Comprehensive Review of Polysaccharide-Based Materials in Edible Packaging: A Sustainable Approach
Abstract
:1. Introduction
2. Fundamental Compositions and Properties of Various Polysaccharides
- (1)
- The chemical and thermal stability of polysaccharides are poor, which is not conducive to their subsequent molding processing. In particular, the materials formed by only one kind of polysaccharide are often brittle, easy to crack or wrinkle, have high shrinkage after molding, and have poor mechanical properties.
- (2)
- Polysaccharide-based materials contain many hydroxyl, amino or carboxyl groups, which result in high hydrophilicity, easy swelling by moisture, and poor water vapor barrier and moisture resistance. Moreover, they are sensitive to water, and their hydrogen bonding actions, microstructures and internal stress would change after moisture absorption; which resulted in a significant decrease in the mechanical strength of polysaccharide-based materials at high relative humidity [81,82,83].
- (3)
- Cellulose, hemicellulose, starch, agar, and other polysaccharides (except chitosan, pectin, and their derivatives) would provide nutrients and facilitate the growth and reproduction of microorganisms, which is not conducive to food storage.
3. Modifications of Various Polysaccharide-Based Materials for Edible Packaging
3.1. Chemical Modifications of Polysaccharide-Based Materials
3.2. Physical Modifications of Polysaccharide-Based Materials
4. Applications of Various Polysaccharide-Based Materials in Edible Packaging
4.1. Applications of Cellulose
4.2. Applications of Hemicellulose
4.3. Applications of Starch
4.4. Applications of Chitosan
4.5. Applications of Polysaccharide Gums
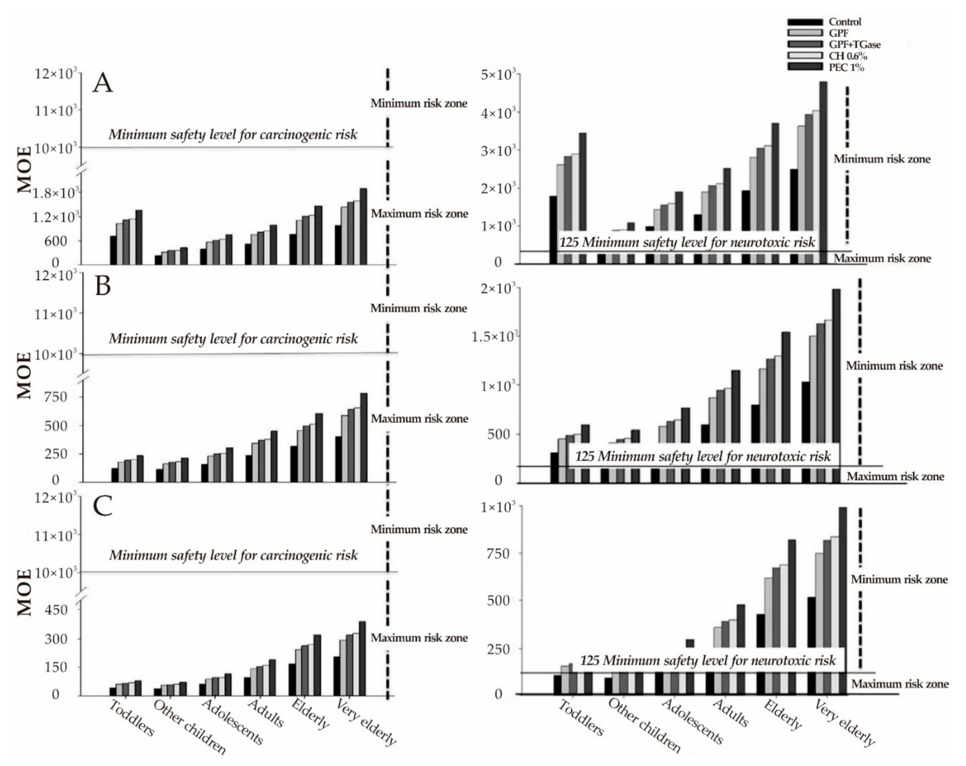
5. Safety Risk Assessment of Polysaccharide-Based Edible Packaging
6. Conclusions and Prospects
- (1)
- Development of more edible polysaccharide-based materials: To date, the primary sources of polysaccharide-based edible packaging are plants and animals. Microorganisms, such as bacteria and fungi are also a great potential source, especially for the development of marine microorganisms.
- (2)
- Multi-functional modification of polysaccharide-based materials: Modification of materials based on practical application requirements is a hot topic in material science. Defects in mechanical properties and water resistance are difficulties in the application of polysaccharide-based materials. Whereas, hydrophilicity is a key factor influencing these performances. Therefore, selecting the most reasonable modification technology (e.g., high stability, low cost, safety, convenience, and easy industrialization) for new polysaccharide-based materials to improve their properties would be an important topic for future research on polysaccharide-based edible packaging. Therefore, the design of the binding mode between polymer chains, the design of monomer molecular group structures, and the realization of more functional effects according to different food requirements (e.g., flavor regulation, acid and alkali resistance, amphiphobicity, and controlled release of functional factors) are the development trend of the future modification of polysaccharide-based materials.
- (3)
- Application expansion and comprehensive evaluation of polysaccharide-based edible packaging: To conduct engineering research on cost reduction and large-scale production, and to evaluate the economic, environmental, and social benefits of polysaccharide-based edible packaging (the life cycle sustainability assessment theoretical model is recommended here), is the only way for the application and promotion of polysaccharides in packaging and food fields in the future.
- (4)
- A deeper knowledge and practice of safety risk assessment for polysaccharides: Understand the potential exposure of polysaccharides through migration into food, the interaction of polysaccharides with food constituent, and their effects upon ingestion, which could verify polysaccharides-based edible packaging safety for commercial purposes and provide a reference for dietary reference intake of residents.
Author Contributions
Funding
Institutional Review Board Statement
Informed Consent Statement
Data Availability Statement
Conflicts of Interest
References
- Jang, M.; Shim, W.J.; Cho, Y.; Han, G.M.; Song, Y.K.; Hong, S.H. A close relationship between microplastic contamination and coastal area use pattern. Water Res. 2020, 171, 115400. [Google Scholar] [CrossRef] [PubMed]
- Eckert, E.M.; Di Cesare, A.; Kettner, M.T.; Arias-Andres, M.; Fontaneto, D.; Grossart, H.-P.; Corno, G. Microplastics increase impact of treated wastewater on freshwater microbial community. Environ. Pollut. 2018, 234, 495–502. [Google Scholar] [CrossRef] [PubMed]
- Egger, M.; Nijhof, R.; Quiros, L.; Leone, G.; Royer, S.-J.; McWhirter, A.C.; Kantakov, G.A.; Radchenko, V.I.; Pakhomov, E.A.; Hunt, B.P.V.; et al. A spatially variable scarcity of floating microplastics in the eastern North Pacific Ocean. Environ. Res. Lett. 2020, 15, 114056. [Google Scholar] [CrossRef]
- Lebreton, L.; Slat, B.; Ferrari, F.; Sainte-Rose, B.; Aitken, J.; Marthouse, R.; Hajbane, S.; Cunsolo, S.; Schwarz, A.; Levivier, A.; et al. Evidence that the Great Pacific Garbage Patch is rapidly accumulating plastic. Sci. Rep. 2018, 8, 4666. [Google Scholar] [CrossRef] [Green Version]
- Barrett, J.; Chase, Z.; Zhang, J.; Holl, M.M.B.; Willis, K.; Williams, A.; Hardesty, B.D.; Wilcox, C. Microplastic Pollution in Deep-Sea Sediments From the Great Australian Bight. Front. Mar. Sci. 2020, 7, 808. [Google Scholar] [CrossRef]
- Eo, S.; Hong, S.H.; Song, Y.K.; Han, G.M.; Seo, S.; Shim, W.J. Prevalence of small high-density microplastics in the continental shelf and deep sea waters of East Asia. Water Res. 2021, 200, 117238. [Google Scholar] [CrossRef]
- Connan, M.; Perold, V.; Dilley, B.J.; Barbraud, C.; Cherel, Y.; Ryan, P.G. The Indian Ocean ‘garbage patch’: Empirical evidence from floating macro-litter. Mar. Pollut. Bull. 2021, 169, 112559. [Google Scholar] [CrossRef]
- Auta, H.S.; Emenike, C.U.; Fauziah, S.H. Distribution and importance of microplastics in the marine environment: A review of the sources, fate, effects, and potential solutions. Environ. Int. 2017, 102, 165–176. [Google Scholar] [CrossRef]
- Yan, Z.; Chen, Y.; Bao, X.; Zhang, X.; Ling, X.; Lu, G.; Liu, J.; Nie, Y. Microplastic pollution in an urbanized river affected by water diversion: Combining with active biomonitoring. J. Hazard. Mater. 2021, 417, 126058. [Google Scholar] [CrossRef]
- Chen, G.; Feng, Q.; Wang, J. Mini-review of microplastics in the atmosphere and their risks to humans. Sci. Total. Environ. 2020, 703, 135504. [Google Scholar] [CrossRef]
- Amato-Lourenço, L.F.; Carvalho-Oliveira, R.; Júnior, G.R.; dos Santos Galvão, L.; Ando, R.A.; Mauad, T. Presence of airborne microplastics in human lung tissue. J. Hazard. Mater. 2021, 416, 126124. [Google Scholar] [CrossRef]
- Ragusa, A.; Svelato, A.; Santacroce, C.; Catalano, P.; Notarstefano, V.; Carnevali, O.; Papa, F.; Rongioletti, M.C.A.; Baiocco, F.; Draghi, S.; et al. Plasticenta: First evidence of microplastics in human placenta. Environ. Int. 2021, 146, 106274. [Google Scholar] [CrossRef] [PubMed]
- Hassan, B.; Chatha, S.A.S.; Hussain, A.I.; Zia, K.M.; Akhtar, N. Recent advances on polysaccharides, lipids and protein based edible films and coatings: A review. Int. J. Biol. Macromol. 2018, 109, 1095–1107. [Google Scholar] [CrossRef] [PubMed]
- Garcia, M.P.M.; GómezGuillén, M.C.; LópezCaballero, M.E.; BarbosaCánovas, G.V. Edible Films and Coatings: Fundamentals and Applications, 1st ed.; CRC Press: Boca Raton, FL, USA, 2017. [Google Scholar]
- Mohamed, S.A.A.; El-Sakhawy, M.; El-Sakhawy, M.A.-M. Polysaccharides, Protein and Lipid -Based Natural Edible Films in Food Packaging: A Review. Carbohydr. Polym. 2020, 238, 116178. [Google Scholar] [CrossRef]
- Nešić, A.; Cabrera-Barjas, G.; Dimitrijević-Branković, S.; Davidović, S.; Radovanović, N.; Delattre, C. Prospect of Polysaccharide-Based Materials as Advanced Food Packaging. Molecules 2020, 25, 135. [Google Scholar] [CrossRef] [Green Version]
- López, O.V.; Zaritzky, N.E.; Grossmann, M.V.E.; García, M.A. Acetylated and native corn starch blend films produced by blown extrusion. J. Food Eng. 2013, 116, 286–297. [Google Scholar] [CrossRef]
- Wang, P.; Li, Y.; Zhang, C.; Feng, F.; Zhang, H. Sequential electrospinning of multilayer ethylcellulose/gelatin/ethylcellulose nanofibrous film for sustained release of curcumin. Food Chem. 2020, 308, 125599. [Google Scholar] [CrossRef] [PubMed]
- Dehghani, S.; ValiHosseini, S.M. Regenstein, J. Edible films and coatings in seafood preservation: A review. Food Chem. 2018, 240, 505–513. [Google Scholar] [CrossRef]
- Benbettaïeb, N.; Gay, J.-P.; Karbowiak, T.; Debeaufort, F. Tuning the Functional Properties of Polysaccharide–Protein Bio-Based Edible Films by Chemical, Enzymatic, and Physical Cross-Linking. Compr. Rev. Food Sci. Food Saf. 2016, 15, 739–752. [Google Scholar] [CrossRef] [Green Version]
- Embuscado, M.E.; Huber, K.C. Edible Films and Coatings for Food Applications, 1st ed.; Springer: New York, NY, USA, 2009. [Google Scholar] [CrossRef]
- Nechita, P.; Roman, M. Review on Polysaccharides Used in Coatings for Food Packaging Papers. Coatings 2020, 10, 566. [Google Scholar] [CrossRef]
- Rastogi, V.K.; Samyn, P. Bio-Based Coatings for Paper Applications. Coatings 2015, 5, 887–930. [Google Scholar] [CrossRef] [Green Version]
- Lavoine, N.; Desloges, I.; Dufresne, A.; Bras, J. Microfibrillated cellulose—Its barrier properties and applications in cellulosic materials: A review. Carbohydr. Polym. 2012, 90, 735–764. [Google Scholar] [CrossRef] [PubMed]
- Habibi, Y.; Lucia, L.A.; Rojas, O.J. Cellulose Nanocrystals: Chemistry, Self-Assembly, and Applications. Chem. Rev. 2010, 110, 3479–3500. [Google Scholar] [CrossRef]
- Brown, R.M. The Biosynthesis of Cellulose. J. Macromol. Sci. Part A 1996, 33, 1345–1373. [Google Scholar] [CrossRef]
- Tumbarski, Y.; Nikolova, R.; Petkova, N.; Ivanov, I.; Lante, A. Biopreservation of Fresh Strawberries by Carboxymethyl Cellulose Edible Coatings Enriched with a Bacteriocin from Bacillus methylotrophicus BM47. Food Technol. Biotechnol. 2019, 57, 230–237. [Google Scholar] [CrossRef] [Green Version]
- Yu, H.-Y.; Zhang, H.; Song, M.-L.; Zhou, Y.; Yao, J.; Ni, Q.-Q. From Cellulose Nanospheres, Nanorods to Nanofibers: Various Aspect Ratio Induced Nucleation/Reinforcing Effects on Polylactic Acid for Robust-Barrier Food Packaging. ACS Appl. Mater. Interfaces 2017, 9, 43920–43938. [Google Scholar] [CrossRef] [PubMed]
- Ebringerová, A. Structural Diversity and Application Potential of Hemicelluloses. Macromol. Symp. 2005, 232, 1–12. [Google Scholar] [CrossRef]
- Scheller, H.V.; Ulvskov, P. Hemicelluloses. Annu. Rev. Plant Biol. 2010, 61, 263–289. [Google Scholar] [CrossRef] [PubMed]
- Ebringerová, A.; Hromádková, Z.; Heinze, T. Hemicellulose. In Polysaccharides I: Structure, Characterization and Use; Heinze, T., Ed.; Springer: Berlin/Heidelberg, Germany, 2005. [Google Scholar] [CrossRef]
- Mikkonen, K.S.; Tenkanen, M. Sustainable food-packaging materials based on future biorefinery products: Xylans and mannans. Trends Food Sci. Technol. 2012, 28, 90–102. [Google Scholar] [CrossRef]
- Chen, X.; Pang, J.; Wu, C. Fabrication and characterization of antimicrobial food packaging materials composed of konjac glucomannan, chitosan and fulvic acid. Food Sci. 2021, 42, 232–239. [Google Scholar] [CrossRef]
- Dai, L.; Zhang, J.; Cheng, F. Effects of starches from different botanical sources and modification methods on physicochemical properties of starch-based edible films. Int. J. Biol. Macromol. 2019, 132, 897–905. [Google Scholar] [CrossRef] [PubMed]
- Zhu, F. Underutilized and unconventional starches: Why should we care? Trends Food Sci. Technol. 2020, 100, 363–373. [Google Scholar] [CrossRef]
- Zhu, F.; Cui, R. Comparison of molecular structure of oca (Oxalis tuberosa), potato, and maize starches. Food Chem. 2019, 296, 116–122. [Google Scholar] [CrossRef]
- Wang, Q.; Zheng, Y.; Zhuang, W.; Lu, X.; Luo, X.; Zheng, B. Genome-wide transcriptional changes in type 2 diabetic mice supplemented with lotus seed resistant starch. Food Chem. 2018, 264, 427–434. [Google Scholar] [CrossRef] [PubMed]
- Nakthong, N.; Wongsagonsup, R.; Amornsakchai, T. Characteristics and potential utilizations of starch from pineapple stem waste. Ind. Crop. Prod. 2017, 105, 74–82. [Google Scholar] [CrossRef]
- Zhang, Y.; Li, B.; Xu, F.; He, S.; Zhang, Y.; Sun, L.; Zhu, K.; Li, S.; Wu, G.; Tan, L. Jackfruit starch: Composition, structure, functional properties, modifications and applications. Trends Food Sci. Technol. 2021, 107, 268–283. [Google Scholar] [CrossRef]
- Leloup, V.M.; Colonna, P.; Ring, S.G.; Roberts, K.; Wells, B. Microstructure of amylose gels. Carbohydr. Polym. 1992, 18, 189–197. [Google Scholar] [CrossRef]
- Pérez, S.; Bertoft, E. The molecular structures of starch components and their contribution to the architecture of starch granules: A comprehensive review. Starch-Stärke 2010, 62, 389–420. [Google Scholar] [CrossRef]
- Jiang, Z.; Neetoo, H.; Chen, H. Efficacy of freezing, frozen storage and edible antimicrobial coatings used in combination for control of Listeria monocytogenes on roasted turkey stored at chiller temperatures. Food Microbiol. 2011, 28, 1394–1401. [Google Scholar] [CrossRef] [PubMed]
- Neetoo, H.; Ye, M.; Chen, H. Bioactive alginate coatings to control Listeria monocytogenes on cold-smoked salmon slices and fillets. Int. J. Food Microbiol. 2010, 136, 326–331. [Google Scholar] [CrossRef] [PubMed]
- Zhu, F. Relationships between amylopectin internal molecular structure and physicochemical properties of starch. Trends Food Sci. Technol. 2018, 78, 234–242. [Google Scholar] [CrossRef]
- Singh, S.; Singh, N.; Isono, N.; Noda, T. Relationship of Granule Size Distribution and Amylopectin Structure with Pasting, Thermal, and Retrogradation Properties in Wheat Starch. J. Agric. Food Chem. 2010, 58, 1180–1188. [Google Scholar] [CrossRef] [PubMed]
- Kumar, N. Polysaccharide-based component and their relevance in edible film/coating: A review. Nutr. Food Sci. 2019, 49, 793–823. [Google Scholar] [CrossRef]
- Le Corre, D.; Bras, J.; Dufresne, A. Starch Nanoparticles: A Review. Biomacromolecules 2010, 11, 1139–1153. [Google Scholar] [CrossRef] [PubMed]
- Zhang, Y.; Li, B.; Zhang, Y.; Xu, F.; Zhu, K.; Li, S.; Tan, L.; Wu, G.; Dong, W. Effect of degree of polymerization of amylopectin on the gelatinization properties of jackfruit seed starch. Food Chem. 2019, 289, 152–159. [Google Scholar] [CrossRef] [PubMed]
- Sandford, P. Chitin and Chitosan: Commercial Uses and Potential Applications in Chitin and Chitosan: Sources, Chemistry, Biochemistry, Physical Properties and Applicaties; Skjak-braek, G., Anthonsen, T., Sandford, P., Eds.; Elsevier Applied Science: New York, NY, USA, 1989; pp. 51–69. [Google Scholar]
- Yen, M.-T.; Yang, J.-H.; Mau, J.-L. Physicochemical characterization of chitin and chitosan from crab shells. Carbohydr. Polym. 2009, 75, 15–21. [Google Scholar] [CrossRef]
- Wang, H.; Qian, J.; Ding, F. Emerging Chitosan-Based Films for Food Packaging Applications. J. Agric. Food Chem. 2018, 66, 395–413. [Google Scholar] [CrossRef] [PubMed]
- Szymańska, E.; Winnicka, K. Stability of Chitosan—A Challenge for Pharmaceutical and Biomedical Applications. Mar. Drugs 2015, 13, 1819–1846. [Google Scholar] [CrossRef] [PubMed]
- Jayakumar, R.; Menon, D.; Manzoor, K.; Nair, S.V.; Tamura, H. Biomedical applications of chitin and chitosan based nanomaterials—A short review. Carbohydr. Polym. 2010, 82, 227–232. [Google Scholar] [CrossRef]
- Homez-Jara, A.; Daza, L.D.; Aguirre, D.M.; Muñoz, J.A.; Solanilla, J.F.; Váquiro, H.A. Characterization of chitosan edible films obtained with various polymer concentrations and drying temperatures. Int. J. Biol. Macromol. 2018, 113, 1233–1240. [Google Scholar] [CrossRef] [PubMed]
- O’Callaghan, K.A.M.; Kerry, J.P. Preparation of low- and medium-molecular weight chitosan nanoparticles and their antimicrobial evaluation against a panel of microorganisms, including cheese-derived cultures. Food Control. 2016, 69, 256–261. [Google Scholar] [CrossRef]
- Divya, K.; Smitha, V.; Jisha, M.S. Antifungal, antioxidant and cytotoxic activities of chitosan nanoparticles and its use as an edible coating on vegetables. Int. J. Biol. Macromol. 2018, 114, 572–577. [Google Scholar] [CrossRef]
- Dutta, P.K.; Tripathi, S.; Mehrotra, G.K.; Dutta, J. Perspectives for chitosan based antimicrobial films in food applications. Food Chem. 2009, 114, 1173–1182. [Google Scholar] [CrossRef]
- Sahariah, P.; Másson, M. Antimicrobial Chitosan and Chitosan Derivatives: A Review of the Structure–Activity Relationship. Biomacromolecules 2017, 18, 3846–3868. [Google Scholar] [CrossRef] [PubMed]
- Pérez-Jiménez, J.; Saura-Calixto, F. Fruit peels as sources of non-extractable polyphenols or macromolecular antioxidants: Analysis and nutritional implications. Food Res. Int. 2018, 111, 148–152. [Google Scholar] [CrossRef]
- Abboud, K.Y.; Iacomini, M.; Simas, F.F.; Cordeiro, L.M.C. High methoxyl pectin from the soluble dietary fiber of passion fruit peel forms weak gel without the requirement of sugar addition. Carbohydr. Polym. 2020, 246, 116616. [Google Scholar] [CrossRef] [PubMed]
- Rodsamran, P.; Sothornvit, R. Microwave heating extraction of pectin from lime peel: Characterization and properties compared with the conventional heating method. Food Chem. 2019, 278, 364–372. [Google Scholar] [CrossRef] [PubMed]
- Nguyen, B.M.N.; Pirak, T. Physicochemical properties and antioxidant activities of white dragon fruit peel pectin extracted with conventional and ultrasound-assisted extraction. Cogent Food Agric. 2019, 5, 1633076. [Google Scholar] [CrossRef]
- Gharibzahedi, S.M.T.; Smith, B.; Guo, Y. Pectin extraction from common fig skin by different methods: The physicochemical, rheological, functional, and structural evaluations. Int. J. Biol. Macromol. 2019, 136, 275–283. [Google Scholar] [CrossRef] [PubMed]
- Wu, H.; Lei, Y.; Zhu, R.; Zhao, M.; Lu, J.; Xiao, D.; Jiao, C.; Zhang, Z.; Shen, G.; Li, S. Preparation and characterization of bioactive edible packaging films based on pomelo peel flours incorporating tea polyphenol. Food Hydrocoll. 2019, 90, 41–49. [Google Scholar] [CrossRef]
- Presentato, A.; Scurria, A.; Albanese, L.; Lino, C.; Sciortino, M.; Pagliaro, M.; Zabini, F.; Meneguzzo, F.; Alduina, R.; Nuzzo, D.; et al. Superior Antibacterial Activity of Integral Lemon Pectin Extracted via Hydrodynamic Cavitation. ChemistryOpen 2020, 9, 628–630. [Google Scholar] [CrossRef] [PubMed]
- Chen, X.; Qi, Y.; Zhu, C.; Wang, Q. Effect of ultrasound on the properties and antioxidant activity of hawthorn pectin. Int. J. Biol. Macromol. 2019, 131, 273–281. [Google Scholar] [CrossRef] [PubMed]
- Muñoz-Almagro, N.; Prodanov, M.; Wilde, P.J.; Villamiel, M.; Montilla, A. Obtainment and characterisation of pectin from sunflower heads purified by membrane separation techniques. Food Chem. 2020, 318, 126476. [Google Scholar] [CrossRef] [PubMed]
- Chen, J. Extraction and Physicochemical Characterization of Pectins from some Special Resources and the Mechanism of Pectin Degradation Induced by Dynamic High Pressure Microfluidization. Ph.D. Thesis, Nanchang University, Nanchang, China, 2013. [Google Scholar]
- Mostafavi, F.S.; Zaeim, D. Agar-based edible films for food packaging applications—A review. Int. J. Biol. Macromol. 2020, 159, 1165–1176. [Google Scholar] [CrossRef]
- Tavassoli-Kafrani, E.; Shekarchizadeh, H.; Masoudpour-Behabadi, M. Development of edible films and coatings from alginates and carrageenans. Carbohydr. Polym. 2016, 137, 360–374. [Google Scholar] [CrossRef]
- Nieto, M.B. Structure and Function of Polysaccharide Gum-Based Edible Films and Coatings. In Edible Films and Coatings for Food Applications; Huber, K., Embuscado, M., Eds.; Springer: New York, NY, USA, 2009; pp. 57–112. [Google Scholar]
- Ciriminna, R.; Fidalgo, A.; Meneguzzo, F.; Presentato, A.; Scurria, A.; Nuzzo, D.; Alduina, R.; Ilharco, L.M.; Pagliaro, M. Pectin: A Long-Neglected Broad-Spectrum Antibacterial. ChemMedChem 2020, 15, 2228–2235. [Google Scholar] [CrossRef] [PubMed]
- Martinov, J.; Krstić, M.; Spasić, S.; Miletić, S.; Stefanović-Kojić, J.; Nikolić-Kokić, A.; Blagojević, D.; Spasojević, I.; Spasić, M.B. Apple pectin-derived oligosaccharides produce carbon dioxide radical anion in Fenton reaction and prevent growth of Escherichia coli and Staphylococcus aureus. Food Res. Int. 2017, 100, 132–136. [Google Scholar] [CrossRef] [Green Version]
- Senturk Parreidt, T.; Müller, K.; Schmid, M. Alginate-Based Edible Films and Coatings for Food Packaging Applications. Foods 2018, 7, 170. [Google Scholar] [CrossRef] [Green Version]
- Kloareg, B.; Quatrano, R.S. Structure of the cell walls of marine algae and ecophysiological functions of the matrix polysaccharides. Oceanogr. Mar. Biol. Annu. Rev. 1988, 26, 259–315. [Google Scholar]
- Abraham, R.E.; Su, P.; Puri, M.; Raston, C.L.; Zhang, W. Optimisation of biorefinery production of alginate, fucoidan and laminarin from brown seaweed Durvillaea potatorum. Algal Res. 2019, 38, 101389. [Google Scholar] [CrossRef]
- Comaposada, J.; Marcos, B.; Bou, R.; Gou, P. Influence of surfactants and proteins on the properties of wet edible calcium alginate meat coatings. Food Res. Int. 2018, 108, 539–550. [Google Scholar] [CrossRef]
- Costa, M.J.; Marques, A.M.; Pastrana, L.M.; Teixeira, J.A.; Sillankorva, S.M.; Cerqueira, M.A. Physicochemical properties of alginate-based films: Effect of ionic crosslinking and mannuronic and guluronic acid ratio. Food Hydrocoll. 2018, 81, 442–448. [Google Scholar] [CrossRef] [Green Version]
- Delattre, C.; Fenoradosoa, T.A.; Michaud, P. Galactans: An overview of their most important sourcing and applications as natural polysaccharides. Braz. Arch. Biol. Technol. 2011, 54, 1075–1092. [Google Scholar] [CrossRef] [Green Version]
- Armisén, R.; Gaiatas, F. 4-Agar. In Handbook of Hydrocolloids, 2nd ed.; Phillips, G.O., Williams, P.A., Eds.; Woodhead Publishing: Sawston, UK, 2009. [Google Scholar] [CrossRef]
- Janjarasskul, T.; Krochta, J.M. Edible Packaging Materials. Annu. Rev. Food Sci. Technol. 2010, 1, 415–448. [Google Scholar] [CrossRef] [PubMed]
- Gordobil, O.; Egüés, I.; Urruzola, I.; Labidi, J. Xylan–cellulose films: Improvement of hydrophobicity, thermal and mechanical properties. Carbohydr. Polym. 2014, 112, 56–62. [Google Scholar] [CrossRef] [PubMed]
- Otoni, C.G.; Lorevice, M.V.; Moura, M.R.d.; Mattoso, L.H.C. On the effects of hydroxyl substitution degree and molecular weight on mechanical and water barrier properties of hydroxypropyl methylcellulose films. Carbohydr. Polym. 2018, 185, 105–111. [Google Scholar] [CrossRef] [Green Version]
- Fonseca-Florido, H.A.; Soriano-Corral, F.; Yañez-Macías, R.; González-Morones, P.; Hernández-Rodríguez, F.; Aguirre-Zurita, J.; Ávila-Orta, C.; Rodríguez-Velázquez, J. Effects of multiphase transitions and reactive extrusion on in situ thermoplasticization/succination of cassava starch. Carbohydr. Polym. 2019, 225, 115250. [Google Scholar] [CrossRef]
- Li, S.; Xiong, Q.; Lai, X.; Li, X.; Wan, M.; Zhang, J.; Yan, Y.; Cao, M.; Lu, L.; Guan, J.; et al. Molecular Modification of Polysaccharides and Resulting Bioactivities. Compr. Rev. Food Sci. Food Saf. 2016, 15, 237–250. [Google Scholar] [CrossRef] [Green Version]
- Cumpstey, I. Chemical Modification of Polysaccharides. ISRN Org. Chem. 2013, 2013, 417672. [Google Scholar] [CrossRef]
- Mikkonen, K.S.; Laine, C.; Kontro, I.; Talja, R.A.; Serimaa, R.; Tenkanen, M. Combination of internal and external plasticization of hydroxypropylated birch xylan tailors the properties of sustainable barrier films. Eur. Polym. J. 2015, 66, 307–318. [Google Scholar] [CrossRef]
- Garavand, F.; Rouhi, M.; Razavi, S.H.; Cacciotti, I.; Mohammadi, R. Improving the integrity of natural biopolymer films used in food packaging by crosslinking approach: A review. Int. J. Biol. Macromol. 2017, 104, 687–707. [Google Scholar] [CrossRef]
- Tan, W.; Zhang, J.; Zhao, X.; Li, Q.; Dong, F.; Guo, Z. Preparation and physicochemical properties of antioxidant chitosan ascorbate/methylcellulose composite films. Int. J. Biol. Macromol. 2020, 146, 53–61. [Google Scholar] [CrossRef] [PubMed]
- Yu, S.-H.; Tsai, M.-L.; Lin, B.-X.; Lin, C.-W.; Mi, F.-L. Tea catechins-cross-linked methylcellulose active films for inhibition of light irradiation and lipid peroxidation induced β-carotene degradation. Food Hydrocoll. 2015, 44, 491–505. [Google Scholar] [CrossRef]
- da Silva Filipini, G.; Romani, V.P.; Guimarães Martins, V. Blending collagen, methylcellulose, and whey protein in films as a greener alternative for food packaging: Physicochemical and biodegradable properties. Packag. Technol. Sci. 2021, 34, 91–103. [Google Scholar] [CrossRef]
- Zheng, H.; Zhang, G.; Zhuang, C.; Yang, T.; Zheng, Y.; Zheng, C.; Zhong, Y. Effects of Different Substrates on the Properties of Edible Films for Oily Foods. Food Res. Dev. 2018, 39, 18–23. [Google Scholar] [CrossRef]
- Mohammadi, M.; Azizi, M.H.; Zoghi, A. Antimicrobial activity of carboxymethyl cellulose-gelatin film containing Dianthus barbatus essential oil against aflatoxin-producing molds. Food Sci. Nutr. 2020, 8, 1244–1253. [Google Scholar] [CrossRef] [PubMed] [Green Version]
- Martelli, S.M.; Motta, C.; Caon, T.; Alberton, J.; Bellettini, I.C.; do Prado, A.C.P.; Barreto, P.L.M.; Soldi, V. Edible carboxymethyl cellulose films containing natural antioxidant and surfactants: α-tocopherol stability, in vitro release and film properties. LWT 2017, 77, 21–29. [Google Scholar] [CrossRef]
- Ballesteros, L.F.; Cerqueira, M.A.; Teixeira, J.A.; Mussatto, S.I. Production and physicochemical properties of carboxymethyl cellulose films enriched with spent coffee grounds polysaccharides. Int. J. Biol. Macromol. 2018, 106, 647–655. [Google Scholar] [CrossRef] [Green Version]
- Francisco, C.B.; Pellá, M.G.; Silva, O.A.; Raimundo, K.F.; Caetano, J.; Linde, G.A.; Colauto, N.B.; Dragunski, D.C. Shelf-life of guavas coated with biodegradable starch and cellulose-based films. Int. J. Biol. Macromol. 2020, 152, 272–279. [Google Scholar] [CrossRef]
- Zhai, X.; Qin, Y.; Lu, H.; Dai, Y.; Zhang, H.; Wang, W.; Hou, H.; Chen, N. Preparation and Properties of Edible Films of High-Amylose Corn Starch/HPMC (Hydroxypropyl Methylcellulose). J. Chin. Cereals Oils Assoc. 2019, 34, 33–38. [Google Scholar]
- Rhimi, W.; Boulila, A.; Gheribi, R.; Khwaldia, K. Development, characterization and application of hydroxypropylmethylcellulose films enriched with cypress seed extract. Rsc Adv. 2018, 8, 23615–23622. [Google Scholar] [CrossRef] [Green Version]
- Dou, Y.; Zhang, L.; Zhang, B.; He, M.; Shi, W.; Yang, S.; Cui, Y.; Yin, G. Preparation and Characterization of Edible Dialdehyde Carboxymethyl Cellulose Crosslinked Feather Keratin Films for Food Packaging. Polymers 2020, 12, 158. [Google Scholar] [CrossRef] [Green Version]
- Salmieri, S.; Khan, R.A.; Safrany, A.; Lacroix, M. Gamma rays-induced 2-hydroxyethyl methacrylate graft copolymerization on methylcellulose-based films: Structure analysis and physicochemical properties. Ind. Crop. Prod. 2015, 70, 64–71. [Google Scholar] [CrossRef]
- Ramos, A.; Sousa, S.; Evtuguin, D.V.; Gamelas, J.A.F. Functionalized xylans in the production of xylan-coated paper laminates. React. Funct. Polym. 2017, 117, 89–96. [Google Scholar] [CrossRef]
- Pereira, P.H.F.; Waldron, K.W.; Wilson, D.R.; Cunha, A.P.; Brito, E.S.d.; Rodrigues, T.H.S.; Rosa, M.F.; Azeredo, H.M.C. Wheat straw hemicelluloses added with cellulose nanocrystals and citric acid. Effect on film physical properties. Carbohydr. Polym. 2017, 164, 317–324. [Google Scholar] [CrossRef] [Green Version]
- Milotskyi, R.; Bliard, C.; Tusseau, D.; Benoit, C. Starch carboxymethylation by reactive extrusion: Reaction kinetics and structure analysis. Carbohydr. Polym. 2018, 194, 193–199. [Google Scholar] [CrossRef] [PubMed]
- Woggum, T.; Sirivongpaisal, P.; Wittaya, T. Characteristics and properties of hydroxypropylated rice starch based biodegradable films. Food Hydrocoll. 2015, 50, 54–64. [Google Scholar] [CrossRef]
- Ojogbo, E.; Blanchard, R.; Mekonnen, T. Hydrophobic and Melt Processable Starch-Laurate Esters: Synthesis, Structure–Property Correlations. J. Polym. Sci. Part A: Polym. Chem. 2018, 56, 2611–2622. [Google Scholar] [CrossRef]
- Blohm, S.; Heinze, T. Synthesis and properties of thermoplastic starch laurates. Carbohydr. Res. 2019, 486, 107833. [Google Scholar] [CrossRef]
- Wilpiszewska, K.; Antosik, A.K.; Zdanowicz, M. The Effect of Citric Acid on Physicochemical Properties of Hydrophilic Carboxymethyl Starch-Based Films. J. Polym. Environ. 2019, 27, 1379–1387. [Google Scholar] [CrossRef] [Green Version]
- Yıldırım-Yalçın, M.; Şeker, M.; Sadıkoğlu, H. Development and characterization of edible films based on modified corn starch and grape juice. Food Chem. 2019, 292, 6–13. [Google Scholar] [CrossRef] [PubMed]
- Tan, W.; Li, Q.; Wang, H.; Liu, Y.; Zhang, J.; Dong, F.; Guo, Z. Synthesis, characterization, and antibacterial property of novel starch derivatives with 1,2,3-triazole. Carbohydr. Polym. 2016, 142, 1–7. [Google Scholar] [CrossRef] [PubMed]
- Suriyatem, R.; Auras, R.A.; Rachtanapun, P. Improvement of mechanical properties and thermal stability of biodegradable rice starch–based films blended with carboxymethyl chitosan. Ind. Crop. Prod. 2018, 122, 37–48. [Google Scholar] [CrossRef]
- Tan, W.; Dong, F.; Zhang, J.; Zhao, X.; Li, Q.; Guo, Z. Physical and Antioxidant Properties of Edible Chitosan Ascorbate Films. J. Agric. Food Chem. 2019, 67, 2530–2539. [Google Scholar] [CrossRef] [PubMed]
- Cao, M.; Liu, X.; Luan, J.; Zhang, X. Characterization of physicochemical properties of carboxymethyl agar. Carbohydr. Polym. 2014, 111, 449–455. [Google Scholar] [CrossRef]
- Šešlija, S.; Nešić, A.; Škorić, M.L.; Krušić, M.K.; Santagata, G.; Malinconico, M. Pectin/Carboxymethylcellulose Films as a Potential Food Packaging Material. Macromol. Symp. 2018, 378, 1600163. [Google Scholar] [CrossRef]
- Ling, X.; Yang, C.; Ning, J. Research progress in modification of cellulose and application. J. Text. Sci. Eng. 2020, 37, 60–85. [Google Scholar]
- Dias, M.V.; de Medeiros, H.S.; Soares, N.d.F.F.; Melo, N.R.d.; Borges, S.V.; Carneiro, J.d.D.S.; Pereira, J.M.T.d.A.K. Development of low-density polyethylene films with lemon aroma. LWT Food Sci. Technol. 2013, 50, 167–171. [Google Scholar] [CrossRef] [Green Version]
- Bastarrachea, L.; Dhawan, S.; Sablani, S.S. Engineering Properties of Polymeric-Based Antimicrobial Films for Food Packaging: A Review. Food Eng. Rev. 2011, 3, 79–93. [Google Scholar] [CrossRef]
- Shah, U.; Naqash, F.; Gani, A.; Masoodi, F.A. Art and Science behind Modified Starch Edible Films and Coatings: A Review. Compr. Rev. Food Sci. Food Saf. 2016, 15, 568–580. [Google Scholar] [CrossRef] [PubMed]
- Liu, C.; Qin, S.; Xie, J.; Lin, X.; Zheng, Y.; Yang, J.; Kan, H.; Shi, Z. Using Carboxymethyl Cellulose as the Additive With Enzyme-Catalyzed Carboxylated Starch to Prepare the Film With Enhanced Mechanical and Hydrophobic Properties. Front. Bioeng. Biotechnol. 2021, 9, 638546. [Google Scholar] [CrossRef]
- Gurgel de Carvalho, L.G.; do Nascimento Marques, N.; da Silva Fernandes, R.; Villetti, M.A.; Men de Sá Moreira de Souza, F.; de Carvalho Balaban, R. Effect of Starch Laurate Addition on the Properties of Mango Kernel Starch Films. Materials Research. Mater. Res. 2021, 24, e20200331. [Google Scholar] [CrossRef]
- Li, J.; Ye, F.; Liu, J.; Zhao, G. Effects of octenylsuccination on physical, mechanical and moisture-proof properties of stretchable sweet potato starch film. Food Hydrocoll. 2015, 46, 226–232. [Google Scholar] [CrossRef]
- Guo, L.-Y.; Lu, H.-Q.; Rackemann, D.; Shi, C.; Li, W.; Li, K.; Doherty, W.O.S. Quaternary ammonium-functionalized magnetic chitosan microspheres as an effective green adsorbent to remove high-molecular-weight invert sugar alkaline degradation products (HISADPs). Chem. Eng. J. 2021, 416, 129084. [Google Scholar] [CrossRef]
- Anitha, A.; Divya Rani, V.V.; Krishna, R.; Sreeja, V.; Selvamurugan, N.; Nair, S.V.; Tamura, H.; Jayakumar, R. Synthesis, characterization, cytotoxicity and antibacterial studies of chitosan, O-carboxymethyl and N,O-carboxymethyl chitosan nanoparticles. Carbohydr. Polym. 2009, 78, 672–677. [Google Scholar] [CrossRef]
- Tang, R.; Zhang, Y.; Zhang, Y.; Yu, Z. Synthesis and characterization of chitosan based dye containing quaternary ammonium group. Carbohydr. Polym. 2016, 139, 191–196. [Google Scholar] [CrossRef] [PubMed]
- Zhu, X.; Wu, H.; Yang, J.; Tong, J.; Yi, J.; Hu, Z.; Hu, J.; Wang, T.; Fan, L. Antibacterial activity of chitosan grafting nisin: Preparation and characterization. React. Funct. Polym. 2015, 91–92, 71–76. [Google Scholar] [CrossRef]
- Li, Q.; Mi, Y.; Tan, W.; Guo, Z. Highly efficient free radical-scavenging property of phenolic-functionalized chitosan derivatives: Chemical modification and activity assessment. Int. J. Biol. Macromol. 2020, 164, 4279–4288. [Google Scholar] [CrossRef]
- Tan, W.; Zhang, J.; Zhao, X.; Dong, F.; Li, Q.; Guo, Z. Synthesis and antioxidant action of chitosan derivatives with amino-containing groups via azide-alkyne click reaction and N-methylation. Carbohydr. Polym. 2018, 199, 583–592. [Google Scholar] [CrossRef] [PubMed]
- Wu, C.; Li, Y.; Du, Y.; Wang, L.; Tong, C.; Hu, Y.; Pang, J.; Yan, Z. Preparation and characterization of konjac glucomannan-based bionanocomposite film for active food packaging. Food Hydrocoll. 2019, 89, 682–690. [Google Scholar] [CrossRef]
- Chen, J.; Liu, W.; Liu, C.-M.; Li, T.; Liang, R.-H.; Luo, S.-J. Pectin Modifications: A Review. Crit. Rev. Food Sci. Nutr. 2015, 55, 1684–1698. [Google Scholar] [CrossRef]
- Turgeon, S.L.; Beaulieu, M.; Schmitt, C.; Sanchez, C. Protein–polysaccharide interactions: Phase-ordering kinetics, thermodynamic and structural aspects. Curr. Opin. Colloid Interface Sci. 2003, 8, 401–414. [Google Scholar] [CrossRef]
- Ye, A. Complexation between milk proteins and polysaccharides via electrostatic interaction: Principles and applications—A review. Int. J. Food Sci. Technol. 2008, 43, 406–415. [Google Scholar] [CrossRef]
- Wu, Y.; Weller, C.L.; Hamouz, F.; Cuppett, S.L.; Schnepf, M. Development and application of multicomponent edible coatings and films: A review. In Advances in Food and Nutrition Research; Academic Press: Cambridge, MA, USA, 2002; Volume 44, pp. 347–394. [Google Scholar]
- Alizadeh Sani, M.; Ehsani, A.; Hashemi, M. Whey protein isolate/cellulose nanofibre/TiO2 nanoparticle/rosemary essential oil nanocomposite film: Its effect on microbial and sensory quality of lamb meat and growth of common foodborne pathogenic bacteria during refrigeration. Int. J. Food Microbiol. 2017, 251, 8–14. [Google Scholar] [CrossRef]
- Silva-Weiss, A.; Quilaqueo, M.; Venegas, O.; Ahumada, M.; Silva, W.; Osorio, F.; Giménez, B. Design of dipalmitoyl lecithin liposomes loaded with quercetin and rutin and their release kinetics from carboxymethyl cellulose edible films. J. Food Eng. 2018, 224, 165–173. [Google Scholar] [CrossRef]
- Mugwagwa, L.R.; Chimphango, A.F.A. Enhancing the functional properties of acetylated hemicellulose films for active food packaging using acetylated nanocellulose reinforcement and polycaprolactone coating. Food Packag. Shelf Life 2020, 24, 100481. [Google Scholar] [CrossRef]
- Wang, L.; Lin, L.; Chen, X.; Tong, C.; Pang, J. Synthesis and characteristics of konjac glucomannan films incorporated with functionalized microcrystalline cellulose. Colloids Surf. A: Physicochem. Eng. Asp. 2019, 563, 237–245. [Google Scholar] [CrossRef]
- Wang, L.; Mu, R.-J.; Li, Y.; Lin, L.; Lin, Z.; Pang, J. Characterization and antibacterial activity evaluation of curcumin loaded konjac glucomannan and zein nanofibril films. LWT 2019, 113, 108293. [Google Scholar] [CrossRef]
- Lei, Y.; Wu, H.; Jiao, C.; Jiang, Y.; Liu, R.; Xiao, D.; Lu, J.; Zhang, Z.; Shen, G.; Li, S. Investigation of the structural and physical properties, antioxidant and antimicrobial activity of pectin-konjac glucomannan composite edible films incorporated with tea polyphenol. Food Hydrocoll. 2019, 94, 128–135. [Google Scholar] [CrossRef]
- Du, Y.; Wang, L.; Mu, R.; Wang, Y.; Li, Y.; Wu, D.; Wu, C.; Pang, J. Fabrication of novel Konjac glucomannan/shellac film with advanced functions for food packaging. Int. J. Biol. Macromol. 2019, 131, 36–42. [Google Scholar] [CrossRef]
- Wilpiszewska, K.; Antosik, A.K.; Schmidt, B.; Janik, J.; Rokicka, J. Hydrophilic Films Based on Carboxymethylated Derivatives of Starch and Cellulose. Polymers 2020, 12, 2447. [Google Scholar] [CrossRef] [PubMed]
- Lopez, O.; Garcia, M.A.; Villar, M.A.; Gentili, A.; Rodriguez, M.S.; Albertengo, L. Thermo-compression of biodegradable thermoplastic corn starch films containing chitin and chitosan. LWT Food Sci. Technol. 2014, 57, 106–115. [Google Scholar] [CrossRef]
- Ali, A.; Chen, Y.; Liu, H.; Yu, L.; Baloch, Z.; Khalid, S.; Zhu, J.; Chen, L. Starch-based antimicrobial films functionalized by pomegranate peel. Int. J. Biol. Macromol. 2019, 129, 1120–1126. [Google Scholar] [CrossRef] [PubMed]
- Zimet, P.; Mombrú, Á.W.; Mombrú, D.; Castro, A.; Villanueva, J.P.; Pardo, H.; Rufo, C. Physico-chemical and antilisterial properties of nisin-incorporated chitosan/carboxymethyl chitosan films. Carbohydr. Polym. 2019, 219, 334–343. [Google Scholar] [CrossRef]
- Badawy, M.E.I.; Rabea, E.I.; El-Nouby, M.; Ismail, R.I.A.; Taktak, N.E.M. Strawberry Shelf Life, Composition, and Enzymes Activity in Response to Edible Chitosan Coatings. Int. J. Fruit Sci. 2017, 17, 117–136. [Google Scholar] [CrossRef]
- Siripatrawan, U.; Vitchayakitti, W. Improving functional properties of chitosan films as active food packaging by incorporating with propolis. Food Hydrocoll. 2016, 61, 695–702. [Google Scholar] [CrossRef]
- Oun, A.A.; Rhim, J.-W. Effect of post-treatments and concentration of cotton linter cellulose nanocrystals on the properties of agar-based nanocomposite films. Carbohydr. Polym. 2015, 134, 20–29. [Google Scholar] [CrossRef] [PubMed]
- Cao, Q.; Zhang, Y.; Chen, W.; Meng, X.; Liu, B. Hydrophobicity and physicochemical properties of agarose film as affected by chitosan addition. Int. J. Biol. Macromol. 2018, 106, 1307–1313. [Google Scholar] [CrossRef]
- Rai, S.K.; Chaturvedi, K.; Yadav, S.K. Evaluation of structural integrity and functionality of commercial pectin based edible films incorporated with corn flour, beetroot, orange peel, muesli and rice flour. Food Hydrocoll. 2019, 91, 127–135. [Google Scholar] [CrossRef]
- Baron, R.D.; Pérez, L.L.; Salcedo, J.M.; Córdoba, L.P.; Sobral, P.J.d.A. Production and characterization of films based on blends of chitosan from blue crab (Callinectes sapidus) waste and pectin from Orange (Citrus sinensis Osbeck) peel. Int. J. Biol. Macromol. 2017, 98, 676–683. [Google Scholar] [CrossRef]
- Mostafavi, F.S.; Kadkhodaee, R.; Emadzadeh, B.; Koocheki, A. Preparation and characterization of tragacanth–locust bean gum edible blend films. Carbohydr. Polym. 2016, 139, 20–27. [Google Scholar] [CrossRef]
- Eghbal, N.; Yarmand, M.S.; Mousavi, M.; Degraeve, P.; Oulahal, N.; Gharsallaoui, A. Complex coacervation for the development of composite edible films based on LM pectin and sodium caseinate. Carbohydr. Polym. 2016, 151, 947–956. [Google Scholar] [CrossRef]
- Eghbal, N.; Degraeve, P.; Oulahal, N.; Yarmand, M.S.; Mousavi, M.E.; Gharsallaoui, A. Low methoxyl pectin/sodium caseinate interactions and composite film formation at neutral pH. Food Hydrocoll. 2017, 69, 132–140. [Google Scholar] [CrossRef]
- Hashemi, S.M.B.; Mousavi Khaneghah, A.; Ghaderi Ghahfarrokhi, M.; Eş, I. Basil-seed gum containing Origanum vulgare subsp. viride essential oil as edible coating for fresh cut apricots. Postharvest Biol. Technol. 2017, 125, 26–34. [Google Scholar] [CrossRef]
- da Rocha, M.; Alemán, A.; Romani, V.P.; López-Caballero, M.E.; Gómez-Guillén, M.C.; Montero, P.; Prentice, C. Effects of agar films incorporated with fish protein hydrolysate or clove essential oil on flounder (Paralichthys orbignyanus) fillets shelf-life. Food Hydrocoll. 2018, 81, 351–363. [Google Scholar] [CrossRef] [Green Version]
- Rincón, E.; Serrano, L.; Balu, A.M.; Aguilar, J.J.; Luque, R.; García, A. Effect of Bay Leaves Essential Oil Concentration on the Properties of Biodegradable Carboxymethyl Cellulose-Based Edible Films. Materials 2019, 12, 2356. [Google Scholar] [CrossRef] [PubMed] [Green Version]
- Moreno, O.; Atarés, L.; Chiralt, A.; Cruz-Romero, M.C.; Kerry, J. Starch-gelatin antimicrobial packaging materials to extend the shelf life of chicken breast fillets. LWT 2018, 97, 483–490. [Google Scholar] [CrossRef]
- Panrong, T.; Karbowiak, T.; Harnkarnsujarit, N. Thermoplastic starch and green tea blends with LLDPE films for active packaging of meat and oil-based products. Food Packag. Shelf Life 2019, 21, 100331. [Google Scholar] [CrossRef]
- Rambabu, K.; Bharath, G.; Banat, F.; Show, P.L.; Cocoletzi, H.H. Mango leaf extract incorporated chitosan antioxidant film for active food packaging. Int. J. Biol. Macromol. 2019, 126, 1234–1243. [Google Scholar] [CrossRef]
- Souza, V.G.L.; Pires, J.R.A.; Rodrigues, C.; Coelhoso, I.M.; Fernando, A.L. Chitosan Composites in Packaging Industry—Current Trends and Future Challenges. Polymers 2020, 12, 417. [Google Scholar] [CrossRef] [PubMed] [Green Version]
- Shankar, S.; Rhim, J.-W. Preparation of nanocellulose from micro-crystalline cellulose: The effect on the performance and properties of agar-based composite films. Carbohydr. Polym. 2016, 135, 18–26. [Google Scholar] [CrossRef]
- Phan The, D.; Debeaufort, F.; Voilley, A.; Luu, D. Biopolymer interactions affect the functional properties of edible films based on agar, cassava starch and arabinoxylan blends. J. Food Eng. 2009, 90, 548–558. [Google Scholar] [CrossRef]
- Fekete, E.; Bella, É.; Csiszár, E.; Móczó, J. Improving physical properties and retrogradation of thermoplastic starch by incorporating agar. Int. J. Biol. Macromol. 2019, 136, 1026–1033. [Google Scholar] [CrossRef] [PubMed] [Green Version]
- Liu, K.; Lin, X.; Chen, L.; Huang, L.; Cao, S. Dual-functional chitosan–methylisothiazolinone/microfibrillated cellulose biocomposites for enhancing antibacterial and mechanical properties of agar films. Cellulose 2014, 21, 519–528. [Google Scholar] [CrossRef]
- Sousa, A.M.M.; Gonçalves, M.P. Strategies to improve the mechanical strength and water resistance of agar films for food packaging applications. Carbohydr. Polym. 2015, 132, 196–204. [Google Scholar] [CrossRef]
- Luangtana-anan, M.; Soradech, S.; Saengsod, S.; Nunthanid, J.; Limmatvapirat, S. Enhancement of Moisture Protective Properties and Stability of Pectin through Formation of a Composite Film: Effects of Shellac and Plasticizer. J. Food Sci. 2017, 82, 2915–2925. [Google Scholar] [CrossRef]
- Pérez-Gago, M.B.; Rhim, J.-W. Chapter 13—Edible Coating and Film Materials: Lipid Bilayers and Lipid Emulsions. In Innovations in Food Packaging, 2nd ed; Han, J.H., Ed.; Academic Press: San Diego, CA, USA, 2014. [Google Scholar] [CrossRef]
- Galus, S.; Kadzińska, J. Food applications of emulsion-based edible films and coatings. Trends Food Sci. Technol. 2015, 45, 273–283. [Google Scholar] [CrossRef]
- Zhang, R.; Wang, W.; Zhang, H.; Dai, Y.; Dong, H.; Hou, H. Effects of hydrophobic agents on the physicochemical properties of edible agar/maltodextrin films. Food Hydrocoll. 2019, 88, 283–290. [Google Scholar] [CrossRef]
- Nisar, T.; Wang, Z.-C.; Yang, X.; Tian, Y.; Iqbal, M.; Guo, Y. Characterization of citrus pectin films integrated with clove bud essential oil: Physical, thermal, barrier, antioxidant and antibacterial properties. Int. J. Biol. Macromol. 2018, 106, 670–680. [Google Scholar] [CrossRef]
- López de Lacey, A.M.; López-Caballero, M.E.; Montero, P. Agar films containing green tea extract and probiotic bacteria for extending fish shelf-life. LWT Food Sci. Technol. 2014, 55, 559–564. [Google Scholar] [CrossRef]
- Yan, Y.; Duan, S.; Zhang, H.; Liu, Y.; Li, C.; Hu, B.; Liu, A.; Wu, D.; He, J.; Wu, W. Preparation and characterization of Konjac glucomannan and pullulan composite films for strawberry preservation. Carbohydr. Polym. 2020, 243, 116446. [Google Scholar] [CrossRef]
- Guerra, I.C.D.; de Oliveira, P.D.L.; Santos, M.M.F.; Lúcio, A.S.S.C.; Tavares, J.F.; Barbosa-Filho, J.M.; Madruga, M.S.; de Souza, E.L. The effects of composite coatings containing chitosan and Mentha (piperita L. or x villosa Huds) essential oil on postharvest mold occurrence and quality of table grape cv. Isabella. Innov. Food Sci. Emerg. Technol. 2016, 34, 112–121. [Google Scholar] [CrossRef]
- Thakur, R.; Pristijono, P.; Bowyer, M.; Singh, S.P.; Scarlett, C.J.; Stathopoulos, C.E.; Vuong, Q.V. A starch edible surface coating delays banana fruit ripening. LWT 2019, 100, 341–347. [Google Scholar] [CrossRef] [Green Version]
- Pan, T.; Shi, T.; Wen, D.; Yan, G. Study on Preservation of Cherry Tomato by Konjac Glucomannan Composite Coating Solution. Food Ind. 2020, 41, 60–63. [Google Scholar]
- Hashemi, S.M.B.; Jafarpour, D. The efficacy of edible film from Konjac glucomannan and saffron petal extract to improve shelf life of fresh-cut cucumber. Food Sci. Nutr. 2020, 8, 3128–3137. [Google Scholar] [CrossRef] [PubMed]
- Go, E.-J.; Song, K.B. Antioxidant Properties of Rye Starch Films Containing Rosehip Extract and Their Application in Packaging of Chicken Breast. Starch-Stärke 2019, 71, 1900116. [Google Scholar] [CrossRef]
- Qin, Y.; Liu, Y.; Yong, H.; Liu, J.; Zhang, X.; Liu, J. Preparation and characterization of active and intelligent packaging films based on cassava starch and anthocyanins from Lycium ruthenicum Murr. Int. J. Biol. Macromol. 2019, 134, 80–90. [Google Scholar] [CrossRef] [PubMed]
- Dini, H.; Fallah, A.A.; Bonyadian, M.; Abbasvali, M.; Soleimani, M. Effect of edible composite film based on chitosan and cumin essential oil-loaded nanoemulsion combined with low-dose gamma irradiation on microbiological safety and quality of beef loins during refrigerated storage. Int. J. Biol. Macromol. 2020, 164, 1501–1509. [Google Scholar] [CrossRef] [PubMed]
- Carocho, M.; Heleno, S.; Rodrigues, P.; Barreiro, M.F.; Barros, L.; Ferreira, I.C.F.R. A novel natural coating for food preservation: Effectiveness on microbial growth and physicochemical parameters. LWT 2019, 104, 76–83. [Google Scholar] [CrossRef] [Green Version]
- Kalem, I.K.; Bhat, Z.F.; Kumar, S.; Wang, L.; Mudiyanselage, R.J.; Bhat, H.F. Tinospora cordifolia: A novel bioactive ingredient for edible films for improved lipid oxidative and microbial stability of meat products. J. Food Process. Preserv. 2018, 42, e13774. [Google Scholar] [CrossRef]
- Rodsamran, P.; Sothornvit, R. Lime peel pectin integrated with coconut water and lime peel extract as a new bioactive film sachet to retard soybean oil oxidation. Food Hydrocoll. 2019, 97, 105173. [Google Scholar] [CrossRef]
- Baek, S.-K.; Kim, S.; Song, K.B. Cowpea starch films containing maqui berry extract and their application in salmon packaging. Food Packag. Shelf Life 2019, 22, 100394. [Google Scholar] [CrossRef]
- Gharibzahedi, S.M.T.; Mohammadnabi, S. Effect of novel bioactive edible coatings based on jujube gum and nettle oil-loaded nanoemulsions on the shelf-life of Beluga sturgeon fillets. Int. J. Biol. Macromol. 2017, 95, 769–777. [Google Scholar] [CrossRef]
- Alotaibi, S.; Tahergorabi, R. Development of a sweet potato starch-based coating and its effect on quality attributes of shrimp during refrigerated storage. LWT 2018, 88, 203–209. [Google Scholar] [CrossRef]
- Yu, Z.; Sun, L.; Wang, W.; Zeng, W.; Mustapha, A.; Lin, M. Soy protein-based films incorporated with cellulose nanocrystals and pine needle extract for active packaging. Ind. Crop. Prod. 2018, 112, 412–419. [Google Scholar] [CrossRef]
- Xie, B.; Zhang, X.; Luo, X.; Wang, Y.; Li, Y.; Li, B.; Liu, S. Edible coating based on beeswax-in-water Pickering emulsion stabilized by cellulose nanofibrils and carboxymethyl chitosan. Food Chem. 2020, 331, 127108. [Google Scholar] [CrossRef] [PubMed]
- Zhao, Y.; Teixeira, J.S.; Saldaña, M.D.A.; Gänzle, M.G. Antimicrobial activity of bioactive starch packaging films against Listeria monocytogenes and reconstituted meat microbiota on ham. Int. J. Food Microbiol. 2019, 305, 108253. [Google Scholar] [CrossRef]
- Volpe, V.; De Feo, G.; De Marco, I.; Pantani, R. Use of sunflower seed fried oil as an ecofriendly plasticizer for starch and application of this thermoplastic starch as a filler for PLA. Ind. Crop. Prod. 2018, 122, 545–552. [Google Scholar] [CrossRef]
- Meng, L.; Liu, H.; Yu, L.; Duan, Q.; Chen, L.; Liu, F.; Shao, Z.; Shi, K.; Lin, X. How water acting as both blowing agent and plasticizer affect on starch-based foam. Ind. Crop. Prod. 2019, 134, 43–49. [Google Scholar] [CrossRef]
- Perdones, Á.; Escriche, I.; Chiralt, A.; Vargas, M. Effect of chitosan–lemon essential oil coatings on volatile profile of strawberries during storage. Food Chem. 2016, 197, 979–986. [Google Scholar] [CrossRef]
- Duran, M.; Aday, M.S.; Zorba, N.N.D.; Temizkan, R.; Büyükcan, M.B.; Caner, C. Potential of antimicrobial active packaging ‘containing natamycin, nisin, pomegranate and grape seed extract in chitosan coating’ to extend shelf life of fresh strawberry. Food Bioprod. Process. 2016, 98, 354–363. [Google Scholar] [CrossRef]
- Sahraei Khosh Gardesh, A.; Badii, F.; Hashemi, M.; Ardakani, A.Y.; Maftoonazad, N.; Gorji, A.M. Effect of nanochitosan based coating on climacteric behavior and postharvest shelf-life extension of apple cv. Golab Kohanz. LWT 2016, 70, 33–40. [Google Scholar] [CrossRef]
- Kaya, M.; Česonienė, L.; Daubaras, R.; Leskauskaitė, D.; Zabulionė, D. Chitosan coating of red kiwifruit (Actinidia melanandra) for extending of the shelf life. Int. J. Biol. Macromol. 2016, 85, 355–360. [Google Scholar] [CrossRef]
- Ciurzyńska, A.; Cieśluk, P.; Barwińska, M.; Marczak, W.; Ordyniak, A.; Lenart, A.; Janowicz, M. Eating Habits and Sustainable Food Production in the Development of Innovative “Healthy” Snacks. Sustainability 2019, 11, 2800. [Google Scholar] [CrossRef] [Green Version]
- Pitkänen, L.; Heinonen, M.; Mikkonen, K.S. Safety considerations of plant polysaccharides for food use: A case study on phenolic-rich softwood galactoglucomannan extract. Food Funct. 2018, 9, 1931–1943. [Google Scholar] [CrossRef] [PubMed] [Green Version]
- Picó, Y. Chapter 9—Safety Assessment and Migration Tests. In Nanomaterials for Food Packaging; Cerqueira, M.Â.P.R., Lagaron, J.M., Pastrana Castro, L.M., de Oliveira Soares Vicente, A.A.M., Eds.; Elsevier: Amsterdam, The Netherlands, 2018. [Google Scholar] [CrossRef]
- Barreto, M.R.; Aleixo, N.A.; Silvestre, R.B.; Fregonezi, N.F.; Barud, H.d.S.; Dias, D.d.S.; Ribeiro, C.A.; Resende, F.A. Genotoxicological safety assessment of puree-only edible films from onion bulb (Allium cepa L.) for use in food packaging-related applications. J. Food Sci. 2020, 85, 201–208. [Google Scholar] [CrossRef]
- Sohrabi, Y.; Mohammadzadeh-Aghdash, H.; Baghbani, E.; Dehghan, P.; Ezzati Nazhad Dolatabadi, J. Cytotoxicity and Genotoxicity Assessment of Ascorbyl Palmitate (AP). Food Additive Adv. Pharm. Bull. 2018, 8, 341–346. [Google Scholar] [CrossRef]
- Zheng, X.; Zhou, Y.; Yang, L. Safty evaluation of hydroxypropylated-phosphorylated modified glutinous rice starch in KM mice. Food Sci. Technol. 2017, 42, 229–233. [Google Scholar]
- Al-Asmar, A.; Naviglio, D.; Giosafatto, C.V.L.; Mariniello, L. Hydrocolloid-Based Coatings are Effective at Reducing Acrylamide and Oil Content of French Fries. Coatings 2018, 8, 147. [Google Scholar] [CrossRef] [Green Version]







| Polysaccharides | Sources | Molecular Structure Characteristics | Functional Advantages | |
|---|---|---|---|---|
| Cellulose |
|
|
| |
| Hemicellulose | Xylan |
|
|
|
| Glucomannan | Softwoods, tubers and seeds of Amorphophallus konjac plants [30,31,33] |
| ||
| Starch | Amylose |
|
| |
| Amylopectin |
| |||
| Chitosan |
|
|
| |
| Polysaccharide gums | Pectin |
|
|
|
| Alginate |
|
| ||
| Carrageenan | Cell walls of marine red algae, such as Eucheuma, Chondrus, Gigartina, Gelidium, and Hypnea [15,79] |
| ||
| Agar | Marine red algae, such as ferns, asparagus, laver, Gelidium, and Gracilaria [80] |
| ||
| Polysaccharides | Modification Methods | Edible Packaging Materials | Th | MC/% | WS/% | TS | EB/% | WVP | Functional Characteristics |
|---|---|---|---|---|---|---|---|---|---|
| Cellulose | Methylation (etherification) | Methylcellulose (MC) [89] | 0.041 | 27.3 | 100 | 55 | 36 | 2.78 × 10−10 | Better water solubility and mechanical properties than native cellulose |
| MC [90] | 0.048 | 98.9 | 31.4 | 16.2 | 7.95 × 10−11 | ||||
| MC [91] | 0.062 | 100 | 15.78 | 15.4 | 1.19 × 10−4 | ||||
| Carboxymethylation | Carboxymethyl cellulose (CMC) [92] | 0.142 | 16.55 | 10.48 | 42.37 | 1.198 × 10−3 | Improve transparency, thermal stability, salt tolerance and acid resistant properties | ||
| CMC [93] | 0.097 | 21.19 | 0.23 | 60.21 | 7.41 × 10−7 | ||||
| CMC [94] | 0.05 | 56 | 6.5 | 11.18 × 10−11 | |||||
| CMC [95] | 0.070 | 22.71 | 75.08 | 14.18 | 10.54 | 3.36 × 10−10 | |||
| Hydroxyethylation (etherification) | Hydroxyethyl cellulose (HEC) [96] | 0.07 | 93.26 | WVTR: 18.94 |
| ||||
| Hydroxypropylation (etherification) | Hydroxypropylated cellulose (HPC) [87] | 0.04 | 7.0 | 7.5 | 7.52 × 10−5 | Enhance mechanical and barrier properties | |||
| Hydroxypropyl methyl cellulose (HPMC) [92] | 0.110 | 24.54 | 19.25 | 37.56 | 95.66 × 10−5 | ||||
| HPMC [97] | 100 | 33.0 | 13.4 | 1.34 × 10−10 | |||||
| Average methoxyl content/hydroxypropyl content (M/HP): 3.05 [83] | 0.025 | 30.83 | 6.06 | 2.036 × 10−4 | |||||
| M/HP: 2.26 [83] | 0.044 | 52.13 | 11.89 | 4.136 × 10−4 | |||||
| M/HP: 3.05 [83] | 0.030 | 67.28 | 17.37 | 2.566 × 10−4 | |||||
| HPMC [98] | 0.079 | 53.02 | 10.32 | 6.85 × 10−5 | |||||
| Acetic acid esterification | Acetylated cellulose (DS 0.54) [82] | 0.04–0.12 |
| ||||||
| Cross-linking | Tea catechins-cross-linked MC [90] | 0.060 | 25.5 | 73.7 | 2.8 | 2.84 × 10−11 | Light barrier, antioxidant and antibacterial properties | ||
| Dialdehyde carboxymethyl cellulose (DCMC) crosslinkedfeather keratin (FK) [99] | 0.09–0.15 | 17.9 | 43.8 | 2.1 | 26.8 | 3.3 × 10−10 |
| ||
| Graft copolymerization | MC-g-2-hydroxyethyl methacrylate [100] | 0.025 | 8.6 × 10−5 |
| |||||
| Hemicellulose | Carboxymethylation | Carboxymethyl xylan (DS 0.30) [101] | 0.052 | 28.0 | 1.6 | 1.6 × 10−5 |
| ||
| Hydroxypropylation | Hydroxypropylated birch xylan [87] | 0.04 | 39.0 | 4.5 | 1.5 × 10−5 |
| |||
| Esterification | 2-dodecenyl succinic anhydride-modified xylan (DS 0.31) [101] | 0.057 | 29.3 | 6.0 | 0.69 × 10−5 |
| |||
| Acetylation | Acetylated bleached hemicellulose (DS 1.8) [82] | 0.04–0.12 | 44.1 | 5.7 |
| ||||
| Cross-linking | Add citric acid into wheat straw hemicelluloses matrix containing cellulose nanocrystals [102] | 7.0–7.5 | 47.41 | 9.76 | 3.94 | 4.09 × 10−4 |
| ||
| Starch | Carboxymethylation | Carboxymethyl starch (as functional master batch or raw material) [103] |
| ||||||
| Hydroxypropylation | Hydroxypropylated rice starch (Molar substitution: 0.022–0.033) [104] | 4.46–5.97 | 3.88–5.53 | 79.57–132.58 | 4.19–5.75 × 10−5 |
| |||
| Acetylation | Acetylated cassava starch [96] | 0.04 | 28.73 | WVTR: 12.84 |
| ||||
| Esterification | Thermoplastic/succinated cassava starch (as functional master batch or raw material) [84] |
| |||||||
| Starch-laurate esters (DS 0.45–2.92) [105,106] |
| ||||||||
| Cross-linking | Add citric acid (as crosslinker and plasticizer) into carboxymethyl potato starch (DS 0.5) matrix [107] | 0.2–0.3 | 58 | 0.16 | 26 |
| |||
| Add citric acid into corn starch (DS ≈ 0.98), and then blended with grape juice [108] | 0.17 | 59 | 0.24 | 63.68 | 4.7 × 10−4 |
| |||
| Add sodium trimetaphosphate into corn starch (DS 0.95), and then the modified starch was blended with grape juice [108] | 0.17 | 55 | 0.38 | 16.47 | 3.84 × 10−4 |
| |||
| Click chemistry: Cu(I) catalyzed azide-alkyne [3 + 2] cycloaddition (CuAAC) | Amphiprotic starch derivatives linked 1,2,3-triazole (as antibacterial raw material) [109] |
| |||||||
| Chitosan (CS) | Carboxymethylation | Carboxymethyl chitosan (DS 0.49) [110] | 0.159 | 21.25 | 42 | 6.65 × 10−11 |
| ||
| Graft copolymerization | Ascorbic acid was chemically grafted into CS backbones to form chitosan ascorbate (DS 0.88) [111] | 0.067 | 10.7 | 43.0 | 22 | 12.0 | 6.3 × 10−10 |
| |
| Chitosan acetate (DS 0.60) [111] | 0.070 | 24.3 | 20.4 | 43 | 31 | 8.6 × 10−10 |
| ||
| Cross-linking | Add fulvic acid (as crosslinker) into konjac glucomannan/chitosan matrix [33] | 57.79 | 21.04 | 5.25 |
| ||||
| Polysaccharide gums | Carboxymethylation | Carboxymethyl agar (CMA) [112] |
| ||||||
| Cross-linking | Add calcium chloride (as crosslinker) into citrus pectin/CMC composite matrix [113] | 468 | 10.6 | 4.45 × 10−11 |
|
| Polysaccharides | Modification Methods | Th | MC/% | WS/% | TS | EB/% | WVP | Functional Characteristics |
|---|---|---|---|---|---|---|---|---|
| Cellulose | Blend CMC with gelatin and add Dianthus barbatus essential Oil [93] | 0.100 | 9.86 | 0.16 | 68.37 | 2.19 × 10−7 |
| |
| Add dipalmitoyl lecithin liposomes loaded with quercetin and rutin to CMC matrix [133] | 0.035–0.045 |
| ||||||
| Add α-tocopherol and a mixture of polysorbate 80 and lecithin to CMC matrix [94] | 44 | 18.5 | 12.45 × 10−11 |
| ||||
| Add spent coffee grounds polysaccharides to CMC matrix [95] | 0.070 | 21.63 | 50.52 | 26.04 | 6.84 | 3.36 × 10−10 | Light barrier, antioxidant and antimicrobial properties | |
| Add cypress (Cupressus sempervirens) cone seeds extracts to HPMC matrix [98] | 0.084 | 61.04 | 7.67 | 5.16 × 10−5 | Light barrier and antioxidant properties | |||
| Hemicellulose | Add cellulose nanocrystals into wheat straw hemicelluloses matrix [102] | 7.0–7.5 | 93.75 | 11.25 | 3.13 | 8.376 × 10−4 | Improved tensile strength, modulus, water resistance, and water vapor barrier property | |
| Blend acetylated hemicellulose (DS 1.7) with acetylated nanocellulose (DS 2.34) [134] | 0.250 | 17.67 | 10.59 | 15.49 | Increasing DS and loading of acetylated nanocellulose, increased hydrophobicity (SWCA 68.29°) of composite and reduced its solubility in food simulants | |||
| Blend konjac glucomannan (KGM) with microcrystalline cellulose [135] | 40.53 | 5.12 | WVTR: 3.38 | Improved thermal stability, barrier and mechanical properties compared pure KGM film | ||||
| Add polydopamine functionalized microcrystalline cellulose into KGM matrix [135] | 43.01 | 8.51 | WVTR: 1.67 |
| ||||
| Add CS/gallic acid nanoparticles into KGM matrix [127] | 42.50 | 26.61 | 11.25 × 10−11 |
| ||||
| Blend KGM with zein and add curcumin [136] | 7.34 |
| ||||||
| Blend KGM with pectin [137] | 0.048 | 17.91 | 15.75 | 22 | 1.76 × 10−10 |
| ||
| Add tea polyphenol into KGM/pectin matrix [137] | 0.061 | 16.13 | 21.03 | 16.94 | 1.37 × 10−10 |
| ||
| Blend KGM with shellac [138] | 0.106 | 13.8 | 20.5 | 11.28 × 10−5 |
| |||
| Starch | Blend acetylated cassava starch with hydroxyethyl cellulose [96] | 0.06 | 61.24 | WVTR: 16.27 |
| |||
| Blend carboxymethyl potato starch (DS 0.8) with carboxymethyl cellulose (DS 2.6) and add citric acid and glycerol [139] | 0.2–0.3 | 3.4 | 29 |
| ||||
| Blend octenylsuccinated- (DS 0.0425) with native- sweet potato starch and add glycerol [120] | 0.091 | 13.41 | 15.25 | 0.72 | 260 | 5.69 × 10−11 |
| |
| Blend acetylated- with native- corn starches and add glycerol to form thermoplastic corn starch [17] | 0.129 | 9.26 | 23.99 | 6.14 | 1.20 × 10−10 |
| ||
| Add CS into thermoplastic corn starch [140] | 0.138 | 12.5 | 1.64 | 0.87 × 10−9 |
| |||
| Add chitin into thermoplastic corn starch [140] | 0.121 | 12.6 | 1.86 | 0.59 × 10−9 | ||||
| Blend rice starch with carboxymethyl chitosan (DS 0.49) [110] | 0.143 | 18.5 | 35 | 4.70 × 10−11 |
| |||
| Blend hydroxypropyl high-amylose starch with pomegranate peel [141] | 0.11 | 24.32 | 9.39 |
| ||||
| Chitosan | Blend CS ascorbate (DS 0.80) with MC [89] | 0.044 | 21.9 | 61 | 35 | 24.4 | 2.93 × 10−10 |
|
| Blend CS with carboxymethyl chitosan and add nisin [142] | 0.048 | 45.4 | 9.2 | 19.8 | 7.65 × 10−10 |
| ||
| Blend CS with carboxymethyl chitosan [142] | 0.021 | 15.4 | 25.4 | 58.4 | 3.43 × 10−10 | |||
| Add nisin into CS matrix [142] | 0.043 | 37.5 | 11.4 | 15.3 | 6.35 × 10−10 | |||
| Blend CS with gelatin and add thymol [143] | 0.104 | WVTR: 2.18 |
| |||||
| Blend CS with starch and add thymol [143] | 0.108 | WVTR: 1.32 | ||||||
| Blend CS with propolis extract [144] | 17.5 | 12.1 | 0.578 × 10−8 OP: 0.21 × 10−8 |
| ||||
| Polysaccharide gums | Blend agar with acid hydrolyzed cotton linter cellulose nanocrystals (which neutralized with NaOH) [145] | 0.052 | 33.7 | 30.7 | 1.9 5 × 10−9 |
| ||
| Blend agarose with CS [146] | 0.013 | 42.35 | 16 | 6.95 × 10−11 |
| |||
| Blend pectin (75–80% degree of esterification) with corn flour [147] | 0.06 | 21.2 | 70.7 | 7.47 | 0.022 × 10−7 |
| ||
| Blend CS (prepared from Callinectes sapidus) with (high methoxyl pectin (prepared from Citruis sinensis Osbeck peel) [148] | 0.082 | 16.9 | 17.5 | 35 | 0.97 × 10−15 |
| ||
| Blend gum tragacanth with locust bean gum [149] | 0.047 | 13.07 | 20.28 | 1.10 | 0.83 × 10−4 |
| ||
| Blend low methoxyl with pectin sodium caseinate at pH 3 [150] and pH 7 [151] | 0.040 | 14.5 | 15.64 | 9.35 |
| |||
| Add Origanum vulgare subsp. viride essential oil into basil seed gum [152] | 0.060 | 17.92 | 3.69 × 10−11 |
| ||||
| Add fish protein hydrolysate into agar matrix [153] | 0.044 | 48.86 | 19.89 | 42.70 | 10.04 × 10−11 |
| ||
| Add clove essential oil into agar matrix [153] | 0.061 | 20.86 | 10.16 | 3.93 | 9.37 × 10−11 | Better hydrophobicity, antioxidant and antimicrobial activities |
| Food | Edible Packaging & Preparation Method | St | Mass Loss/% | Dp/% | TSS/% | TA/% | pH | Vc Mass | TSP | Packaging Effects | |
|---|---|---|---|---|---|---|---|---|---|---|---|
| Fruit | Strawberry | CMC/bacteriocin from Bacillus methylotrophicus BM47 coating; Dip-coating [27] | 4–16 °C | 10.5; 12 d | 0; 12 d | 8.6; 12 d | 1.09; 12 d | 3.34; 12 d | 24.5; 12 d | 9–10; 12 d |
|
| KGM/pullulan film; Casting [170] | 4–14 °C | 25 | 6 | 0.55 | 0.015 μg/mL |
| |||||
| CS/gelatin/thymol coating; Dip-coating [143] | 4–7 °C | 1–2 | 1.67 | 7.16 | 6.71 |
| |||||
| CS/starch/thymol coating; Dip-coating [143] | 4–7 °C | 0.61 | 0 | 6.95 | 7.06 | ||||||
| Grape | CS/Mentha (piperita L. or x villosa Huds) essential oil coating; Dip-coating [171] | 25–12 °C; 12–24 °C | 11.2–12.6° Brix | 42.9–47.3 mmol H+/100 g food |
| ||||||
| Banana | Rice starch/ι-carrageenan/sucrose fatty acid esters coating; Spray-coating [172] | 20–14 °C | 4.5 | 20.5°Brix | 0.25 |
| |||||
| Guava | Acetylated cassava starch/hydroxyethyl cellulose coating; Dip-coating [96] | 25–13 °C | 13.15 | 8.0 | 0.66 | 20.5 |
| ||||
| Apricot | Basil seed gum/Origanum vulgare subsp. viride essential oil coating; Dip-coating [152] | 4–8 °C | 6.9 | 15 | 230 |
| |||||
| Vegetable | Cherry tomato | KGM/nisin coating; Spread-coating [173] | 25–16 °C | 9.5 | Decay index: 0.133 | 6.22 |
| ||||
| Cucumber | Konjac glucomannan/saffron petal extract coating; Spread-coating [174] | 4–5 °C | 17.56 | 0.17 |
| ||||||
| Tomato/Chilly/Brinjal | CS nanoparticles coating; Dip-coating [56] | 25–5 °C | 0.21/ 3.3/ 0.53 |
| |||||||
| Food | Edible Packaging & Preparation Method | St | PV | TBARS | TVB-N | DPPH/% | ABTS/% | pH | TSP | Packaging Effects | |
| Nut | Pistachio | CMC/gelatin/Dianthus barbatus essential oil coating; Dip-coating [93] | 25 °C–6 months | 0.1–3.5 |
| ||||||
| Cashew nut | CS/mango leaf extract film; Casting [157] | 30–28 °C | 2.88 |
| |||||||
| Meat | Chicken breast | Rye starch/Rosehip extract film; Casting [175] | 4–9 °C | 0.59 | 80.22 | 96.87 |
| ||||
| Corn starch/gelatin/N-α-lauroyl-l-arginine ethyl ester monohydrochloride film; Casting [155] | 4–19 °C | 0.2 | 5.88 |
| |||||||
| Oxidized corn starch/gelatin/N-α-lauroyl-l-arginine ethyl ester monohydrochloride coating; Spread-coating [155] | 4–19 °C | 1.52; 9 d | 5.72; 9 d |
| |||||||
| Pork | Cassava starch/Lycium ruthenicum Murr anthocyanins film; Casting [176] | 25 °C–48 h | 10.89–16 h; 17.21–24 h | 6.15 −16 h; 6.49 −24 h |
| ||||||
| Beef loin | CS/cumin essential oil-loaded nanoemulsion film; Casting [177] | 3–21 °C | 1.39 | 12 | 5.4 |
| |||||
| Ham | Iota-carrageenan/rosemary extract coating; Dip-coating [178] | 5–15 °C |
| ||||||||
| Goat meat sausage | Maltodextrin/calcium alginate/Tinospora cordifolia extracts film; Casting [179] | −18–21 °C | 0.54 | 6.79 |
| ||||||
| Oil | Olive oil | HPMC/cypress seed extract film; Casting [98] | 23–23 °C | <20 (legal limit) |
| ||||||
| Soybean oil | Pomelo peel flours/tea polyphenol film; Casting [64] | 23–15 °C | 31.58 | 74.39 |
| ||||||
| Lime peel pectin/coconut water/lime peel extract film; Casting [180] | 27–30 °C | 3.39 |
| ||||||||
| Aquatic product | Salmon | Cowpea starch/maqui berry extract film; Casting [181] | 4–6 °C | 1 | 0.63 | 42.39 | 88.46 |
| |||
| Hake | Agar/green tea extract/probiotic bacteria film; Casting [169] | 4–15 °C | 25 | 7.01 |
| ||||||
| Flounder fillets | Agar/fish protein hydrolysate film; Casting [153] | 5–15 °C | 29.80 | 7.05 |
| ||||||
| Agar/clove essential oil film; Casting [153] | 5–15 °C | 25.83 | 6.76 | ||||||||
| Beluga sturgeon fillets | Jujube gum/nettle oil-loaded nanoemulsions coating; Coating [182] | 4–15 °C | 2.64 | 1.22 | 16.42 mg N/100 g | 6.42 |
| ||||
| Shrimp | Sweet potato starch/thyme essential oil coating; Dip-coating [183] | 4–8 °C | 0.3–0.5 | 8 |
| ||||||
| Age Groups | Control | Chitosan Coating | Pectin Coating |
|---|---|---|---|
| Toddlers | 1387 | 858 | 720 |
| Other children | 1521 | 941 | 790 |
| Adolescents | 1072 | 663 | 557 |
| Adults | 719 | 445 | 374 |
| Elderly | 536 | 332 | 279 |
| Very elderly | 417 | 258 | 217 |
Publisher’s Note: MDPI stays neutral with regard to jurisdictional claims in published maps and institutional affiliations. |
© 2021 by the authors. Licensee MDPI, Basel, Switzerland. This article is an open access article distributed under the terms and conditions of the Creative Commons Attribution (CC BY) license (https://creativecommons.org/licenses/by/4.0/).
Share and Cite
Zhao, Y.; Li, B.; Li, C.; Xu, Y.; Luo, Y.; Liang, D.; Huang, C. Comprehensive Review of Polysaccharide-Based Materials in Edible Packaging: A Sustainable Approach. Foods 2021, 10, 1845. https://doi.org/10.3390/foods10081845
Zhao Y, Li B, Li C, Xu Y, Luo Y, Liang D, Huang C. Comprehensive Review of Polysaccharide-Based Materials in Edible Packaging: A Sustainable Approach. Foods. 2021; 10(8):1845. https://doi.org/10.3390/foods10081845
Chicago/Turabian StyleZhao, Yuan, Bo Li, Cuicui Li, Yangfan Xu, Yi Luo, Dongwu Liang, and Chongxing Huang. 2021. "Comprehensive Review of Polysaccharide-Based Materials in Edible Packaging: A Sustainable Approach" Foods 10, no. 8: 1845. https://doi.org/10.3390/foods10081845
APA StyleZhao, Y., Li, B., Li, C., Xu, Y., Luo, Y., Liang, D., & Huang, C. (2021). Comprehensive Review of Polysaccharide-Based Materials in Edible Packaging: A Sustainable Approach. Foods, 10(8), 1845. https://doi.org/10.3390/foods10081845

