Effect of Herbal Addition on the Microbiological, Oxidative Stability and Sensory Quality of Minced Poultry Meat
Abstract
1. Introduction
2. Materials and Methods
2.1. Materials and Reagents
2.2. Manufacture of Minced Poultry Meat
2.3. Physical-Chemical Methods
2.3.1. pH Value
2.3.2. Water Activity (aw)
2.3.3. Thiobarbituric Acid (TBARS) Method
2.4. Microbiological Methods
2.5. Sensory Method
2.5.1. Sample Preparation
2.5.2. Evaluation Conditions
2.6. Statistical Methods
3. Results
3.1. pH and Water Activity Values
3.2. Lipid Oxidation
3.3. Microbiological Quality
3.3.1. Assessment of TVC Quality of Meat Products with the addition of Spices in Dry and Extracts Form
3.3.2. Assessment of Psychrotrophic Bacteria Quality of Meat Products with the Addition of Spices in Dry and Extracts Form
3.3.3. Assessment of Bacillus spp. and Clostridium spp. Bacteria Quality of Meat Products with the Addition of Spices in Dry and Extracts Form
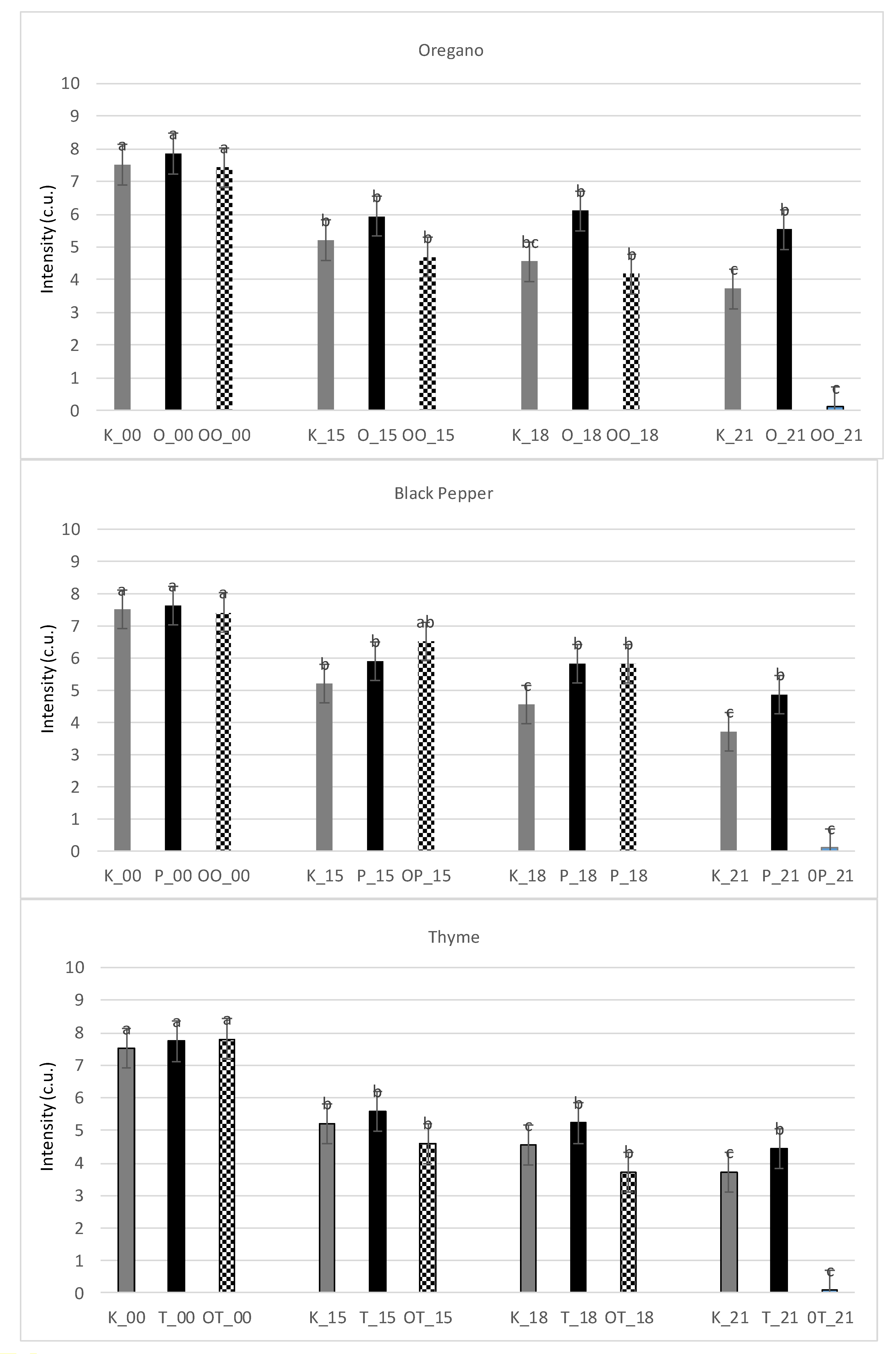
3.4. Sensory Quality of Meat Products with the Addition of Spices in Dry and Oleoresin Form
4. Discussion
5. Conclusions
Author Contributions
Funding
Conflicts of Interest
References
- Milani, J.M.; Sahraee, S. Functional edible coatings and films for fresh cut food products. Adv. Food Sci. 2015, 37, 76–80. [Google Scholar]
- Krishnan, K.R.; Babuskin, S.; Babu, P.A.S.; Fayidh, M.A.; Sabina, K.; Archana, G.; Sivarajan, M.; Sukumar, M. Bio protection and preservation of raw beef meat using pungent aromatic plant substances. J. Sci. Food Agric. 2014, 94, 2456–2463. [Google Scholar] [CrossRef]
- Xiong, Q.; Zhang, M.; Wang, T.; Wang, D.; Sun, C.; Bian, H.; Li, P.; Zou, Y.; Xu, W. Lipid oxidation induced by heating in chicken meat and the relationship with oxidants and antioxidant enzymes activities. Poult. Sci. 2020, 99, 1761–1767. [Google Scholar] [CrossRef]
- Botsoglou, N.A.; Grigoropoulou, S.H.; Botsoglou, E.; Govaris, A.; Papageorgiou, G. The effects of dietary oregano essential oil and α-tocopheryl acetate on lipid oxidation in raw and cooked turkey during refrigerated storage. Meat Sci. 2003, 65, 1193–1200. [Google Scholar] [CrossRef]
- Juntachote, T.; Berghofer, E.; Siebenhandl, S.; Bauer, F.; Juntachote, T.; Berghofer, E.; Siebenhandl, S.; Bauer, F. Antioxidative effect of added dried Holy basil and its ethanolic extracts on susceptibility of cooked ground pork to lipid oxidation. Food Chem. 2007, 100, 129–135. [Google Scholar] [CrossRef]
- Bellés, M.; Alonso, M.; Roncalés, P.; Beltrán, J. Sulfite-free lamb burgre meat: Antimicrobial and antioxidant properties of green tea and carvacrol. J. Sci. Food Agric. 2019, 99, 464–472. [Google Scholar] [CrossRef]
- Kumar, Y.; Yadav, D.N.; Ahmad, T.; Narsaiah, K. Recent Trends in the Use of Natural Antioxidants for Meat and Meat Products. Compr. Rev. Food Sci. Food Saf. 2015, 14, 796–812. [Google Scholar] [CrossRef]
- Baek, S.K.; Song, K.B. Development of Gracilaria vermiculophylla extract films containing zinc oxide nanoparticles and their application in smoked salmon packaging. LWT Food Sci. Technol. 2018, 89, 269–275. [Google Scholar] [CrossRef]
- Velasco, V.; Williams, P. Improving meat quality through natural antioxidants. Chil. J. Agric. Res. 2011, 71, 313–322. [Google Scholar] [CrossRef]
- Sahraee, S.; Milani, J.M.; Regenstein, J.M.; Kafil, H.S. Protection of foods against oxidative deterioration using edible films and coatings: A review. Food Biosci. 2019, 32, 100451. [Google Scholar] [CrossRef]
- Castro, S.; Kolomeytseva, M.; Casquete, R.; Silva, J.; Queirós, R.; Saraiva, J.; Teixeira, P. Biopreservation strategies in combination with mild high pressure treatments in traditional Portuguese ready-to-eat meat sausage. Food Biosci. 2017, 19, 65–72. [Google Scholar] [CrossRef]
- Martınez-Gracia, C.; Gonzalez-Bermudez, C.A.; Cabellero-Valcarcel, A.M.; Santaella-Pascual, M.; Frontela-Saseta, C. Use of herbs and spices for food preservation: Advantages and limitations. Curr. Opin. Food Sci. 2015, 6, 38–43. [Google Scholar] [CrossRef]
- Mir, S.A.; Masoodi, F.A.; Raja, J. Influence of natural antioxidants on microbial load, lipid oxidation and sensorial quality of rista—A traditional meat product of India. Food Biosci. 2017, 20, 79–87. [Google Scholar] [CrossRef]
- Munekata, P.E.S.; Rocchetti, G.; Pateiro, M.; Lucini, L.; Domínguez, R.; Lorenzo, J.M. Addition of plant extracts to meat and meat products to extend shelf-life and health-promoting attributes: An overview. Curr. Opin. Food Sci. 2020, 31, 81–87. [Google Scholar] [CrossRef]
- Kenawi, M.A.; Zaghlul, M.M.A.; Abdel-Salam, R.R. Effect of two natural antioxidants in combination with edible packaging on stability of low fat beef product stored under frozen condition. Biotechnol. Anim. Husb. 2011, 27, 345–356. [Google Scholar] [CrossRef][Green Version]
- Awahd, H.A.; Al-Sirrag, M.A.A.W.; Abbas, Z.H.; Mahmmod, R.M.; Wahed, S.A. Improving the quality of beef burger by adding thyme and rosemary powder. J. Glob. Pharma Technol. 2018, 10, 949–954. [Google Scholar]
- Coccimiglio, J.; Alipour, M.; Jiang, Z.-H.; Gottardo, C.; Suntres, Z. Antioxidant, Antibacterial, and Cytotoxic Activities of the EthanolicOriganum vulgareExtract and Its Major Constituents. Oxid. Med. Cell. Longev. 2016, 2016, 1404505. [Google Scholar] [CrossRef]
- Van Haute, S.; Raes, K.; Van der Meeren, P.; Sampers, I. The effect of cinnamon, oregano and thyme essential oils in marinade on the microbial shelf life of fish and meat products. Food Control 2016, 68, 30–39. [Google Scholar] [CrossRef]
- Sasid-Haran, I.; Menon, A.N. Comparative chemical composition and antimicrobial activity of berry and leaf essential oils of Piper nigrum L. Int. J. Biol. Res. 2010, 1, 215–218. [Google Scholar]
- Zhang, J.; Wang, Y.; Pan, D.-D.; Cao, J.-X.; Shao, X.-F.; Chen, Y.-J.; Sun, Y.-Y.; Ou, C.-R. Effect of black pepper essential oil on the quality of fresh pork during storage. Meat Sci. 2016, 117, 130–136. [Google Scholar] [CrossRef]
- Shahidi, F. The 2-tiobarbituric acid (TBA) methodology for the evaluation of warmed-over flavour and rancidity in meat products. In Proceedings of the 36th ICoMST, Havana, Cuba, 28 August–1 September 1990; p. 1008. [Google Scholar]
- ISO. ISO 4833-1:2013. Microbiology of the Food Chain—Horizontal Method for the Enumeration of Microorganisms—Part 1: Colony Count at 30 °C by the Pour Plate Technique; International Organization for Standardization: Geneva, Switzerland, 2020. [Google Scholar]
- ISO. ISO 7932:2004. Microbiology of Food and Animal Feeding Stuffs—Horizontal Method for the Enumeration of Presumptive Bacillus cereus—Colony Count Technique at 30 °C; International Organization for Standardization: Geneva, Switzerland, 2004. [Google Scholar]
- ISO. 13299:2016. Sensory Analysis—Methodology—General Guidance for Establishing a Sensory Profile. Available online: https://www.iso.org/standard/58042.html (accessed on 10 February 2020).
- ISO. 8586:2012. Sensory Analysis—General Guidelines for the Selection, Training and Monitoring of Selected Assessors and Expert Sensory Assessors. Available online: https://www.iso.org/standard/45352.html (accessed on 16 March 2020).
- Qiao, M.; Fletcher, D.L.; Smith, D.P.; Northcutt, J.K. The effect of broiler breast meat colour on pH, moisture, water-holding capacity, and emulsification capacity. Poult. Sci. 2001, 80, 676–680. [Google Scholar] [CrossRef] [PubMed]
- Van Der Hoeven-Hangoor, E.; Rademaker, C.J.; Paton, N.D.; Verstegen, M.W.A.; Hendriks, W.H. Evaluation of free water and water activity measurements as functional alternatives to total moisture content in broiler excreta and litter samples. Poult. Sci. 2014, 93, 1782–1792. [Google Scholar] [CrossRef] [PubMed]
- Fasseas, M.; Mountzouris, K.; Tarantilis, P.; Polissiou, M.; Zervas, G. Antioxidant activity in meat treated with oregano and sage essential oils. Food Chem. 2008, 106, 1188–1194. [Google Scholar] [CrossRef]
- Gramza-Michałowska, A.; Sidor, A.; Hęś, M. Herb extract influence on the oxidative stability of selected lipids. J. Food Biochem. 2011, 35, 1723–1736. [Google Scholar] [CrossRef]
- Hęś, M.; Gramza-Michałowska, A. Effect of plant extracts on lipid oxidation and changes in nutritive value of protein in frozen-stored meat products. J. Food Process. Preserv. 2017, 41, e12989. [Google Scholar] [CrossRef]
- Sariçoban, C.; Yilmaz, M.T. Effect of thyme/cumin essential oils and butylated hydroxyl anisole/butylated hydroxyl toluene on physicochemical properties and oxidative/microbial stability of chicken patties. Poult. Sci. 2014, 93, 456–463. [Google Scholar] [CrossRef]
- Gantner, M.; Brodowska, M.; Górska-Horczyczak, E.; Wojtasik-Kalinowska, I.; Najda, A.; Pogorzelska, E.; Godziszewska, J. Antioxidant effect of sage (Salvia officinalis L.) extract on turkey meatballs packed in cold modified atmosphere. J. Food 2018, 16, 628–636. [Google Scholar] [CrossRef]
- Manhani, M.R.; Nicoletti, M.A.; Da Silva Barretto, C.A.; De Jesus, G.R.; Munhoz, C.; De Abreu, G.R.; Zaccarelli-Magalhães, J.; Fukushima, A.R. Antioxidant action of rosemary and oregano extract in pre-cooked meat hamburger. Food Nutr. Sci. 2018, 9, 806–817. [Google Scholar] [CrossRef]
- Hernández, H.; Frankova, A.; Sýkora, T.; Kloucek, P.; Kouřimská, L.; Kučerová, I.; Banout, J. The effect of oregano essential oil on microbial load and sensory attributes of dried meat. J. Sci. Food Agric. 2016, 97, 82–87. [Google Scholar] [CrossRef]
- Grabowska, M.; Berthold-Pluta, A.; Stasiak-Różańska, L. Microbiological quality of selected spices and herbs including the presence of Cronobacter spp. Food Microbiol. 2015, 49, 1–5. [Google Scholar] [CrossRef]
- Ergün, A.R.; Baysal, T. The Antimicrobial Effects of Thyme, Garlic and Basil Oleoresins Against Bacillus coagulans in Tomato Sauce. J. Food Biochem. 2016, 41, e12296. [Google Scholar] [CrossRef]
- Banach, J.L.; Stratakou, I.; Van der Fels-Klerx, H.J.; den Basten, H.M.W.; Zwieterning, M.H. European alerting and monitoring data as inputs for the risk assessment of microbiological and chemical hazards in spices and herbs. Food Control 2016, 69, 237–249. [Google Scholar] [CrossRef]
- Agrimonti, C.; White, J.C.; Tonetti, S.; Marmiroli, N. Antimicrobial activity of cellulosic pads amended with emulsions of essential oils of oregano, thyme and cinnamon against microorganisms in minced beef meat. Int. J. Food Microbiol. 2019, 305, 108246. [Google Scholar] [CrossRef]
- Talebi, F.; Misaghi, A.; Khanjari, A.; Kamkar, A.; Gandomi, H.; Rezaeigolestani, M. Incorporation of spice essential oils into poly-lactic acid film matrix with the aim of extending microbiological and sensorial shelf life of ground beef. LWT 2018, 96, 482–490. [Google Scholar] [CrossRef]
- Krishnan, K.R.; Babuskin, S.; Babu, P.A.S.; Sasikala, M.; Sabina, K.; Archana, G.; Sivarajan, M.; Sukumar, M. Antimicrobial and antioxidant effects of spice extracts on the shelf life extension of raw chicken meat. Int. J. Food Microbiol. 2014, 171, 32–40. [Google Scholar] [CrossRef]
- Szymandera-Buszka, K.; Waszkowiak, K.; Jędrusek-Golińska, A.; Hęś, M. Sensory analysis in assessing the possibility of using ethanol extracts of spices to develop new meat products. Foods 2020, 9, 209. [Google Scholar] [CrossRef]
- Meilgaard, M.; Civille, G.V.; Carr, B.T. Sensory Evaluation Techniques, 4th ed.; CRC Press: Abingdon, UK, 2006; pp. 156–200. [Google Scholar]





| Material [%] | Sample Control | Herbal Additives—Dry Spices | Industrial Extracts (Oleoresins) | ||||
|---|---|---|---|---|---|---|---|
| Control | Oregano | Black Pepper | Thyme | Oregano | Black Pepper | Thyme | |
| K | O | P | T | OO | OP | OT | |
| Poultry meat | 80 | 80 | 80 | 80 | 80 | 80 | 80 |
| Pork jowl | 20 | 20 | 20 | 20 | 20 | 20 | 20 |
| Salt * | 1.3 | 1.3 | 1.3 | 1.3 | 1.3 | 1.3 | 1.3 |
| Herbal/Extract addition * | 0.00 | 0.30 | 0.30 | 0.30 | 0.03 | 0.03 | 0.03 |
| Attribute | Definition | Anchors | |
|---|---|---|---|
| Odour attributes | |||
| Heated meat | Aroma associated with heated meat | None to very strong | |
| Sour | Basic aroma sensation stimulated by acids | None to very strong | |
| Fatty | Aroma sensation derived from fat | None to very strong | |
| Herbal | Aroma sensation derived from herbs | None to very strong | |
| Other | Enter the intensity and name or association | None to very strong | |
| Appearance and texture attributes | |||
| Surface colour | Colour impression | Light to beige dark | |
| Homogeneity | Impression of uniform colour | None to very strong | |
| Cross section colour | Colour of cross section impression | Light to beige dark | |
| Juiciness | Impression of moisture release during chewing | Not juicy to very juicy | |
| Softness | Impression of ease of separation during chewing | Not easy to very easyt | |
| Flavour attributes | |||
| Heated meat | Flavour associated with heated meat | None to very strong | |
| Sour | The basic taste sensation stimulated by acids | None to very strong | |
| Fatty | Sensation derived from fat | None to very strong | |
| Salty | The basic taste sensation stimulated by salts | None to very strong | |
| Bitter | The basic taste sensation stimulated by capsaicin | None to very strong | |
| Herbal | Sensation derived from herbs | None to very strong | |
| Other | Enter the intensity and name or association | None to very strong | |
| Overall quality | Impression based on all tested attributes | Very low to very high | |
| Storage Time (Days) | Samples | |||||||
|---|---|---|---|---|---|---|---|---|
| K | T | P | O | K | OT | OP | OO | |
| 0 | 6.36 dA ±0.02 | 6.26 aA ±0.01 | 6.24 aA ±0.01 | 6.25 abA ±0.01 | 6.15 abAB ±0.03 | 6.08 abB ±0.01 | 6.12 abcAB ±0.01 | 5.96 aB ±0.03 |
| 5 | 6.18 aA ±0.02 | 6.19 bA ±0.02 | 6.21 bA ±0.01 | 6.17 cA ±0.01 | 6.17 abA ±0.01 | 6.14 cAB ±0.01 | 6.13 bcdAB ±0.00 | 6.14 bAB ±0.01 |
| 10 | 6.26 bA ±0.01 | 6.26 aA ±0.01 | 6.22 abA ±0.01 | 6.24 abA ±0.01 | 6.15 abAB ±0.01 | 6.10 bB ±0.00 | 6.09 aB ±0.00 | 6.12 bB ±0.00 |
| 15 | 6.29 bcA ±0.00 | 6.25 acA ±0.01 | 6.24 aA ±0.01 | 6.27 bA ±0.01 | 6.11 aB ±0.01 | 6.09 abB ±0.01 | 6.10 abA ±0.01 | 6.13 bAB ±0.01 |
| 18 | 6.30 cA ±0.01 | 6.23 cA ±0.01 | 6.22 abA ±0.01 | 6.22 aA ±0.02 | 6.18 abAB ±0.01 | 6.16 dAB ±0.01 | 6.14 cdAB ±0.01 | 6.15 bAB ±0.01 |
| 21 | 6.21 aA ±0.01 | 6.20 bA ±0.01 | 6.16 cA ±0.01 | 6.23 aA ±0.01 | 6.18 abA ±0.01 | 6.08 aB ±0.02 | 6.15 dAB ±0.02 | 6.11 bB ±0.01 |
| Storage Time (Days) | Samples | |||||||
|---|---|---|---|---|---|---|---|---|
| K | O | T | P | K | OO | OT | OP | |
| 0 | 0.886 ±0.010 | 0.871 ±0.020 | 0.877 ±0.010 | 0.881 ±0.017 | 0.925 ±0.037 | 0.899 ±0.040 | 0.911 ±0.010 | 0.920 ±0.012 |
| 21 | 0.902 ±0.025 | 0.873 ±0.030 | 0.880 ±0.010 | 0.894 ±0.015 | 0.940 ±0.050 | 0.909 ±0.032 | 0.939 ±0.011 | 0.946 ±0.010 |
| Storage Time (Days) | Bacillus spp. [log cfu/g] | Total Anaerobe Microorganisms [log cfu/g] | |||||||||
|---|---|---|---|---|---|---|---|---|---|---|---|
| K | O | OO | T | OT | P | OP | K | OO | OT | OP | |
| 0 | - | - | - | - | - | - | - | 2.48 A ±0.12 | 0.80 A ±1.13 | 3.06 A ±0.21 | 1.48 A ±0.67 |
| 5 | - | - | - | - | - | - | - | 1.45 A ±0.21 | 1.72 A ±0.17 | 2.82 B ±0.15 | 1.72 A ±0.17 |
| 10 | 1.54 A ±0.13 | - | - | - | 0.50 * aA ±0.20 | - | - | 2.72 A ±0.13 | 1.75 A ±0.21 | 2.61 A ±0.06 | 1.63 B ±0.46 |
| 15 | 1.64 A ±0.18 | - | 3.02 aB ±0.18 | - | 2.70 * aB ±0.43 | - | - | 2.66 A ±0.32 | 1.96 A ±0.16 | 3.05 A ±0.15 | 2.02 A ±0.17 |
| 18 | 2.17 A± | 1.34 aB± | 3.29 bB± | 3.36 aB± | 1.72 bA± | 1.15 aB± | 1.42 aB± | 2.89 A ±0.02 | 0.50 B ±0.70 | 2.16 A ±0.14 | 1.72 A ±0.33 |
| 21 | 2.43 A ±0.01 | 2.11 aA ±0.40 | 2.61 aA ±0.23 | u. | 2.00 aA ±0.05 | 1.98 aA ±0.09 | 2.02 aA ±0.16 | - | - | 2.66 A ±0.26 | - |
| Traits | Principal Components | |||
|---|---|---|---|---|
| Herbal Additives | Industrial Extracts | |||
| 1 * | 2 ** | 1 | 2 | |
| meaty o. | 0.89 a | 0.27 | 0.94 | 0.13 |
| sour o. | −0.93 | 0.21 | −0.90 | 0.15 |
| fatty o. | −0.55 | 0.68 | −0.89 | −0.06 |
| herbal o | 0.00 | −0.91 | 0.08 | −0.78 |
| other o. | −0.90 | 0.06 | −0.96 | 0.02 |
| surface c. | −0.86 | −0.21 | −0.66 | −0.44 |
| cross-section c. | 0.67 | 0.36 | −0.30 | 0.27 |
| homogeneity c. | 0.02 | 0.92 | −0.00 | 0.72 |
| juiciness | 0.19 | −0.06 | −0.18 | 0.57 |
| softness | 0.59 | −0.15 | −0.84 | 0.02 |
| meaty f. | 0.75 | 0.33 | 0.88 | 0.27 |
| sour f. | −0.67 | −0.17 | −0.85 | 0.02 |
| fatty f. | 0.74 | −0.01 | −0.93 | 0.23 |
| salty t. | 0.76 | −0.23 | −0.63 | 0.26 |
| bitter t. | −0.82 | −0.40 | 0.72 | −0.03 |
| herbal f. | 0.11 | −0.97 | −0.19 | −0.80 |
| other f. | −0.83 | 0.10 | −0.55 | 0.12 |
| overall quality | 0.86 | −0.32 | 0.94 | 0.05 |
| Eigen value | 8.57 | 3.85 | 9.18 | 2.62 |
| % of variance | 48 | 21 | 51 | 15 |
Publisher’s Note: MDPI stays neutral with regard to jurisdictional claims in published maps and institutional affiliations. |
© 2021 by the authors. Licensee MDPI, Basel, Switzerland. This article is an open access article distributed under the terms and conditions of the Creative Commons Attribution (CC BY) license (https://creativecommons.org/licenses/by/4.0/).
Share and Cite
Jaworska, D.; Rosiak, E.; Kostyra, E.; Jaszczyk, K.; Wroniszewska, M.; Przybylski, W. Effect of Herbal Addition on the Microbiological, Oxidative Stability and Sensory Quality of Minced Poultry Meat. Foods 2021, 10, 1537. https://doi.org/10.3390/foods10071537
Jaworska D, Rosiak E, Kostyra E, Jaszczyk K, Wroniszewska M, Przybylski W. Effect of Herbal Addition on the Microbiological, Oxidative Stability and Sensory Quality of Minced Poultry Meat. Foods. 2021; 10(7):1537. https://doi.org/10.3390/foods10071537
Chicago/Turabian StyleJaworska, Danuta, Elżbieta Rosiak, Eliza Kostyra, Katarzyna Jaszczyk, Monika Wroniszewska, and Wiesław Przybylski. 2021. "Effect of Herbal Addition on the Microbiological, Oxidative Stability and Sensory Quality of Minced Poultry Meat" Foods 10, no. 7: 1537. https://doi.org/10.3390/foods10071537
APA StyleJaworska, D., Rosiak, E., Kostyra, E., Jaszczyk, K., Wroniszewska, M., & Przybylski, W. (2021). Effect of Herbal Addition on the Microbiological, Oxidative Stability and Sensory Quality of Minced Poultry Meat. Foods, 10(7), 1537. https://doi.org/10.3390/foods10071537

