Improved Shelf-Life and Consumer Acceptance of Fresh-Cut and Fried Potato Strips by an Edible Coating of Garden Cress Seed Mucilage
Abstract
1. Introduction
2. Materials and Methods
2.1. Materials
2.2. Water Extraction of Lepidium Sativum Seeds Mucilage
2.3. Total Phenolic Compounds of Seedcake and MSE
2.4. Antioxidant Activity % of MSE
2.5. Preparation of Coated Fresh-Cut Potato Strips
- Control: the strips were dipped in distilled water for 5 min.
- Ascorbic acid (AA): the strips were dipped in AA solution with a concentration of 500 ppm for 5 min.
- Mucilage seed extract (MSE): the strips were dipped in MSE-coating solution for 5 min.
- Mucilage seed extract with ascorbic acid (MSE + AA): the strips were dipped in MSE + AA (250 ppm) coating solution for 5 min.
- Blanching: the strips were blanched for 2 min at 97 °C.
2.6. Frying of Potato Strips
2.7. Determination of Weight Loss, Texture, and Browning Index
2.8. Total Phenolic Compounds (TPC) of Potato Strips
2.9. Oil Uptake (OU)%
2.10. Microbiological Analysis
2.11. Statistical Analysis
2.12. Sensory Analysis
3. Results and Discussion
3.1. Weight Loss, Texture and Browning Index
3.2. Total Phenolic Compound and Antioxidant Activity of Seedcake and MSE
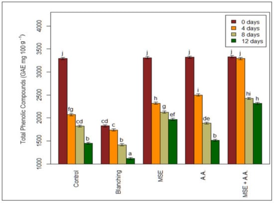
3.3. Changes in Total Phenolic Content of Fresh-Cut Potato Stripes
3.4. Oil Uptake (OU)%
3.5. Microbiological Analysis
3.6. Sensory Evaluation
4. Conclusions
Author Contributions
Funding
Institutional Review Board Statement
Informed Consent Statement
Data Availability Statement
Acknowledgments
Conflicts of Interest
References
- Abuarab, M.E.; El-Mogy, M.M.; Hassan, A.M.; Abdeldaym, E.A.; Abdelkader, N.H.; El-Sawy, M. The effects of root aeration and different soil conditioners on the nutritional values, yield, and water productivity of potato in clay loam soil. Agronomy 2019, 9, 418. [Google Scholar] [CrossRef]
- Tian, J.; Chen, J.; Ye, X.; Chen, S. Health benefits of the potato affected by domestic cooking: A review. Food Chem. 2016, 202, 165–175. [Google Scholar] [CrossRef]
- El-Mogy, M.M.; Parmar, A.; Ali, M.R.; Abdel-Aziz, M.E.; Abdeldaym, E.A. Improving postharvest storage of fresh artichoke bottoms by an edible coating of Cordia myxa gum. Postharvest Biol. Technol. 2020, 163, 111143. [Google Scholar] [CrossRef]
- Awad, A.H.R.; Parmar, A.; Ali, M.R.; El-Mogy, M.M.; Abdelgawad, K.F. Extending the shelf-life of fresh-cut green bean pods by ethanol, ascorbic acid, and essential oils. Foods 2021, 10, 1103. [Google Scholar] [CrossRef]
- Liu, X.; Lu, Y.; Yang, Q.; Yang, H.; Li, Y.; Zhou, B.; Li, T.; Gao, Y.; Qiao, L. Cod peptides inhibit browning in fresh-cut potato slices: A potential anti-browning agent of random peptides for regulating food properties. Postharvest Biol. Technol. 2018, 146, 36–42. [Google Scholar] [CrossRef]
- Hou, Z.; Feng, Y.; Wei, S.; Wang, Q. Effects of curing treatment on the browning of fresh-cut potatoes. Am. J. Potato Res. 2014, 91, 655–662. [Google Scholar] [CrossRef]
- Tsouvaltzis, P.; Deltsidis., A.; Brecht, J.K. Hot water treatment and pre-processing storage reduce browning development in fresh-cut potato slices. Hort. Sci. 2011, 46, 1282–1286. [Google Scholar] [CrossRef]
- Yeoh, W.K.; Ali, A. Ultrasound treatment on phenolic metabolism and antioxidant capacity of fresh-cut pineapple during cold storage. Food Chem. 2017, 216, 247–253. [Google Scholar] [CrossRef] [PubMed]
- Gao, H.; Zeng, Q.; Ren, Z.; Li, P.; Xu, X. Effect of exogenous γ-aminobutyric acid treatment on the enzymatic browning of fresh-cut potato during storage. J. Food Sci. Technol. 2018, 55, 5035–5044. [Google Scholar] [CrossRef] [PubMed]
- Ru, X.; Tao, N.; Feng, Y.; Li, Q.; Wang, Q. A novel anti-browning agent 3-mercapto-2-butanol for inhibition of fresh-cut potato browning. Postharvest Biol. Technol. 2020, 170, 111324. [Google Scholar] [CrossRef]
- Yoruk, R.; Marshall, M.R. A Survey on the Potential Mode of Inhibition for Oxalic Acid on Polyphenol Oxidase. J. Food Sci. 2003, 68, 2479–2485. [Google Scholar] [CrossRef]
- Landi, M.; Degl’Innocenti, E.; Guglielminetti, L.; Guidi, L. Role of ascorbic acid in the inhibition of polyphenol oxidase and the prevention of browning in different browning-sensitive Lactuca sativa var. capitata (L.) and Eruca sativa (Mill.) stored as fresh-cut produce. J. Sci. Food Agric. 2013, 93, 1814–1819. [Google Scholar] [CrossRef]
- Garmakhany, A.D.; Mirzaei, H.O.; Nejad, M.K.; Maghsudlo, Y. Study of oil uptake and some quality attributes of potato chips affected by hydrocolloids. Eur. J. Lipid Sci. Technol. 2008, 110, 1045–1049. [Google Scholar] [CrossRef]
- Ali, M.R.; Mohamed, R.M.; Abedelmaksoud, T.G. Functional strawberry and red beetroot jelly candies rich in fibers and phenolic compounds. Food Syst. 2021, 4, 12–18. [Google Scholar] [CrossRef]
- Krokida, M.K.; Oreopoulou, V.; Maroulis, Z.B.; Marinos-Kouris, D. Effect of pre-drying on quality of french fries. J. Food Eng. 2021, 49, 347–354. [Google Scholar] [CrossRef]
- Mohite, S.Y.; Gharal, D.B.; Ranveer, R.C.; Sahoo, A.K.; Ghosh, J.S. Development of health drink enriched with processed garden cress seeds. Am. J. Food Technol. 2012, 7, 571–576. [Google Scholar] [CrossRef]
- Chatoui, K.; Harhar, H.; El Kamli, T.; Tabyaoui, M. Chemical composition and antioxidant capacity of Lepidium sativum seeds from four regions of Morocco. Evid. Based Complement. Altern. Med. 2020, 7302727. [Google Scholar] [CrossRef] [PubMed]
- Baregma, C.; Goyal, A. Phytoconstituents activity and medicinal use of Lepidium Sativum Linn.: A review. Asian J. Pharm. Clin. Res. 2019, 12, 45–50. [Google Scholar] [CrossRef]
- Jouk, M.; Khazaeib, N.; Ghasemlouc, M.; HadiNezhad, M. Effect of glycerol concentration on edible film production from cress seed carbohydrate gum. Carbohydr. Polym. 2013, 96, 39–46. [Google Scholar] [CrossRef]
- Salehi, F. Characterization of New Biodegradable Edible Films and Coatings Based on Seeds Gum: A Review. J. Packag. Technol. Res. 2019, 3, 193–201. [Google Scholar] [CrossRef]
- Karamkhani, M.; Anvar, S.A.A.; Ataee, M. The use of active edible coatings made from a combination of Lepidium sativum gum and carvacrol to increase shelf life of farmed shrimp kept under refrigerator condition. Iran. J. Aquat. Anim. Health 2018, 4, 55–72. [Google Scholar] [CrossRef]
- Rizzo, V.; Muratore, G. The application of essential oils in edible coating: Case of study on two fresh cut products. Int. J. Clin. Nutr. Diet 2020, 6, 149. [Google Scholar] [CrossRef]
- Karazhiyan, H.; Razavi, S.M.A.; Phillips, G.O. Extraction optimization of a hydrocolloid extract from cress seed (Lepidium sativum) using response surface methodology. Food Hydrocoll. 2011, 25, 915–920. [Google Scholar] [CrossRef]
- Ali, M.R.; El Said, R.M. Assessment of the potential of Arabic gum as an antimicrobial and antioxidant agent in developing vegan "egg-free" mayonnaise. J. Food Saf. 2020, 40, e12771. [Google Scholar] [CrossRef]
- Reis, F.R.; Masson, M.L.; Waszcznskyjet, N. Influence of a blanching pre-treatment on color, oil uptake and water activity of potato activity of potato sticks, and its optimization. J. Food Process Eng. 2008, 31, 833–852. [Google Scholar] [CrossRef]
- El-Mogy, M.M.; Ali, M.R.; Darwish, O.S.; Rogers, H.J. Impact of salicylic acid, abscisic acid, and methyl jasmonate on postharvest quality and bioactive compounds of cultivated strawberry fruit. J. Berry Res. 2019, 9, 333–348. [Google Scholar] [CrossRef]
- El-Mogy, M.M.; Garchery, C.; Stevens, R. Irrigation with salt water affects growth, yield, fruit quality, storability and marker-gene expression in cherry tomato. Acta Agric. Scand. Sect. B Soil Plant Sci. 2018, 68, 727–737. [Google Scholar] [CrossRef]
- Bligh, E.G.; Dyer, W.J. A rapid method of total lipid extraction and purification. Can. J. Biochem. Physiol. 1959, 37, 911–917. [Google Scholar] [CrossRef]
- Shehata, S.A.; Abdeldaym, E.A.; Ali, M.R.; Mohamed, R.M.; Bob, R.I.; AbdelGawad, K.F. Effect of Some Citrus Essential Oils on Post-Harvest Shelf Life and Physicochemical Quality of Strawberries during Cold Storage. Agronomy 2020, 10, 1466. [Google Scholar] [CrossRef]
- ISO 16654. Horizontal method for the detection of Escherichia coli 0157 2001. Available online: https://www.iso.org/standard/29821.html (accessed on 30 June 2021).
- Ngobese, N.Z.; Workneh, T.S.; Siwela, M. Effect of low-temperature long-time and high-temperature short-time blanching and frying treatments on the French fry quality of six Irish potato cultivars. J. Food Sci. Technol. 2017, 54, 507–517. [Google Scholar] [CrossRef] [PubMed]
- Liu, K.; Yuan, C.; Chen, Y.; Li, H.; Liu, J. Combined effects of ascorbic acid and chitosan on the quality maintenance and shelf life of plums. Sci. Hortic. 2014, 176, 45–53. [Google Scholar] [CrossRef]
- Noctor, G.; Foyer, C.H. Ascorbate and glutathione: Keeping active oxygen under control. Annu. Rev. Plant Physiol. Plant Mol. Biol. 1998, 49, 249–279. [Google Scholar] [CrossRef]
- El-Mogy, M.M.; Ludlow, R.A.; Roberts, C.; Müller, C.T.; Rogers, H.J. Postharvest exogenous melatonin treatment of strawberry reduces postharvest spoilage but affects components of the aroma profile. J. Berry Res. 2019, 9, 297–307. [Google Scholar] [CrossRef]
- Rico, D.; Martín-Diana, A.B.; Barat, J.M.; Barry-Ryan, C. Extending and measuring the quality of fresh-cut fruit and vegetables: A review. Trends Food Sci. Technol. 2007, 18, 373–386. [Google Scholar] [CrossRef]
- Zia-Ul-Haq, M.; Ahmad, S.; Calani., L.; Mazzeo, T.; Del Rio, D.; Pellegrini, N.; De Feo, V. Compositional study and antioxidant potential of Ipomoea hederacea Jacq. and Lepidium sativum L. seeds. Molecules 2012, 17, 10306–10321. [Google Scholar] [CrossRef] [PubMed]
- Zia-Ul-Haq, M.; Shahid, S.A.; Ahmad, S.; Qayum, M.; Khan, I. Antioxidant potential of various parts of Ferula assafoetida L. J. Med. Plant Res. 2012, 6, 3254–3258. [Google Scholar] [CrossRef]
- Rafińska, K.; Pomastowski, P.; Rudnicka, J.; Krakowska, A.; Maruśka, A.; Narkute, M. and Buszewski, B. Effect of solvent and extraction technique on composition and biological activity of Lepidium sativum extracts. Food Chem. 2019, 289, 16–25. [Google Scholar] [CrossRef]
- Chellaram, C.; Parthasarathy, V.; Praveen, M.M.; John, A.A.; Anand, T.P.; Priya, G.; Kesavan, D. Analysis of phenolic content and antioxidant capacity of potato, Solanum Tuberosum L from Tamilnadu Region, India. APCBEE Procedia 2014, 8, 105–108. [Google Scholar] [CrossRef]
- Coelho, D.G.; Andrade, M.T.D.; Mélo Neto, D.F.D.; Ferreira-silva, S.L.; Simões, A.N.D. Application of antioxidants and edible starch coating to reduce browning of minimally-processed cassava. Rev. Caatinga 2017, 30, 503–512. [Google Scholar] [CrossRef][Green Version]
- Tomás-Barberan, F.A.; Espín, J.C. Phenolic compounds and related enzymes as determinants of quality in fruits and vegetables. J. Sci. Food Agric. 2001, 81, 853–876. [Google Scholar] [CrossRef]
- García, M.A.; Ferrero, C.; Campana, A.; Bértola, N.; Martino, M.; Zaritzky, N. Methylcellulose Coatings Applied to Reduce Oil Uptake in Fried Products. Food Sci. Technol. Int. 2004, 10, 339–346. [Google Scholar] [CrossRef]
- Moyano, P.C.; Pedreschi, F. Kinetics of oil uptake during frying of potato slices: Effect of pre-treatments. LWT Food Sci. Technol. 2006, 39, 285–291. [Google Scholar] [CrossRef]
- Rimac-Brnčić, S.; Lelas, V.; Rade, D.; Šimundić, B. Decreasing of oil absorption in potato strips during deep fat frying. J. Food Eng. 2004, 64, 237–241. [Google Scholar] [CrossRef]
- Pedreschi, F.; Moyano, P. Effect of pre-drying on texture and oil uptake of potato chips. LWT Food Sci. Technol. 2005, 38, 599–604. [Google Scholar] [CrossRef]
- Sakhale, B.K.; Badgujar, J.B.; Pawar, V.D.; Sananse, S.L. Effect of hydrocolloids incorporation in casing of samosa on reduction of oil uptake. J. Food Sci. Technol. 2011, 48, 69–772. [Google Scholar] [CrossRef] [PubMed]
- Mallikarjunan, P.; Chinnan, M.S.; Balasubramaniam, V.M.; Phillips, R.D. Edible Coatings for Deep-fat Frying of Starchy Products. LWT Food Sci. Technol. 1997, 30, 709–714. [Google Scholar] [CrossRef]
- Silveira, A.C.; Oyarzún, D.; Sepúlveda, A.; Escalona, V. Effect of genotype, raw-material storage time and cut type on native potato suitability for fresh-cut elaboration. Postharvest Biol. Technol. 2017, 128, 1–10. [Google Scholar] [CrossRef]
- Brackett, R.E. Microbiological Spoilage and Pathogens in Minimally Processed Refrigerated Fruits and Vegetables. In Minimally Processed Refrigerated Fruits & Vegetables; Wiley, R.C., Ed.; Springer: Boston, MA, USA, 1994; pp. 269–312. [Google Scholar]
- Alam, M.; Ahlström, C.; Burleigh, S.; Olsson, C.; Ahrné, S.; El-Mogy, M.M.; Molin, G.; Jensén, P.; Hultberg, M.; Alsanius, B.W. Prevalence of Escherichia coli O157:H7 on spinach and rocket as affected by inoculum and time to harvest. Sci. Hortic. 2014, 165, 235–241. [Google Scholar] [CrossRef]
- Cacace, J.E.; Delaquis, P.J.; Mazza, G. Effect of chemical inhibitors and storage temperature on the quality of fresh-cut potatoes. J. Food Qual. 2002, 25, 181–195. [Google Scholar] [CrossRef]
- Bico, S.L.S.; Raposo, M.F.J.; Morais, R.M.S.C.; Morais, A.M.M.B. Combined effects of chemical dip and/or carrageenan coating and/or controlled atmosphere on quality of fresh-cut banana. Food Control 2009, 20, 508–514. [Google Scholar] [CrossRef]
- Licciardello, F.; Lombardo, S.; Rizzo, V.; Pitino, I.; Pandino, G.; Strano, M.G.; Muratore, G.; Restuccia, C.; Mauromicale, G. Integrated agronomical and technological approach for the quality maintenance of ready-to-fry potato sticks during refrigerated storage. Postharvest Biol. Technol. 2018, 136, 23–30. [Google Scholar] [CrossRef]
- Barzegar, H.A.; Behbahani, B.; Mehrnia, M.A. Quality retention and shelf life extension of fresh beef using Lepidium sativum seed mucilage-based edible coating containing Heracleum lasiopetalum essential oil: An experimental and modeling study. Food Sci. Biotechnol. 2020, 29, 717–728. [Google Scholar] [CrossRef] [PubMed]
- Beikzadeh, S.; Khezerlou, A.; Jafari, S.M.; Pilevar, Z.; Mortazavian, A.M. Seed mucilages as the functional ingredients for biodegradable films and edible coatings in the food industry. Adv. Colloid Interface Sci. 2020, 280, 102164. [Google Scholar] [CrossRef]
- Jacxsens, L.; Devlieghere, F.; Debevere, J. Predictive modelling for packaging design: Equilibrium modified atmosphere packages of fresh-cut vegetables subjected to a simulated distribution chain. Int. J. Food Microbiol. 2002, 73, 331–341. [Google Scholar] [CrossRef]
- Łaska-Zieja, B.; Marcinkowski, D.; Golimowski, W.; Niedbała, G.; Wojciechowska, E. Low-Cost Investment with High Quality Performance. Bleaching Earths for Phosphorus Reduction in the Low-Temperature Bleaching Process of Rapeseed Oil. Foods 2020, 9, 603. [Google Scholar] [CrossRef] [PubMed]






Publisher’s Note: MDPI stays neutral with regard to jurisdictional claims in published maps and institutional affiliations. |
© 2021 by the authors. Licensee MDPI, Basel, Switzerland. This article is an open access article distributed under the terms and conditions of the Creative Commons Attribution (CC BY) license (https://creativecommons.org/licenses/by/4.0/).
Share and Cite
Ali, M.R.; Parmar, A.; Niedbała, G.; Wojciechowski, T.; Abou El-Yazied, A.; El-Gawad, H.G.A.; Nahhas, N.E.; Ibrahim, M.F.M.; El-Mogy, M.M. Improved Shelf-Life and Consumer Acceptance of Fresh-Cut and Fried Potato Strips by an Edible Coating of Garden Cress Seed Mucilage. Foods 2021, 10, 1536. https://doi.org/10.3390/foods10071536
Ali MR, Parmar A, Niedbała G, Wojciechowski T, Abou El-Yazied A, El-Gawad HGA, Nahhas NE, Ibrahim MFM, El-Mogy MM. Improved Shelf-Life and Consumer Acceptance of Fresh-Cut and Fried Potato Strips by an Edible Coating of Garden Cress Seed Mucilage. Foods. 2021; 10(7):1536. https://doi.org/10.3390/foods10071536
Chicago/Turabian StyleAli, Marwa R., Aditya Parmar, Gniewko Niedbała, Tomasz Wojciechowski, Ahmed Abou El-Yazied, Hany G. Abd El-Gawad, Nihal E. Nahhas, Mohamed F. M. Ibrahim, and Mohamed M. El-Mogy. 2021. "Improved Shelf-Life and Consumer Acceptance of Fresh-Cut and Fried Potato Strips by an Edible Coating of Garden Cress Seed Mucilage" Foods 10, no. 7: 1536. https://doi.org/10.3390/foods10071536
APA StyleAli, M. R., Parmar, A., Niedbała, G., Wojciechowski, T., Abou El-Yazied, A., El-Gawad, H. G. A., Nahhas, N. E., Ibrahim, M. F. M., & El-Mogy, M. M. (2021). Improved Shelf-Life and Consumer Acceptance of Fresh-Cut and Fried Potato Strips by an Edible Coating of Garden Cress Seed Mucilage. Foods, 10(7), 1536. https://doi.org/10.3390/foods10071536

