Chemical Extraction and Gastrointestinal Digestion of Honey: Influence on Its Antioxidant, Antimicrobial and Anti-Inflammatory Activities
Abstract
1. Introduction
2. Materials and Methods
2.1. Materials
2.2. Samples
2.3. Chemical Extraction
2.4. Simulated In Vitro Digestion
2.5. Total Phenolics and Flavonoids Content
2.6. Antioxidant Activities
2.7. Anti-Inflammatory Activity
2.8. Antimicrobial Activity
2.9. Statistical Analysis
3. Results and Discussion
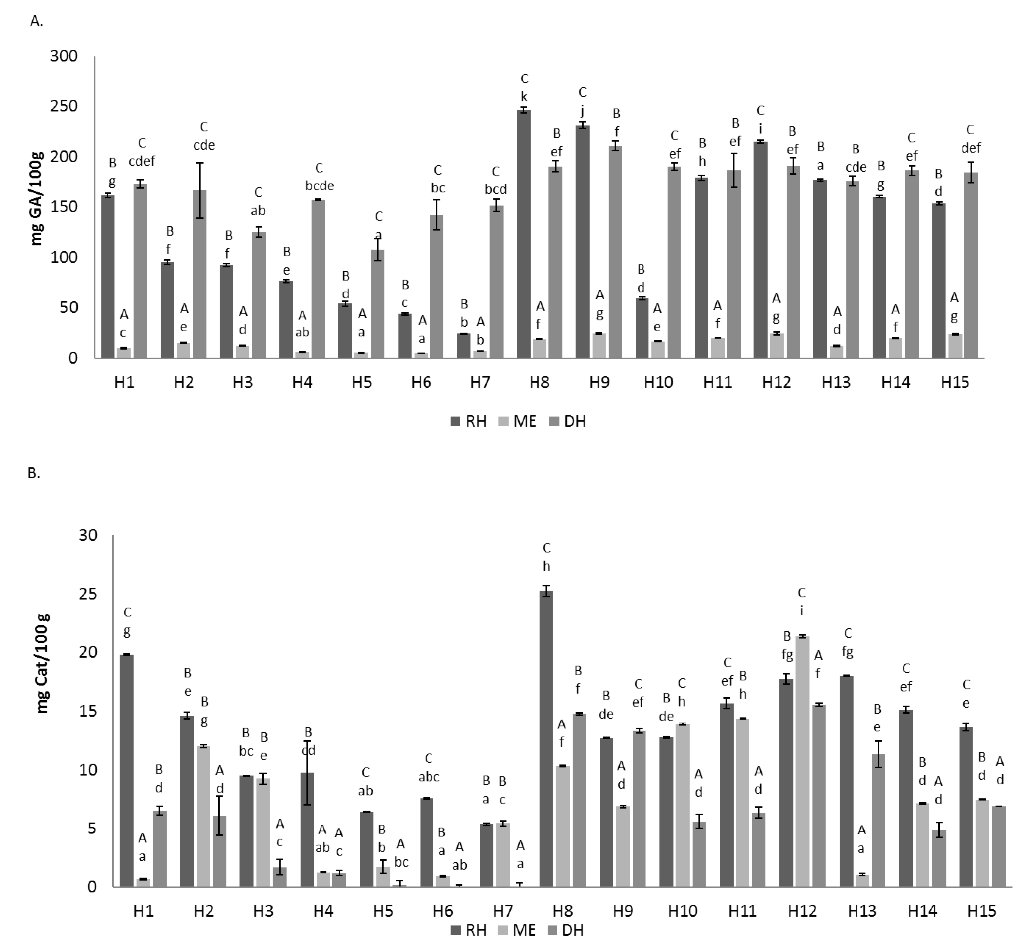
3.1. Total Phenolics and Total Flavonoids
3.2. Antioxidant Activities
3.3. Anti-Inflammatory Activity
3.4. Antimicrobial Activity
3.5. Principal Components Analysis (PCA)
4. Conclusions
Author Contributions
Funding
Data Availability Statement
Acknowledgments
Conflicts of Interest
References
- Vela, L.; De Lorenzo, C.; Pérez, R.A. Antioxidant capacity of Spanish honeys and its correlation with polyphenol content and other physicochemical properties. J. Sci. Food Agric. 2007, 87, 1069–1075. [Google Scholar] [CrossRef]
- Bogdanov, S. Honey composition. In The Honey Book; Science and Education: Kokand, Uzbekistan, 2011; Chapter 5; pp. 1–10. [Google Scholar]
- Seraglio, S.K.T.; Valese, A.C.; Daguer, H.; Bergamo, G.; Azevedo, M.S.; Nehring, P.; Gonzaga, L.V.; Fett, R.; Costa, A.C.O. Effect of in vitro Gastrointestinal digestion on the bioaccessibility of phenolic compounds, minerals, and antioxidant capacity of Mimosa scabrella bentham Honeydew honeys. Food Res. Int. 2017, 99, 670–678. [Google Scholar] [CrossRef]
- Bueno-Costa, F.M.; Zambiazi, R.C.; Bohmer, B.W.; Chaves, F.C.; da Silva, W.P.; Zanusso, J.T.; Dutra, I. Antibacterial and antioxidant activity of honeys from the state of Rio Grande do Sul, Brazil. LWT 2016, 65, 333–340. [Google Scholar] [CrossRef]
- Kassim, M.; Yusoff, K.M.; Ong, G.; Sekaran, S.; Yusof, M.Y.B.M.; Mansor, M. Gelam honey inhibits lipopolysaccharide-induced endotoxemia in rats through the induction of heme oxygenase-1 and the inhibition of cy-tokines, nitric oxide, and high-mobility group protein B1. Fitoterapia 2012, 83, 1054–1059. [Google Scholar] [CrossRef]
- Gheldof, N.; Xiao-Hong, W.; Engeseth, N.J. Identification and quantification of antioxidant components of honeys from var-ious floral sources. J. Agric. Food Chem. 2002, 50, 5870–5877. [Google Scholar] [CrossRef]
- Kaškonienė, V.; Venskutonis, P.R. Floral Markers in Honey of Various Botanical and Geographic Origins: A Review. Compr. Rev. Food Sci. Food Saf. 2010, 9, 620–634. [Google Scholar] [CrossRef] [PubMed]
- Navarrete, P.; Eileen, S. Caracterización Fisicoquímica, Determinación de la Capacidad Antioxidante y Capacidad Antimicrobiana de la Miel Monofloral de Nabo. Bachelor’s Thesis, Universidad de las Américas, Quito, Ecuador, 2018. [Google Scholar]
- Osés, S.M.; Nieto, S.; Rodrigo, S.; Pérez, S.; Rojo, S.; Sancho, M.T.; Fernández-Muiño, M. Ángel Authentication of strawberry tree (Arbutus unedo L.) honeys from southern Europe based on compositional parameters and biological activities. Food Biosci. 2020, 38, 100768. [Google Scholar] [CrossRef]
- Wootton-Beard, P.C.; Moran, A.; Ryan, L. Stability of the total antioxidant capacity and total polyphenol content of 23 com-mercially available vegetable juices before and after in vitro digestion measured by FRAP, DPPH, ABTS and FolinCiocalteu methods. Food Biosci. 2011, 44, 217–224. [Google Scholar]
- Cianciosi, D.; Forbes-Hernández, T.Y.; Afrin, S.; Gasparrini, M.; Quiles, J.L.; Gil, E.; Bompadre, S.; Simal-Gandara, J.; Battino, M.; Giampieri, F. The Influence of In Vitro Gastrointestinal Digestion on the Anticancer Activity of Manuka Honey. Antioxidants 2020, 9, 64. [Google Scholar] [CrossRef]
- Daglia, M.; Ferrari, D.; Collina, S.; Curti, V. Influence of in vitro simulated gastroduodenal digestion on methylglyoxal concen-tration of Manuka (Lectospermum scoparium) honey. J. Agric. Food Chem. 2013, 61, 2140–2145. [Google Scholar] [CrossRef]
- O’Sullivan, A.M.; O’Callaghan, Y.C.; O’Connor, T.P.; O’Brien, N.M. Comparison of the Antioxidant Activity of Commercial Honeys, Before and After In-Vitro Digestion. Pol. J. Food Nutr. Sci. 2013, 63, 167–171. [Google Scholar] [CrossRef]
- Parkar, S.G.; Jobsis, C.M.; Herath, T.D.; Stoklosinski, H.M.; van Klink, J.W.; Sansom, C.E.; Sims, I.M.; Hedderley, D. Metabolic and microbial responses to the complexation of manuka honey with α-cyclodextrin after simulated gastrointestinal digestion and fermentation. J. Funct. Foods 2017, 31, 266–273. [Google Scholar] [CrossRef]
- Mannina, L.; Sobolev, A.P.; Coppo, E.; Di Lorenzo, A.; Nabavi, S.M.; Marchese, A.; Daglia, M. Antistaphylococcal activity and metabolite profiling of manuka honey (Leptospermum scoparium L.) after in vitro simulated digestion. Food Funct. 2016, 7, 1664–1670. [Google Scholar] [CrossRef] [PubMed]
- Seraglio, S.K.T.; Schulz, M.; Gonzaga, L.V.; Fett, R.; Oliveira Costa, A.C. Current status of the gastrointestinal digestion effects on honey: A comprenhensive review. Food Chem. 2021, 357, 129807. [Google Scholar] [CrossRef]
- Louveaux, J.; Maurizio, A.; Vorwohl, G. International commission for bee botany of IUBS. Methods of Melissopalynology. Bee World 1978, 59, 139–157. [Google Scholar] [CrossRef]
- Terradillos, L.A.; Muniategui, S.; Sancho, M.T.; Huidobro, J.F.; Simal-Lozano, J. An alternative method for analysis of honey sediment. Bee Sci. 1994, 3, 86–93. [Google Scholar]
- Von der Ohe, W.; Persano, O.L.; Piana, M.L.; Morlot, M.; Martin, P. Harmonized methods of melissopalynology. Apidologie 2004, 35, 18–25. [Google Scholar] [CrossRef]
- Marcazzan, G.L.; Mucignat-Caretta, C.; Marchese, C.M.; Piana, M.L. A review of methods for honey sensory analysis. J. Apic. Res. 2017, 57, 75–87. [Google Scholar] [CrossRef]
- Piana, M.L.; Oddo, L.P.; Bentabol, A.; Bruneau, E.; Bogdanov, S.; Declerck, C.G. Sensory analysis applied to honey: State of the art. Apidologie 2004, 35, S26–S37. [Google Scholar] [CrossRef]
- Baltrušaitytė, V.; Venskutonis, P.R.; Čeksterytė, V. Radical scavenging activity of different floral origin honey and beebread phenolic extracts. Food Chem. 2007, 101, 502–514. [Google Scholar] [CrossRef]
- Pastoriza, S.; Delgado-Andrade, C.; Haro, A.; Rufián-Henares, J. A physiologic approach to test the global antioxidant response of foods. The GAR method. Food Chem. 2011, 129, 1926–1932. [Google Scholar] [CrossRef]
- Rufián-Henares, J.A.; Delgado-Andrade, C. Effect of digestive process on Maillard reaction indexes and antioxidant proper-ties of breakfast cereals. Food Res. Int. 2009, 42, 394–400. [Google Scholar] [CrossRef]
- Meda, A.; Lamien, C.E.; Romito, M.; Millogo, J.; Nacoulma, O.G. Determination of the total phenolic, flavonoid and proline contents in Burkina Fasan honey, as well as their radical scavenging activity. Food Chem. 2005, 91, 571–577. [Google Scholar] [CrossRef]
- Pękal, A.; Pyrzynska, K. Evaluation of Aluminium Complexation Reaction for Flavonoid Content Assay. Food Anal. Methods 2014, 7, 1776–1782. [Google Scholar] [CrossRef]
- Sancho, M.T.; Pascual-Mate, A.; Rodríguez-Morales, E.G.; Oses, S.M.; Escriche, I.; Periche, A.; Fernández-Muiño, M.A. Critical assessment of antioxidant-related parameters of honey. J. Food Sci. Technol. 2016, 51, 30–36. [Google Scholar] [CrossRef]
- Koracevic, D.; Koracevic, G.; Djordjevic, V.; Andrejevic, S.; Cosic, V. Method for the measurement of antioxidant activity in human fluids. J. Clin. Pathol. 2001, 54, 356–361. [Google Scholar] [CrossRef]
- Huang, D.; Ou, B.; Hampsch-Woodill, M.; Flanagan, J.A.; Prior, R.L. Throughput assay of oxygen radical absorbance capacity (ORAC) using a multichannel liquid handling system coupled with a microplate fluorescence reader in 96-well format. J. Agric. Food Chem. 2002, 50, 4437–4444. [Google Scholar] [CrossRef]
- Ferreres, F.; Lopes, G.; Gil-Izquierdo, A.; Andrade, P.B.; Sousa, C.; Mouga, T.; Valentão, P. Phlorotannin Extracts from Fucales Characterized by HPLC-DAD-ESI-MSn: Approaches to Hyaluronidase Inhibitory Capacity and Antioxidant Properties. Mar. Drugs 2012, 10, 2766–2781. [Google Scholar] [CrossRef]
- Ferreira, I.C.; Aires, E.; Barreira, J.C.; Estevinho, L.M. Antioxidant activity of Portuguese honey samples: Different contributions of the entire honey and phenolic extract. Food Chem. 2009, 114, 1438–1443. [Google Scholar] [CrossRef]
- Pita-Calvo, C.; Vázquez, M. Differences between honeydew and blossom honeys: A review. Trends Food Sci. Technol. 2017, 59, 79–87. [Google Scholar] [CrossRef]
- Socha, R.; Juszczak, L.; Pietrzyk, S.; Fortuna, T. Antioxidant activity and phenolic composition of herb honeys. Food Chem. 2009, 113, 568–574. [Google Scholar] [CrossRef]
- Jara-Palacios, M.J.; Ávila, F.J.; Escudero-Gilete, M.L.; Pajuelo, A.G.; Heredia, F.J.; Hernanz, D.; Terrab, A. Physicochemical properties, colour, chemical composition, and antioxidant activity of Spanish Quercus honeydew honeys. Eur. Food Res. Technol. 2019, 245, 2017–2026. [Google Scholar] [CrossRef]
- Almeida da Silva, I.A.; Sarmento da Silva, T.M.; Camara, C.A.; Queiroz, N.; Magnani, M.; Santos de Novais, J.; Bastos Soledade, L.E.; de Oliveira Lima, E.; de Souza, A.L.; Gouveia de Souza, A. Phenolic profile, antioxidant activity and palynological analysis of stingless bee honey from Amazonas, Northern Brazil. Food Chem. 2013, 141, 3552–3558. [Google Scholar] [CrossRef]
- Petretto, G.L.; Cossu, M.; Alamanni, M.C. Phenolic content, antioxidant and physico-chemical properties of Sardinian mon-ofloral honeys. Int. J. Agric. Food Chem. 2015, 50, 482–491. [Google Scholar]
- Rodriguez-Romero, B.A. Caracterización química y evaluación de las actividades antioxidantes y antimicrobiana de mieles florales. Naranjo, cactáceas y manzanilla. Ph.D. Thesis, Universidad Autónoma de Queretaro, Queretaro, Mexico, 2012. [Google Scholar]
- Alvarez-Suarez, J.M.; Tulipani, S.; Díaz, D.; Estevez, Y.; Romandini, S.; Giampieri, F.; Damiani, E.; Astolfi, P.; Bompadre, S.; Battino, M. Antioxidant and antimicrobial capacity of several monofloral Cuban honeys and their correlation with color, polyphenol content and other chemical compounds. Food Chem. Toxicol. 2010, 48, 2490–2499. [Google Scholar] [CrossRef] [PubMed]
- Carrillo, C.; Rey, R.; Hendrickx, M.; Cavia, M.D.M.; Alonso-Torre, S. Antioxidant Capacity of Beetroot: Traditional vs Novel Approaches. Plant Foods Hum. Nutr. 2017, 72, 266–273. [Google Scholar] [CrossRef] [PubMed]
- Osés, S.M.; Pascual-Maté, A.; de la Fuente, D.; de Pablo, A.; Muiño, M.A.F.; Sancho, M. Comparison of methods to determine antibacterial activity of honeys against Staphylococcus aureus. NJAS Wagening. J. Life Sci. 2016, 78, 29–33. [Google Scholar] [CrossRef]
- Miyague, L.; Macedo, R.E.; Meca, G.; Holley, R.A.; Luciano, F.B. Combination of phenolic acids and essential oils against Listeria monocytogenes. LWT 2015, 64, 333–336. [Google Scholar] [CrossRef]
- Malheiro, J.F.; Maillard, J.; Borges, F.; Simoes, M. Evaluation of cinnamaldehyde and cinnamic acid derivatives in microbial growth control. Int. Biodeterior. Biodegrd. 2018, 141, 71–78. [Google Scholar] [CrossRef]
- Khochapong, W.; Ketnawa, S.; Ogawa, Y.; Punbusayakul, N. Effect of in vitro digestion on bioactive compounds, antioxidant and antimicrobial activities of coffee (Coffea arabica L.) pulp aqueous extract. Food Chem. 2021, 348, 129094. [Google Scholar] [CrossRef]
- López-Nicolás, R.; González-Bermúdez, C.A.; Ros-Berruezo, G.; Frontela-Saseta, C. Influence of in vitro gastrointestinal digestion of fruit juices enriched with pine bark extract on intestinal microflora. Food Chem. 2014, 157, 14–19. [Google Scholar] [CrossRef] [PubMed]
- Piscopo, M.; Tenore, G.C.; Notariale, R.; Maresca, V.; Maisto, M.; De Ruberto, F.; Heydari, M.; Sorbo, S.; Basile, A. Antimicrobial and antioxidant activity of proteins from Feijoa sellowiana Berg. fruit before and after in vitro gastrointestinal digestion. Nat. Prod. Res. 2020, 34, 2607–2611. [Google Scholar] [CrossRef] [PubMed]




| Honey Samples | Botanical Origin | Cientific Name |
|---|---|---|
| H1 | Honeydew | |
| H2 | Honeydew | |
| H3 | Honeydew | |
| H4 | Honeydew | |
| H5 | Viper’s bugloss/Blueweed | Echium sp. |
| H6 | Viper’s bugloss/Blueweed | Echium sp. |
| H7 | Viper’s bugloss/Blueweed | Echium sp. |
| H8 | Ling heather | Calluna vulgaris (L.) Hull |
| H9 | Ling heather | Calluna vulgaris (L.) Hull |
| H10 | Ling heather | Calluna vulgaris (L.) Hull |
| H11 | Ling heather | Calluna vulgaris (L.) Hull |
| H12 | Ling heather | Calluna vulgaris (L.) Hull |
| H13 | Broom | Leguminosae Genista sp. |
| H14 | Broom | Leguminosae Genista sp. |
| H15 | Broom | Leguminosae Genista sp. |
| E. coli | ||||||||||||||||
| H1 | H2 | H3 | H4 | H5 | H6 | H7 | H8 | H9 | H10 | H11 | H12 | H13 | H14 | H15 | ||
| RH | MIC | 18.75 (18.75) | 37.5 (37.5) | 18.75 (18.75) | 9.38 (9.38) | 18.75 (18.75) | 9.38 (9.38) | 18.75 (18.75) | 18.75 (18.75) | 9.38 (9.38) | 18.75 (18.75) | 9.38 (9.38) | 9.38 (9.38) | 9.38 (9.38) | 9.38 (9.38) | 18.75 (18.75) |
| MBC | 18.75 (18.75) | >37.5 (>37.5) | 18.75 (18.75) | 9.38 (9.38) | 18.75 (18.75) | 9.38 (9.38) | 18.75 (18.75) | 18.75 (18.75) | 18.75 (18.75) | 37.5 (37.5) | 18.75 (18.75) | 9.38 (9.38) | 9.38 (9.38) | 9.38 (9.38) | 18.75 (18.75) | |
| ME | MIC | 5 (25) | 5 (25) | 5 (25) | 5 (25) | 5 (25) | 5 (25) | 5 (25) | 15 (75) | 5 (25) | 5 (25) | 5 (25) | 5 (25) | 5 (25) | 5 (25) | 5 (25) |
| MBC | 5 (25) | 5 (25) | 5 (25) | 5 (25) | 5 (25) | 5 (25) | 5 (25) | 15 (75) | 5 (25) | 5 (25) | 5 (25) | 5 (25) | 5 (25) | 5 (25) | 5 (25) | |
| DH | MIC | >90 (>7) | >90 (>7) | >90 (>7) | >90 (>7) | >90 (>7) | >90 (>7) | >90 (>7) | >90 (>7) | >90 (>7) | >90 (>7) | >90 (>7) | >90 (>7) | >90 (>7) | >90 (>7) | >90 (>7) |
| MBC | >90 (>7) | >90 (>7) | >90 (>7) | >90 (>7) | >90 (>7) | >90 (>7) | >90 (>7) | >90 (>7) | >90 (>7) | >90 (>7) | >90 (>7) | >90 (>7) | >90 (>7) | >90 (>7) | >90 (>7) | |
| S. aureus | ||||||||||||||||
| H1 | H2 | H3 | H4 | H5 | H6 | H7 | H8 | H9 | H10 | H11 | H12 | H13 | H14 | H15 | ||
| RH | MIC | 9.38 (9.38) | >37.5 (>37.5) | 9.38 (9.38) | 4.69 (4.69) | 9.38 (9.38) | 4.69 (4.69) | 9.38 (9.38) | 9.38 (9.38) | 9.38 (9.38) | 9.38 (9.38) | 4.69 (4.69) | 9.38 (9.38) | 4.69 (4.69) | 4.69 (4.69) | 9.38 (9.38) |
| MBC | 9.38 (9.38) | >37.5 (>37.5) | 9.38 (9.38) | 4.69 (4.69) | 9.38 (9.38) | 4.69 (4.69) | 9.38 (9.38) | 9.38 (9.38) | 9.38 (9.38) | 9.38 (9.38) | 4.69 (4.69) | 9.38 (9.38) | 4.69 (4.69) | 4.69 (4.69) | 9.38 (9.38) | |
| ME | MIC | 15 (75) | 5 (25) | 5 (25) | 5 (25) | 5 (25) | 15 (75) | 5 (25) | 5 (25) | 5 (25) | 5 (25) | 5 (25) | 5 (25) | 5 (25) | 5 (25) | 5 (25) |
| MBC | 15 (75) | 15 (75) | 15 (75) | 15 (75) | 15 (75) | 15 (75) | 15 (75) | 15 (75) | 15 (75) | 15 (75) | 15 (75) | 15 (75) | 15 (75) | 15 (75) | 15 (75) | |
| DH | MIC | 40 (3.13) | <5 (<0.39) | <5 (<0.39) | <5 (<0.39) | <5 (<0.39) | 12.5 (0.98) | 25 (1.95) | 25 (1.95) | 25 (1.95) | <5 (<0.39) | 25 (1.95) | 25 (1.95) | 25 (1.95) | <5 (<0.39) | 25 (1.95) |
| MBC | >90 (>7) | 25 (1.95) | 25 (1.95) | 25 (1.95) | 25 (1.95) | 25 (1.95) | 40 (3.13) | >90 (7) | 25 (1.95) | 25 (1.95) | 25 (1.95) | 25 (1.95) | 75 (5.85) | 25 (1.95) | 90 (7) | |
| L. monocytogenes | ||||||||||||||||
| H1 | H2 | H3 | H4 | H5 | H6 | H7 | H8 | H9 | H10 | H11 | H12 | H13 | H14 | H15 | ||
| RH | MIC | 18.75 (18.75) | 37.5 (37.5) | 18.75 (18.75) | 18.75 (18.75) | 18.75 (18.75) | 18.75 (18.75) | 18.75 (18.75) | 18.75 (18.75) | 18.75 (18.75) | 18.75 (18.75) | 18.75 (18.75) | 18.75 (18.75) | 18.75 (18.75) | 18.75 (18.75) | 18.75 (18.75) |
| MBC | 37.5 (37.5) | >37.5 (37.5) | 37.5 (37.5) | 18.75 (18.75) | 37.5 (37.5) | 37.5 (37.5) | 37.5 (37.5) | 18.75 (18.75) | 18.75 (18.75) | 37.5 (37.5) | 18.75 (18.75) | 37.5 (37.5) | 18.75 (18.75) | 18.75 (18.75) | 18.75 (18.75) | |
| ME | MIC | 5 (25) | <1 (<5) | <1 (<5) | 5 (25) | <1 (<5) | 5 (25) | 5 (25) | <1 (<5) | 5 (25) | <1 (<5) | 5 (25) | 5 (25) | <1 (<5) | <1 (<5) | 5 (25) |
| MBC | 15 (75) | <1 (<1) | <1 (<1) | 15 (75) | <1 (<1) | 15 (75) | 15 (75) | 15 (75) | 15 (75) | 5 (25) | 15 (75) | 15 (75) | 5 (25) | <1 (<1) | 15 (75) | |
| DH | MIC | 40 (3.13) | 40 (3.13) | 40 (3.13) | 40 (3.13) | 40 (3.13) | 40 (3.13) | 40 (3.13) | 40 (3.13) | 40 (3.13) | 40 (3.13) | >90 (>7) | >90 (>7) | 40 (3.13) | 40 (3.13) | 40 (3.13) |
| MBC | >90 (>7) | >90 (>7) | >90 (>7) | >90 (>7) | >90 (>7) | >90 (>7) | >90 (>7) | >90 (>7) | 40 (3.13) | >90 (>7) | >90 (>7) | >90 (>7) | >90 (>7) | >90 (>7) | >90 (>7) | |
| St. mutans | ||||||||||||||||
| H1 | H2 | H3 | H4 | H5 | H6 | H7 | H8 | H9 | H10 | H11 | H12 | H13 | H14 | H15 | ||
| RH | MIC | 18.75 (18.75) | 37.5 (37.5) | 18.75 (18.75) | 18.75 (18.75) | 18.75 (18.75) | 18.75 (18.75) | 18.75 (18.75) | 18.75 (18.75) | 18.75 (18.75) | 18.75 (18.75) | 18.75 (18.75) | 18.75 (18.75) | 18.75 (18.75) | 18.75 (18.75) | 18.75 (18.75) |
| MBC | 18.75 (18.75) | 37.5 (37.5) | 18.75 (18.75) | 18.75 (18.75) | 37.5 (37.5) | 18.75 (18.75) | 18.75 (18.75) | 18.75 (18.75) | 18.75 (18.75) | 37.5 (37.5) | 18.75 (18.75) | 18.75 (18.75) | 18.75 (18.75) | 18.75 (18.75) | 18.75 (18.75) | |
| ME | MIC | 15 (75) | 15 (75) | 15 (75) | 15 (75) | 15 (75) | 15 (75) | 15 (75) | 15 (75) | 15 (75) | 15 (75) | 15 (75) | 5 (25) | 15 (75) | 15 (75) | 15 (75) |
| MBC | 15 (75) | 15 (75) | 15 (75) | 15 (75) | 15 (75) | 15 (75) | 15 (75) | 15 (75) | 15 (75) | 15 (75) | 15 (75) | 15 (75) | 15 (75) | 15 (75) | 15 (75) | |
| DH | MIC | >90 (>7) | >90 (>7) | >90 (>7) | >90 (>7) | >90 (>7) | >90 (>7) | >90 (>7) | >90 (>7) | >90 (>7) | >90 (>7) | >90 (>7) | >90 (>7) | >90 (>7) | >90 (>7) | >90 (>7) |
| MBC | >90 (>7) | >90 (>7) | >90 (>7) | >90 (>7) | >90 (>7) | >90 (>7) | >90 (>7) | >90 (>7) | >90 (>7) | >90 (>7) | >90 (>7) | >90 (>7) | >90 (>7) | >90 (>7) | >90 (>7) | |
| C. albicans | ||||||||||||||||
| H1 | H2 | H3 | H4 | H5 | H6 | H7 | H8 | H9 | H10 | H11 | H12 | H13 | H14 | H15 | ||
| RH | MIC | 37.5 (37.5) | 37.5 (37.5) | 37.5 (37.5) | 37.5 (37.5) | 37.5 (37.5) | 37.5 (37.5) | 37.5 (37.5) | 37.5 (37.5) | 37.5 (37.5) | 37.5 (37.5) | 37.5 (37.5) | 37.5 (37.5) | 37.5 (37.5) | 37.5 (37.5) | 37.5 (37.5) |
| MBC | >45 (>45) | >45 (>45) | >45 (>45) | >45 (>45) | >45 (>45) | >45 (>45) | >45 (>45) | >45 (>45) | >45 (>45) | >45 (>45) | >45 (>45) | >45 (>45) | >45 (>45) | 45 (>45) | >45 (>45) | |
| ME | MIC | 15 (75) | 15 (75) | 15 (75) | 15 (75) | 15 (75) | 15 (75) | 15 (75) | 15 (75) | 15 (75) | 15 (75) | 15 (75) | 15 (75) | 15 (75) | 15 (75) | 15 (75) |
| MBC | 15 (75) | 15 (75) | 15 (75) | 15 (75) | 15 (75) | 15 (75) | 15 (75) | 15 (75) | 15 (75) | 15 (75) | 15 (75) | 15 (75) | 15 (75) | 15 (75) | 15 (75) | |
| DH | MIC | >90 (>7) | >90 (>7) | >90 (>7) | >90 (>7) | >90 (>7) | >90 (>7) | >90 (>7) | >90 (>7) | >90 (>7) | >90 (>7) | >90 (>7) | >90 (>7) | >90 (>7) | >90 (>7) | >90 (>7) |
| MBC | >90 (>7) | >90 (>7) | >90 (>7) | >90 (>7) | >90 (>7) | >90 (>7) | >90 (>7) | >90 (>7) | >90 (>7) | >90 (>7) | >90 (>7) | >90 (>7) | >90 (>7) | >90 (>7) | >90 (>7) | |
| Ps. aeruginosa | ||||||||||||||||
| H1 | H2 | H3 | H4 | H5 | H6 | H7 | H8 | H9 | H10 | H11 | H12 | H13 | H14 | H15 | ||
| RH | MIC | 9.38 (9.38) | 37.5 (37.5) | 9.38 (9.38) | 9.38 (9.38) | 9.38 (9.38) | 9.38 (9.38) | 9.38 (9.38) | 9.38 (9.38) | 9.38 (9.38) | 9.38 (9.38) | 9.38 (9.38) | 9.38 (9.38) | 9.38 (9.38) | 9.38 (9.38) | 9.38 (9.38) |
| MBC | 9.38 (9.38) | 37.5 (37.5) | 9.38 (9.38) | 9.38 (9.38) | 9.38 (9.38) | 9.38 (9.38) | 9.38 (9.38) | 9.38 (9.38) | 9.38 (9.38) | 9.38 (9.38) | 9.38 (9.38) | 9.38 (9.38) | 9.38 (9.38) | 9.38 (9.38) | 9.38 (9.38) | |
| ME | MIC | 5 (25) | 5 (25) | 5 (25) | 5 (25) | 5 (25) | 5 (25) | 5 (25) | 5 (25) | 5 (25) | 5 (25) | 5 (25) | 5 (25) | 5 (25) | 5 (25) | 5 (25) |
| MBC | 5 (25) | 5 (25) | 5 (25) | 5 (25) | 5 (25) | 5 (25) | 5 (25) | 5 (25) | 5 (25) | 5 (25) | 5 (25) | 5 (25) | 5 (25) | 5 (25) | 5 (25) | |
| DH | MIC | >90 (>7) | >90 (>7) | >90 (>7) | >90 (>7) | >90 (>7) | >90 (>7) | >90 (>7) | >90 (>7) | >90 (>7) | >90 (>7) | >90 (>7) | >90 (>7) | >90 (>7) | >90 (>7) | >90 (>7) |
| MBC | >90 (>7) | >90 (>7) | >90 (>7) | >90 (>7) | >90 (>7) | >90 (>7) | >90 (>7) | >90 (>7) | >90 (>7) | >90 (>7) | >90 (>7) | >90 (>7) | >90 (>7) | >90 (>7) | >90 (>7) | |
Publisher’s Note: MDPI stays neutral with regard to jurisdictional claims in published maps and institutional affiliations. |
© 2021 by the authors. Licensee MDPI, Basel, Switzerland. This article is an open access article distributed under the terms and conditions of the Creative Commons Attribution (CC BY) license (https://creativecommons.org/licenses/by/4.0/).
Share and Cite
Alevia, M.; Rasines, S.; Cantero, L.; Sancho, M.T.; Fernández-Muiño, M.A.; Osés, S.M. Chemical Extraction and Gastrointestinal Digestion of Honey: Influence on Its Antioxidant, Antimicrobial and Anti-Inflammatory Activities. Foods 2021, 10, 1412. https://doi.org/10.3390/foods10061412
Alevia M, Rasines S, Cantero L, Sancho MT, Fernández-Muiño MA, Osés SM. Chemical Extraction and Gastrointestinal Digestion of Honey: Influence on Its Antioxidant, Antimicrobial and Anti-Inflammatory Activities. Foods. 2021; 10(6):1412. https://doi.org/10.3390/foods10061412
Chicago/Turabian StyleAlevia, Marta, Sandra Rasines, Leire Cantero, M. Teresa Sancho, Miguel A. Fernández-Muiño, and Sandra M. Osés. 2021. "Chemical Extraction and Gastrointestinal Digestion of Honey: Influence on Its Antioxidant, Antimicrobial and Anti-Inflammatory Activities" Foods 10, no. 6: 1412. https://doi.org/10.3390/foods10061412
APA StyleAlevia, M., Rasines, S., Cantero, L., Sancho, M. T., Fernández-Muiño, M. A., & Osés, S. M. (2021). Chemical Extraction and Gastrointestinal Digestion of Honey: Influence on Its Antioxidant, Antimicrobial and Anti-Inflammatory Activities. Foods, 10(6), 1412. https://doi.org/10.3390/foods10061412

