Heterocyclic Aromatic Amines in Meat: Formation, Isolation, Risk Assessment, and Inhibitory Effect of Plant Extracts
Abstract
:1. Introduction
2. Occurrence of HAAs
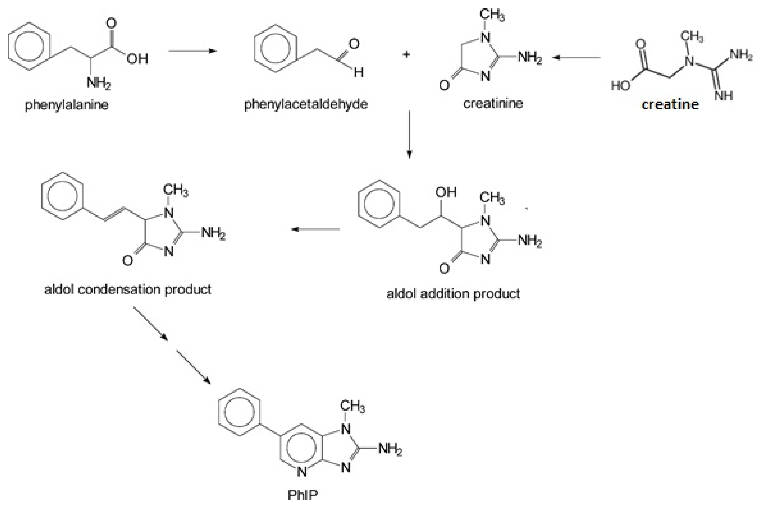
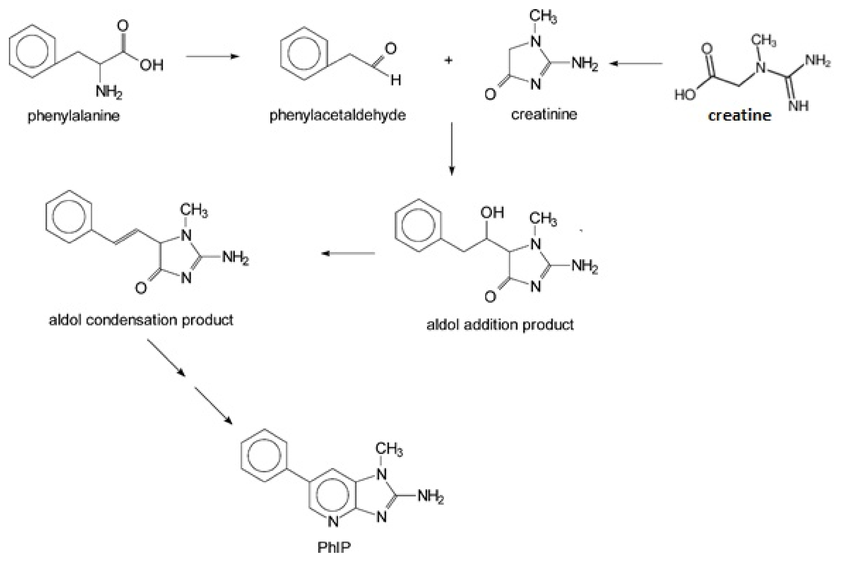
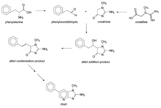
3. HAA Formation
Precursors and Factors Affecting HAA Formation
4. Types of HAAs
- Five-membered amines of a heterocyclic nature;
- Six-membered amines of a heterocyclic nature.
5. Quantification and Identification
6. HAA Risk Assessment
7. HAA Inhibition by Natural Extracts
8. Suggested Mechanisms for an Inhibitory Effect to Decrease Potential Carcinogenic Constituents
8.1. The Action of Antioxidative Products
8.2. Inhibition of Maillard Reaction
9. Conclusions
Author Contributions
Funding
Institutional Review Board Statement
Informed Consent Statement
Data Availability Statement
Acknowledgments
Conflicts of Interest
References
- Suleman, R.; Wang, Z.; Aadil, R.M.; Hui, T.; Hopkins, D.L.; Zhang, D. Effect of cooking on the nutritive quality, sensory properties and safety of lamb meat: Current challenges and future prospects. Meat Sci. 2020, 167, 108172. [Google Scholar] [CrossRef]
- Gálvez, F.; Domínguez, R.; Pateiro, M.; Carballo, J.; Tomasevic, I.; Lorenzo, J.M. Effect of gender on breast and thigh turkey meat quality. Br. Poult. Sci. 2018, 4, 408–415. [Google Scholar] [CrossRef]
- Cadavez, V.A.P.; Popova, T.; Bermúdez, R.; Osoro, K.; Purriños, L.; Bodas, R.; Lorenzo, J.M.; Gonzales-Barron, U. Compositional attributes and fatty acid profile of lamb meat from Iberian local breeds. Small Rumin. Res. 2020. [Google Scholar] [CrossRef]
- Lorenzo, J.M.; Maggiolino, A.; Gallego, L.; Pateiro, M.; Serrano, M.P.; Domínguez, R.; García, A.; Landete-Castillejos, T.; De Palo, P. Effect of age on nutritional properties of Iberian wild red deer meat. J. Sci. Food Agric. 2019, 99. [Google Scholar] [CrossRef]
- Rahman, U.U.; Sahar, A.; Ishaq, A.; Aadil, R.M.; Zahoor, T.; Ahmad, M.H. Advanced meat preservation methods: A mini review. J. Food Saf. 2018, 38, e12467. [Google Scholar] [CrossRef]
- Khan, S.A. The role of pomegranate (Punica granatum L.) in colon cancer. Short communication. Pak. J. Pharm. Sci. 2009, 22, 346–348. [Google Scholar] [PubMed]
- Hasnol, N.D.S.; Jinap, S.; Sanny, M. Effect of different types of sugars in a marinating formulation on the formation of heterocyclic amines in grilled chicken. Food Chem. 2014, 145, 514–521. [Google Scholar] [CrossRef] [PubMed]
- Viegas, O.; Amaro, L.F.; Ferreira, I.M.P.L.V.O.; Pinho, O. Inhibitory effect of antioxidant-rich marinades on the formation of heterocyclic aromatic amines in pan-fried beef. J. Agric. Food Chem. 2012, 60, 6235–6240. [Google Scholar] [CrossRef]
- Szterk, A.; Jesionkowska, K. Influence of the cold storage time of raw beef meat and grilling parameters on sensory quality and content of heterocyclic aromatic amines. LWT Food Sci. Technol. 2015, 61, 299–308. [Google Scholar] [CrossRef]
- Domínguez, R.; Gómez, M.; Fonseca, S.; Lorenzo, J.M. Effect of different cooking methods on lipid oxidation and formation of volatile compounds in foal meat. Meat Sci. 2014, 97, 223–230. [Google Scholar] [CrossRef]
- Vichapong, J.; Burakham, R.; Srijaranai, S. Air-agitated cloud-point extraction coupled with high-performance liquid chromatography for determination of heterocyclic aromatic amines in smoked sausages. Food Anal. Methods 2017, 10, 1645–1652. [Google Scholar] [CrossRef]
- Chen, J.; He, Z.; Qin, F.; Chen, J.; Zeng, M. Formation of free and protein-bound heterocyclic amines in roast beef patties assessed by UPLC-MS/MS. J. Agric. Food Chem. 2017, 65, 4493–4499. [Google Scholar] [CrossRef]
- Boskovic, M.; Baltic, M. Association between red meat consumption and cancer risk. Sci. J. Meat Technol. 2017, 57, 81–88. [Google Scholar]
- Barzegar, F.; Kamankesh, M.; Mohammadi, A. Heterocyclic aromatic amines in cooked food: A review on formation, health risk-toxicology and their analytical techniques. Food Chem. 2019, 280, 240–254. [Google Scholar] [CrossRef] [PubMed]
- Puangsombat, K.; Gadgil, P.; Houser, T.A.; Hunt, M.C.; Smith, J.S. Heterocyclic amine content in commercial ready to eat meat products. Meat Sci. 2011, 88, 227–233. [Google Scholar] [CrossRef] [PubMed]
- Hou, C.; Wang, Z.; Wu, L.; Chai, J.; Song, X.; Wang, W.; Zhang, D. Effects of breeds on the formation of heterocyclic aromatic amines in smoked lamb. Int. J. Food Sci. Technol. 2017, 52, 2661–2669. [Google Scholar] [CrossRef]
- Tengilimoglu-Metin, M.M.; Kizil, M. Reducing effect of artichoke extract on heterocyclic aromatic amine formation in beef and chicken breast meat. Meat Sci. 2017, 134, 68–75. [Google Scholar] [CrossRef]
- Gibis, M. Heterocyclic aromatic amines in cooked meat products: causes, formation, occurrence, and risk assessment. Compr. Rev. Food Sci. Food Saf. 2016, 15, 269–302. [Google Scholar] [CrossRef] [PubMed]
- Zhang, W.Y.; Lee, J.J.; Kim, Y.; Kim, I.S.; Han, J.H.; Lee, S.G.; Ahn, M.J.; Jung, S.H.; Myung, C.S. Effect of eriodictyol on glucose uptake and insulin resistance in vitro. J. Agric. Food Chem. 2012, 60, 7652–7658. [Google Scholar] [CrossRef]
- Lippi, G.; Mattiuzzi, C.; Cervellin, G. Meat consumption and cancer risk: A critical review of published meta-analyses. Crit. Rev. Oncol. Hematol. 2016, 97, 1–14. [Google Scholar] [CrossRef] [PubMed]
- Sanz Alaejos, M.; Ayala, J.H.; González, V.; Afonso, A.M. Analytical methods applied to the determination of heterocyclic aromatic amines in foods. J. Chromatogr. B Anal. Technol. Biomed. Life Sci. 2008, 862, 15–42. [Google Scholar] [CrossRef] [PubMed]
- Bouvard, V.; Loomis, D.; Guyton, K.Z.; Grosse, Y.; El Ghissassi, F.; Benbrahim-Tallaa, L.; Guha, N.; Mattock, H.; Straif, K.; Stewart, B.W.; et al. Carcinogenicity of consumption of red and processed meat. Lancet Oncol. 2015, 16, 1599–1600. [Google Scholar] [CrossRef] [Green Version]
- Dong, A.; Lee, J.; Shin, H.S. Influence of natural food ingredients on the formation of heterocyclic amines in fried beef patties and chicken breasts. Food Sci. Biotechnol. 2011, 20, 359–365. [Google Scholar] [CrossRef]
- Lu, F.; Kuhnle, G.K.; Cheng, Q. The effect of common spices and meat type on the formation of heterocyclic amines and polycyclic aromatic hydrocarbons in deep-fried meatballs. Food Control. 2018, 92, 399–411. [Google Scholar] [CrossRef]
- Zeng, M.; He, Z.; Zheng, Z.; Qin, F.; Tao, G.; Zhang, S.; Gao, Y.; Chen, J. Effect of six chinese spices on heterocyclic amine profiles in roast beef patties by ultra performance liquid chromatography-tandem mass spectrometry and principal component analysis. J. Agric. Food Chem. 2014, 62, 9908–9915. [Google Scholar] [CrossRef] [PubMed]
- Ranjha, M.M.A.N.; Irfan, S.; Nadeem, M.; Mahmood, S. A comprehensive review on nutritional value, medicinal uses, and processing of banana. Food Rev. Int. 2020. [Google Scholar] [CrossRef]
- Ranjha, M.M.A.N.; Amjad, S.; Ashraf, S.; Khawar, L.; Safdar, M.N.; Jabbar, S.; Nadeem, M.; Mahmood, S.; Murtaza, M.A. Extraction of polyphenols from apple and pomegranate peels employing different extraction techniques for the development of functional date bars. Int. J. Fruit Sci. 2020, 20, 1201–1221. [Google Scholar] [CrossRef]
- Shehzadi, K.; Rubab, Q.; Asad, L.; Ishfaq, M.; Shafique, B.; Modassar, M.; Ranjha, A.N.; Mahmood, S.; Mueen-Ud-Din, G.; Javaid, T.; et al. A critical review on presence of polyphenols in commercial varieties of apple peel, their extraction and Health benefits. Open Access J. Biog. Sci. Res. 2020, 6. [Google Scholar] [CrossRef]
- Sabtain, B.; Farooq, R.; Shafique, B.; Modassar, M.; Ranjha, A.N. A narrative review on the phytochemistry, nutritional profile and properties of prickly pear fruit. Open Access J. Biog. Sci. Res. 2021, 7. [Google Scholar] [CrossRef]
- Oz, F.; Zikirov, E. The effects of sous-vide cooking method on the formation of heterocyclic aromatic amines in beef chops. LWT Food Sci. Technol. 2015, 64, 120–125. [Google Scholar] [CrossRef]
- Irfan, S.; Ranjha, M.M.A.N.; Mahmood, S.; Saeed, W.; Alam, M.Q. Lemon peel: A natural medicine. Int. J. Biotechnol. Allied Fields 2018, 7, 185–194. [Google Scholar]
- Irfan, S.; Ranjha, M.M.A.N.; Mahmood, S.; Mueen-ud-Din, G.; Rehman, S.; Saeed, W.; Qamrosh Alam, M.; Mahvish Zahra, S.; Yousaf Quddoos, M.; Ramzan, I.; et al. A critical review on pharmaceutical and medicinal importance of ginger. Acta Sci. Nutr. Health 2019, 3, 78–82. [Google Scholar]
- Sepahpour, S.; Selamat, J.; Khatib, A.; Manap, M.Y.A.; Abdull Razis, A.F.; Hajeb, P. Inhibitory effect of mixture herbs/spices on formation of heterocyclic amines and mutagenic activity of grilled beef. Food Addit. Contam. Part A Chem. Anal. Control. Expo. Risk Assess. 2018, 35, 1911–1927. [Google Scholar] [CrossRef] [Green Version]
- Ranjha, M.M.A.N.; Shafique, B.; Wang, L.; Irfan, S.; Safdar, M.N.; Murtaza, M.A.; Nadeem, M.; Mahmood, S.; Mueen-ud-Din, G.; Nadeem, H.R. A comprehensive review on phytochemistry, bioactivity and medicinal value of bioactive compounds of pomegranate (Punica granatum). Adv. Tradit. Med. 2021. [Google Scholar] [CrossRef]
- Keşkekoǧlu, H.; Üren, A. Inhibitory effects of pomegranate seed extract on the formation of heterocyclic aromatic amines in beef and chicken meatballs after cooking by four different methods. Meat Sci. 2014, 96, 1446–1451. [Google Scholar] [CrossRef]
- Natale, D.; Gibis, M.; Rodriguez-Estrada, M.T.; Weiss, J. Inhibitory effect of liposomal solutions of grape seed extract on the formation of heterocyclic aromatic amines. J. Agric. Food Chem. 2014, 62, 279–287. [Google Scholar] [CrossRef] [PubMed]
- Rounds, L.; Havens, C.M.; Feinstein, Y.; Friedman, M.; Ravishankar, S. Concentration-dependent inhibition of Escherichia coli O157: H7 and heterocyclic amines in heated ground beef patties by apple and olive extracts, onion powder and clove bud oil. Meat Sci. 2013, 94, 461–467. [Google Scholar] [CrossRef]
- Jinap, S.; Iqbal, S.Z.; Selvam, R.M.P. Effect of selected local spices marinades on the reduction ofheterocyclic amines in grilled beef (satay). LWT Food Sci. Technol. 2015, 63, 919–926. [Google Scholar] [CrossRef]
- Damašius, J.; Venskutonis, P.R.; Ferracane, R.; Fogliano, V. Assessment of the influence of some spice extracts on the formation of heterocyclic amines in meat. Food Chem. 2011, 126, 149–156. [Google Scholar] [CrossRef]
- Ruan, E.D.; Juárez, M.; Thacker, R.; Yang, X.; Dugan, M.E.R.; Aalhus, J.L. Dietary vitamin E effects on the formation of heterocyclic amines in grilled lean beef. Meat Sci. 2014, 96, 849–853. [Google Scholar] [CrossRef]
- Wong, D.; Cheng, K.W.; Wang, M. Inhibition of heterocyclic amine formation by water-soluble vitamins in Maillard reaction model systems and beef patties. Food Chem. 2012, 133, 760–766. [Google Scholar] [CrossRef]
- Szterk, A.; Waszkiewicz-Robak, B. Influence of selected quality factors of beef on the profile and the quantity of heterocyclic aromatic amines during processing at high temperature. Meat Sci. 2014, 96, 1177–1184. [Google Scholar] [CrossRef]
- Xian, Y.; Wu, Y.; Dong, H.; Chen, L.; Zhang, C.; Hou, X.; Zeng, X.; Bai, W.; Guo, X. Modified QuEChERS purification and Fe3O4 nanoparticle decoloration for robust analysis of 14 heterocyclic aromatic amines and acrylamide in coffee products using UHPLC-MS/MS. Food Chem. 2019, 285, 77–85. [Google Scholar] [CrossRef] [PubMed]
- Szterk, A.; Roszko, M.; Cybulski, A. Determination of azaarenes in oils using the LC-APCI-MS/MS technique: New environmental toxicant in food oils. J. Sep. Sci. 2012, 35, 2858–2865. [Google Scholar] [CrossRef]
- Casal, S.; Mendes, E.; Fernandes, J.O.; Oliveira, M.B.P.P.; Ferreira, M.A. Analysis of heterocyclic aromatic amines in foods by gas chromatography-mass spectrometry as their tert.-butyldimethylsilyl derivatives. J. Chromatogr. A 2004, 1040, 105–114. [Google Scholar] [CrossRef] [PubMed]
- Solyakov, A.; Skog, K. Screening for heterocyclic amines in chicken cooked in various ways. Food Chem. Toxicol. 2002, 40, 1205–1211. [Google Scholar] [CrossRef]
- Puangsombat, K.; Gadgil, P.; Houser, T.A.; Hunt, M.C.; Smith, J.S. Occurrence of heterocyclic amines in cooked meat products. Meat Sci. 2012, 90, 739–746. [Google Scholar] [CrossRef] [Green Version]
- Gibis, M.; Weiss, J. Impact of precursors creatine, creatinine, and glucose on the formation of heterocyclic aromatic amines in grilled patties of various animal species. J. Food Sci. 2015, 80, C2430–C2439. [Google Scholar] [CrossRef] [PubMed]
- Gibis, M.; Loeffler, M. Effect of creatine and glucose on formation of heterocyclic amines in grilled chicken breasts. Foods 2019, 8, 616. [Google Scholar] [CrossRef] [Green Version]
- Račkauskienė, I.; Pukalskas, A.; Fiore, A.; Troise, A.D.; Venskutonis, P.R. Phytochemical-rich antioxidant extracts of Vaccinium Vitis-idaea L. leaves inhibit the formation of toxic maillard reaction products in food models. J. Food Sci. 2019, 84, 3494–3503. [Google Scholar] [CrossRef]
- Cheng, K.W.; Wu, Q.; Zong, P.Z.; Peng, X.; Simon, J.E.; Chen, F.; Wang, M. Inhibitory effect of fruit extracts on the formation of heterocyclic amines. J. Agric. Food Chem. 2007, 55, 10359–10365. [Google Scholar] [CrossRef] [PubMed]
- Zöchling, S.; Murkovic, M. Formation of the heterocyclic aromatic amine PhIP: Identification of precursors and intermediates. Food Chem. 2002, 79, 125–134. [Google Scholar] [CrossRef]
- Jinap, S.; Mohd-Mokhtar, M.S.; Farhadian, A.; Hasnol, N.D.S.; Jaafar, S.N.; Hajeb, P. Effects of varying degrees of doneness on the formation of heterocyclic aromatic amines in chicken and beef satay. Meat Sci. 2013, 94, 202–207. [Google Scholar] [CrossRef]
- Oz, F.; Kizil, M.; Zaman, A.; Turhan, S. The effects of direct addition of low and medium molecular weight chitosan on the formation of heterocyclic aromatic amines in beef chop. LWT Food Sci. Technol. 2016, 65, 861–867. [Google Scholar] [CrossRef]
- Oz, F.; Kaban, G.; Kaya, M. Effects of cooking methods and levels on formation of heterocyclic aromatic amines in chicken and fish with Oasis extraction method. LWT Food Sci. Technol. 2010, 43, 1345–1350. [Google Scholar] [CrossRef]
- Polak, M.L.; Demšar, L.; Zahija, I.; Polak, T. Influence of temperature on the formation of heterocyclic aromatic amines in pork steaks. Czech. J. Food Sci. 2020, 38, 248–254. [Google Scholar] [CrossRef]
- Knize, M.G.; Dolbeare, F.A.; Carroll, K.L.; Moore, D.H.; Felton, J.S. Effect of cooking time and temperature on the heterocyclic amine content of fried beef patties. Food Chem. Toxicol. 1994, 32, 595–603. [Google Scholar] [CrossRef]
- Knize, M.G.; Salmon, C.P.; Mehta, S.S.; Felton, J.S. Analysis of cooked muscle meats for heterocyclic aromatic amine carcinogens. Mutat. Res. Fundam. Mol. Mech. Mutagen. 1997, 376, 129–134. [Google Scholar] [CrossRef]
- Janoszka, B. Heterocyclic amines and azaarenes in pan-fried meat and its gravy fried without additives and in the presence of onion and garlic. Food Chem. 2010, 120, 463–473. [Google Scholar] [CrossRef]
- Alaejos, M.S.; Afonso, A.M. Factors that affect the content of heterocyclic aromatic amines in foods. Compr. Rev. Food Sci. Food Saf. 2011, 10, 52–108. [Google Scholar] [CrossRef]
- Bordas, M.; Moyano, E.; Puignou, L.; Galceran, M.T. Formation and stability of heterocyclic amines in a meat flavour model system: Effect of temperature, time and precursors. J. Chromatogr. B Anal. Technol. Biomed. Life Sci. 2004, 802, 11–17. [Google Scholar] [CrossRef] [PubMed]
- Tai, C.Y.; Lee, K.H.; Chen, B.H. Effects of various additives on the formation of heterocyclic amines in fried fish fibre. Food Chem. 2001, 75, 309–316. [Google Scholar] [CrossRef]
- Wu, M.C.; Ma, C.Y.; Yang, C.C.; Kao, W.C.; Shen, S.C. The formation of IQ type mutagens from Maillard reaction in ethanolic solution. Food Chem. 2011, 125, 582–587. [Google Scholar] [CrossRef]
- Jung, K.; Lee, K.; Park, J.; Dong, A.; Shin, H.S. Influence of fructooligosaccharides and garlic on formation of heterocyclic amines in fried ground beef patties. Food Sci. Biotechnol. 2010, 19, 1159–1164. [Google Scholar] [CrossRef]
- Liao, G.Z.; Wang, G.Y.; Xu, X.L.; Zhou, G.H. Effect of cooking methods on the formation of heterocyclic aromatic amines in chicken and duck breast. Meat Sci. 2010, 85, 149–154. [Google Scholar] [CrossRef] [PubMed]
- Skog, K. Problems associated with the determination of heterocyclic amines in cooked foods and human exposure. Food Chem. Toxicol. 2002, 40, 1197–1203. [Google Scholar] [CrossRef]
- Kizil, M.; Oz, F.; Besler, H.T. A review on the formation of carcinogenic/mutagenic heterocyclic aromatic amines. J. Food Process. Technol. 2011, 02, 2–5. [Google Scholar] [CrossRef] [Green Version]
- Özdestan, Ö.; Kaçar, E.; Keşkekoğlu, H.; Üren, A. Development of a new extraction method for heterocyclic aromatic amines determination in cooked meatballs. Food Anal. Methods 2014, 7, 116–126. [Google Scholar] [CrossRef]
- Murkovic, M. Chemistry, formation and occurrence of genotoxic heterocyclic aromatic amines in fried products. Eur. J. Lipid Sci. Technol. 2004, 106, 777–785. [Google Scholar] [CrossRef]
- Yu, D.; Chen, M.; Yu, S. Effect of sugarcane molasses extract on the formation of 2-amino-1- methyl-6-phenylimidazo (4, 5-b] pyridine (PhIP) in a model system. Food Chem. 2016, 197, 924–929. [Google Scholar] [CrossRef]
- Karpavičiūte, D.; Murkovic, M.; Vinauskiene, R.; Venskutonis, R. Determination of non-polar heterocyclic aromatic amines in roasted coffee by SPE-HPLC-FLD. Chem. Pap. 2017, 71, 67–70. [Google Scholar] [CrossRef]
- Sahar, A.; Portanguen, S.; Kondjoyan, A.; Dufour, E. Potential of synchronous fluorescence spectroscopy coupled with chemometrics to determine the heterocyclic aromatic amines in grilled meat. Eur. Food Res. Technol. 2010, 231, 803–812. [Google Scholar] [CrossRef]
- Balogh, Z.; Gray, J.I.; Gomaa, E.A.; Booren, A.M. Formation and inhibition of heterocyclic aromatic amines in fried ground beef patties. Food Chem. Toxicol. 2000, 38, 395–401. [Google Scholar] [CrossRef]
- Oz, F.; Kotan, G. Effects of different cooking methods and fat levels on the formation of heterocyclic aromatic amines in various fishes. Food Control 2016, 67, 216–224. [Google Scholar] [CrossRef]
- Unal, K.; Karakaya, M.; Oz, F. The effects of different spices and fat types on the formation of heterocyclic aromatic amines in barbecued sucuk. J. Sci. Food Agric. 2018, 98, 719–725. [Google Scholar] [CrossRef] [PubMed]
- Raza, A.; Shabbir, M.A.; Khan, M.I.; Suleria, H.A.R.; Sultan, S. Effect of Thermal Treatments on the Formation of Heterocyclic Aromatic Amines in Various Meats. J. Food Process. Preserv. 2015, 39, 376–383. [Google Scholar] [CrossRef]
- Haskaraca, G.; Demirok, E.; Kolsarici, N.; Öz, F.; Özsaraç, N. Effect of green tea extract and microwave pre-cooking on the formation of heterocyclic aromatic amines in fried chicken meat products. Food Res. Int. 2014, 63, 373–381. [Google Scholar] [CrossRef]
- Aeenehvand, S.; Toudehrousta, Z.; Kamankesh, M.; Mashayekh, M.; Tavakoli, H.R.; Mohammadi, A. Evaluation and application of microwave-assisted extraction and dispersive liquid-liquid microextraction followed by high-performance liquid chromatography for the determination of polar heterocyclic aromatic amines in hamburger patties. Food Chem. 2016, 190, 429–435. [Google Scholar] [CrossRef]
- Richling, E.; Decker, C.; Häring, D.; Herderich, M.; Schreier, P. Analysis of heterocyclic aromatic amines in wine by high-performance liquid chromatography-electrospray tandem mass spectrometry. J. Chromatogr. A 1997, 791, 71–77. [Google Scholar] [CrossRef]
- Krach, C.; Sontag, G. Determination of some heterocyclic aromatic amines in soup cubes by ion-pair chromatography with coulometric electrode array detection. Anal. Chim. Acta 2000, 417, 77–83. [Google Scholar] [CrossRef]
- Stavric, B.; Lau, B.P.Y.; Matula, T.I.; Klassen, R.; Lewis, D.; Downie, R.H. Mutagenic heterocyclic aromatic amines (HAAs) in “processed food flavour” samples. Food Chem. Toxicol. 1997, 35, 185–197. [Google Scholar] [CrossRef]
- Khan, M.R.; Naushad, M.; Alothman, Z.A.; Alsohaimi, I.H.; Algamdi, M.S. Solid phase extraction and ultra performance liquid chromatography-tandem mass spectrometric identification of carcinogenic/mutagenic heterocyclic amines in cooked camel meat. RSC Adv. 2015, 5, 2479–2485. [Google Scholar] [CrossRef]
- Gross, G.A.; Turesky, R.J.; Fay, L.B.; Stillwell, W.G.; Skipper, P.L.; Tannenbaum, S.R. Heterocyclic aromatic amine formation in grilled bacon, beef and fish and in grill scrapings. Carcinogenesis 1993, 14, 2313–2318. [Google Scholar] [CrossRef]
- Ni, W.; McNaughton, L.; LeMaster, D.M.; Sinha, R.; Turesky, R.J. Quantitation of 13 heterocyclic aromatic amines in cooked beef, pork, and chicken by liquid chromatography-electrospray ionization/tandem mass spectrometry. J. Agric. Food Chem. 2008, 56, 68–78. [Google Scholar] [CrossRef]
- Turesky, R.J.; Taylor, J.; Schnackenberg, L.; Freeman, J.P.; Holland, R.D. Quantitation of carcinogenic heterocyclic aromatic amines and detection of novel heterocyclic aromatic amines in cooked meats and grill scrappings by HPLC/ESI-MS. J. Agric. Food Chem. 2005, 53, 3248–3258. [Google Scholar] [CrossRef]
- Gibis, M.; Kruwinnus, M.; Weiss, J. Impact of different pan-frying conditions on the formation of heterocyclic aromatic amines and sensory quality in fried bacon. Food Chem. 2015, 168, 383–389. [Google Scholar] [CrossRef]
- Naccari, C.; Galceran, M.T.; Moyano, E.; Cristani, M.; Siracusa, L.; Trombetta, D. Presence of heterocyclic aromatic amines (HAS) in smoked “Provola” cheese from Calabria (Italy). Food Chem. Toxicol. 2009, 47, 321–327. [Google Scholar] [CrossRef] [PubMed]
- Yang, Z.; Lu, R.U.I.; Song, H.; Zhang, Y.U.; Tang, J.; Zhou, N. Effect of different cooking methods on the formation of aroma components and heterocyclic amines in pork loin. J. Food Process. Preserv. 2016, 1–8. [Google Scholar] [CrossRef]
- Busquets, R.; Puignou, L.; Galceran, M.T.; Wakabayashi, K.; Skog, K. Liquid chromatography-tandem mass spectrometry analysis of 2-amino-1-methyl-6-(4-hydroxyphenyl)imidazo[4,5-b]pyridine in cooked meats. J. Agric. Food Chem. 2007, 55, 9318–9324. [Google Scholar] [CrossRef]
- Becher, G.; Knize, M.G.; Nes, I.F.; Felton, J.S. Isolation and identification of mutagens from a fried norwegian meat product. Carcinogenesis 1988, 9, 247–253. [Google Scholar] [CrossRef] [PubMed]
- Zou, X.; Yan, C.; Shi, Y.; Cao, K.; Xu, J.; Wang, X.; Chen, C.; Luo, C.; Li, Y.; Gao, J.; et al. Mitochondrial dysfunction in obesity-associated nonalcoholic fatty liver disease: The protective effects of pomegranate with its active component punicalagin. Antioxidants Redox Signal. 2014, 21, 1557–1570. [Google Scholar] [CrossRef]
- Martín-Calero, A.; Pino, V.; Ayala, J.H.; González, V.; Afonso, A.M. Ionic liquids as mobile phase additives in high-performance liquid chromatography with electrochemical detection: Application to the determination of heterocyclic aromatic amines in meat-based infant foods. Talanta 2009, 79, 590–597. [Google Scholar] [CrossRef]
- Herraiz, T. Identification and occurence of the bioactive β-carbolines norharman and harman in coffee brews. Food Addit. Contam. 2002, 19, 748–754. [Google Scholar] [CrossRef] [PubMed]
- Szterk, A. Heterocyclic aromatic amines in grilled beef: The influence of free amino acids, nitrogenous bases, nucleosides, protein and glucose on HAAs content. J. Food Compos. Anal. 2015, 40, 39–46. [Google Scholar] [CrossRef]
- Gross, G.A.; Grüter, A.; Heyland, S. Optimization of the sensitivity of high-performance liquid chromatography in the detection of heterocyclic aromatic amine mutagens. Food Chem. Toxicol. 1992, 30, 491–498. [Google Scholar] [CrossRef]
- Costa, M.; Viegas, O.; Melo, A.; Petisca, C.; Pinho, O.; Ferreira, I.M.P.L. Heterocyclic aromatic amine formation in barbecued sardines (sardina pilchardus) and atlantic salmon (salmo salar). J. Agric. Food Chem. 2009, 57, 3173–3179. [Google Scholar] [CrossRef]
- Sentellas, S.; Moyano, E.; Puignuo, L.; Galceran, M.T. Determination of heterocyclic aromatic amines by capillary electrophoresis coupled to mass spectrometry using in-line preconcentration. Electrophoresis 2003, 24, 3075–3082. [Google Scholar] [CrossRef]
- Yan, A.Y.; Zhang, S.; Tao, G. Acetonitrile extraction coupled with UHPLC–MS/MS for the accurate quantification of 17-heterocyclic aromatic amines in meat products. J. Chromatogr. B 2017, 10, 1–25. [Google Scholar] [CrossRef]
- Feng, Z.; Quan-Fu, L.; Xiao-Gang, C.; Jing, L.; Li, S.; Yun, L.; Cheng-Bao, X. Simultaneous determination of 15 heterocyclic amines in grilled fish using solid phase extraction and ultra performance liquid chromatography with electrospray ionization tandem mass spectrometry. Chin. J. Anal. Chem. 2011, 39, 501–505. [Google Scholar]
- Lee, J.; Dong, A.; Jung, K.; Shin, H.S. Influence of extra virgin olive oil on the formation of heterocyclic amines in roasted beef steak. Food Sci. Biotechnol. 2011, 20, 159–165. [Google Scholar] [CrossRef]
- Zaidi, R.; Rani Rawat, P. Identification of heterocyclic amines in Indian home cooked and commercially available meat foods. J. Nutr. Food Sci. 2011, 1. [Google Scholar] [CrossRef]
- Jautz, U.; Gibis, M.; Morlock, G.E. Quantification of heterocyclic aromatic amines in fried meat by HPTLC/UV-FLD and HPLC/UV-FLD: A comparison of two methods. J. Agric. Food Chem. 2008, 56, 4311–4319. [Google Scholar] [CrossRef]
- Vanderlaan, M.; Watkins, B.E.; Hwang, M.; Kinze, M.G.; Felton, J.S. Monoclonal antibodies to 2-amino-1-methyl-6-phenylimidazo[4,5-b] pyridine (PhIP) and their use in the analysis of well-done fried beef. Carcinogenesis 1989, 10, 2215–2221. [Google Scholar] [CrossRef]
- Roemer, E.; Meisgen, T.; Diekmann, J.; Conroy, L.; Stabbert, R. Heterocyclic aromatic amines and their contribution to the bacterial mutagenicity of the particulate phase of cigarette smoke. Toxicol. Lett. 2016, 243, 40–47. [Google Scholar] [CrossRef] [PubMed] [Green Version]
- Sugimura, T.; Wakabayashi, K.; Nakagama, H.; Nagao, M. Heterocyclic amines: Mutagens/carcinogens produced during cooking of meat and fish. Gann Monogr. Cancer Res. 2004, 52, 71–96. [Google Scholar] [CrossRef] [PubMed]
- Püssa, T. Toxicological issues associated with production and processing of meat. Meat Sci. 2013, 95, 844–853. [Google Scholar] [CrossRef]
- Lynch, A.M.; Murray, S.; Gooderham, N.J.; Boobis, A.R. Exposure to and activation of dietary heterocyclic amines in humans. Crit. Rev. Oncol. Hematol. 1995, 21, 19–31. [Google Scholar] [CrossRef]
- Sasaki, J.C.; Fellers, R.S.; Colvin, M.E. Metabolic oxidation of carcinogenic arylamines by P450 monooxygenases: Theoretical support for the one-electron transfer mechanism. Mutat. Res. Fundam. Mol. Mech. Mutagen. 2002, 506–507, 79–89. [Google Scholar] [CrossRef]
- Turesky, R.J.; Le Marchand, L. Metabolism and biomarkers of heterocyclic aromatic amines in molecular epidemiology studies: Lessons learned from aromatic amines. Chem. Res. Toxicol. 2011, 24, 1169–1214. [Google Scholar] [CrossRef] [Green Version]
- Bogen, K.T.; Keating, G.A. U.S. dietary exposures to heterocyclic amines. J. Expo. Anal. Environ. Epidemiol. 2001, 11, 155–168. [Google Scholar] [CrossRef] [Green Version]
- Skog, K.; Solyakov, A.; Jägerstad, M. Effects of heating conditions and additives on the formation of heterocyclic amines with reference to amino-carbolines in a meat juice model system. Food Chem. 2000, 68, 299–308. [Google Scholar] [CrossRef]
- Sinha, R.; Rothman, N.; Salmon, C.P.; Mark, S.D.; Brown, E.D.; Levander, O.A.; Knize, M.G.; Swanson, C.A.; Felton, J.S.; Rossi, S.C. High concentrations of the carcinogen 2-amino-1-methyl-6-phenylimidazo-[4,5-b]pyridine (phip) occur in chicken but are dependent on the cooking method. Cancer Res. 1995, 55, 4516–4519. [Google Scholar]
- Wolk, A. Potential health hazards of eating red meat. J. Intern. Med. 2017, 281, 106–122. [Google Scholar] [CrossRef] [PubMed]
- Sabally, K.; Sleno, L.; Jauffrit, J.A.; Iskandar, M.M.; Kubow, S. Inhibitory effects of apple peel polyphenol extract on the formation of heterocyclic amines in pan fried beef patties. Meat Sci. 2016, 117, 57–62. [Google Scholar] [CrossRef]
- Rohrmann, S.; Hermann, S.; Linseisen, J. Heterocyclic aromatic amine intake increases colorectal adenoma risk: Findings from a prospective European cohort study. Am. J. Clin. Nutr. 2009, 89, 1418–1424. [Google Scholar] [CrossRef] [Green Version]
- Szterk, A. Chemical state of heterocyclic aromatic amines in grilled beef: Evaluation by in vitro digestion model and comparison of alkaline hydrolysis and organic solvent for extraction. Food Chem. Toxicol. 2013, 62, 653–660. [Google Scholar] [CrossRef]
- Oba, S.; Shimizu, N.; Nagata, C.; Shimizu, H.; Kametani, M.; Takeyama, N.; Ohnuma, T.; Matsushita, S. The relationship between the consumption of meat, fat, and coffee and the risk of colon cancer: A prospective study in Japan. Cancer Lett. 2006, 244, 260–267. [Google Scholar] [CrossRef] [PubMed]
- Namiranian, N.; Moradi-Lakeh, M.; Razavi-Ratki, S.K.; Doayie, M.; Nojomi, M. Risk factors of breast cancer in the eastern mediterranean region: A systematic review and meta-analysis. Asian Pac. J. Cancer Prev. 2014, 15, 9535–9541. [Google Scholar] [CrossRef] [PubMed] [Green Version]
- Paluszkiewicz, P.; Smolińska, K.; Debińska, I.; Turski, W.A. Main dietary compounds and pancreatic cancer risk. The quantitative analysis of case-control and cohort studies. Cancer Epidemiol. 2012, 36, 60–67. [Google Scholar] [CrossRef] [PubMed]
- Smolińska, K.; Paluszkiewicz, P. Risk of colorectal cancer in relation to frequency and total amount of red meat consumption. Systematic review and meta-analysis. Arch. Med. Sci. 2010, 6, 605–610. [Google Scholar] [CrossRef]
- Puangsombat, K.; Jirapakkul, W.; Smith, J.S. Inhibitory activity of Asian spices on heterocyclic amines formation in cooked beef patties. J. Food Sci. 2011, 76, 174–180. [Google Scholar] [CrossRef]
- Lim, W.Y.; Chuah, K.L.; Eng, P.; Leong, S.S.; Lim, E.; Lim, T.K.; Ng, A.; Poh, W.T.; Tee, A.; Teh, M.; et al. Meat consumption and risk of lung cancer among never-smoking women. Nutr. Cancer 2011, 63, 850–859. [Google Scholar] [CrossRef]
- Miyazawa, M.; Okuno, Y.; Imanishi, K. Suppression of the SOS-inducing activity of mutagenic heterocyclic amine, Trp-P-1, by triterpenoid from Uncaria sinensis in the Salmonella typhimurium TA1535/pSK1002 umu test. J. Agric. Food Chem. 2005, 53, 2312–2315. [Google Scholar] [CrossRef]
- Im, J.; Choi, H.S.; Kim, S.K.; Woo, S.S.; Ryu, Y.H.; Kang, S.S.; Yun, C.H.; Han, S.H. A food-born heterocyclic amine, 2-amino-1-methyl-6-phenylimidazo[4,5-b]pyridine (PhIP), suppresses tumor necrosis factor-α expression in lipoteichoic acid-stimulated RAW 264.7 cells. Cancer Lett. 2009, 274, 109–117. [Google Scholar] [CrossRef] [PubMed]
- Gibis, M.; Weiss, J. Antioxidant capacity and inhibitory effect of grape seed and rosemary extract in marinades on the formation of heterocyclic amines in fried beef patties. Food Chem. 2012, 134, 766–774. [Google Scholar] [CrossRef] [PubMed]
- Ahn, J.; Grün, I.U. Heterocyclic amines: 2. inhibitory effects of natural extracts on the formation of polar and nonpolar heterocyclic amines in cooked beef. J. Food Sci. 2006, 70, C263–C268. [Google Scholar] [CrossRef]
- Schwab, C.E.; Huber, W.W.; Parzefall, W.; Hietsch, G.; Kassie, F.; Schulte-Hermann, R.; Knasmüller, S. Search for compounds that inhibit the genotoxic and carcinogenic effects of heterocyclic aromatic amines. Crit. Rev. Toxicol. 2000, 30, 1–69. [Google Scholar] [CrossRef]
- Egbuonu, A.; Osuji, C. Proximate compositions and antibacterial activity of citrus sinensis (sweet orange) peel and seed extracts. Eur. J. Med. Plants 2016, 12, 1–7. [Google Scholar] [CrossRef]
- Dhawan, A.; Anderson, D.; De Pascual-Teresa, S.; Santos-Buelga, C.; Clifford, M.N.; Ioannides, C. Evaluation of the antigenotoxic potential of monomeric and dimeric flavanols, and black tea polyphenols against heterocyclic amine-induced DNA damage in human lymphocytes using the Comet assay. Mutat. Res. Genet. Toxicol. Environ. Mutagen. 2002, 515, 39–56. [Google Scholar] [CrossRef]
- Anand, T.; Sundararajan, M.; Anbukkarasi, M.; Thomas, P.A.; Geraldine, P. A Methanolic extract of Ocimum basilicum exhibits antioxidant effects and prevents selenite-induced cataract formation in cultured lenses of wistar rats. Pharmacogn. J. 2019, 11, 496–504. [Google Scholar] [CrossRef] [Green Version]
- Oguri, A.; Suda, M.; Totsuka, Y.; Sugimura, T.; Wakabayashi, K. Inhibitory effects of antioxidants on formation of heterocyclic amines. Mutat. Res. Fundam. Mol. Mech. Mutagen. 1998, 402, 237–245. [Google Scholar] [CrossRef]
- Tsen, S.Y.; Ameri, F.; Smith, J.S. Effects of rosemary extracts on the reduction of heterocyclic amines in beef patties. J. Food Sci. 2006, 71, 469–473. [Google Scholar] [CrossRef]
- Melo, A.; Viegas, O.; Petisca, C.; Pinho, O.; Ferreira, I.M.P.L.V. Effect of beer/red wine marinades on the formation of heterocyclic aromatic amines in pan-fried beef. J. Agric. Food Chem. 2008, 56, 10625–10632. [Google Scholar] [CrossRef] [PubMed]
- Busquets, R.; Puignou, L.; Galceran, M.T.; Skog, K. Effect of red wine marinades on the formation of heterocyclic amines in fried chicken breast. J. Agric. Food Chem. 2006, 54, 8376–8384. [Google Scholar] [CrossRef] [PubMed]
- Vitaglione, P.; Fogliano, V. Use of antioxidants to minimize the human health risk associated to mutagenic/carcinogenic heterocyclic amines in food. J. Chromatogr. B Anal. Technol. Biomed. Life Sci. 2004, 802, 189–199. [Google Scholar] [CrossRef] [PubMed]
- Gibis, M.; Weiss, J. Inhibitory effect of marinades with hibiscus extract on formation of heterocyclic aromatic amines and sensory quality of fried beef patties. Meat Sci. 2010, 85, 735–742. [Google Scholar] [CrossRef] [PubMed]
- Shin, H.S.; Park, H.; Park, D. Influence of different oligosaccharides and inulin on heterocyclic aromatic amine formation and overall mutagenicity in fried ground beef patties. J. Agric. Food Chem. 2003, 51, 6726–6730. [Google Scholar] [CrossRef] [PubMed]
- Gibis, M.; Schuh, V.; Allard, K.; Weiss, J. Influence of molecular weight and degree of substitution of various carboxymethyl celluloses on unheated and heated emulsion-type sausage models. Carbohydr. Polym. 2017, 159, 76–85. [Google Scholar] [CrossRef]
- Tengilimoglu-Metin, M.M.; Hamzalioglu, A.; Gokmen, V.; Kizil, M. Inhibitory effect of hawthorn extract on heterocyclic aromatic amine formation in beef and chicken breast meat. Food Res. Int. 2017, 99, 586–595. [Google Scholar] [CrossRef]
- Oz, F. Quantitation of heterocyclic aromatic amines in ready to eat meatballs by ultra fast liquid chromatography. Food Chem. 2011, 126, 2010–2016. [Google Scholar] [CrossRef] [PubMed]
- Shin, H.S.; Ustunol, Z. Influence of honey-containing marinades on heterocyclic aromatic amine formation and overall mutagenicity in fried beef steak and chicken breast. J. Food Sci. 2006, 69, FCT147–FCT153. [Google Scholar] [CrossRef]
- Rauscher, R.; Edenharder, R.; Platt, K.L. In vitro antimutagenic and in vivo anticlastogenic effects of carotenoids and solvent extracts from fruits and vegetables rich in carotenoids. Mutat. Res. Genet. Toxicol. Environ. Mutagen. 1998, 413, 129–142. [Google Scholar] [CrossRef]
- Ito, N.; Hasegawa, R.; Imaida, K.; Tamano, S.; Hagiwara, A.; Hirose, M.; Shirai, T. Carcinogenicity of 2-amino-1-methyl-6-phenylimidazo[4,5-b]pyridine (PhIP) in the rat. Mutat. Res. Fundam. Mol. Mech. Mutagen. 1997, 376, 107–114. [Google Scholar] [CrossRef]
- Edenharder, R.; Sager, J.W.; Glatt, H.; Muckel, E.; Platt, K.L. Protection by beverages, fruits, vegetables, herbs, and flavonoids against genotoxicity of 2-acetylaminofluorene and 2-amino-1-methyl-6-phenylimidazo[4,5-b]pyridine (PhIP) in metabolically competent V79 cells. Mutat. Res. Genet. Toxicol. Environ. Mutagen. 2002, 521, 57–72. [Google Scholar] [CrossRef]
- Bao, X.; Miao, J.; Fan, Y.; Lai, K. The effective inhibition of the formation of heterocyclic aromatic amines via adding black pepper in fried tilapia fillets. J. Food Process. Preserv. 2020, 44. [Google Scholar] [CrossRef]
- Ren, X.; Wang, W.; Bao, Y.; Zhu, Y.; Zhang, Y.; Lu, Y.; Peng, Z.; Zhou, G. Isorhamnetin and hispidulin from tamarix ramosissima inhibit 2-amino-1-methyl-6-phenylimidazo[4,5-b]Pyridine (PhIP) formation by trapping phenylacetaldehyde as a key mechanism. Foods 2020, 9, 420. [Google Scholar] [CrossRef] [PubMed] [Green Version]
- Mehr, A.E.; Hosseini, S.E.; Seyadain Ardebili, S.M. Effects of nutmeg and ginger essential oils and their nanoemulsions on the formation of heterocyclic aromatic amines and polycyclic aromatic hydrocarbons in beef patties during 90 days freezing storage. J. Food Meas. Charact. 2019, 13, 2041–2050. [Google Scholar] [CrossRef]
- Teng, H.; Chen, Y.; Lin, X.; Lv, Q.; Chai, T.T.; Wong, F.C.; Chen, L.; Xiao, J. Inhibitory effect of the extract from Sonchus olearleu on the formation of carcinogenic heterocyclic aromatic amines during the pork cooking. Food Chem. Toxicol. 2019, 129, 138–143. [Google Scholar] [CrossRef] [PubMed]
- Cvetkovic, S.; Djukanovic, S.; Mitic-Culafic, D.; Nastasijevic, B.; Knezevic-Vukcevic, J.; Nikolic, B. Protective effect of Gentiana lutea root and leaf extracts against heterocyclic aromatic amines IQ and PhIP produced in thermally processed meat. In Proceedings of the IOP Conference Series: Earth and Environmental Science, Kopaonik, Serbia, 22–25 September 2019; IOP Publishing: Bristol, UK, 2019; Volume 333. [Google Scholar]
- Khan, I.A.; Liu, D.; Yao, M.; Memon, A.; Huang, J.; Huang, M. Inhibitory effect of Chrysanthemum morifolium flower extract on the formation of heterocyclic amines in goat meat patties cooked by various cooking methods and temperatures. Meat Sci. 2019, 147, 70–81. [Google Scholar] [CrossRef]
- Zeng, M.; Wang, J.; Zhang, M.; Chen, J.; He, Z.; Qin, F.; Xu, Z.; Cao, D.; Chen, J. Inhibitory effects of Sichuan pepper (Zanthoxylum bungeanum) and sanshoamide extract on heterocyclic amine formation in grilled ground beef patties. Food Chem. 2018, 239, 111–118. [Google Scholar] [CrossRef]
- Zeng, M.; Zhang, M.; He, Z.; Qin, F.; Tao, G.; Zhang, S.; Gao, Y.; Chen, J. Inhibitory profiles of chilli pepper and capsaicin on heterocyclic amine formation in roast beef patties. Food Chem. 2017, 221, 404–411. [Google Scholar] [CrossRef] [PubMed]
- Zhang, Y.; Luo, Z.; Shao, Z.; Yu, C.; Wang, S. Effects of antioxidants of bamboo leaves and flavonoids on 2-amino-1-methyl-6-phenylimidazo[4,5-b]pyridine (PhIP) formation in chemical model systems. J. Agric. Food Chem. 2014, 62, 4798–4802. [Google Scholar] [CrossRef] [PubMed]
- Puangsombat, K.; Smith, J.S. Inhibition of heterocyclic amine formation in beef patties by ethanolic extracts of rosemary. J. Food Sci. 2010, 75, 47. [Google Scholar] [CrossRef] [PubMed]
- Quelhas, I.; Petisca, C.; Viegas, O.; Melo, A.; Pinho, O.; Ferreira, I.M.P.L.V.O. Effect of green tea marinades on the formation of heterocyclic aromatic amines and sensory quality of pan-fried beef. FCT 2010, 122, 98–104. [Google Scholar] [CrossRef]
- Cheng, K.W.; Chen, F.; Wang, M. Inhibitory activities of dietary phenolic compounds on heterocyclic amine formation in both chemical model system and beef patties. Mol. Nutr. Food Res. 2007, 51, 969–976. [Google Scholar] [CrossRef]
- Persson, E.; Graziani, G.; Ferracane, R.; Fogliano, V.; Skog, K. Influence of antioxidants in virgin olive oil on the formation of heterocyclic amines in fried beefburgers. Food Chem. Toxicol. 2003, 41, 1587–1597. [Google Scholar] [CrossRef]
- Vitaglione, P.; Monti, S.M.; Ambrosino, P.; Skog, K.; Fogliano, V. Carotenoids from tomatoes inhibit heterocyclic amine formation. Eur. Food Res. Technol. 2002, 215, 108–113. [Google Scholar] [CrossRef]
- Monti, S.M.; Ritieni, A.; Sacchi, R.; Skog, K.; Borgen, E.; Fogliano, V. Characterization of phenolic compounds in virgin olive oil and their effect on the formation of carcinogenic/mutagenic heterocyclic amines in a model system. J. Agric. Food Chem. 2001, 49, 3969–3975. [Google Scholar] [CrossRef]
- Lee, H.J.; Yoon, D.K.; Lee, N.Y.; Lee, C.H. Effect of aged and fermented garlic extracts as natural antioxidants on lipid oxidation in pork patties. Food Sci. Anim. Resour. 2019, 39, 610–622. [Google Scholar] [CrossRef] [PubMed]
- Fuzzati, N. Analysis methods of ginsenosides. J. Chromatogr. B 2004, 812, 119–133. [Google Scholar] [CrossRef]
- Fraga, C.G.; Oteiza, P.I. Iron toxicity and antioxidant nutrients. Toxicology 2002, 180, 23–32. [Google Scholar] [CrossRef]
- Gobert, M.; Rémond, D.; Loonis, M.; Buffière, C.; Santé-Lhoutellier, V.; Dufour, C. Fruits, vegetables and their polyphenols protect dietary lipids from oxidation during gastric digestion. Food Funct. 2014, 5, 2166–2174. [Google Scholar] [CrossRef]
- Lund, M.N.; Ray, C.A. Control of Maillard reactions in foods: strategies and chemical mechanisms. J. Agric. Food Chem. 2017, 65, 4537–4552. [Google Scholar] [CrossRef] [PubMed] [Green Version]
- Gibis, M. Effect of oil marinades with garlic, onion, and lemon juice on the formation of heterocyclic aromatic amines in fried beef patties. J. Agric. Food Chem. 2007, 55, 10240–10247. [Google Scholar] [CrossRef] [PubMed]
- Račkauskienė, I.; Pukalskas, A.; Venskutonis, P.R.; Fiore, A.; Troise, A.D.; Fogliano, V. Effects of beetroot (Beta vulgaris) preparations on the Maillard reaction products in milk and meat-protein model systems. Food Res. Int. 2015, 70, 31–39. [Google Scholar] [CrossRef]
- Shin, H.S.; Rodgers, W.J.; Strasburg, G.M.; Gray, J.I. Reduction of heterocyclic aromatic amine formation and overall mutagenicity in fried ground beef patties by organosulfur compounds. J. Food Sci. 2002, 67, 3304–3308. [Google Scholar] [CrossRef]
- Schoch, A. Chemical and physical parameter effects on the formation of heterocyclic aromatic amines (HAA) in model systems and hamburger-model products. Fortschr. Ber. VDI Reihe 14 Landtech./Lebensm. 2003, 110. [Google Scholar]
- Murkovic, M. Formation of heterocyclic aromatic amines in model systems. J. Chromatogr. B Anal. Technol. Biomed. Life Sci. 2004, 802, 3–10. [Google Scholar] [CrossRef] [PubMed]
- Lee, S.Y.; Yim, D.G.; Lee, D.Y.; Kim, O.Y.; Kang, H.J.; Kim, H.S.; Jang, A.; Park, T.S.; Jin, S.K.; Hur, S.J. Overview of the effect of natural products on reduction of potential carcinogenic substances in meat products. Trends Food Sci. Technol. 2020, 99, 568–579. [Google Scholar] [CrossRef]


| Structure | Abbreviation/ Compound Name | Chemical Formula/ Molecular Mass | Food | Reference |
|---|---|---|---|---|
| Polar HAAs | ||||
![]() | IQ 2-Amino-3-methylimidazo[4,5-f]quinolone | C11H10N4 198.2 | Beef, Goose (Breast and Leg), Suck, Fish (Salmon, Mackerel, Sardine, Whiting, Trout, Sea bass), Chicken (Breast), Duck (Breast), Hamburger Patties, Meatball, White Wine, Red Wine, Soup Cubes | [73,74,75,76,77,78,79,80] |
![]() | Iso-IQ 2-Amino-1-methylimidazo[4,5-f]quinolone | C11H10N4 198.2 | Beef Stock Extract | [81] |
![]() | MeIQ 2-Amino-3,4-dimethylimidazo[4,5-ƒ]quinolone | C12H12N4 212.3 | Beef, Goose (Breast and Leg), Suck, Fish (Salmon, Mackerel, Sardine, Whiting, Trout, Sea Bass), Hamburger Patties, Sausages, White Wine, | [11,54,73,75,76,78,79] |
![]() | IQx 2-Amino-3-methylimidazo[4,5-ƒ]quinoxaline | C10H9N5 199.3 | Goose (Breast and Leg), Fish (Salmon, Trout, Sea Bass), Chicken Burger, Chicken Nuggets, | [74,76,78] |
![]() | 8-MeIQx 2-Amino-3,8-dimethylimidazo[4,5-ƒ]quinoxaline | C11H11N5 213.3 | Beef | [73] |
![]() | 4-MeIQx 2-Amino-3,4-dimethylimidazo[4,5-ƒ]quinoxaline | C11H11N5 213.3 | Beef | [73] |
![]() | 4,8-DiMeIQx 2-Amino-3,4,8-trimethylimidazo[4,5-ƒ]quinoxaline | C12H13N5 227.3 | Beef, Lamb Camel, Beef, Goose (Breast and Leg), Fish (Salmon, Whiting, Sea Bass), Suck, Bacon, Chicken (Breast), Duck (Breast), Meatball, Sausages, Soup Cubes, | [9,11,54,68,75,76,77,80,82,83] |
![]() | 7,8-DiMeIQx 2-Amino-3,7,8-trimethylimidazo[4,5-ƒ]quinoxaline | C12H13N5 227.3 | Beef, Suck, Goose (Breast and Leg), Fish (Salmon, Sardine, Whiting, Trout) | [73,74,75,76] |
![]() | TriMeIQx 2-Amino-3,4,7,8-tetraimethylimidazo[4,5-ƒ]quinoxaline | C13H15N5 241.3 | Grilled Lean Beef | [40] |
![]() | 7-MeIgQx 2-Amino-1,7-dimethyl-1H-imidazo[4,5-g]quinoxaline | C11H11N5 213.2 | Pork (Chops, Bacon, Sausage Patties), Chicken (Breast, Boneless) | [11,84] |
![]() | 7,9-MeIgQx 2-Amino1,7,9-tridimethyl-1H-imidazo[4,5-g]quinoxaline | C12H13N5 227.3 | Fried Beef, Barbecued Chicken | [85] |
![]() | PhIP 2-Amino-1-methyl-6-phenyl-imidazo[4,5-b]pyridine | C13H12N4 224.3 | Cheese, Beef, Lamb Camel, Suck, Bacon, Pork Loin, Fish (Salmon, Mackerel, Sardine, Whiting, Trout, Sea Bass), Chicken (Breast), Duck (Breast), Chicken Burger, Meatball, Sausages, Beer, White Wine, | [11,68,73,75,76,77,79,82,86,87,88] |
![]() | 4′OH-PhIP 2-Amino-1-methyl-6-(4′hydroxyphenyl)-imidazo[4,5-b]pyridine | C13H12N4O 240.6 | Fried and Grilled Chicken Breast | [89] |
![]() | DMIP 2-Amino-1,6-dimethylimidazo[4,5-b]pyridine | C8H10N4 162.2 | Pork Fried Meat Emulsion | [90] |
![]() | 1,5,6 TMIP 2-Amino-1,5,6-trimethylimidazo[4,5-b]pyridine | C9H12N4 176.2 | Grilled Beef, Taiwan Sausages | [11,91] |
![]() | 3,5,6 TMIP 2-Amino-3,5,6-trimethylimidazo[4,5-b]pyridine | C9H12N4 176.2 | Commercial Cooked Unknown Meat | [58] |
![]() | IFP 2-Amino-1,6-dimethyl-furo[3,2-e]imidazo[4,5-b]pyridine | C10H10N4O 202.3 | Pork (Bacon, Sausage Patties), Chicken (Breast, Boneless) | [11,84] |
| Non-polar HAAs | ||||
![]() | AαC 2-Amino-9H-pyrido[2,3-b]indol | C11H9N3 183.2 | Cheese, Goose (Breast and Leg) Suck, Bacon, Fish (Whiting), Meat-based Infant Foods, Coffee | [9,54,71,75,76,83,87,92] |
![]() | MeAαC 2-Amino-3-methyl-9H-pyrido[2,3-b]indol | C12H11N3 197.2 | Cheese, Goose (Breast), Meat-based Infant Foods, White Wine, Red Wine | [54,79,87,92] |
![]() | Harman 1-methyl-9H-pyrido[4,3-b]indole | C12H10N2 182.2 | Soft Cheese, Beef, Mutton, Lamb Camel, Bacon, Chicken, Meatball, Sausages, Meat-based Infant Foods, Coffee | [11,16,65,76,86,88,92,93] |
![]() | Norharman 9H-pyrido[4,3-b]índole | C11H8N2 168.2 | Soft Cheese, Beef, Mutton, Lamb Camel, Bacon, Pork Loin, Chicken, Meatball, Meat-based Infant Foods, Coffee | [16,65,68,76,86,88,92,93] |
![]() | Trp-P-1 3-Amino-1,4-dimethyl-5H-pyrido[4,3-b]indole | C13H13N3 211.3 | Cheese, Meat-based Infant Foods | [87,92] |
![]() | Trp-P-2 3-Amino-1-methyl-5H-pyrido[4,3-b]indole | C12H11N3 197.2 | Cheese, Meat-based Infant Foods | [87,92] |
![]() | Glu-P-1 2-Amino-6-methyldipyrido[1,2-a:3′2′-d]imidazole | C11H10N4 198.3 | White Wine, Red Wine | [79] |
![]() | Glu-P-2 2-Amino-dipyrido[1,2-a:3′2′-d]imidazole | C10H8N4 184.3 | Red Wine | [79] |
![]() | Phe-P-1 2-Amino-5-phenylpyridine | C11H10N2 170.2 | Beef | [94] |
| Plant (Part) | Scientific Name | Extract/Dose Level | Product | Process | Targeted HAAs | Types of Inhibitors | Inhibition | Reference |
|---|---|---|---|---|---|---|---|---|
| Black pepper (Seed) | Piper nigrum | Powder 1% | Tilapia Fillets | Fried at 180 °C for 8 min | PhIP, MelQx | Antioxidants | PhIP 100% MelQx 100% | [146] |
| Salt cedar (bark) | Tamarix ramosissima | 60% ethanol 0.45 mg/g | Lamb Patties | Grilled in oven at 200 °C for 20 min | PhIP | Flavonoids | PhIP 72.92% | [147] |
| Nutmeg (Seed) | Myristica fragrans | Essential oil 0.04% | Beef Patties | Grilled for 5 min at 75 °C internal temp. | MeIQ | Antioxidants | MeIQ 100% | [148] |
| Sowthistle (Whole) | Sonchus olearleu | Powder 0.5% | Pork Patties | Pan-fried at 230 °C for 105 min | IQ, Harman, Norharman | Antioxidant and total phenolic content | IQ 39% Harman 67% Norharman 63% | [149] |
| yellow gentian (Leaf) | gentiana lutea | Methanol 2% | Meat | Thermally processed | IQ, PhIP | Antioxidants | IQ 72% PhIP 76% | [150] |
| yellow gentian (Root) | gentiana lutea | Methanol 2% | Meat | Thermally processed | IQ, PhIP | Antioxidants | IQ 58% PhIP 80% | [150] |
| Florist’s daisy (Flower) | Chrysanthemum morifolium | 70% Ethanol 0.2% | Goat Meat Patties | Deep fat fried at 225 °C | PhlP, Norharman, Harman, MelQx | Quercetin glucoside, Kaempferol, Paeoniflorin, 3-Caffeoylquinic acid, and Cyanidin 3-O-galactoside | PhlP 62% Norharman 59% Harman 58% MelQx 52% | [151] |
| Turmeric (Root) | Curcuma longa | 80% Ethanol 3% | Beef Cubes | Electrically grilled at 240 °C for 10 min | IQ, IQx, 7,8 DiMeIQx, PhIP, Harman, Norharman, AαC | Curcumin, Desmethoxycurcumin, Bisdesmethoxycurcumin | Total HAAs 75.4% | [33] |
| Sichuan pepper (Seed) | Zanthoxylum bungeanum | Powder 1% | Grilled Beef Patties | Powder mixed with beef. Patties grilled at 225 °C for 10 min. | PhlP, IQx, MelQx, 4,8 Di MelQx, | Phenolic compounds | PhlP 90% IQx 100% MelQx 81% 4,8Di MelQx 89% | [152] |
| Hawthorn (Fruit, Flower, Leaves) | C. pinnatifida | Aqueous Extract Chicken: 1% Beef: 0.5% | Chicken Breasts and Beef | Pan cooking or oven cooking at 150, 200, and 250 °C | IQx, IQ, MelQx MelQ, 4,8 DiMelQx, 7,8 DiMelQx, PhlP, Harman, Nor-Harman, TrP2 | Flavonoids Proanthocyanins | Total HAAs Chicken: 19–97% Beef: 42–100% | [140] |
| Artichoke (Flower buds) | Cynara scolymus | Commercial Extract 1% | Beef and Chicken Breast | Meat was cooked at 150, 200, and 250 °C | IQx, IQ, MelQx, AαC MelQ, 4,8 DiMelQx, 7,8 DiMelQx, PhlP, Harman, TrP2, Meαc Nor-Harman, | Mono- and di-caffeoylquinic acids, flavonoids | Total HAAs Beef: 25–98% Chicken: 14-95% | [17] |
| Clove (Leaves) | Syzgium aromaticum | Powder 0.2% | Barbecued Sucuk | Wire barbecue on charcoal | IQ, MeIQ, MeIQx | Antioxidants | IQ 41.84% MeIQx 53.84% | [76] |
| Chili pepper (Fruit) | Capsicum annuum | Powder 0.5% | Roast Beef Patties | Heated at 225 °C for 10 min on each side | PhIP, IQx, MeIQx, 4,8-DiMeIQx | Pro-oxidative, Capsaicin, polyphenolic compounds | 68% PhIP Total HAAs 46% | [153] |
| Cinnamon (Leaves) | Cinnamomum zeylanicum | Powder 0.5% | Barbecued Sucuk | Wire barbecue on charcoal | IQ, IQx, MeIQ, MeIQx | Antioxidants | IQ 69.50% IQx 25% MeIQx 53.84% | [76] |
| Apple (Peel) | Malus pumila | Polyphenol-rich Extract 0.3% | Beef Patties | Extract applied on surface at ambient conditions for 30 min prior to Frying at 223 °C for 10 time. | PhIP, MeIQx, 4,8-DiMeIQx | Proanthocyanidins | 83% PhIp 68% MeIQx 56% 4,8-DiMeIQx | [115] |
| Bamboo (Leaves) | Bambusoideae | Antioxidant Mixture 2.5 mg/mL | Chemical Model System | 2.08 mg of creatinine and 3.2 mg of phenylalanine, weighed and mixed in 2 mL of diethylene glycol | PhIP | Orientin, homoorientin, vitexin, and isovitex | PhIP > 50% | [154] |
| Pomegranate (Seed) | Punica granatum | Commercial Extract 0.5% | M | Charcoal barbeque | PhIP, IQ, MeIQx | Phenolic content and antioxidant capacity | 68% PhIP 45% IQ 57%MeIQx | [35] |
| Pomegranate (Seed) | Punica granatum | Commercial Extract 0.5% | Chicken meatballs | Oven roasting, charcoal barbeque, and deep fat frying | PhIP, IQ, MeIQx, norharman | Phenolic content and antioxidant capacity | 75% PhIP 46% IQ 49% MeIQx57% Nonharman | [35] |
| Grape (Seed) | Vitis vinifera L | Aqueous Extract 0.6% | Beef Patties | Marinated patties dispersed in sunflower oil and fried at 230 °C | MelQx, PhlP | Procyanidins polyphenols | 70% MelQx 90% PhlP | [126] |
| Savory (leaves) | Satureia hortensis | Ethanol / Water (70/30 v/v) 0.5% | Beef Meat | Spice extract applied and cooked meat at 200 °C for 20 min in diethylene glycol | PhlP | Phenolic compounds | PhIP 37.31 % | [39] |
| Oregano (leaves) | Origanum vulgare | Ethanol / Water (70/30 v/v) 0.2% | Beef Meat | Spice extract applied and cooked meat at 200 °C for 20 min in diethylene glycol | PhlP | Phenolic compounds | PhIP 43.28 % | [39] |
| Black pepper (Seed) | Piper nigrum | Powder 1% | Meatball | Black pepper spread on the surface of meat for 12 h prior to frying at 225 °C | PhIP, MeIQ, 4,8-DiMeIQx | Antioxidants | 100% PhIP Total HAAs 12-100% | [55] |
| Rosemary (Leaves) | Rosmarinus officinalis | 20% Ethanol 0.05%–0.50% | Beef Patties | Extract added to ground beef. Cooking at 191 °C for 5 min. | MelQx, PhlP | Rosmarinic acid, carnosol, carnosic acid | 91.7% MelQx 85.3% PhlP | [155] |
| Hibiscus | Hibiscus sabdariffa | Commercial Extract 0.8% | Beef Patties | Sunflower-oil-coated patties fried at 230 °C | MeIQx | Flavonoids, anthocyanins | 50% MeIQx | [137] |
| Green Tea (Leaves) | Camellia sinensis | Infusion with Hot Water 10 μL of Standard | Pan-Fried Beef | 6 h marinated beef grilled at 180-200 °C for 4 min on each side. | PhlP, AαC | Catechins | 74% PhlP 85% AαC | [156] |
| Apple (Fruit) | Malus pumila | Ethanol–Water extract 0.1% | Beef Patties | Fried at 210 °C for 6 min on each side. | PhIP, MeIQx, 4,8-DiMeIQx | Proanthocyanidins, phloridzin, and chlorogenic acid | 69% PhIp 59% MeIQx 64% 4,8-DiMeIQx | [51] |
| Elderberry | Sambucus nigra | Commercial Extract 0.1% | Beef Patties | Fried at 210 °C for 6 min on each side. | PhIP, MeIQx, 4,8-DiMeIQx | Phenolic contents galic acid | 45% PhIp Total HAAs 35% | [157] |
| Pine (bark extract) | Pinus maritima. | Pycnogenol Powder 1% | Cooked Beef | Cooked at 200 °C for 20 min | MeIQx, PhIP, Norharman | Thocyanidins, catechins, anthoxanthins, epicatechins | 77% MeIQx 54% PhIP 27% Nonharman | [127] |
| Olive oil (Fruit) | Olea europaea | Frying Oil | Beef Burger | Fried in fresh virgin olive oil at 200 °C for 5 min per side | PhIP, Harman, Norharman | 3,4-DHPEA-EDA, 3,4-DHPEA-EA, p-HPEA-EA, p-HPEA-EDA, | Total HAAs 40–60% | [158] |
| Tomato (Fruit) | Solanum lycopersicum | Carotenoid Extract 1000 ppm | Bovine Meat Juice | Freeze dried meat juice mixed with water (1:2 ratio) | MeIQx, 4,8-DiMeIQx | β-carotene, lycopene | 13% MeIQx 5% 4,8-DiMeIQx | [159] |
| Olive oil (Fruit) | Olea europaea | Virgin Olive Oil 500 mg in 2.5 mL solution | Chemical Model System | Creatinine, glycine, and glucose (1:1:0.5 ration) dissolved in Milli-Q water | IQx, MeIQx, DiMeIQx by 45, 50, and 59% | Phenolic compounds Dihydroxyphenylethanol derivatives | 45% IQx 50% MeIQx 59% DiMeIQx | [160] |
Publisher’s Note: MDPI stays neutral with regard to jurisdictional claims in published maps and institutional affiliations. |
© 2021 by the authors. Licensee MDPI, Basel, Switzerland. This article is an open access article distributed under the terms and conditions of the Creative Commons Attribution (CC BY) license (https://creativecommons.org/licenses/by/4.0/).
Share and Cite
Nadeem, H.R.; Akhtar, S.; Ismail, T.; Sestili, P.; Lorenzo, J.M.; Ranjha, M.M.A.N.; Jooste, L.; Hano, C.; Aadil, R.M. Heterocyclic Aromatic Amines in Meat: Formation, Isolation, Risk Assessment, and Inhibitory Effect of Plant Extracts. Foods 2021, 10, 1466. https://doi.org/10.3390/foods10071466
Nadeem HR, Akhtar S, Ismail T, Sestili P, Lorenzo JM, Ranjha MMAN, Jooste L, Hano C, Aadil RM. Heterocyclic Aromatic Amines in Meat: Formation, Isolation, Risk Assessment, and Inhibitory Effect of Plant Extracts. Foods. 2021; 10(7):1466. https://doi.org/10.3390/foods10071466
Chicago/Turabian StyleNadeem, Hafiz Rehan, Saeed Akhtar, Tariq Ismail, Piero Sestili, Jose Manuel Lorenzo, Muhammad Modassar Ali Nawaz Ranjha, Leonie Jooste, Christophe Hano, and Rana Muhammad Aadil. 2021. "Heterocyclic Aromatic Amines in Meat: Formation, Isolation, Risk Assessment, and Inhibitory Effect of Plant Extracts" Foods 10, no. 7: 1466. https://doi.org/10.3390/foods10071466
APA StyleNadeem, H. R., Akhtar, S., Ismail, T., Sestili, P., Lorenzo, J. M., Ranjha, M. M. A. N., Jooste, L., Hano, C., & Aadil, R. M. (2021). Heterocyclic Aromatic Amines in Meat: Formation, Isolation, Risk Assessment, and Inhibitory Effect of Plant Extracts. Foods, 10(7), 1466. https://doi.org/10.3390/foods10071466



























