raw Materials and Drying Methods. Foods, 10(8), 1930. https://doi.org/10.3390/foods10081930

