Shelf Life Extension of Chilled Pork by Optimal Ultrasonicated Ceylon Spinach (Basella alba) Extracts: Physicochemical and Microbial Properties
Abstract
1. Introduction
2. Materials and Methods
2.1. Plant Materials
2.2. Chemicals and Reagents
2.3. Preparation of Extracts
2.4. Antioxidant Properties of Ultrasonicated CE
2.4.1. Total Phenolic Compounds (TPC)
2.4.2. DPPH and ABTS Radical Scavenging Activity and Ferric-Reducing Antioxidant Power (FRAP)
2.5. Antibacterial Activities of Ultrasonicated CE Using the Minimum Inhibitory Concentration (MIC) and Minimum Bactericidal Concentration (MBC)
2.6. Shelf-Life Evaluation of Fresh, Chilled Pork
2.6.1. Preparation of Fresh, Chilled Pork
2.6.2. Color, pH, and TBARS Measurements
2.6.3. Total Plate Count Analysis
2.6.4. Sensory Evaluation
2.7. Statistical Analysis
3. Results and Discussion
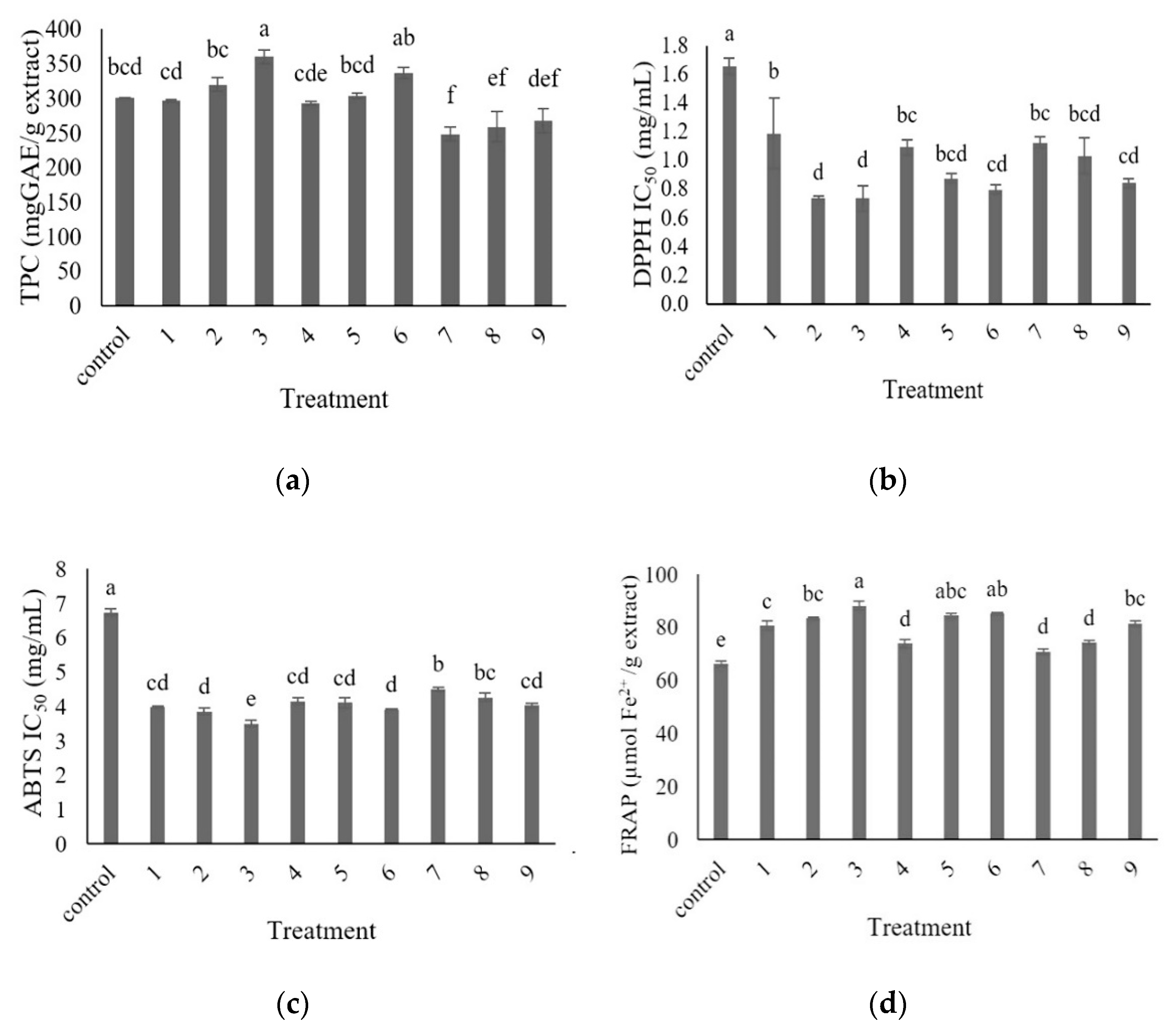
3.1. Antioxidant Properties of the Ultrasonicated Extracts
3.1.1. Total Phenolic Compounds (TPC)
3.1.2. DPPH and ABTS Radical Scavenging Activity and Ferric-Reducing Antioxidant Power (FRAP)
3.2. Antibacterial Activities of Ultrasonicated Extracts Using MIC and MBC
3.3. Optimization of Ultrasonication
3.4. Shelf Life Evaluation of Fresh Pork
3.4.1. Color and pH Measurements
3.4.2. TBARS Measurement
3.4.3. Total Plate Count Analysis
3.4.4. Sensory Evaluation
4. Conclusions
Author Contributions
Funding
Data Availability Statement
Conflicts of Interest
References
- Djekic, I.; Bozickovic, I.; Djordjevic, V.; Smetana, S.; Terjung, N.; Ilic, J.; Doroski, A.; Tomasevic, I. Can we associate environmental footprints with production and consumption using Monte Carlo simulation? Case study with pork meat. J. Sci. Food Agric. 2021, 101, 960–969. [Google Scholar] [CrossRef]
- Perlo, F.; Fabre, R.; Bonato, P.; Jenko, C.; Tisocco, O.; Teira, G. Refrigerated storage of pork meat sprayed with rosemary extract and ascorbic acid. Cienc. Rural 2018, 48, e20170238. [Google Scholar] [CrossRef]
- Shah, M.A.; Bosco, S.J.D.; Mir, S.A. Plant extracts as natural antioxidants in meat and meat products. Meat Sci. 2014, 98, 21–33. [Google Scholar] [CrossRef]
- Castro, S.; Kolomeytseva, M.; Casquete, R.; Silva, J.; Queirós, R.; Saraiva, J.; Teixeira, P. Biopreservation strategies in combination with mild high pressure treatments in traditional Portuguese ready-to-eat meat sausage. Food Biosci. 2017, 19, 65–72. [Google Scholar] [CrossRef]
- Sahraee, S.; Milani, J.M.; Regenstein, J.M.; Kafil, H.S. Protection of foods against oxidative deterioration using edible films and coatings: A review. Food Biosci. 2019, 32, 100451. [Google Scholar] [CrossRef]
- Rocchetti, G.; Bernardo, L.; Pateiro, M.; Barba, F.J.; Munekata, P.E.; Trevisan, M.; Lorenzo, J.M.; Lucini, L. Impact of a Pitanga leaf extract to prevent lipid oxidation processes during shelf life of packaged pork burgers: An untargeted metabolomic approach. Foods 2020, 9, 1668. [Google Scholar] [CrossRef] [PubMed]
- de Souza de Azevedo, P.O.; Converti, A.; Gierus, M.; de Souza Oliveira, R.P. Application of nisin as biopreservative of pork meat by dipping and spraying methods. Braz. J. Microbiol. 2019, 50, 523–526. [Google Scholar] [CrossRef] [PubMed]
- Lorenzo, J.M.; Vargas, F.C.; Strozzi, I.; Pateiro, M.; Furtado, M.M.; Sant’Ana, A.S.; Rocchetti, G.; Barba, F.J.; Dominguez, R.; Lucini, L. Influence of pitanga leaf extracts on lipid and protein oxidation of pork burger during shelf life. Food Res. Int. 2018, 114, 47–54. [Google Scholar] [CrossRef]
- Chaisuwan, W.; Manassa, A.; Phimolsiripol, Y.; Jantanasakulwong, K.; Chaiyaso, T.; Pathom-aree, W.; You, S.G.; Seesuriyachan, P. Integrated ultrasonication and microbubble-assisted enzymatic synthesis of fructooligosaccharides from brown sugar. Foods 2020, 9, 1833. [Google Scholar] [CrossRef] [PubMed]
- Liu, Y.; Luo, X.; Lan, Z.; Tang, J.; Zhao, P.; Kan, H. Ultrasonic-assisted extraction and antioxidant capacities of flavonoids from Camellia fascicularis leaves. CYTA J. Food 2018, 16, 105–112. [Google Scholar] [CrossRef]
- Machado, A.P.D.F.; Sumere, B.R.; Mekaru, C.; Martinez, J.; Bezerra, R.M.N.; Rostagno, M.A. Extraction of polyphenols and antioxidants from pomegranate peel using ultrasound: Influence of temperature, frequency and operation mode. Int. J. Food Sci. Technol. 2019, 54, 2792–2801. [Google Scholar] [CrossRef]
- Tiwari, B.K. Ultrasound: A clean, green extraction technology. Trends Analyt. Chem. 2015, 71, 100–109. [Google Scholar] [CrossRef]
- Sanpa, S.; Sutjarittangtham, K.; Tunkasiri, T.; Eitssayeam, S.; Chantawannakul, P. Ultrasonic extraction of Thai propolis for antimicrobial and antioxidant properties. Adv. Mater. Res. 2012, 506, 371–374. [Google Scholar] [CrossRef]
- Balouiri, M.; Sadiki, M.; Ouedehiri, W.; Farah, A.; Abed, S.; Koraichi, S.I. Antibacterial activity of extracts from Salvia officinalis and Rosmarinus officinalis obtained by sonication and maceration methods. Int. J. Pharm. Pharm. Sci. 2014, 6, 167–170. [Google Scholar]
- Luque-García, J.L.; Luque de Castro, M.D. Ultrasound-assisted Soxhlet extraction: An expeditive approach for solid sample treatment: Application to the extraction of total fat from oleaginous seeds. J. Chromatogr. A 2004, 1034, 237–242. [Google Scholar] [CrossRef] [PubMed]
- Oyewole, O.; Kalejaiye, O. The antimicrobial activities of ethanolic extracts of Basella alba on selected microorganisms. Sci. J. Microbiol. 2012, 1, 113–118. [Google Scholar]
- Vongsak, B.; Sithisarn, P.; Mangmool, S.; Thongpraditchote, S.; Wongkrajang, Y.; Gritsanapan, W. Maximizing total phenolics, total flavonoids contents and antioxidant activity of Moringa oleifera leaf extract by the appropriate extraction method. Ind. Crops Prod. 2013, 44, 566–571. [Google Scholar] [CrossRef]
- Kumar, S.; Prasad, A.; Iyer, S.; Vaidya, S. Systematic pharmacognostical, phytochemical and pharmacological review on an ethno medicinal plant, Basella alba L. J. Pharmacogn. Phytotherapy 2013, 5, 53–58. [Google Scholar]
- Kumar, B.R.; Anupam, A.; Manchikanti, P.; Rameshbabu, A.P.; Dasgupta, S.; Dhara, S. Identification and characterization of bioactive phenolic constituents, anti-proliferative, and anti-angiogenic activity of stem extracts of Basella alba and rubra. J. Food Sci. Technol. 2018, 55, 1675–1684. [Google Scholar] [CrossRef]
- Maran, J.P.; Priya, B. Natural pigments extraction from Basella rubra L. fruits by ultrasound-assisted extraction combined with Box-Behnken response surface design. Sep. Sci. Technol. 2015, 50, 1532–1540. [Google Scholar] [CrossRef]
- Adesina, A.; Adefemi, S. Lipid composition of Basella alba and Basella rubra leaves consumed in South-Western Nigeria: Nutritional implications. Bangladesh J. Sci. Ind. Res. 2017, 52, 125–134. [Google Scholar] [CrossRef][Green Version]
- Sulaiman, I.S.C.; Basri, M.; Masoumi, H.R.F.; Chee, W.J.; Ashari, S.E.; Ismail, M. Effects of temperature, time, and solvent ratio on the extraction of phenolic compounds and the anti-radical activity of Clinacanthus nutans Lindau leaves by response surface methodology. Chem. Cent. J. 2017, 11, 1–11. [Google Scholar] [CrossRef] [PubMed]
- Hashemi, S.M.B.; Khaneghah, A.M.; Akbarirad, H. The effects of amplitudes ultrasound-assisted solvent extraction and pretreatment time on the yield and quality of Pistacia khinjuk hull oil. J. Oleo Sci. 2016, 65, 733–738. [Google Scholar] [CrossRef] [PubMed][Green Version]
- Oluwakemi, O.A.; Akindele, A.J.; Bosede, F.S. Ascorbic acid, total phenolic, flavonoid and antioxidant activity of two cultivars of Basella alba. Food Sci. Technol. 2017, 5, 92–96. [Google Scholar] [CrossRef]
- Surin, S.; Surayot, U.; Seesuriyachan, P.; You, S.G.; Phimolsiripol, Y. Antioxidant and immunomodulatory activities of sulphated polysaccharides from purple glutinous rice bran (Oryza sativa L.). Int. J. Food Sci. 2018, 53, 994–1004. [Google Scholar] [CrossRef]
- Chaiwong, N.; Leelapornpisid, P.; Jantanasakulwong, K.; Rachtanapun, P.; Seesuriyachan, P.; Sakdatorn, V.; Leksawasdi, N.; Phimolsiripol, Y. Antioxidant and moisturizing properties of carboxymethyl chitosan with different molecular weights. Polymers 2020, 12, 1445. [Google Scholar] [CrossRef]
- Surin, S.; You, S.G.; Seesuriyachan, P.; Muangrat, R.; Wangtueai, S.; Jambrak, A.R.; Phongthai, S.; Jantanasakulwong, K.; Chaiyaso, T.; Phimolsiripol, Y. Optimization of ultrasonic-assisted extraction of polysaccharides from purple glutinous rice bran (Oryza sativa L.) and their antioxidant activities. Sci. Rep. 2020, 10, 1–10. [Google Scholar]
- Kumar, D.; Jagarwal, P.; Shrama, R. Phytochemical screening and antimicrobial activity of Basella alba Linn. Int. J. Pharm. Chem. Sci. 2018, 8, 502–507. [Google Scholar]
- Sen, A.R.; Muthukumar, M.; Naveena, B.M.; Ramanna, D.B.V. Effects on colour characteristics of buffalo meat during blooming, retail display and using vitamin C during refrigerated storage. J. Food Sci. Technol. 2014, 51, 3515–3519. [Google Scholar] [CrossRef][Green Version]
- Lekjing, S.; Venkatachalam, K. Influences of storage time and temperature on sensory and measured quality of green gram savory crackers. LWT-Food Sci. Technol. 2019, 113, 108310. [Google Scholar] [CrossRef]
- Lu, X.; Zhang, Y.; Zhu, L.; Luo, X.; Hopkins, D.L. Effect of superchilled storage on shelf life and quality characteristics of M. longissimus lumborum from Chinese yellow cattle. Meat Sci. 2019, 149, 79–84. [Google Scholar] [CrossRef]
- Kim, H.J.; Jang, A. Evaluation of the microbiological status of raw pork meat in Korea: Modification of the microbial guideline levels for meat. Food Sci. Biotechnol. 2018, 27, 1219–1225. [Google Scholar] [CrossRef] [PubMed]
- American Meat Science Association. Research Guidelines for Cookery, Sensory Evaluation, and Instrumental Tenderness Measurements of Meat, 2nd ed.; American Meat Science Association: Chicago, IL, USA, 2016. [Google Scholar]
- Vilar, E.G.; Ouyang, H.; O’Sullivan, M.G.; Kerry, J.P.; Hamill, R.M.; O’Grady, M.N.; Mohammed, H.O.; Kilcawley, K.N. Effect of salt reduction and inclusion of 1% edible seaweeds on the chemical, sensory and volatile component profile of reformulated frankfurters. Meat Sci. 2020, 161, 108001. [Google Scholar] [CrossRef] [PubMed]
- Phimolsiripol, Y.; Siripatrawan, U.; Teekachunhatean, S.; Wangtueai, S.; Seesuriyachan, P.; Surawang, S.; Laokuldilok, T.; Regenstein, J.M.; Henry, C.J.K. Technological properties, in vitro starch digestibility and in vivo glycaemic index of bread containing crude malva nut gum. Int. J. Food Sci. Technol. 2017, 52, 1035–1041. [Google Scholar] [CrossRef]
- Chokumnoyporn, N.; Sriwattana, S.; Phimolsiripol, Y.; Torrico, D.D.; Prinyawiwatkul, W. Soy sauce odour induces and enhances saltiness perception. Int. J. Food Sci. Technol. 2015, 50, 2215–2221. [Google Scholar] [CrossRef]
- International Standard Organization. Sensory Analysis: General Guidance for the Design of Test Rooms; ISO Central Secretariat: Geneva, Switzerland, 2007. [Google Scholar]
- Biffin, T.E.; Smith, M.A.; Bush, R.D.; Collins, D.; Hopkins, D.L. The effect of electrical stimulation and tenderstretching on colour and oxidation traits of alpaca (Vicunga pacos) meat. Meat Sci. 2019, 156, 125–130. [Google Scholar] [CrossRef] [PubMed]
- Phimolsiripol, Y.; Siripatrawan, U.; Cleland, D.J. Weight loss of frozen bread dough under isothermal and fluctuating temperature storage conditions. J. Food Eng. 2011, 106, 134–143. [Google Scholar] [CrossRef]
- Wang, X.; Wu, Q.; Wu, Y.; Chen, G.; Yue, W.; Liang, Q. Response surface optimized ultrasonic-assisted extraction of flavonoids from Sparganii rhizoma and evaluation of their in vitro antioxidant activities. Molecules 2012, 17, 6769–6783. [Google Scholar] [CrossRef]
- Altemimi, A.; Watson, D.G.; Choudhary, R.; Dasari, M.R.; Lightfoot, D.A. Ultrasound assisted extraction of phenolic compounds from peaches and pumpkins. PLoS ONE 2016, 11, e0148758. [Google Scholar] [CrossRef]
- Jerman, T.; Trebše, P.; Vodopivec, B.M. Ultrasound-assisted solid liquid extraction (USLE) of olive fruit (Olea europaea) phenolic compounds. Food Chem. 2010, 123, 175–182. [Google Scholar] [CrossRef]
- Ilghami, A.; Ghanbarzadeh, S.; Hamishehkar, H. Optimization of the ultrasonic-assisted extraction of phenolic compounds, ferric reducing activity and antioxidant activity of the Beta vulgaris using response surface methodology. Pharm. Sci. 2015, 21, 46–50. [Google Scholar] [CrossRef]
- Pankey, G.A.; Sabath, L. Clinical relevance of bacteriostatic versus bactericidal mechanisms of action in the treatment of Gram-positive bacterial infections. Clin. Infect. Dis. 2004, 38, 864–870. [Google Scholar] [CrossRef] [PubMed]
- Jahouach-Rabai, W.; Trabelsi, M.; Van Hoed, V.; Adams, A.; Verhé, R.; De Kimpe, N.; Frikha, M. Influence of bleaching by ultrasound on fatty acids and minor compounds of olive oil. Qualitative and quantitative analysis of volatile compounds (by SPME coupled to GC/MS). Ultrason. Sonochem. 2008, 15, 590–597. [Google Scholar] [CrossRef]
- Giacometti, J.; Žauhar, G.; Žuvić, M. Optimization of ultrasonic-assisted extraction of major phenolic compounds from olive leaves (Olea europaea L.) using response surface methodology. Foods 2018, 7, 149. [Google Scholar] [CrossRef]
- Donsì, F.; Annunziata, M.; Vincensi, M.; Ferrari, G. Design of nanoemulsion-based delivery systems of natural antimicrobials: Effect of the emulsifier. J. Biotechnol. 2012, 159, 342–350. [Google Scholar] [CrossRef] [PubMed]
- Weidenmaier, C.; Peschel, A. Teichoic acids and related cell-wall glycopolymers in Gram-positive physiology and host interactions. Nat. Rev. Microbiol. 2008, 6, 276–287. [Google Scholar] [CrossRef] [PubMed]
- Sharma, G.; Sharma, S.; Sharma, P.; Chandola, D.; Dang, S.; Gupta, S.; Gabrani, R. Escherichia coli biofilm: Development and therapeutic strategies. J. Appl. Microbiol. 2016, 121, 309–319. [Google Scholar] [CrossRef] [PubMed]
- Yolmeh, M.; Habibi-Najafi, M.B.; Shakouri, S.; Hosseini, F. Comparing antibacterial and antioxidant activity of annatto dye extracted by conventional and ultrasound-assisted methods. Zahedan J. Res. Med. Sci. 2015, 17, e1020. [Google Scholar] [CrossRef]
- McKeegan, K.S.; Borges-Walmsley, M.I.; Walmsley, A.R. Microbial and viral drug resistance mechanisms. Trends Microbiol. 2002, 10, s8–s14. [Google Scholar] [CrossRef]
- Dini, A.; Khanamani Falahati-Pour, S.; Behmaram, K.; Sedaghat, N. The kinetics of colour degradation, chlorophylls and xanthophylls loss in pistachio nuts during roasting process. J. Food Saf. 2019, 3, 251–263. [Google Scholar] [CrossRef]
- Zhang, H.; Wu, J.; Guo, X. Effects of antimicrobial and antioxidant activities of spice extracts on raw chicken meat quality. Food Sci. Hum. Wellness 2016, 5, 39–48. [Google Scholar] [CrossRef]
- Domínguez, R.; Pateiro, M.; Gagaoua, M.; Barba, F.J.; Zhang, W.; Lorenzo, J.M. A comprehensive review on lipid oxidation in meat and meat products. Antioxidants 2019, 8, 429. [Google Scholar] [CrossRef] [PubMed]
- Daniloski, D.; Petkoska, A.T.; Galić, K.; Ščetar, M.; Kurek, M.; Vaskoska, R.; Kalevska, T.; Nedelkoska, D.N. The effect of barrier properties of polymeric films on the shelf life of vacuum packaged fresh pork meat. Meat Sci. 2019, 158, 107880. [Google Scholar] [CrossRef]
- Silva, A.P.R.d.; Longhi, D.A.; Dalcanton, F.; Aragão, G.M.F.d. Modelling the growth of lactic acid bacteria at different temperatures. Braz. Arch. Biol. Technol. 2018, 61, e18160159. [Google Scholar] [CrossRef]
- Lorenzo, J.M.; Sineiro, J.; Amado, I.R.; Franco, D. Influence of natural extracts on the shelf life of modified atmosphere-packaged pork patties. Meat Sci. 2014, 96, 526–534. [Google Scholar] [CrossRef]
- Stefanello, F.S.; Cavalheiro, C.P.; Ludtke, F.L.; Silva, M.d.S.d.; Fries, L.L.M.; Kubota, E.H. Oxidative and microbiological stability of fresh pork sausage with added sun mushroom powder. Ciênc. Agrotechnol. 2015, 39, 381–389. [Google Scholar] [CrossRef]
- Teuteberg, V.; Kluth, I.-K.; Ploetz, M.; Krischek, C. Effects of duration and temperature of frozen storage on the quality and food safety characteristics of pork after thawing and after storage under modified atmosphere. Meat Sci. 2021, 174, 108419. [Google Scholar] [CrossRef]
- Akoğlu, I.; Bıyıklı, M.; Akoğlu, A.; Kurhan, Ş. Determination of the quality and shelf life of sous vide cooked Turkey cutlet stored at 4 and 12 °C. Rev. Bras. Cienc. Avic. 2018, 20, 1–8. [Google Scholar] [CrossRef]
- Álvarez-Martínez, F.J.; Barrajón-Catalán, E.; Encinar, J.A.; Rodríguez-Díaz, J.C.; Micol, V. Antimicrobial capacity of plant polyphenols against gram-positive bacteria: A comprehensive review. Curr. Med. Chem. 2020, 27, 2576–2606. [Google Scholar] [CrossRef]
- Viuda Martos, M.; Ciro Gómez, G.L.; Ruiz Navajas, Y.; Zapata Montoya, J.E.; Sendra, E.; Pérez-Álvarez, J.A.; Fernández-López, J. In vitro antioxidant and antibacterial activities of extracts from annatto (Bixa orellana L.) leaves and seeds. J. Food Saf. 2012, 32, 399–406. [Google Scholar] [CrossRef]
- Ali, F.; Abdel-Atty, N.; Helmy, E. Improving the quality and extending the shelf life of chilled fresh sausage using natural additives and their extracts. J. Microbiol. Biotechnol. Food Sci. 2018, 7, 580–585. [Google Scholar] [CrossRef]
- Sood, V.; Tian, W.; Narvaez-Bravo, C.; Arntfield, S.D.; González, A.R. Plant extracts effectiveness to extend bison meat shelf life. J. Food Sci. 2020, 85, 936–946. [Google Scholar] [CrossRef]
- Ranucci, D.; Roila, R.; Andoni, E.; Braconi, P.; Branciari, R. Punica granatum and Citrus spp. extract mix affects spoilage microorganisms growth rate in vacuum-packaged cooked sausages made from pork meat, emmer wheat (Triticum dicoccum Schübler), almond (Prunus dulcis Mill.) and hazelnut (Corylus avellana L.). Foods 2019, 8, 664. [Google Scholar] [CrossRef] [PubMed]
- Ramírez-Rojo, M.I.; Vargas-Sánchez, R.D.; Torres-Martínez, B.d.M.; Torrescano-Urrutia, G.R.; Lorenzo, J.M.; Sánchez-Escalante, A. Inclusion of ethanol extract of Mesquite leaves to enhance the oxidative stability of pork patties. Foods 2019, 8, 631. [Google Scholar] [CrossRef] [PubMed]







| Power (%) | Time (min) | MIC (mg/mL) | MBC (mg/mL) | ||||||
|---|---|---|---|---|---|---|---|---|---|
| S. aureus | E. coli | S. typhimurium | P. aeruginosa | S. aureus | E. coli | S. typhimurium | P. aeruginosa | ||
| 60 | 10 | 100 | 100 | 100 | 100 | 100 | 100 | 100 | 100 |
| 60 | 25 | 100 | 100 | 100 | 100 | 100 | 100 | 100 | 100 |
| 60 | 40 | 100 | 100 | 100 | 100 | 100 | 100 | 100 | 100 |
| 80 | 10 | 100 | 100 | 50 | 50 | 100 | 100 | 50 | 50 |
| 80 | 25 | 100 | 100 | 50 | 50 | 100 | 100 | 50 | 50 |
| 80 | 40 | 100 | 100 | 50 | 50 | 100 | 100 | 50 | 50 |
| 100 | 10 | 100 | 100 | 50 | 50 | 100 | 100 | 50 | 50 |
| 100 | 25 | 100 | 100 | 50 | 50 | 100 | 100 | 50 | 50 |
| 100 | 40 | 100 | 100 | 50 | 50 | 100 | 100 | 50 | 50 |
| Control (Non-ultrasonicated extract) | 100 | 100 | 100 | 100 | 100 | 100 | 100 | 100 | |
| Storage Day | 0 °C | 4 °C | ||||
|---|---|---|---|---|---|---|
| Control | 100 mg/mL | 120 mg/mL | Control | 100 mg/mL | 120 mg/mL | |
| 0 | 3.33 ± 0.11 aG | 3.21 ± 0.26 aG | 2.99 ± 0.07 aE | 3.09 ± 0.39 aF | 3.05 ± 0.18 aG | 3.17 ± 0.13 aG |
| 1 | 3.67 ± 0.06 bF | 2.79 ± 0.01 dH | 3.08 ± 0.15 cE | 3.64 ± 0.03 bE | 4.09 ± 0.04 aE | 2.74 ± 0.09 dH |
| 2 | 3.21 ± 0.08 cG | 3.57 ± 0.04 bF | 2.88 ± 0.11 dEF | 4.03 ± 0.01 aD | 3.66 ± 0.06 bF | 3.34 ± 0.06 cG |
| 3 | 4.41 ± 0.02 bE | 3.86 ± 0.07 dE | 2.71 ± 0.03 fF | 5.35 ± 0.10 aC | 4.27 ± 0.05 cE | 3.58 ± 0.03 eF |
| 4 | 4.36 ± 0.03 bE | 4.95 ± 0.02 aC | 4.07 ± 0.23 cD | 5.15 ± 0.06 aC | 4.10 ± 0.10 bcE | 3.83 ± 0.02 cE |
| 5 | 5.93 ± 0.22 cD | 4.68 ± 0.08 eD | 4.05 ± 0.04 fD | 7.21 ± 0.03 aB | 6.30 ± 0.03 bD | 5.36 ± 0.07 dD |
| 6 | 6.70 ± 0.08 cC | 6.13 ± 0.01 eB | 5.21 ± 0.03 fC | 8.48 ± 0.01 aA | 7.08 ± 0.03 bC | 6.24 ± 0.02 dC |
| 7 | 8.04 ± 0.02 bB | 6.21 ± 0.01 eB | 6.44 ± 0.05 dB | 8.48 ± 0.01 aA | 7.88 ± 0.09 bB | 7.42 ± 0.16 cB |
| 8 | 8.48 ± 0.01 aA | 7.15 ± 0.10 bA | 7.22 ± 0.06 bA | 8.48 ± 0.01 aA | 8.48 ± 0.01 aA | 8.48 ± 0.01 aA |
Publisher’s Note: MDPI stays neutral with regard to jurisdictional claims in published maps and institutional affiliations. |
© 2021 by the authors. Licensee MDPI, Basel, Switzerland. This article is an open access article distributed under the terms and conditions of the Creative Commons Attribution (CC BY) license (https://creativecommons.org/licenses/by/4.0/).
Share and Cite
Phimolsiripol, Y.; Buadoktoom, S.; Leelapornpisid, P.; Jantanasakulwong, K.; Seesuriyachan, P.; Chaiyaso, T.; Leksawasdi, N.; Rachtanapun, P.; Chaiwong, N.; Sommano, S.R.; et al. Shelf Life Extension of Chilled Pork by Optimal Ultrasonicated Ceylon Spinach (Basella alba) Extracts: Physicochemical and Microbial Properties. Foods 2021, 10, 1241. https://doi.org/10.3390/foods10061241
Phimolsiripol Y, Buadoktoom S, Leelapornpisid P, Jantanasakulwong K, Seesuriyachan P, Chaiyaso T, Leksawasdi N, Rachtanapun P, Chaiwong N, Sommano SR, et al. Shelf Life Extension of Chilled Pork by Optimal Ultrasonicated Ceylon Spinach (Basella alba) Extracts: Physicochemical and Microbial Properties. Foods. 2021; 10(6):1241. https://doi.org/10.3390/foods10061241
Chicago/Turabian StylePhimolsiripol, Yuthana, Srirana Buadoktoom, Pimporn Leelapornpisid, Kittisak Jantanasakulwong, Phisit Seesuriyachan, Thanongsak Chaiyaso, Noppol Leksawasdi, Pornchai Rachtanapun, Nareekan Chaiwong, Sarana Rose Sommano, and et al. 2021. "Shelf Life Extension of Chilled Pork by Optimal Ultrasonicated Ceylon Spinach (Basella alba) Extracts: Physicochemical and Microbial Properties" Foods 10, no. 6: 1241. https://doi.org/10.3390/foods10061241
APA StylePhimolsiripol, Y., Buadoktoom, S., Leelapornpisid, P., Jantanasakulwong, K., Seesuriyachan, P., Chaiyaso, T., Leksawasdi, N., Rachtanapun, P., Chaiwong, N., Sommano, S. R., Brennan, C. S., & Regenstein, J. M. (2021). Shelf Life Extension of Chilled Pork by Optimal Ultrasonicated Ceylon Spinach (Basella alba) Extracts: Physicochemical and Microbial Properties. Foods, 10(6), 1241. https://doi.org/10.3390/foods10061241

