Quality, Bioactive Compounds, Antioxidant Capacity, and Enzymes of Raspberries at Different Maturity Stages, Effects of Organic vs. Conventional Fertilization
Abstract
1. Introduction
2. Materials and Methods
2.1. Plant Material
2.2. Fertilization Scheme
2.3. Physicochemical Analysis
2.4. Measurement of Phenolic Components (Phenolic Acids, Flavonols and Anthocyanins)
2.5. Determination of Vitamin C Content
2.6. Measuring the Antioxidant Capacity DPPH, FRAP, TEAC and ORAC
2.7. Determination of Antioxidant Enzymatic Activity of CAT, APX, SOD, and GPx
2.8. Phenylalanine Ammonium Lyase (PAL, EC 4.3.1.24) Activity
2.9. Data Analyses
3. Results and Discussion
3.1. Physicochemical Parameters
3.2. Raspberry Phenolic Components
3.2.1. Phenolic Acids
3.2.2. Flavonols
3.2.3. Anthocyanins
3.3. Vitamin C
3.4. Antioxidant Activity
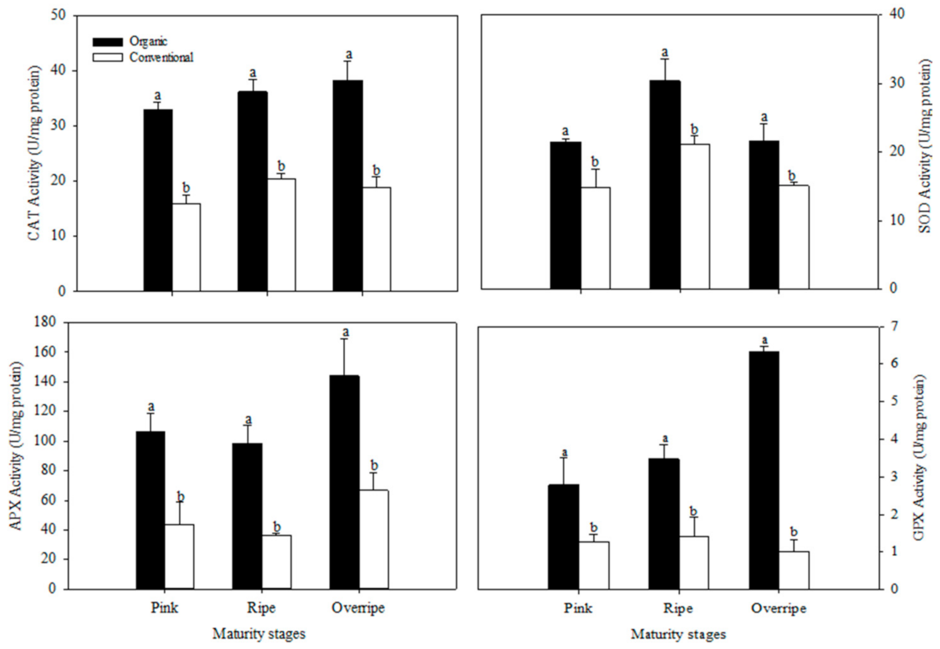
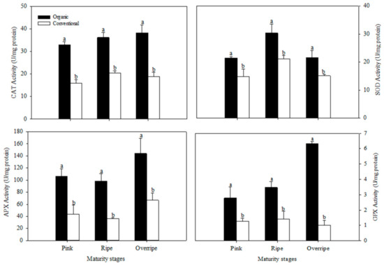
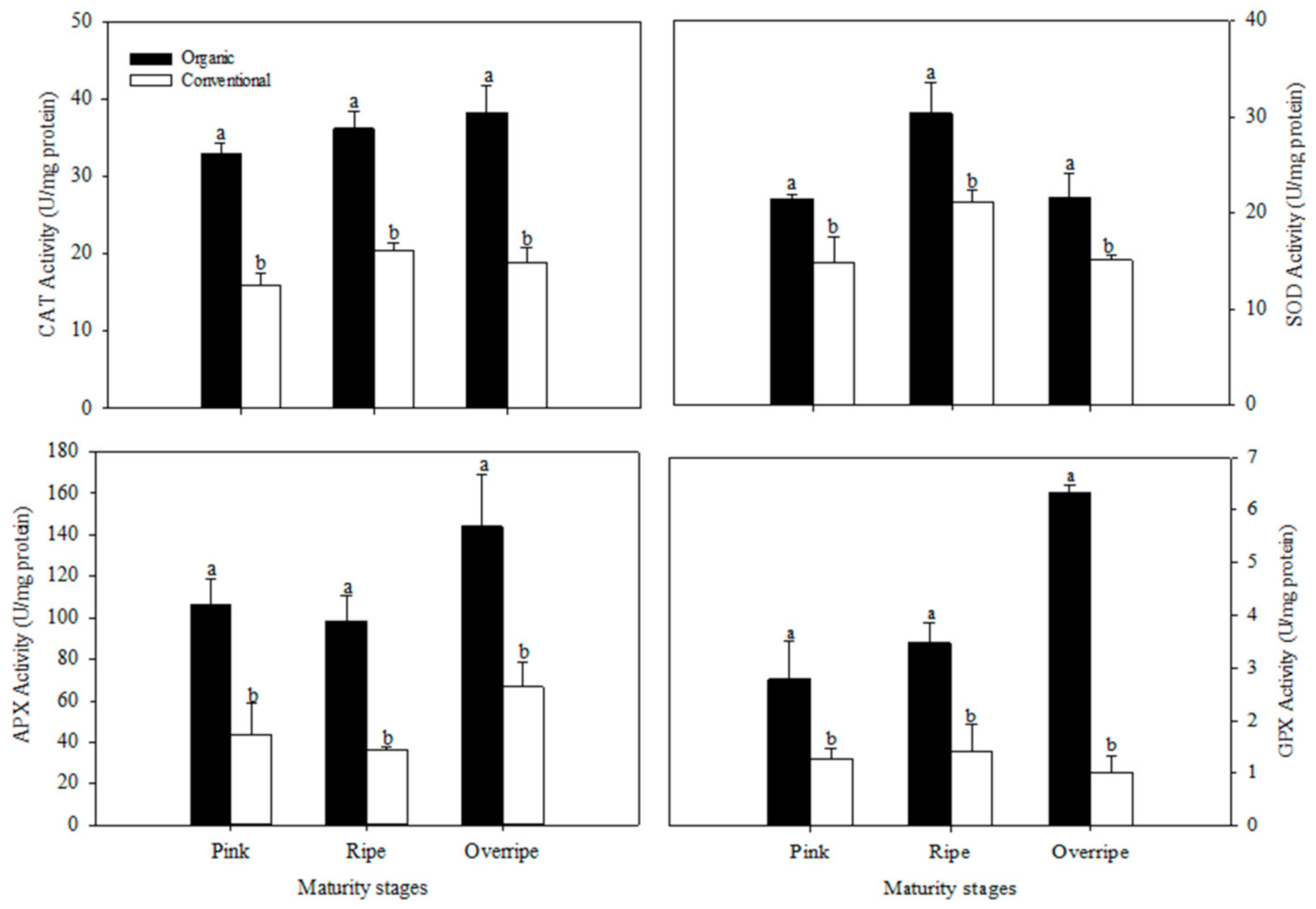
3.5. Antioxidant Enzymatic Activity
3.6. PAL Enzymatic Activity
4. Conclusions
Author Contributions
Funding
Data Availability Statement
Conflicts of Interest
References
- Liu, R.H. Health-Promoting Components of Fruits and Vegetables in the Diet. Adv. Nutr. 2013, 4, 384S–392S. [Google Scholar] [CrossRef]
- Bobinaitė, R.; Viškelis, P.; Venskutonis, P.R. Variation of total phenolics, anthocyanins, ellagic acid and radical scavenging capacity in various raspberry (Rubus spp.) cultivars. Food Chem. 2012, 132, 1495–1501. [Google Scholar] [CrossRef]
- Nile, S.H.; Park, S.W. Edible berries: Bioactive components and their effect on human health. Nutrition 2014, 30, 134–144. [Google Scholar] [CrossRef]
- Anttonen, M.J.; Hoppula, K.I.; Nestby, R.; Verheul, M.J.; Karjalainen, R.O. Influence of Fertilization, Mulch Color, Early Forcing, Fruit Order, Planting Date, Shading, Growing Environment, and Genotype on the Contents of Selected Phenolics in Strawberry (Fragaria × ananassa Duch.) Fruits. J. Agric. Food Chem. 2006, 54, 2614–2620. [Google Scholar] [CrossRef] [PubMed]
- Wang, S.Y.; Chen, C.-T.; Wang, C.Y. The influence of light and maturity on fruit quality and flavonoid content of red raspberries. Food Chem. 2009, 112, 676–684. [Google Scholar] [CrossRef]
- Savci, S. Investigation of Effect of Chemical Fertilizers on Environment. APCBEE Procedia 2012, 1, 287–292. [Google Scholar] [CrossRef]
- Cojocaru, A.; Vlase, L.; Munteanu, N.; Stan, T.; Teliban, G.C.; Burducea, M.; Stoleru, V. Dynamic of Phenolic Compounds, Antioxidant Activity, and Yield of Rhubarb under Chemical, Organic and Biological Fertilization. Plants 2020, 9, 355. [Google Scholar] [CrossRef] [PubMed]
- Vinha, A.F.; Barreira, S.V.P.; Costa, A.S.G.; Alves, R.C.; Oliveira, M.B.P.P. Organic versus conventional tomatoes: Influence on physicochemical parameters, bioactive compounds and sensorial attributes. Food Chem. Toxicol. 2014, 67, 139–144. [Google Scholar] [CrossRef] [PubMed]
- Khalifezadeh Koureh, O.; Bakhshi, D.; Pourghayoumi, M.; Majidian, M. Comparison of yield, fruit quality, antioxidant activity, and some phenolic compounds of white seedless grape obtained from organic, conventional, and integrated fertilization. Int. J. Fruit Sci. 2019, 19, 1–12. [Google Scholar] [CrossRef]
- De Oliveira, A.B.; de Almeida Lopes, M.M.; Moura, C.F.H.; de Siqueira Oliveira, L.; de Souza, K.O.; Filho, E.G.; Urban, L.; de Miranda, M.R.A. Effects of organic vs. conventional farming systems on quality and antioxidant metabolism of passion fruit during maturation. Sci. Hortic. 2017, 222, 84–89. [Google Scholar] [CrossRef]
- Sablani, S.S.; Andrews, P.K.; Davies, N.M.; Walters, T.; Saez, H.; Syamaladevi, R.M.; Mohekar, P.R. Effect of thermal treatments on phytochemicals in conventionally and organically grown berries. J. Sci. Food Agric. 2010, 90, 769–778. [Google Scholar] [CrossRef]
- Stojanov, D.; Milosevic, T.; Maskovic, P.; Milosevic, N. Impact of fertilization on the antioxidant activity and mineral composition of red raspberry berries of cv. ‘Meeker’. Mitt. Klosterneubg. Rebe Wein Obstbau Früchteverwertung 2019, 69, 184–195. [Google Scholar]
- Jin, P.; Wang, S.Y.; Gao, H.; Chen, H.; Zheng, Y.; Wang, C.Y. Effect of cultural system and essential oil treatment on antioxidant capacity in raspberries. Food Chem. 2012, 132, 399–405. [Google Scholar] [CrossRef]
- Oliveira, A.B.; Moura, C.F.; Gomes-Filho, E.; Marco, C.A.; Urban, L.; Miranda, M.R.A. The impact of organic farming on quality of tomatoes is associated to increased oxidative stress during fruit development. PLoS ONE 2013, 8, e56354. [Google Scholar] [CrossRef] [PubMed]
- Ma, R.-F.; Liu, Q.-Z.; Xiao, Y.; Zhang, L.; Li, Q.; Yin, J.; Chen, W.-S. The phenylalanine ammonia-lyase gene family in Isatis indigotica Fort.: Molecular cloning, characterization, and expression analysis. Chin. J. Nat. Med. 2016, 14, 801–812. [Google Scholar] [CrossRef]
- Vitalini, S.; Gardana, C.; Zanzotto, A.; Fico, G.; Faoro, F.; Simonetti, P.; Iriti, M. From vineyard to glass: Agrochemicals enhance the melatonin and total polyphenol contents and antiradical activity of red wines. J. Pineal Res. 2011, 51, 278–285. [Google Scholar] [CrossRef] [PubMed]
- Lima, G.P.P.; Borges, C.V.; Vianello, F.; Cisneros-Zevallos, L.; Minatel, I.O. Phytochemicals in Organic and Conventional Fruits and Vegetables. In Fruit and Vegetable Phytochemicals: Chemistry and Human Health, 2nd ed.; Wiley: Hoboken, NJ, USA, 2018; pp. 1305–1322. [Google Scholar]
- De Ancos, B.; Gonzalez, E.; Cano, M.P. Differentiation of raspberry varieties according to anthocyanin composition. Z. Lebensm. Forsch. A 1999, 208, 33–38. [Google Scholar] [CrossRef]
- Vicente, A.R.; Ortugno, C.; Rosli, H.; Powell, A.L.; Greve, L.C.; Labavitch, J.M. Temporal sequence of cell wall disassembly events in developing fruits. 2. Analysis of blueberry (Vaccinium species). J. Agric. Food Chem. 2007, 55, 4125–4130. [Google Scholar] [CrossRef]
- Association of Official Analytical Chemists. Official Methods of Analysis, 16th ed.; Association of Official Analytical Chemists: Arlington, VA, USA, 1998; Volume 2. [Google Scholar]
- Mattila, P.; Kumpulainen, J. Determination of Free and Total Phenolic Acids in Plant-Derived Foods by HPLC with Diode-Array Detection. J. Agric. Food Chem. 2002, 50, 3660–3667. [Google Scholar] [CrossRef]
- Velderrain-Rodríguez, G.; Torres-Moreno, H.; Villegas-Ochoa, M.; Ayala-Zavala, J.; Robles-Zepeda, R.; Wall-Medrano, A.; González-Aguilar, G. Gallic acid content and an antioxidant mechanism are responsible for the antiproliferative activity of ‘Ataulfo’mango peel on LS180 cells. Molecules 2018, 23, 695. [Google Scholar] [CrossRef]
- Abdel-Aal, E.S.; Hucl, P. A rapid method for quantifying total anthocyanins in blue aleurone and purple pericarp wheats. Cereal Chem. 1999, 76, 350–354. [Google Scholar] [CrossRef]
- Odriozola-Serrano, I.; Hernández-Jover, T.; Martín-Belloso, O. Comparative evaluation of UV-HPLC methods and reducing agents to determine vitamin C in fruits. Food Chem. 2007, 105, 1151–1158. [Google Scholar] [CrossRef]
- Robles-Sánchez, R.M.; Rojas-Graü, M.A.; Odriozola-Serrano, I.; González-Aguilar, G.A.; Martín-Belloso, O. Effect of minimal processing on bioactive compounds and antioxidant activity of fresh-cut ‘Kent’mango (Mangifera indica L.). Postharvest Biol. Technol. 2009, 51, 384–390. [Google Scholar] [CrossRef]
- Brand-Williams, W.; Cuvelier, M.-E.; Berset, C. Use of a free radical method to evaluate antioxidant activity. LWT Food Sci. Technol. 1995, 28, 25–30. [Google Scholar] [CrossRef]
- Palafox-Carlos, H.; Yahia, E.; Islas-Osuna, M.; Gutierrez-Martinez, P.; Robles-Sánchez, M.; González-Aguilar, G. Effect of ripeness stage of mango fruit (Mangifera indica L., cv. Ataulfo) on physiological parameters and antioxidant activity. Sci. Hortic. 2012, 135, 7–13. [Google Scholar] [CrossRef]
- Benzie, I.F.F.; Strain, J.J. [2] Ferric reducing/antioxidant power assay: Direct measure of total antioxidant activity of biological fluids and modified version for simultaneous measurement of total antioxidant power and ascorbic acid concentration. In Methods in Enzymology; Academic Press: Cambridge, MA, USA, 1999; Volume 299, pp. 15–27. [Google Scholar]
- Dávila-Aviña, J.E.; Villa-Rodríguez, J.A.; Villegas-Ochoa, M.A.; Tortoledo-Ortiz, O.; Olivas, G.I.; Ayala-Zavala, J.F.; González-Aguilar, G.A. Effect of edible coatings on bioactive compounds and antioxidant capacity of tomatoes at different maturity stages. J. Food Sci. Technol. 2014, 51, 2706–2712. [Google Scholar] [CrossRef] [PubMed]
- Miller, N.J.; Sampson, J.; Candeias, L.P.; Bramley, P.M.; Rice-Evans, C.A. Antioxidant activities of carotenes and xanthophylls. FEBS Lett. 1996, 384, 240–242. [Google Scholar] [CrossRef]
- Re, R.; Pellegrini, N.; Proteggente, A.; Pannala, A.; Yang, M.; Rice-Evans, C. Antioxidant activity applying an improved ABTS radical cation decolorization assay. Free Radic. Biol. Med. 1999, 26, 1231–1237. [Google Scholar] [CrossRef]
- Ou, B.; Hampsch-Woodill, M.; Prior, R.L. Development and Validation of an Improved Oxygen Radical Absorbance Capacity Assay Using Fluorescein as the Fluorescent Probe. J. Agric. Food Chem. 2001, 49, 4619–4626. [Google Scholar] [CrossRef]
- Beers, R.F.; Sizer, I.W. A spectrophotometric method for measuring the breakdown of hydrogen peroxide by catalase. J. Biol. Chem. 1952, 195, 133–140. [Google Scholar] [CrossRef]
- Nakano, Y.; Asada, K. Hydrogen Peroxide is Scavenged by Ascorbate-specific Peroxidase in Spinach Chloroplasts. Plant Cell Physiol. 1981, 22, 867–880. [Google Scholar] [CrossRef]
- Kono, Y. Generation of superoxide radical during autoxidation of hydroxylamine and an assay for superoxide dismutase. Arch. Biochem. Biophys. 1978, 186, 189–195. [Google Scholar] [CrossRef]
- Wendel, A. Glutathione Peroxidase; Academic Press: New York, NY, USA, 1980; Volume 1, pp. 333–353. [Google Scholar]
- Mori, T.; Sakurai, M.; Sakuta, M. Effects of conditioned medium on activities of PAL, CHS, DAHP synthase (DS-Co and DS-Mn) and anthocyanin production in suspension cultures of Fragaria ananassa. Plant Sci. 2001, 160, 355–360. [Google Scholar] [CrossRef]
- Yazdanpour, F.; Khadivi, A.; Etemadi-Khah, A. Phenotypic characterization of black raspberry to select the promising genotypes. Sci. Hortic. 2018, 235, 95–105. [Google Scholar] [CrossRef]
- Remberg, S.F.; Sønsteby, A.; Aaby, K.; Heide, O.M. Influence of postflowering temperature on fruit size and chemical composition of Glen Ample raspberry (Rubus idaeus L.). J. Agric. Food Chem. 2010, 58, 9120–9128. [Google Scholar] [CrossRef]
- Skrede, G.; Martinsen, B.K.; Wold, A.-B.; Birkeland, S.-E.; Aaby, K. Variation in quality parameters between and within 14 Nordic tree fruit and berry species. Acta Agric. Scand. Sect. B Soil Plant Sci. 2012, 62, 193–208. [Google Scholar] [CrossRef]
- Stavang, J.A.; Freitag, S.; Foito, A.; Verrall, S.; Heide, O.M.; Stewart, D.; Sønsteby, A. Raspberry fruit quality changes during ripening and storage as assessed by colour, sensory evaluation and chemical analyses. Sci. Hortic. 2015, 195, 216–225. [Google Scholar] [CrossRef]
- Giongo, L.; Poncetta, P.; Loretti, P.; Costa, F. Texture profiling of blueberries (Vaccinium spp.) during fruit development, ripening and storage. Postharvest Biol. Technol. 2013, 76, 34–39. [Google Scholar] [CrossRef]
- Vittori, L.D.; Mazzoni, L.; Battino, M.A.; Mezzetti, B. Pre-harvest factors influencing the quality of berries. Sci. Hortic. 2018, 233, 310–322. [Google Scholar] [CrossRef]
- Straus, S.; Bavec, F.; Turinek, M.; Slatnar, A.; Rozman, C.; Bavec, M. Nutritional value and economic feasibility of red beetroot (Beta vulgaris L. ssp. vulgaris Rote Kugel) from different production systems. Afr. J. Agric. Res. 2012, 7, 5653–5660. [Google Scholar]
- Frías-Moreno, M.N.; Espino-Díaz, M.; Dávila-Aviña, J.; Gonzalez-Aguilar, G.A.; Ayala-Zavala, J.F.; Molina-Corral, F.J.; Parra-Quezada, R.A.; Orozco, G.I.O. Preharvest nitrogen application affects quality and antioxidant status of two tomato cultivars. Bragantia 2020. [Google Scholar] [CrossRef]
- Gutser, R.; Ebertseder, T.; Weber, A.; Schraml, M.; Schmidhalter, U. Short-term and residual availability of nitrogen after long-term application of organic fertilizers on arable land. J. Plant Nutr. Soil Sci. 2005, 168, 439–446. [Google Scholar] [CrossRef]
- Jakobek, L.; Šeruga, M.; Novak, I.; Medvidović-Kosanović, M. Flavonols, phenolic acids and antioxidant activity of some red fruits. Dtsch. Lebensm. Rundsch. 2007, 103, 369. [Google Scholar]
- Burton-Freeman, B.M.; Sandhu, A.K.; Edirisinghe, I. Red Raspberries and Their Bioactive Polyphenols: Cardiometabolic and Neuronal Health Links. Adv. Nutr. 2016, 7, 44–65. [Google Scholar] [CrossRef] [PubMed]
- Kula, M.; Majdan, M.; Głód, D.; Krauze-Baranowska, M. Phenolic composition of fruits from different cultivars of red and black raspberries grown in Poland. J. Food Compos. Anal. 2016, 52, 74–82. [Google Scholar] [CrossRef]
- Srednicka-Tober, D.; Baranski, M.; Kazimierczak, R.; Ponder, A.; Kopczynska, K.; Hallmann, E. Selected Antioxidants in Organic vs. Conventionally Grown Apple Fruits. Appl. Sci. Basel 2020, 10, 2997. [Google Scholar] [CrossRef]
- Zhang, L.; Li, J.; Hogan, S.; Chung, H.; Welbaum, G.E.; Zhou, K. Inhibitory effect of raspberries on starch digestive enzyme and their antioxidant properties and phenolic composition. Food Chem. 2010, 119, 592–599. [Google Scholar] [CrossRef]
- Xiao, T.; Guo, Z.; Bi, X.; Zhao, Y. Polyphenolic profile as well as anti-oxidant and anti-diabetes effects of extracts from freeze-dried black raspberries. J. Funct. Foods 2017, 31, 179–187. [Google Scholar] [CrossRef]
- Häkkinen, S.; Heinonen, M.; Kärenlampi, S.; Mykkänen, H.; Ruuskanen, J.; Törrönen, R. Screening of selected flavonoids and phenolic acids in 19 berries. Food Res. Int. 1999, 32, 345–353. [Google Scholar] [CrossRef]
- Ponder, A.; Hallmann, E. The effects of organic and conventional farm management and harvest time on the polyphenol content in different raspberry cultivars. Food Chem. 2019, 301, 125295. [Google Scholar] [CrossRef]
- Mitchell, A.E.; Hong, Y.-J.; Koh, E.; Barrett, D.M.; Bryant, D.E.; Denison, R.F.; Kaffka, S. Ten-Year Comparison of the Influence of Organic and Conventional Crop Management Practices on the Content of Flavonoids in Tomatoes. J. Agric. Food Chem. 2007, 55, 6154–6159. [Google Scholar] [CrossRef] [PubMed]
- Dragišić Maksimović, J.J.; Milivojević, J.M.; Poledica, M.M.; Nikolić, M.D.; Maksimović, V.M. Profiling antioxidant activity of two primocane fruiting red raspberry cultivars (Autumn bliss and Polka). J. Food Compos. Anal. 2013, 31, 173–179. [Google Scholar] [CrossRef]
- Granato, D.; Koot, A.; Schnitzler, E.; van Ruth, S.M. Authentication of Geographical Origin and Crop System of Grape Juices by Phenolic Compounds and Antioxidant Activity Using Chemometrics. J. Food Sci. 2015, 80, C584–C593. [Google Scholar] [CrossRef]
- Dutra, M.D.C.P.; Rodrigues, L.L.; de Oliveira, D.; Pereira, G.E.; Lima, M.D.S. Integrated analyses of phenolic compounds and minerals of Brazilian organic and conventional grape juices and wines: Validation of a method for determination of Cu, Fe and Mn. Food Chem. 2018, 269, 157–165. [Google Scholar] [CrossRef]
- Stintzing, F.C.; Carle, R. Functional properties of anthocyanins and betalains in plants, food, and in human nutrition. Trends Food Sci. Technol. 2004, 15, 19–38. [Google Scholar] [CrossRef]
- Castañeda-Ovando, A.; Pacheco-Hernández, M.D.L.; Páez-Hernández, M.E.; Rodríguez, J.A.; Galán-Vidal, C.A. Chemical studies of anthocyanins: A review. Food Chem. 2009, 113, 859–871. [Google Scholar] [CrossRef]
- Beekwilder, J.; Jonker, H.; Meesters, P.; Hall, R.D.; van der Meer, I.M.; Ric de Vos, C. Antioxidants in raspberry: On-line analysis links antioxidant activity to a diversity of individual metabolites. J. Agric. Food Chem. 2005, 53, 3313–3320. [Google Scholar] [CrossRef] [PubMed]
- Samuelian, S.K.; Camps, C.; Kappel, C.; Simova, E.P.; Delrot, S.; Colova, V.M. Differential screening of overexpressed genes involved in flavonoid biosynthesis in North American native grapes: ‘Noble’ muscadinia var. and ‘Cynthiana’ aestivalis var. Plant Sci. 2009, 177, 211–221. [Google Scholar] [CrossRef]
- Smirnoff, N. Ascorbic acid metabolism and functions: A comparison of plants and mammals. Free Radic. Biol. Med. 2018, 122, 116–129. [Google Scholar] [CrossRef] [PubMed]
- Wang, C.Y.; Wang, S.Y.; Chen, C. Increasing Antioxidant Activity and Reducing Decay of Blueberries by Essential Oils. J. Agric. Food Chem. 2008, 56, 3587–3592. [Google Scholar] [CrossRef] [PubMed]
- Jin, P.; Wang, S.Y.; Wang, C.Y.; Zheng, Y. Effect of cultural system and storage temperature on antioxidant capacity and phenolic compounds in strawberries. Food Chem. 2011, 124, 262–270. [Google Scholar] [CrossRef]
- Heeb, A.; Lundegårdh, B.; Savage, G.; Ericsson, T. Impact of organic and inorganic fertilizers on yield, taste, and nutritional quality of tomatoes. J. Plant Nutr. Soil Sci. 2006, 169, 535–541. [Google Scholar] [CrossRef]
- Xiao, R.; Li, L.; Ma, Y. A label-free proteomic approach differentiates between conventional and organic rice. J. Food Compos. Anal. 2019, 80, 51–61. [Google Scholar] [CrossRef]
- Tian, S.; Qin, G.; Li, B. Reactive oxygen species involved in regulating fruit senescence and fungal pathogenicity. Plant Mol. Biol. 2013, 82, 593–602. [Google Scholar] [CrossRef] [PubMed]
- O’Brien, J.A.; Daudi, A.; Butt, V.S.; Paul Bolwell, G. Reactive oxygen species and their role in plant defence and cell wall metabolism. Planta 2012, 236, 765–779. [Google Scholar] [CrossRef]



| Vermicompost | Vermicompost Leachate | Commercial Organic Fertilizer (GreenBack S11) | Total Mineral Dose | |
|---|---|---|---|---|
| pH | 6.0 | 8.2 | 6.7 | --- |
| Organic material (%) | 85 | 40 | 45 | --- |
| Total organic carbon (%) | 18.57 | - | - | --- |
| N (%) | 0.224 | 0.230 | 0.908 | 156.9 kg/ha |
| P (%) | 0.012 | 0.030 | 0.772 | 66.88 kg/ha |
| K (%) | 0.001 | 0.037 | 0.772 | 66.92 kg/ha |
| Ca (%) | 0.133 | 0.001 | 5.22 | 411.69 kg/ha |
| Mg (%) | 0.121 | 0.100 | 0.318 | 65.95 kg/ha |
| Fertilizers | Active Ingredient | Dose Applied (Total) | Mineral Dose |
|---|---|---|---|
| Ammonium nitrate (NH4NO3) | 35% N | 315 kg/ha | 110 kg/ha N |
| Triple 17 (N, P, K) | 17% N, P, and K | 240 kg/ha | 40 kg/ha N 40 kg/ha P 40 kg/ha K |
| Potassium sulfate (K2 SO4) | 53% K | 284 kg/ha | 150 kg/ha K |
| Conventional Fertilization | Organic Fertilization | |
|---|---|---|
| Soil type | loam | loam |
| Organic matter (%) | 2.09 | 3.19 |
| NO3 (kg/ha) | 34.2 | 19.7 |
| pH | 6.8 | 7.6 |
| P (ppm) | 90.3 | 51.3 |
| K (ppm) | 474.5 | 388 |
| Ca (ppm) | 2712 | 3408 |
| Mg (ppm) | 354 | 444 |
| Na (ppm) | 187 | 182 |
| Fe (ppm) | 29.6 | 21.0 |
| Zn (ppm) | 5.8 | 6.4 |
| Physicochemical Composition | Stages of Maturity | |||||
|---|---|---|---|---|---|---|
| Pink | Ripe | Over-Ripe | ||||
| Fertilization System | Organic | Conventional | Organic | Conventional | Organic | Conventional |
| Weight (g) | 3.01a | 3.04a | 3.05a | 3.06a | 3.0a | 3.01a |
| Color (°hue) | 33.75a | 33.69a | 30.45b | 30.74b | 27.54c | 27.94c |
| Firmness (g force) | 127.6a | 124.8a | 93.1b | 91.6b | 66.2c | 65.9c |
| Soluble solids (°Brix) | 10.9a | 10.5a | 11.0a | 10.8a | 11.3a | 11a |
| Titratable acidity (g of citric acid/100 g of FW) | 1.91a | 1.92a | 2.0a | 1.92a | 2.0a | 2.0a |
| pH | 3.05a | 3.03a | 3.08a | 3.04a | 3.13a | 3.08a |
| Phenolic Compounds Profile | Maturity Stages | |||||
|---|---|---|---|---|---|---|
| Pink | Ripe | Over-Ripe | ||||
| Organic | Conventional | Organic | Conventional | Organic | Conventional | |
| Ellagic acid | 28.47a | 25.44b | 38.80a | 22.01b | 27.74a | 23.27b |
| Gallic acid | 25.46a | 22.68b | 19.94a | 17.52b | 24.40a | 16.61b |
| Chlorogenic acid | 4.62b | 7.23a | 9.84a | 10.21a | 11.40a | 7.34b |
| p-coumaric acid | 4.24a | 4.38a | 2.77a | 2.95a | 3.64a | 2.72b |
| Caffeic acid | 2.87a | 2.47a | 4.97a | 5.14a | 6.23a | 4.06b |
| Hydroxybenzoic acid | 3.74a | 1.27b | 0b | 1.01a | 2.66a | 0.79b |
| Protocatechuic acid | 0.84a | 1.00a | 1.84a | 1.49a | 2.10a | 0.93b |
| Total phenolic acids | 70.24a | 64.47a | 78.16a | 60.33b | 78.17a | 55.72b |
| Kaempferol-3-β-D-glucoside | 4.71a | 2.48b | 2.035a | 0b | 0a | 0a |
| Rutin | 2.50a | 2.81a | 1.45a | 1.66a | 1.67a | 1.42a |
| Quercetin-3-glucuronide | 1.61a | 1.80a | 1.79a | 1.74a | 0.98a | 0.86a |
| Quercetin-3-β-D-glucoside | 1.95a | 1.98a | 0.94a | 0. 91a | 1.44a | 1.23a |
| Total flavonols | 10.77a | 9.07a | 6.22a | 4.31b | 4.09a | 3.51a |
| Cyanidin-3, 5-diglucoside | 1063.65a | 373.82b | 2540.03a | 1522.72b | 3150.13a | 2187.31b |
| Cyanidin-3-glucoside | 295.13a | 88.19b | 1103.62a | 666.22b | 1596.79a | 907.25b |
| Cyanidin chloride | 162.90a | 103.36b | 428.30a | 277.23b | 493.57a | 375.12b |
| Pelargonidin-3-glucoside | 505.33a | 335.32b | 1548.35a | 1001.09b | 1800.61a | 1315.25b |
| Total anthocyanins | 2027.01a | 900.69b | 5620.30a | 3467.26b | 7040.97a | 4784.93b |
| Total phenolic compounds | 2108.02a | 974.23b | 5704.68a | 3531.90b | 7123.23a | 4844.16b |
| Antioxidant Capacity | Maturity Stages | |||||
|---|---|---|---|---|---|---|
| Pink | Ripe | Over-Ripe | ||||
| Fertilization systems | Organic | Conventional | Organic | Conventional | Organic | Conventional |
| DPPH | 403.94 ± 3.33a | 337.21 ± 19.39b | 563.60 ± 22.81a | 441.16 ± 12.38b | 412.50 ± 22.53a | 363.20 ± 16.46b |
| TEAC | 295.41 ± 23.13a | 242.14 ± 25.66b | 422.59 ± 48.66a | 289.82 ± 17.32b | 356.51 ± 13.87a | 219.27 ± 43.22b |
| FRAP | 440.60 ± 28.4a | 281.76 ± 17.78b | 606.71 ± 23.44a | 363.80 ± 10.62b | 432.91 ± 41.99a | 264.56 ± 28.44b |
| ORAC | 20.84 ± 1.89a | 20.68 ± 1.39b | 38.75 ± 4.40a | 26.79 ± 2.19b | 35.10 ± 1.93a | 27.42 ± 1.93b |
Publisher’s Note: MDPI stays neutral with regard to jurisdictional claims in published maps and institutional affiliations. |
© 2021 by the authors. Licensee MDPI, Basel, Switzerland. This article is an open access article distributed under the terms and conditions of the Creative Commons Attribution (CC BY) license (https://creativecommons.org/licenses/by/4.0/).
Share and Cite
Frías-Moreno, M.N.; Parra-Quezada, R.A.; González-Aguilar, G.; Ruíz-Canizales, J.; Molina-Corral, F.J.; Sepulveda, D.R.; Salas-Salazar, N.; Olivas, G.I. Quality, Bioactive Compounds, Antioxidant Capacity, and Enzymes of Raspberries at Different Maturity Stages, Effects of Organic vs. Conventional Fertilization. Foods 2021, 10, 953. https://doi.org/10.3390/foods10050953
Frías-Moreno MN, Parra-Quezada RA, González-Aguilar G, Ruíz-Canizales J, Molina-Corral FJ, Sepulveda DR, Salas-Salazar N, Olivas GI. Quality, Bioactive Compounds, Antioxidant Capacity, and Enzymes of Raspberries at Different Maturity Stages, Effects of Organic vs. Conventional Fertilization. Foods. 2021; 10(5):953. https://doi.org/10.3390/foods10050953
Chicago/Turabian StyleFrías-Moreno, María Noemí, Rafael A. Parra-Quezada, Gustavo González-Aguilar, Jacqueline Ruíz-Canizales, Francisco Javier Molina-Corral, David R. Sepulveda, Nora Salas-Salazar, and Guadalupe I. Olivas. 2021. "Quality, Bioactive Compounds, Antioxidant Capacity, and Enzymes of Raspberries at Different Maturity Stages, Effects of Organic vs. Conventional Fertilization" Foods 10, no. 5: 953. https://doi.org/10.3390/foods10050953
APA StyleFrías-Moreno, M. N., Parra-Quezada, R. A., González-Aguilar, G., Ruíz-Canizales, J., Molina-Corral, F. J., Sepulveda, D. R., Salas-Salazar, N., & Olivas, G. I. (2021). Quality, Bioactive Compounds, Antioxidant Capacity, and Enzymes of Raspberries at Different Maturity Stages, Effects of Organic vs. Conventional Fertilization. Foods, 10(5), 953. https://doi.org/10.3390/foods10050953

